Artículo Científico
MODELACIÓN DE UN CAÑÓN ELECTROMAGNÉTICO UTILIZANDO ATP-EMTP Y ATPDRAW
MODELING OF AN ELECTROMAGNETIC CANNON USING ATP-EMTP AND ATPDRAW
MODELACIÓN DE UN CAÑÓN ELECTROMAGNÉTICO UTILIZANDO ATP-EMTP Y ATPDRAW
Ingenius. Revista de Ciencia y Tecnología, núm. 34, pp. 103-115, 2025
Universidad Politécnica Salesiana

Recepción: 02 Abril 2025
Revisado: 27 Mayo 2025
Aprobación: 29 Mayo 2025
Publicación: 01 Julio 2025
Resumen: Este trabajo presenta un modelo de cañón electromagnético desarrollado mediante la herramienta ATP/EMTP y su entorno gráfico ATPDraw. El diseño incluye varias etapas de bobinas circulares a través de las cuales se desplaza una armadura metálica cilíndrica. Utilizando la técnica Variable Branch Representation (VBR), cada bobina se convierte en un equivalente dinámico, compuesto por una resistencia, una inductancia y una fuente de fuerza electromotriz. Estos parámetros se determinan instantáneamente según la dinámica del sistema mecánico. Las bobinas se energizan mediante condensadores precargados, y se conectan a ellas mediante tiristores, que se disparan en momentos específicos determinados por la posición de la armadura metálica móvil. La validez del modelo se verifica mediante resultados experimentales reportados previamente en la literatura técnica, lo que asegura la precisión y efectividad del enfoque propuesto. Este estudio, además de contribuir al diseño de cañones electromagnéticos, establece una metodología de análisis replicable para futuras investigaciones y aplicaciones en este campo.
Palabras clave: cañón electromagnético, bobinas circulares, armadura, programa de transitorios electromagnéticos, ATPDraw.
Abstract: This study presents a computational model of an electromagnetic cannon developed using the ATP/EMTP simulation tool and its graphical interface, ATPDraw. The system features a cylindrical metallic armature that traverses multiple stages of circular coils. Employing the Voltage Behind Reactance (VBR) methodology, each coil is modeled as a dynamic equivalent circuit comprising a resistance, an inductance, and an electromotive force source. The model parameters are dynamically updated at each simulation time step based on the armature’s motion. The coils are energized by pre-charged capacitors and connected through thyristors, which are triggered at specific positions of the moving armature. The model’s validity is corroborated by experimental data reported in the literature, confirming the accuracy and robustness of the proposed approach. In addition to supporting the design of electromagnetic cannons, this work provides a methodological foundation for future research and practical applications in this domain.
Keywords: Electromagnetic cannon, Circular coils, Armature, Eletromagnetic Transient Program, ATPDraw.
Forma sugerida de citar (APA):
Aller, J. M.; Cordero Cantos, J. J.; León Rojas, P. J. y Renjifo, J. “Modelación de un cañón electromagnético utilizando ATP-EMTP y ATPDraw,” Ingenius, Revista de Ciencia y Tecnología, N.◦ 34, pp. 103-115, 2025. doi: https://doi.org/10.17163/ings.n34.2025.08.
1. Introducción
El cañón electromagnético es un dispositivo que aprovecha el campo magnético inducido dentro de un solenoide energizado por una corriente eléctrica para acelerar componentes metálicos móviles a alta velocidades. Esta forma de propulsión ofrece una alternativa a los sistemas tradicionales basados en combustibles químicos o explosivos. Mediante el empleo de múltiples etapas dispuestas secuencialmente, los cañones electromagnéticos permiten alcanzar velocidades elevadas y una aceleración considerable [1].
El desarrollo de los cañones electromagnéticos se remonta a la investigación de Fauchon-Villeplée en 1918 [2], en la cual propuso el uso de energía eléctrica para la aceleración de proyectiles. Sin embargo, las limitaciones tecnológicas de la época, combinadas con la falta de fuentes de energía y materiales adecuados, impidieron su aplicación práctica. Varias décadas después, la Marina de los Estados Unidos retomó el concepto, promoviendo su desarrollo para aplicaciones militares. Desde entonces, los avances en electrónica de potencia, nuevas tecnologías de materiales y sistemas de control sofisticados han hecho que la implementación práctica de los cañones electromagnéticos sea cada vez más factible. No obstante, persisten desafíos significativos, particularmente en la escalabilidad de la tecnología, el incremento de su eficiencia y efectividad, y la reducción de los costos asociados.
El interés en los cañones electromagnéticos se extiende más allá de las aplicaciones militares. Estudios recientes han explorado su papel en la propulsión de satélites artificiales, ofreciendo una alternativa eficiente y rentable para el lanzamiento de nanosatélites [3]. En este contexto, Schroeder [4] propuso un modelo orientado a la propulsión espacial, destacando su potencial para optimizar el acceso al espacio mediante sistemas de lanzamiento electromagnético.
En los últimos años, se han logrado avances significativos en la tecnología de cañones electromagnéticos, particularmente con el desarrollo de sistemas multietapa de bobinas de inducción sincrónica [5–7], los cuales mejoran la eficiencia operativa al permitir una propulsión sin contacto del proyectil. La efectividad de este enfoque depende de una sincronización precisa entre el suministro de energía a las bobinas y el movimiento del proyectil. Sin embargo, lograr dicha sincronización exacta sigue siendo un desafío técnico considerable.
El modelo de cañón electromagnético presentado en este trabajo introduce un enfoque analítico que integra un circuito eléctrico cuyos parámetros dependen de la dinámica del sistema electromecánico. Con este fin, se emplea la representación de voltaje detrás de la reactancia (VBR, por sus siglas en inglés) [8, 9], aplicada a las ecuaciones diferenciales que gobiernan el sistema. Este método deriva un equivalente dinámico de Thèvenin, basado en ecuaciones dependientes del movimiento, lo que permite una modelación precisa del comportamiento del sistema.
El modelo propuesto en este trabajo fue implementado utilizando la herramienta de simulación ATP/EMTP y su interfaz gráfica, ATPDraw. El sistema resuelve las ecuaciones diferenciales que lo gobiernan mediante programación en módulos MODELS, los cuales calculan los parámetros del circuito equivalente VBR. Estos parámetros están interconectados con resistencias, inductancias y fuentes de voltaje controladas a través de módulos de control de señales conocidos como TACS (Transitory Analysis of Control Systems) [10].
El comportamiento electromagnético de la interacción entre la bobina y la armadura se caracteriza utilizando el método del filamento [11], el cual permite calcular las inductancias propias y mutuas de la bobina y la armadura para cualquier posición relativa entre ellos. Se aplica diferenciación numérica para determinar la variación posicional de estas inductancias, las cuales son esenciales para calcular tanto la fuerza electromagnética como la fuerza electromotriz que actúan sobre la bobina. Aunque la derivación detallada se encuentra fuera del alcance de este trabajo, los valores resultantes de inductancia y sus derivadas espaciales se incorporan al modelo ATP/EMTP mediante programación en MODELS.
2. Materiales y métodos
2.1. Planteamiento del problema
El cañón electromagnético convierte la energía eléctrica en energía mecánica mediante fuerzas generadas por la interacción entre el campo magnético producido por la corriente de la bobina y el campo inducido en la armadura. Esta interacción da lugar a la aceleración de la armadura a medida que se desplaza a través de la bobina. La efectividad de la conversión de energía depende de la intensidad de corriente, las dimensiones y la geometría de las bobinas, así como del acoplamiento electromagnético con el circuito de la armadura. La fuerza electromagnética que actúa sobre la armadura se calcula utilizando el principio del trabajo virtual [12], mientras que la aceleración resultante se determina aplicando la segunda ley de Newton, considerando las pérdidas resistivas y la fricción.
La inductancia mutua entre una bobina y la armadura es una función de su posición relativa. Puede calcularse con alta precisión utilizando técnicas numéricas como el método de elementos finitos o el método del filamento [11]. Estos métodos permiten una modelación precisa del comportamiento electromagnético del cañón y respaldan la optimización del rendimiento mediante simulaciones que consideran variaciones geométricas y dimensionales.
2.2. Modelo dinámico del cañón electromagnético
La Figura 1 presenta el modelo de circuito equivalente del cañón electromagnético, el cual consta de un condensador precargado, un tiristor, la bobina y la armadura móvil. El comportamiento dinámico del sistema está gobernado por un conjunto de ecuaciones diferenciales derivadas de la ley de voltajes de Kirchhoff, las ecuaciones de Maxwell, la segunda ley de Newton y el principio del trabajo virtual [13]. El modelo dinámico resultante se expresa en la Ecuación (1) [14].

Modelo de circuito equivalente del cañón electromagnético

Donde:

La Ecuación (2) describe las caídas de voltaje a través de la bobina y la armadura, incorporando tanto el término óhmico como las fuerzas electromotrices inducidas en cada circuito, de acuerdo con la ley de Faraday. Las relaciones mutuas entre los acoplamientos de flujo y las corrientes en el sistema se determinan aplicando la ley de Ampère y la ley de Gauss dentro del circuito magnético.
La Figura 2 proporciona una representación más detallada del sistema electromecánico compuesto por la bobina, la armadura y su circuito de excitación. De acuerdo con la segunda ley de Newton, la fuerza que actúa sobre la armadura está dada por la Ecuación (3).

Representación electromecánica del sistema bobina–armadura en el cañón electromagnético

Donde:

y,
ma es la masa de la armadura,
μf es el coeficiente de fricción,
g es la aceleración debida a la gravedad,
La corriente que circula a través de la bobina descarga el condensador según la Ecuación (5):

Y debido a la continuidad del espacio, se deriva la ecuación cinemática (6):

2.3. Cálculo de parámetros
2.3.1. Resistencia
La resistencia de la bobina se calcula utilizando la Ecuación (7):

Donde ρ = 1.68 × 10−8Ω · m es la resistividad del cobre, N es el número de espiras de la bobina, D es el diámetro de la bobina circular, y r es el radio de la sección transversal del cobre.
2.3.2. Fricción
El coeficiente de fricción dinámica μd se determina a partir del ángulo α del plano inclinado en el que la parte móvil comienza a deslizarse, según la Ecuación (8) [15].

2.3.3. Dimensiones de la bobina y la armadura
Las dimensiones de la bobina y la armadura utilizadas en este estudio se basan en el trabajo de Niu [7], quien analizó el tiempo del disparo a medida que la armadura atraviesa la bobina. El cañón electromagnético desarrollado por Niu presenta variaciones dimensionales con respecto al modelo actual. La Figura 3 y la Tabla 1 presentan las dimensiones adoptadas en este trabajo. La Figura 3 ilustra una vista en corte transversal en una posición azimutal representativa alrededor del eje z, que actúa como eje de simetría. Las posiciones de dos bobinas circulares, cada una con 55 espiras, se muestran en rojo, para indicar su composición de cobre. El tubo sólido que representa la armadura, mostrado en azul, se mueve dentro de las bobinas y se asume que está fabricado en aluminio.

Dimensiones geométricas de las bobinas y la armadura en el cañón electromagnético

Parámetros geométricos y eléctricos del cañón electromagnético
2.3.4. Inductancia mutua entre la bobina y la armadura
Las inductancias mutuas entre dos anillos concéntricos separados por una distancia z se calculan utilizando la Ecuación (9).

Donde,

K(k) es la integral elíptica completa de primera especie, y E(k) es la integral elíptica completa de segunda especie (Ecuación (10)).
Para determinar la inductancia mutua, es necesario calcular el acoplamiento total de flujo magnético entre todos los filamentos y dividirlo por la corriente que genera dicho flujo (Ecuación (11) [11, 16].

La inductancia mutua entre la bobina y la armadura se calcula considerando las densidades de corriente variables en cada filamento de la armadura. La inductancia equivalente entre ambos elementos se obtiene utilizando matrices de inductancias propias y mutuas, seguida de la aplicación de la reducción de Krön [17]. En consecuencia, la autoinductancia y la inductancia mutua de la armadura se expresan mediante la Ecuación (12).

Donde:
nm es la dimensión de la matriz de filamentos de la
bobina,
v w es la dimensión de la matriz de filamentos que representa la armadura. Dado que todos los filamentos de la armadura están conectados en cortocircuito, la aplicación de la reducción de Krön permite determinar la autoinductancia del circuito equivalente.
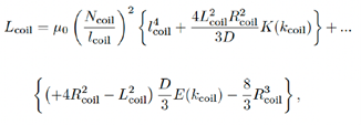
2.3.5. Autoinductancia de la bobina
La autoinductancia de la bobina se calcula utilizando una expresión derivada de la ley de Biot–Savart, basada en la evaluación numérica de integrales elípticas completas para una geometría solenoidal [18]. La expresión está dada por la Ecuación (13).

Donde,

K(k) es la integral elíptica completa de primera especie y E(k) es la integral elíptica completa de segunda especie.
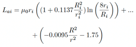
2.3.6. Autoinductancia de un filamento de la armadura
La autoinductancia de un filamento individual se calcula utilizando la expresión de Maxwell, la cual considera la inductancia mutua entre dos filamentos circulares idénticos separados por la distancia media geométrica (GMD, por sus siglas en inglés) [19]. La GMD se define mediante la Ecuación (15).


2.3.7. Modelo VBR del cañón
El modelo VBR [9,14] proporciona una representación eléctrica y matemática del cañón electromagnético, capturando de manera efectiva cómo varían la resistencia e inductancia equivalentes de la bobina a medida que el proyectil recorre su trayectoria. Estas variaciones están gobernadas por la posición del proyectil, ya que la proximidad de la armadura metálica altera la impedancia del circuito.
A partir de la Ecuación (2), el acoplamiento de flujo de la armadura, (λa) se calcula como:

obteniéndose ia a partir de la Ecuación (17),

y sustituyendo la Ecuación (18) en la Ecuación de la armadura (1) se obtiene:

La Ecuación (19) permite el cálculo del acoplamiento de flujo de la armadura λa mediante integración numérica.

Y a partir del principio del trabajo virtual,

La Figura 4 ilustra el modelo VBR desarrollado para el cañón electromagnético, derivado de las Ecuaciones (21), (22) y (23). Este modelo representa un equivalente dinámico de Thèvenin, lo que facilita su simulación en herramientas de análisis de circuitos como ATP/EMTP, Simulink y PSIM, entre otras plataformas especializadas.

Circuito equivalente basado en el modelo VBR que representa la interacción electromagnética entre la bobina y la armadura
2.4. Modelado en ATPDraw
El programa ATPDraw es una interfaz gráfica hombre–máquina que facilita el uso eficiente de la herramienta de simulación ATP/EMTP. Dentro de este entorno, los usuarios pueden integrar circuitos eléctricos complejos, sistemas de control (TACS) y componentes programables escritos en el lenguaje MODELS. Para simular el comportamiento del cañón electromagnético, se combinan estos tres componentes. El circuito eléctrico, compuesto por el condensador, el tiristor y la bobina, se modela utilizando los elementos de circuito nativos de ATP/EMTP. Los controles para las fuentes y el disparo del tiristor se activan mediante módulos TACS. Además, la dinámica del sistema y el cálculo de las inductancias dependientes de la posición se implementan utilizando programación en MODELS.
2.5. Circuito equivalente del cañón electromagnético
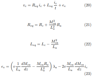
La Figura 5 muestra el circuito implementado en ATPDraw para modelar una sola etapa del cañón electromagnético. El circuito incluye un condensador, utilizado para almacenar la energía requerida para el disparo; un tiristor activado mediante TACS, y su circuito snubber asociado, encargado de mitigar sobretensiones transitorias. Además, la resistencia equivalente Req, la inductancia Leq y la fuerza electromotriz equivalente Eeq se representan como componentes variables, cuyos valores instantáneos se determinan mediante el cálculo dinámico implementado con programación en MODELS.

Circuito equivalente basado en el modelo VBR
2.5.1. Modelado de la conductancia mutua
La inductancia mutua se modeló utilizando el método del filamento [11], en el cual la bobina fue discretizada en segmentos n×m y la armadura en elementos circulares v×w. Cada segmento posee una autoinductancia definida en la Ecuación (16), mientras que las inductancias mutuas entre segmentos se calculan mediante la Ecuación (9). Estas expresiones fueron implementadas en un script de MATLAB para evaluar el acoplamiento electromagnético entre la bobina y la armadura para posiciones relativas arbitrarias a lo largo de sus ejes. La Figura 6 ilustra una posición representativa z en la que se calculan las inductancias; los marcadores azules denotan los filamentos de la bobina y los marcadores rojos representan los de la armadura.

Posición relativa representativa entre la bobina y la armadura para el cálculo de la inductancia mutua
A partir de los cálculos de inductancia, en los que se evalúa el acoplamiento electromagnético entre la bobina y la armadura para cada distancia de separación entre sus centros, se obtiene la inductancia mutua en función de la posición z, como se ilustra en la Figura 7. Al aplicar diferenciación numérica a esta inductancia mutua dependiente de la posición, se determina su derivada espacial, como se muestra en la Figura 8.

Inductancia mutua entre la bobina y la armadura en función de la posición z, obtenida a partir de la Ecuación (11).
El comportamiento de la derivada de la inductancia mutua con respecto a la posición se reconstruye posteriormente dentro de la interfaz de programación de ATPDraw. Para ello, se extraen puntos de datos clave de la curva mostrada en la Figura 8, como se ilustra en la Figura 9. La derivada se modela utilizando tres funciones distintas: una línea horizontal entre 0 y z1, una línea inclinada entre z1 y z2, y una decaída exponencial entre z2 e infinito. Una vez definidos estos segmentos con base en los puntos seleccionados, se integran para generar una representación continua de la inductancia mutua en función de la posición.

Derivada espacial de la inductancia mutua entre la bobina y la armadura en función de la posición z

Extracción de puntos de datos clave para la reconstrucción gráfica
2.6. Modelado del sistema bobina–armadura de la primera etapa
El primer modelo desarrollado tiene como objetivo replicar la interacción entre una bobina y la armadura. Para ello, se programa un circuito eléctrico en ATPDraw, que comprende un condensador precargado, un tiristor con su correspondiente circuito de protección contra sobretensiones, la resistencia equivalente Req, definida por la Ecuación (21); la inductancia equivalente Leq, según la Ecuación (22); y la fuerza electromotriz eeq, conforme a la Ecuación (23).
Estas tres cantidades, Req, Leq, y eeq, se calculan dinámicamente utilizando el módulo MODELS denominado dm-m, el cual toma como entrada la posición de la armadura, su velocidad, y la corriente en la bobina. Adicionalmente, este módulo calcula la fuerza electromagnética Fe que actúa sobre la armadura. La fuerza resultante se retroalimenta al módulo MODELS denominado dinámica, el cual integra numéricamente las Ecuaciones (3), (5), (6) y (19) para determinar la posición z, la velocidad u y el acoplamiento de flujo λa de la armadura.

Circuito de ATPDraw utilizado para modelar la interacción bobina-armadura de la primera etapa
Las Figuras 11, 12, y 13 presentan los resultados de la simulación para la velocidad de la armadura u, la fuerza electromagnética Fe que actúa sobre ella, y la corriente en la bobina, respectivamente.
La Figura 11 ilustra el perfil de aceleración de la armadura como resultado de la fuerza electromagnética generada por la inyección de corriente en la bobina, como se muestra en la Figura 12. La fuerza presenta inicialmente un pico positivo, seguido de un componente negativo de menor magnitud, lo que provoca que la velocidad de la armadura alcance un valor máximo antes de disminuir gradualmente.
La Figura 13 muestra el comportamiento de la corriente en la bobina. Aunque la corriente sigue una tendencia sinusoidal, característica de las oscilaciones entre el condensador y la bobina, se ve notablemente influenciada por el movimiento de la armadura. A medida que la armadura atraviesa la bobina, altera la inductancia equivalente e induce una fuerza electromotriz, lo que retrasa el cruce por cero de la corriente y, en consecuencia, la desactivación del tiristor de excitación.
La Figura 14 ilustra la inversión de la corriente en el circuito de la armadura con respecto a la corriente en la bobina, un fenómeno que surge del proceso de acción reacción electromagnética. A pesar de esta inversión, el sistema continúa ejerciendo fuerza sobre la armadura, contribuyendo a su aceleración durante este intervalo.

La Figura 15 muestra el comportamiento de la tensión en el condensador cuando está conectado a la bobina. El sistema exhibe una oscilación de tipo L−C que comienza aproximadamente en 1800 V y alcanza un mínimo de –1500 V. Esta variación de voltaje refleja tanto la transferencia de energía a la armadura como las pérdidas de energía inherentes al circuito eléctrico.

Corriente de la armadura ia

Tensión en el condensador vc, durante la descarga del cañón electromagnético de la primera etapa
2.7. Modelo de cañón con múltiples etapas
La implementación de un cañón electromagnético multietapa implica la replicación del modelo inicial de una sola etapa a lo largo de etapas sucesivas. Cada etapa requiere la retroalimentación de la corriente en la bobina ici y de la inductancia mutua correspondiente Mcai. La fuerza electromagnética total se calcula sumando las contribuciones de todas las etapas, proceso que se lleva a cabo mediante un módulo TACS.

Definición de parámetros y posiciones de las bobinas y la armadura
Para disparar los tiristores, es necesario identificar las posiciones específicas de la armadura en las que se aplican las señales de activación. El primer tiristor se activa en un momento predefinido, posicionando la armadura de manera óptima, típicamente en el punto medio de la bobina cuando su velocidad es cero. Las etapas subsiguientes se activan en función de la posición en tiempo real de la armadura. Un mal sincronismo en la activación de los tiristores puede afectar negativamente la velocidad final del proyectil. Un criterio común de activación consiste en disparar el tiristor cuando el extremo posterior de la armadura se alinea con el punto medio de cada bobina. Sin embargo, a medida que aumenta la velocidad de la armadura, adelantar la posición de disparo puede mejorar la eficiencia de conversión de energía. Las posiciones de activación seleccionadas para cada etapa se resumen en la Tabla 2. Estos valores sirven como puntos de referencia para la activación de las bobinas y pueden ajustarse para optimizar la velocidad final del sistema.

Parámetros geométricos y eléctricos del cañón electromagnético
La Figura 17 presenta el modelo completo del cañón electromagnético configurado con cinco etapas, construido siguiendo la misma metodología empleada en el modelo de una sola bobina. En esta configuración multietapa, se replica un circuito eléctrico individual para cada etapa, junto con los módulos MODELS correspondientes para calcular las inductancias mutuas y las fuerzas eléctricas generadas por cada bobina. Además, se emplea un módulo dinámico para integrar las ecuaciones de movimiento y calcular el acoplamiento de flujo de la armadura. Este módulo recibe el efecto acumulado de las fuerzas instantáneas generadas por cada una de las bobinas del cañón electromagnético.

Cañón electromagnético de cinco etapas
Las Figuras 18, 19, y 20 presentan los resultados de la simulación del modelo de cañón electromagnético de cinco etapas, mostrando la velocidad de la armadura u, las fuerzas eléctricas Fei ejercidas por cada bobina y las correspondientes corrientes en las bobinas ici. El perfil de velocidad de la armadura exhibe un comportamiento escalonado, atribuible a la separación espacial entre las bobinas.
La Figura 18 ilustra cinco fases de aceleración distintas, cada una correspondiente al paso de la armadura a través de una bobina. Estas aceleraciones son el resultado de las fuerzas electromagnéticas generadas por las bobinas, como se muestra en la Figura 19. Cada fase de aceleración se asemeja al comportamiento observado en el caso de una sola etapa (Figuras 11 y 12); sin embargo, la velocidad de la armadura aumenta progresivamente con cada etapa. Esta progresión modifica la dinámica de aceleración debido a las fuerzas electromotrices variables inducidas en las bobinas.

Velocidad u durante las cinco etapas

Fuerza eléctrica de las cinco etapas
La Figura 20 muestra la evolución de las corrientes en cada bobina a medida que aumenta la velocidad de la armadura. A velocidades más altas, se observa un cambio notable en la forma de las curvas, ya que la armadura sale por completo de la bobina antes de que la corriente alcance el valor cero, lo que dificulta la desactivación adecuada del tiristor correspondiente.

Corriente en la bobina durante las cinco etapas
Las Figuras 21 y 22 presentan los resultados de la simulación para la corriente de la armadura y las tensiones en los capacitores correspondientes a cada etapa del convertidor. El comportamiento observado es similar al de un sistema con una sola bobina; sin embargo, en la configuración multietapa, la corriente de la armadura muestra un valor inicial en cada evento de disparo. La corriente inicial influye en la generación de la fuerza electromagnética y, en consecuencia, en la aceleración de la armadura.

3. Resultados y discusión
Esta sección resume los resultados de simulación obtenidos con el modelo desarrollado tanto para el cañón electromagnético de una sola etapa como para el de cinco etapas. Asimismo, se incluyen comparaciones con datos experimentales reportados en la literatura para un cañón de cinco etapas [7].
3.1. Resultados de la primera etapa
La Tabla 3 presenta los valores máximos o en estado estacionario de las variables clave obtenidas para el modelo correspondiente a la primera etapa del cañón electromagnético.

Resultados de la primera etapa
En el caso de la velocidad, el valor en estado estacionario reportado en la Tabla 3 corresponde al valor final alcanzado tras superar el pico máximo. Este ligero descenso se atribuye a la fuerza eléctrica negativa generada al final del pulso de corriente en la bobina.
Los resultados obtenidos son consistentes en forma y magnitud con simulaciones y experimentos reportados en estudios previos [7].
3.2. Resultados de las múltiples etapas
La Tabla 4 muestra los valores máximos o en estado estacionario de las variables clave para el cañón electromagnético de cinco etapas. En esta configuración, la velocidad aumenta de manera escalonada en cada etapa, alcanzando finalmente los 79,7 m/s, gracias a la sincronización precisa de los disparos de los tiristores. Aunque esta velocidad podría optimizarse ajustando las posiciones de disparo, dicha mejora se encuentra fuera del alcance del presente estudio. En la primera etapa, el disparo se programa en función del tiempo, mientras que en las siguientes se activa según la posición de la armadura utilizando un bloque MODELS con lógica de control. La activación se adelanta levemente para reducir errores y mejorar la eficiencia en la transferencia de energía.
La relación entre velocidad y fuerza, representada en la Figura 19, confirma que los picos de fuerza coinciden con los incrementos de velocidad, lo que subraya la importancia de una activación precisa. Los resultados correspondientes se resumen en la Tabla 4.

Resultados de cada etapa del proceso
3.3. Comparación con resultados experimentales
Los resultados experimentales para un cañón electromagnético de cinco etapas con dimensiones similares a las empleadas en este estudio se reportan en [7]. Dicho sistema se centra en la optimización de la sincronización de los disparos del cañón electromagnético. Los resultados del experimento de Niu se presentan en la Tabla 5.

Resultados de la corriente en la bobina y velocidad
Experimental
La comparación entre el modelo de Niu y el desarrollado en este trabajo muestra que las corrientes en las bobinas del modelo propuesto son menores y presentan un perfil pulsante, mientras que en el modelo de Niu [7] las corrientes aumentan de forma continua. El modelo actual alcanza una velocidad final de 80 m/s, ligeramente inferior a los 88 m/s obtenidos en el sistema de Niu. Esta diferencia se atribuye a la mayor eficiencia de su configuración; no obstante, ambos modelos exhiben un rendimiento comparable en la conversión de energía. El modelo propuesto aún admite mejoras, especialmente en la optimización de los tiempos de conmutación y en la lógica de disparo de los tiristores.
3.4. Discusión
3.4.1. Evaluación del método utilizado
El enfoque de modelado utilizado en este trabajo constituye una herramienta sólida y confiable para el diseño de cañones electromagnéticos. Presenta una alta concordancia con datos experimentales, con discrepancias inferiores al 10 % en variables críticas como las corrientes en las bobinas, la velocidad del proyectil y las tensiones en los capacitores. Otros parámetros, como la fuerza de aceleración y las corrientes de la armadura, son difíciles de medir directamente; no obstante, pueden estimarse eficazmente mediante las capacidades predictivas del modelo propuesto.
3.4.2. Evaluación del método VBR
El método de voltaje detrás de la reactancia (VBR, por sus siglas en inglés) constituye un enfoque eficaz para modelar el comportamiento electromagnético del cañón mediante circuitos eléctricos equivalentes, representando la bobina y la armadura como una fuente de voltaje detrás de una reactancia. A diferencia de su aplicación convencional en máquinas de inducción, donde la reactancia se mantiene constante y solo varía la fuerza electromotriz inducida, esta implementación exige ajustes dinámicos de la resistencia y la inductancia equivalentes, en función de la posición z del proyectil. En consecuencia, es necesario resolver simultáneamente las ecuaciones diferenciales eléctricas y mecánicas acopladas, debido a su alta interdependencia.
3.4.3. Evaluación de la herramienta ATP/ EMTP
La herramienta de simulación ATP/EMTP, junto con su interfaz gráfica ATPDraw, resultó altamente eficaz para modelar el cañón electromagnético. Estos programas permiten una computación rápida y eficiente mediante el método de integración trapezoidal, que representa los componentes del sistema como redes de conductancias alimentadas por fuentes de corriente en cada paso de integración.
Debido a la complejidad del sistema electromagnético, simular con precisión el comportamiento de las inductancias propias y mutuas requiere aplicar el método del filamento. Para incorporar estos resultados en la simulación, se emplean aproximaciones funcionales o tablas de valores dentro del entorno de programación MODELS de ATP/EMTP. En este estudio, se obtuvieron resultados precisos al seleccionar tres puntos representativos del perfil de la derivada de la inductancia mutua entre la bobina y la armadura, los cuales se utilizaron posteriormente para integrar analíticamente dichas funciones en los bloques MODELS correspondientes a cada bobina.
La dinámica del sistema también fue modelada exitosamente dentro de un módulo MODELS, mediante la integración de las variables de estado para calcular la posición, la velocidad y el acoplamiento de flujo de la armadura.
3.4.4. Desafíos asociados con el desarrollo de cañones electromagnético
El desarrollo de cañones electromagnéticos enfrenta varios desafíos críticos que deben superarse para viabilizar su implementación práctica:
Requieren fuentes de energía compactas y de alta potencia.
Las pérdidas energéticas, convertidas principalmente en calor, deben gestionarse eficientemente para evitar condiciones térmicas que excedan los límites de los materiales estructurales.
Los materiales actuales presentan limitaciones frente a esfuerzos mecánicos y térmicos extremos.
Las altas velocidades del proyectil plantean retos significativos para los sistemas de control a lo largo de toda la estructura.
Los campos electromagnéticos generados pueden interferir con los sistemas de control y comunicación, comprometiendo su funcionamiento.
Los elevados costos de desarrollo e implementación dificultan la escalabilidad y adopción de esta tecnología.
Las fuerzas de reacción generadas en las bobinas, comparables en magnitud a las que actúan sobre el proyectil, exigen sistemas de soporte capaces de absorber esfuerzos mecánicos considerables.
4. Conclusiones
Este estudio presenta el desarrollo de un modelo computacional de un cañón electromagnético, construido mediante una metodología analítico–numérica para calcular las inductancias propias y mutuas tanto en las bobinas como en la armadura. Los perfiles de inductancia fueron implementados en el entorno de simulación ATP/EMTP, utilizando aproximaciones lineales y exponenciales.
El modelo propuesto está estructurado en cuatro subsistemas interconectados: 1. Representación del circuito eléctrico. 2. Integración de las ecuaciones diferenciales que describen el comportamiento dinámico de las variables de estado clave. 3. Cálculo de las inductancias, sus derivadas y la fuerza electromagnética ejercida por cada bobina sobre la armadura. 4. Módulo de disparo que activa cada tiristor en función de la posición de la armadura. Esta arquitectura es escalable a cualquier número de etapas y emula con alta fidelidad los componentes y dimensiones principales de los sistemas de cañones electromagnéticos.
Los resultados de simulación obtenidos presentan desviaciones inferiores al 10 % en comparación con los datos experimentales reportados en [7], lo que valida la precisión y robustez del modelo. Combinado con la accesibilidad del entorno de programación y la interfaz visual de ATP/EMTP y ATPDraw, el marco propuesto constituye una herramienta eficaz para el análisis y diseño de sistemas de lanzamiento electromagnético. Estos sistemas tienen aplicaciones crecientes en diversos campos, como tecnologías militares, propulsión aeroespacial y generación de plasma para investigación científica avanzada.
Agradecimientos
Los autores expresan su agradecimiento a la Universidad Politécnica Salesiana y al Grupo de Investigación en Energía GIE por su valioso apoyo brindado durante en el desarrollo y la ejecución de este trabajo.
Roles de autor
José Manuel Aller Castro: Conceptualización, análisis formal, investigación, metodología, supervisión, escritura – borrador original.
Juan José Cordero Cantos: Curación de datos, análisis formal, investigación, software, validación, visualización.
Pedro José León Rojas: Curación de datos, análisis formal, investigación, software, validación, visualización.
Johnny Rengifo: Conceptualización, metodología, visualización, escritura – borrador original, escritura – revisión y edición
Referencias
[1] K. McKinney and P. Mongeau, “Multiple stage pulsed induction acceleration,” IEEE Transactions on Magnetics, vol. 20, no. 2, pp. 239–242, Mar. 1984. [Online]. Available: https://doi.org/10.1109/TMAG.1984.1063089
[2] I. McNab, “Early electric gun research,” IEEE Transactions on Magnetics, vol. 35, no. 1, pp. 250–261, 1999. [Online]. Available: https://doi.org/10.1109/20.738413
[3] E. N. Zapico, G. J. Torresán, and R. J. Garay, “Análisis estructural preliminar de un nanosatélite lanzado por cañón electromagnético,” in Mecánica Computacional, vol. XXIV, no. 12, Córdoba, Argentina, Nov. 2005, pp. 2075–2085. [Online]. Available: https://upsalesiana.ec/ing34ar10r3
[4] J. Schroeder, J. Gully, and M. Driga, “Electromagnetic launchers for space applications,” IEEE Transactions on Magnetics, vol. 25, no. 1, pp. 504–507, 1989. [Online]. Available: https://doi.org/10.1109/20.22590
[5] X. Niu, K. Liu, Y. Zhang, G. Xiao, and Y. Gong, “Multiobjective optimization of multistage synchronous induction coilgun based on nsga-ii,” IEEE Transactions on Plasma Science, vol. 45, no. 7, pp. 1622–1628, Jul. 2017. [Online]. Available: https://doi.org/10.1109/TPS.2017.2706522
[6] X. Niu, W. Li, and J. Feng, “Nonparametric modeling and parameter optimization of multistage synchronous induction coilgun,” IEEE Transactions on Plasma Science, vol. 47, no. 7, pp. 3246–3255, Jul. 2019. [Online]. Available: https://doi.org/10.1109/TPS.2019.2918157
[7] X. Niu, L. Chen, Y. An, and Y. Hu, “Research on critical trigger criterion of multistage synchronous induction coilgun,” IEEE Transactions on Plasma Science, vol. 51, no. 9, pp. 2667–2675, Sep. 2023. [Online]. Available: https://doi.org/10.1109/TPS.2023.3306329
[8] L. Wang, J. Jatskevich, and S. D. Pekarek, “Modeling of induction machines using a voltage-behind-reactance formulation,” IEEE Transactions on Energy Conversion, vol. 23, no. 2, pp. 382–392, Jun. 2008. [Online]. Available: https://doi.org/10.1109/TEC.2008.918601
[9] J. M. Aller, J. A. Restrepo, and J. C. Viola, “Voltage behind reactance model of induction machine using atpdraw and models,” in 2021 IEEE Fifth Ecuador Technical Chapters Meeting (ETCM). IEEE, Oct. 2021. [Online]. Available: http://doi.org/10.1109/ETCM53643.2021.9590817
[10] H. K. Høidalen, L. Prikler, and J. Hall, “Atpdraw-graphical preprocessor to atp, windows version,” in Proceedings of International Conference on Power Systems Transients, IPST, 1999, pp. 20–24. [Online]. Available: https://upsalesiana.ec/ing34ar10r10
[11] L. Shoubao, R. Jiangjun, P. Ying, Z. Yujiao, and Z. Yadong, “Improvement of current filament method and its application in performance analysis of induction coil gun,” IEEE Transactions on Plasma Science, vol. 39, no. 1, pp. 382–389, Jan. 2011. [Online]. Available: http://doi.org/10.1109/TPS.2010.2047276
[12] D. C. White, Electromagnetic energy conversion. Wiley, 1959. [Online]. Available https://upsalesiana.ec/ing34ar10r12
[13] J. M. Aller, “Máquinas eléctricas rotativas: Introducción a la teoría general,” Editorial Equinoccio, 2006. [Online]. Available: https://upsalesiana.ec/ing34ar10r13
[14] J. M. Aller, J. A. Restrepo, J. C. Viola, and J. R. Mayor, “Simplified voltage behind reactance model for the six-phase open-end salient pole pmsm,” in 2020 International Conference on Electrical Machines (ICEM). IEEE, Aug. 2020, pp. 2216–2221. [Online]. Available: https://doi.org/10.1109/ICEM49940.2020.9270701
[15] Wikipedia. (2020, Apr.) Coefficient of friction. Wikipedia, the free encyclopedia. Accessed: 2025-06-12. [Online]. Available: https://upsalesiana.ec/ing34ar10r15
[16] W. G. Hurley, M. C. Duffy, J. Zhang, I. Lope, B. Kunz, and W. H. Wolfle, “A unified approach to the calculation of self- and mutualinductance for coaxial coils in air,” IEEE Transactions on Power Electronics, vol. 30, no. 11, pp. 6155–6162, Nov. 2015. [Online]. Available: http://doi.org/10.1109/TPEL.2015.2413493
[17] G. Kron, A short course in tensor analysis for electrical engineers, I. Dover Publications, Ed. CONSTABLE and CO, LTD, 1959. [Online]. Available: https://upsalesiana.ec/ing34ar10r17
[18] E. Rosa and F. Grover, Formulas and tables for the calculation of mutual and self-inductance. US Government Printing Office, 1912. [Online]. Available: https://upsalesiana.ec/ing34ar10r18
[19] R. Weaver, Geometric Mean Distance – Its Derivation and Application in Inductance Calculations. Electronbunker.ca, 06 2016. [Online]. Available: https://upsalesiana.ec/ing34ar10r19
Información adicional
redalyc-journal-id: 5055
Enlace alternativo
https://revistas.ups.edu.ec/index.php/ingenius/article/view/10434 (html)