Revisão Integrativa de Literatura
Modifiable risk factors related to osteoarthritis among older people
Fatores de riscos modificáveis relacionados a osteoartrite entre pessoas idosas
Factores de riesgo modificables relacionados con la osteoartritis entre personas mayores
Modifiable risk factors related to osteoarthritis among older people
Revista de Pesquisa Cuidado é Fundamental Online, vol. 16, e-13394, 2024
Universidade Federal do Estado do Rio de Janeiro

Recepción: 04 Julio 2024
Aprobación: 18 Julio 2024
Abstract: Objective: to seek evidence on modifiable risk factors that are related to the development of knee and hip osteoarthritis among elderly people. Method: this is an integrative review guided by PRISMA, in the Lilacs, Scopus, Medline, SciELO and Web of Science databases. The following descriptors were used: Elderly; Aging; Osteoarthritis; Hip; Knee; Risk factors. Results: seven articles were identified highlighting the sovereignty of risk factors related to overweight and/or obesity for the development of knee and hip osteoarthritis among elderly people. Conclusion: the results demonstrated the need for weight control to prevent osteoarthritis among elderly people and the development of more studies on the subject.
Keywords: Health of the elderly, Osteoarthritis, Prevention, Review.
Resumo: Objetivo: buscar evidências sobre os fatores de riscos modificáveis que estão relacionados ao desenvolvimento da osteoartrite de joelho e quadril, entre as pessoas idosas. Método: Trata-se de uma revisão integrativa norteada pelo PRISMA, nas bases de dados Lilacs, Scopus, Medline, SciELO e Web of Science. Utilizou-se os descritores: Idoso; Envelhecimento; Osteoartrite; Quadril; Joelho; Fatores de Risco. Resultados: identificou-se sete artigos com destaque para soberania dos fatores de risco relacionados ao sobrepeso e/ou obesidade para o desenvolvimento da osteoartrite de joelho e quadril, entre as pessoas idosas. Conclusão: os resultados demonstraram a necessidade do controle do peso para prevenção da osteoartrite entre as pessoas idosas e do desenvolvimento de mais estudos sobre a temática.
Palavras-chave: Saúde do idoso, Osteoartrite, Prevenção, Revisão.
Resumen: Objetivo: buscar evidencia sobre factores de riesgo modificables que se relacionan con el desarrollo de osteoartritis de rodilla y cadera en personas mayores. Método: se trata de una revisión integradora guiada por PRISMA, en las bases de datos Lilacs, Scopus, Medline, SciELO y Web of Science. Se utilizaron los siguientes descriptores: Adulto mayor; Envejecimiento; Osteoartritis; Cadera; Rodilla; Factores de riesgo. Resultados: fueron identificados siete artículos que destacan la soberanía de los factores de riesgo relacionados con el sobrepeso y/u obesidad para el desarrollo de artrosis de rodilla y cadera en personas mayores. Conclusión: los resultados demostraron la necesidad del control de peso para prevenir la artrosis en personas mayores y el desarrollo de más estudios sobre el tema.
Palabras clave: Salud del anciano, Osteoartritis, Prevención, Revisión.
INTRODUÇÃO
A osteoartrite (OA) é a forma mais comum de artrite em adultos, caracterizada por dor crônica e perda de mobilidade. A osteoartrite ocorre mais frequentemente após os 40 anos e a prevalência aumenta acentuadamente com a idade.1 A osteoartrite é a condição clínica mais frequente do sistema musculoesquelético no mundo, sendo caracterizada por alteração da estrutura e função das articulações, envolvendo a cartilagem articular, o osso subjacente e os tecidos moles.2
O principal sintoma da osteoartrite é a dor, que a princípio se inicia após o uso da articulação e é aliviada com o repouso. Com a evolução da doença, a dor pode ocorrer aos mínimos esforços ou mesmo no repouso. Outros sintomas como crepitação articular, rigidez articular menor que 15 minutos, e algumas vezes inflamação, com alterações biomecânicas importantes, podem ser a causa da limitação e incapacidade funcional desses pacientes.3 Pode ser entendida como uma insuficiência cartilaginosa decorrente de fatores mecânicos, genéticos, hormonais, ósseos e metabólicos levando a uma degradação do tecido cartilaginoso e consequente remodelação óssea e inflamação sinovial.2
A osteoartrite é uma causa bem conhecida de dor crônica e incapacidade. Além de impactar na saúde física, pode ter efeitos negativos na saúde mental. Há também evidências de que a OA é um fator de risco para desenvolvimento de doenças cardiovasculares, mas os mecanismos ainda não estão bem documentados, sendo possivelmente pela dificuldade da prática de atividades físicas.4
A dor e as limitações funcionais são sequelas importantes da OA, com impactos significativos na vida das pessoas, particularmente aumento das limitações de atividade, perda de destreza e problemas de mobilidade, muitas vezes levando a consequências sociais negativas. A OA desempenha um papel particularmente importante no contexto de riscos aumentados devido à sua elevada prevalência na população entre adultos com mais de 50 anos (entre 22-38%), aumentando a prevalência com o aumento da idade.5
A Organização Mundial da Saúde (OMS) designou 2021-30 como a década do envelhecimento saudável, o que destaca a necessidade de abordar doenças como a osteoartrite, que afetam fortemente a capacidade funcional e a qualidade de vida.1 O envelhecimento saudável foi definido como um processo de criação e melhoria de oportunidades para manter e melhorar a saúde, a independência e a qualidade de vida.5
Sobre os locais que a OA pode afetar os joelhos, mãos, quadris e coluna, podem ter um impacto considerável no indivíduo, causando dor e incapacidade. A incapacidade causada pela OA afeta negativamente as atividades diárias dos indivíduos, levando a uma diminuição da sua qualidade de vida.6,7 Contudo, é sabido que a osteoartrite de quadril e joelho são as principais causas de incapacidade global e diante do envelhecimento da população mundial e das mudanças no estilo de vida moderna é esperado um aumento destes agravos no sistema de saúde. O que vem impulsionando a necessidade de se desenvolver estudos voltados a prevenção primária das OA, especialmente sobre o conhecimento dos fatores de risco modificáveis.8
Assim, conhecer os fatores que impactam no desenvolvimento da osteoartrite, principalmente os modificáveis, é essencial para prevenir e atenuar a progressão do dano articular, melhorando a qualidade de vida e a função física. Especialmente, com o aumento da longevidade da população brasileira e mundial,9,10 o conhecimento dos fatores de riscos modificáveis poderá direcionar as orientações e condutas dos profissionais de saúde, e assim, contribuir com o envelhecimento mais saudável e ativo.
Neste sentido, a pergunta de pesquisa que norteou esta revisão foi: o que as evidências científicas descrevem sobre os fatores de riscos modificáveis relacionados ao desenvolvimento da osteoartrite de joelho e quadril, entre as pessoas idosas? Desse modo, esta revisão tem por objetivo buscar evidências sobre os fatores de riscos modificáveis que estão relacionados ao desenvolvimento da osteoartrite de joelho e quadril, entre as pessoas idosas.
MÉTODO
Trata-se de uma revisão da literatura, estruturada segundo as recomendações do Joanna Briggs Institute (JBI) e escrito por meio do Checklist Preferred Reporting for Systematic Reviews and Meta Analyses extension for Scoping Reviews.11
A construção da pergunta de pesquisa ocorreu pela estratégia População, Variáveis e Resultados (PVO) com o mnemônico: P – pessoas idosas > 60 anos, considerando as referências internacionais; V – Fatores de risco modificáveis; O – desenvolvimento da osteoartrite de joelho e quadril. Assim, a questão norteadora adotada foi: Quais fatores de riscos modificáveis estão relacionados ao desenvolvimento da osteoartrite de joelho e quadril entre as pessoas idosas?
Foram considerados elegíveis artigos científicos originais nacionais e internacionais, estudos quantitativos, qualitativos ou de métodos mistos, publicados em periódicos indexados, que mantém revisão por pares, disponíveis em formato completo e online, publicados entre 2019 e 2024; que abordassem a temática os fatores de riscos modificáveis relacionados ao desenvolvimento da osteoartrite de joelho e quadril. Os critérios de exclusão foram: artigos duplicados, artigos de revisões, editoriais, respostas ao editor, cartas e artigos com amostras < 60 anos. Em casos de discordância entre as pesquisadoras, foi realizado consenso para seleção. Foram realizados filtros prévios, no tangente ao período e idiomas nas bases de dados escolhidas.
A busca dos artigos ocorreu em abril de 2024, envolvendo as seguintes fontes de informação, utilizando o acesso institucional do Portal de Periódicos da Capes/ Acesso CAFe (Comunidade Acadêmica Federada): National Library of Medicine - PubMed, Scopus (Elsevier), Web of Science, Literatura Latino-Americana e do Caribe em Ciência da Saúde (LILACS)/BVS e Scientific Electronic Library Online -Scielo. Após localização na listagem dos Descritores em Ciências da Saúde (DeCS/MeSH), disponibilizados no portal da BVS-MS (http://decs.bvs.br), utilizou-se os seguintes descritores: (Aged OR Elderly OR Aging) AND Osteoarthristis AND (Knee OR Hip) AND (Risk factors); (Idoso OR Envelhecimento) AND Osteoartrite AND (Quadril OR Joelho) AND (Fatores de Risco).
Os arquivos com o resultado da busca em cada uma das sete fontes de informação foram carregados no Software Zotero, aplicando-se a função de retirada de duplicatas. Dois pesquisadores fizeram reunião de alinhamento e teste de calibragem com 50 documentos. Posteriormente, iniciaram a análise e seleção dos artigos, primeiramente envolvendo títulos e resumos e em seguida com análise do texto completo.
A extração dos dados dos artigos finais selecionados foi realizada com o auxílio de um instrumento contento informações sobre o título, nome do(s) autor(es), ano, local de realização do estudo, tipo de estudo, amostra e resultados relacionados ao objetivo desta revisão. Os resultados foram organizados e apresentados por meio de figuras e quadro com sínteses narrativas.
RESULTADOS
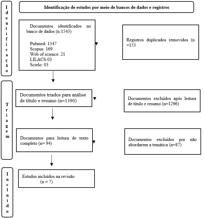
Foram identificados 1543 artigos e 1.390 artigos permaneceram após a remoção dos artigos duplicados. Foram excluídos 1296 artigos após leitura de títulos e resumos. Em seguida, foi realizada análise do texto completo de 96 artigos, sendo excluídos 87 artigos por não atenderem os critérios de elegibilidade deste estudo, sendo incluídos 7 (sete) artigos na revisão (Figura1).

O intervalo temporal dos estudos foi de 2019 a 2024, com predominância de publicações em 2023 - Park, J, 2023;12 Sundaram et al., 2023;13 e Ji et al., 2023.14 Quanto ao local de realização do estudo no Brasil, na Coreia do Sul e na Índia foram realizados dois estudos em cada país; e apenas um estudo na China. Em relação ao delineamento metodológico, todos apresentaram abordagem quantitativa sendo a maioria por meio de estudos transversais (n=6) e apenas um ecológico o do Park J, 202312 (Quadro 1).

Legenda: IMC= Índice de Massa Corporal; OA: Osteoartrite; OAJ: Osteoartrite de Joelho; OR: Odds Ration
Em relação aos fatores de risco modificáveis relacionados ao desenvolvimento da osteoartrite de joelho e/ou quadril, entre as pessoas idosas, abordadas nos estudos selecionados, destaca-se: o sobrepeso e a obesidade (5 artigos); e os demais fatores como estilo de vida sedentário, circunferência de cintura aumentada, sono prejudicado, residentes em área urbana em comparação aos das áreas rurais e baixa escolaridade, que foram relatados uma vez em cada estudo desta revisão (Quadro 1).
DISCUSSÃO
Uma das doenças reumáticas mais prevalentes é a osteoartrite (OA), descrita por ser degenerativa e crônica, caracterizada pelo desgaste da cartilagem articular individual. A incidência é maior em articulações de grande peso, como joelho e quadril, e com avançar da idade aumenta-se consideravelmente a chance do desenvolvimento da OA, principalmente na população idosa.15 O que impulsionou o desenvolvimento desta revisão com foco nos fatores de risco modificáveis relacionado ao desenvolvimento da OA entre as pessoas idosas, que poderá ajudar as pessoas a retardar ou mesmo evitar o surgimento destas enfermidades com a adoção de medidas preventivas ao longo da vida.
Nos resultados desta revisão, a maioria dos fatores de risco modificados relacionado ao desenvolvimento da OA em pessoas idosas foram relacionados ao sobrepeso e/ou obesidade, como IMC elevado, vida sedentária e circunferência de cintura aumentada. O que corrobora com resultados de revisão sistemática publicada em 201516 que já apontava a idade, sexo, obesidade, doenças metabólicas, osteoporose, fatores genéticos e lesões articulares. E, outra mais recente (2023)17, que destaca que o sobrepeso ou obesidade a longo prazo pode resultar em perda muscular e acúmulo de gordura, levando à liberação de fatores inflamatórios que aumentam a pressão do joelho ou alteram a biomecânica da articulação do joelho, induzindo a OA e, ainda, demonstrou que manter um peso corporal mais leve por um período de 10 anos pode reduzir o risco de OA em 27,5%.
O peso em excesso pode aumentar o estresse nas articulações, levando a maior dor, rigidez e desgaste muscular. Para as estruturas do quadril, a dor pode começar na região da virilha ou nádegas, irradiar para a parte interna da coxa ou joelho, e se a doença estiver mais avançada, a dor causará alguma dificuldade de movimento. Esta condição aumenta o risco de OA devido à sobrecarga das articulações.18
Vale ressaltar que o sobrepeso ou obesidade tendem, também, a agravar a condição clínica da OA, o que pode ser atenuado com alimentação adequada e prática de atividade física regular.19 Portanto, é altamente recomendável que os pacientes que controlem seu peso para prevenir a ocorrência de OA.17 E, segundo a sociedade brasileira de reumatologia, é fundamental manter o peso nos limites da normalidade para prevenção da OA. E, nos casos já instalados, perder peso é indicação importantíssima no tratamento, destacando que por menos que seja a redução, haverá sempre um benefício.20 O que foi ratificado pelo American College of Rheumatology, em 2019.21
Indivíduos com OA de joelho e quadril apresentam limitações devido a dor e diminuição da função física. A literatura aponta que a atividade física pode ser considerada uma opção útil e eficaz para a reabilitação dessa população.22 Medidas educativas baseadas em mudanças no estilo de vida, incluindo dieta e exercícios, e técnicas de proteção articular são importantes para tratar e prevenir a OA. As diretrizes da Osteoarthritis Research Society International (OARSI) para o tratamento e manejo da OA do joelho, quadril e múltiplas articulações definem medidas não farmacológicas como estratégias primárias, como educação sobre a doença, programas de exercícios de fortalecimento muscular, exercícios aeróbicos e mente-corpo, combinado com exercícios, foco mental e controle da respiração para melhorar a força, o equilíbrio e a flexibilidade. Além disso, uma dieta controlada é recomendada para controle de peso.23
A atividade física oferece vários benefícios à saúde, incluindo remodelação articular, fortalecimento muscular e controle de peso. A atividade recreativa ou de intensidade moderada é um fator de proteção para a osteoartrite. E, estudos mostraram que a perda de peso pode melhorar a dor e a função articular e reduzir os processos inflamatórios. A literatura estima que perder 5 kg de peso corporal pode reduzir o risco de desenvolver osteoartrite em 50%.24
Outro fator de risco que vale destacar é o sono, descrito no estudo de Ji et al (2023)14 realizado na China, que revelou um acréscimo de risco entre 1,6 e 1,9. Contudo, evidências apontam que tal condição está vinculada a inter-relação entre o sono e a dor, tendo em vista que a prevalência de dor noturna no joelho e problemas relacionados ao sono potencializa a gravidade da OA, afetando a qualidade de vida dos pacientes, com frequentes relatos de queixas de sono entre este público. Entretanto, estudos que examinam a relação entre a qualidade do sono e os sintomas em pacientes com OAJ são limitados e faltam estudos longitudinais, requerendo mais pesquisas que avaliem a relação entre o sono e OA.14,25
Por meio deste artigo, destaca-se a importância de aumentar a familiaridade dos profissionais de saúde com as variáveis modificáveis que interferem na osteoartrite, com consequente aumento do custo para saúde e para qualidade de vida das pessoas idosas. A identificação desses fatores pode favorecer a adoção de medidas preventivas de forma mais direcionada e precoce.
Ademais, como limitações do estudo, destaca-se a necessidade de produzir mais estudos que abordem os fatores modificáveis entre as pessoas idosas, especialmente de cunho longitudinal, visto o aumento da longevidade e o impacto que o conhecimento destes fatores pode gerar entre as medidas de prevenção e promoção da saúde entre este público.
CONCLUSÃO
Os estudos destacaram o sobrepeso e/ou obesidade como fator de risco modificável preponderante para o desenvolvimento da osteoartrite de joelho e quadril entre as pessoas idosas; incluindo fatores associados a tal como IMC elevado, vida sedentária e circunferência de cintura aumentada. O sono também foi mencionado, contudo necessitando de maiores estudos longitudinais para explicar tal relação. Assim sendo, os estudos enfatizaram a necessidade de se investir no controle e perda de peso para prevenção da OA entre as pessoas idosas.
REFERÊNCIAS
1. Steinmetz JD, Culbreth GT, Haile LM, Rafferty Q, Lo J, Fukutaki KG, et al. Global, regional, and national burden of osteoarthritis, 1990–2020 and projections to 2050: a systematic analysis for the Global Burden of Disease Study 2021. Lancet rheumatol. [Internet]. 2023 [cited 2024 june 13];5(9):e508–22. Available from: https://doi.org/10.1016/S2665-9913(23)00163-7.
2. Sharma L, Hochberg M, Nevitt M, Guermazi A, Roemer F, Crema MD, et al. Knee Tissue Lesions and prediction of incident knee osteoarthritis over 7 years in a cohort of persons at higher risk. Osteoarthritis and cartilage. [Internet]. 2017 [cited 2024 july 03];25(7). Available from: https://doi.org/10.1016/j.joca.2017.02.788.
3. Vargas e Silva NC de O, Cardoso T da SG, Andrade EA de, Battistella LR, Alfieri FM. Dor, incapacidade e catastrofização em indivíduos com osteoartrite do joelho. BrJP. [Internet]. 2020 [acesso em 3 de julho 2024];3. Disponível em: https://doi.org/10.5935/2595-0118.20200193.
4. Holden MA, Button K, Collins NJ, Henrotin Y, Hinman RS, Larsen JB, et al. Guidance for implementing best practice therapeutic exercise for patients with knee and hip osteoarthritis: what does the current evidence base tell us? Arthritis care res. [Internet]. 2021 [cited 2024 july 03];73(12). Available from: https://doi.org/10.1002/acr.24434.
5. Perruccio AV, Yip C, Power JD, Canizares M, Badley EM. Examining the longitudinal associations between activity limitations, instrumental supports and social participation in osteoarthritis: a CLSA population-based study. PLoS One. [Internet]. 2024 [cited 2024 june 06];19(3):e0299894. Available from: https://doi.org/10.1371/journal.pone.0299894.
6. Hawker GA, editors. Osteoarthritis is a serious disease [monografia na Internet]. Clin Exp Rheumatol. 2019 [cited 2024 june 06]. Available from: https://www.clinexprheumatol.org/a.asp?IDArchivio=230&Free=1.
7. Rodrigues RE, Duarte PHM, Feitosa CÂL. Impacto da osteoartrose de joelho na capacidade funcional e qualidade de vida de pacientes atendidos em um município de Pernambuco, Brasil. Arch Health Invest. [Internet]. 2019 [acesso em 03 de julho 2024];8(7). Disponível em: https://doi.org/10.21270/archi.v8i7.4604.
8. Runhaar J, Hall M, Schiphof D, Hosnijeh FS, Meurs J van, Agricola R, et al. What to deploy to prevent hip OA; population attributable fractions of risk factors for incident clinical and radiographic hip OA. Osteoarthritis and cartilage. [Internet]. 2019 [cited 2024 june 21];27:S271–2. Available from: https://doi.org/10.1016/j.joca.2019.02.649.
9. Instituto Brasileiro de Geografia e Estatística (IBGE). Política Nacional por Amostra de Domicílios Contínua- PNAD Contínua – Características Gerais dos Moradores 2020-2021 [Internet]. IBGE; 2022 [acesso em 10 de outubro de 2023]. Disponível em: https://biblioteca.ibge.gov.br/visualizacao/livros/liv101957_informativo.pdf.
10. Ministério da Saúde (BR). Secretaria de Vigilância em Saúde. Plano de Ações Estratégicas para o Enfrentamento das Doenças Crônicas e Agravos não Transmissíveis no Brasil, 2021-2030 [Internet]. Brasília: Ministério da Saúde [acesso em 10 de fevereiro de 2024]. Disponível em: https://www.gov.br/saude/pt-br/centrais-de-conteudo/publicacoes/svsa/doencas-cronicas-nao-transmissiveis-dcnt/09-plano-de-dant-2022_2030.pdf/view.
11. Aromataris E, Lockwood C, Porritt K, Pilla B, Jordan Z, editors. JBI Manual for Evidence Synthesis [monografia na Internet]. JBI Global; 2024 [acesso em 9 jun 2024]. Disponível em: https://synthesismanual.jbi.global.
12. Park JM. Association between obesity and osteoarthritis in the South Korean older population: A nationwide population-based study. Medicine (Baltimore). [Internet]. 2022 [cited 2024 june 07];102(14):e33455. Available from: https://doi.org/10.1097/MD.0000000000033455.
13. Sundaram R, Srinivasan V, Rizvana S, Saraboji K, Muthusamy KK, Murugan I, et al. Risk assessment of osteoarthritis among geriatric population in perambalur district using the western ontario and mcmaster universities arthritis index and katz index of independence in activities of daily living: a cross-sectional study. cureus. [Internet]. 2023 [cited 2024 june 07];15(5):e39323. Available from: https://doi.org/10.7759/cureus.39323.
14. Ji S, Liu L, Li J, Zhao G, Cai Y, Dong Y, et al. Prevalence and factors associated with knee osteoarthritis among middle-aged and elderly individuals in rural Tianjin: a population-based cross-sectional study. J Orthop surg res. [Internet]. 2023 [cited 2024 june 07];18:266. Available from: https://doi.org/10.1186/s13018-023-03742-4.
15. GBD 2016 Disease and injury incidence and prevalence collaborators. Global, regional, and national incidence, prevalence, and years lived with disability for 328 diseases and injuries for 195 countries, 1990-2016: a systematic analysis for the global burden of disease study 2016. Lancet [Internet]. 2017 [cited 2024 june 06];390(10100). Available from: https://doi.org/10.1016/S0140-6736(17)32154-2.
16. Silverwood V, Blagojevic-Bucknall M, Jinks C, Jordan JL, Protheroe J, Jordan KP. Current evidence on risk factors for knee osteoarthritis in older adults: a systematic review and meta-analysis. Osteoarthritis and cartilage. [Internet]. 2015 [cited 2024 july 03];23(4):507–15. Available from: https://doi.org/10.1016/j.joca.2014.11.019.
17. Dong Y, Yan Y, Zhou J, Zhou Q, Wei H. Evidence on risk factors for knee osteoarthritis in middle-older aged: a systematic review and meta analysis. J Orthop surg res. [Internet]. 2023 [cited 2024 june 06];18:634. Available from: https://doi.org/10.1186/s13018-023-04089-6.
18. Gomes‐Neto M, Araujo AD, Junqueira IDA, Oliveira D, Brasileiro A, Arcanjo FL. Estudo comparativo da capacidade funcional e qualidade de vida entre idosos com osteoartrite de joelho obesos e não obesos. Rev. bras. reumatol. [Internet]. 2016 [acesso em 03 de julho 2024];56(2). Disponível em: https://doi.org/10.1016/j.rbr.2015.05.004.
19. Mezey GA, Máté Z, Paulik E. Factors influencing pain management of patients with osteoarthritis: a cross-sectional study. J clin med. [Internet]. 2022 [cited 2024 july 03];11(5). Available from: https://doi.org/10.1016/j.rbr.2015.05.004.
20. Sociedade Brasileira de Reumatologia. Osteoartrite (artrose)–cartilha para pacientes da SBR. [Internet]. 2011 [acesso em 03 de julho de 2024]. Disponível em: https://www.reumatologia.org.br/doencas-reumaticas/osteoartrite-artrose/.
21. Kolasinski SL, Neogi T, Hochberg MC, Oatis C, Guyatt G, Block J, et al. American College of Rheumatology/Arthritis Foundation Guideline for the Management of Osteoarthritis of the Hand, Hip, and Knee. Arthritis heumatol. [Internet]. 2020 [cited 2024 july 03];72(2). Available from: https://doi.org/10.1002/art.41142.
22. Santiago MS, Aidar FJ, dos Santos Moraes TL, de Farias Neto JP, Vieira Filho MC, de Vasconcelos DP, et al. The management between comorbidities and pain level with physical activity in individuals with hip osteoarthritis with surgical indication: a cross-sectional study. Medicina (Kaunas). [Internet]. 2021 [cited 2024 july 03];57(9). Available from: https://doi.org/10.3390/medicina57090890.
23. Bannuru RR, Osani MC, Vaysbrot EE, Arden NK, Bennell K, Bierma-Zeinstra SMA, et al. OARSI guidelines for the non-surgical management of knee, hip, and polyarticular osteoarthritis. Osteoarthritis and cartilage. [Internet]. 2019 [cited 2024 july 03];27(11). Available from: https://doi.org/10.1016/j.joca.2019.06.011.
24. Palazzo C, Nguyen C, Lefevre-Colau MM, Rannou F, Poiraudeau S. Risk factors and burden of osteoarthritis. Ann phys rehabil med. [Internet]. 2016 [cited 2024 july 03];59(3). Available from: https://doi.org/10.1016/j.rehab.2016.01.006.
25. Lapane KL, Shridharmurthy D, Harkey MS, Driban JB, Dubé CE, Liu SH. The relationship between restless sleep and symptoms of the knee: data from the osteoarthritis Initiative. Clin. rheumatol. [Internet]. 2021 [cited 2024 july 03];40(6). Available from: https://doi.org/10.1007/s10067-020-05531-4.
Notas de autor
josianemariasouza@gmail.com
Información adicional
redalyc-journal-id: 5057