Artículos
Cinemática y Dinámica Inversa de un Robot Paralelo 3-PRS
Kinematics and Inverse Dynamic Model of a 3-PRS Paralel Robot
Cinemática y Dinámica Inversa de un Robot Paralelo 3-PRS
Ciencia e Ingeniería, vol. 38, núm. 1, pp. 89-96, 2017
Universidad de los Andes

Recepción: 10 Marzo 2016
Aprobación: 18 Octubre 2016
Resumen: En este trabajo se obtiene el modelo cinemático y dinámico inverso de un robot paralelo 3-PRS. Este robot presenta la característica de tener menos de 6 grados de libertad lo cual lo hace adecuado para aplicaciones de bajo costo. El robot presenta la particularidad de que cada pierna cuenta de dos eslabones unidos mediante pares prismático-revoluta-esférico. El trabajo se diferencia de trabajos anteriores por el hecho de que el análisis de cada pierna ha permitido desarrollar la matriz Jacobiana de dimensiones homogéneas, que relaciona las coordenadas generalizadas del elemento terminal con la coordenadas de las juntas actuadas. El modelo dinámico inverso es obtenido al considerar que la plataforma se separa de las piernas en los pares esféricos. Así, las coordenadas de juntas son utilizadas para modelar la dinámica de las piernas y las coordenadas del elemento terminal para modelar la dinámica de la plataforma. Luego, el modelo dinámico viene dado por la proyección de la dinámica de las piernas y la plataforma sobre el espacio de juntas actuadas. El enfoque propuesto permite modelar indistintamente los casos en que el robot es actuado en el par prismático o en el par de revoluta lo cual representa el otro de aporte del trabajo. Además, el modelo presenta un número de operaciones, sumas, restas, multiplicaciones y divisiones, comparable con las obtenidas en otros trabajos.
Palabras clave: cinemática inversa, dinámica inversa, robots paralelos, matriz Jacobiana.
Abstract: This paper develops the inverse kinematics and dynamics model of a general 3-PRS mechanism, which is a lower mobility parallel manipulator with each leg having a prismatics-revolution-spherical joints configuration. The analysis of each leg?s motion provides the constraint equations for the task space allowing to develop a dimensionally-homogeneous Jacobian matrix relating the linear and angular velocity of the task space. The inverse dynamics model is obtained by separating the platform and legs at the spherical joints. Then, the joint coordinates are used for the dynamic modelling of each leg while the task space coordinates are used for the platform’s dynamics. The inverse dynamics model is given by the projection of the legs’ and platform’s dynamics onto the active joint space. Moreover, the method can be applied to analyse the mechanism when the actuators are installed on: the prismatic or revolute joints. The model presented here holds fewer mathematical operations compared to those reported in other works.
Keywords: inverse kinematics, inverse dynamics, parallel robots, Jacobian matrix.
1. Introducción
El robot paralelo 3-PRS consiste de una base fija unida mediante tres cadenas cinemáticas abiertas a una plataforma móvil. Cada cadena cinemática abierta presenta dos eslabones, donde el primer eslabón va unido a la base por medio de un par prismático y, al eslabón intermedio por medio de un par de revoluta. El eslabón intermedio va unido a la plataforma móvil mediante un par esférico. Por tanto, la configuración de cada cadena es PRS (prismático, revoluta y esférico). La estructura del robot puede verse en la Figura 1, donde se muestra un prototipo desarrollado previamente por uno de los autores de este trabajo (Valles y col., 2013).
El robot paralelo 3-PRS fue inicialmente propuesto para una aplicación telescópica (Carretero y col., 2000a) y luego ha sido propuesto tanto como componente de un centro de mecanizado (Fan y col., 2003), así como microrobot para aplicaciones médicas (Merlet, 2001). Mas recientemente, este tipo de robot ha sido propuesto como dispositivo para rehabilitación de tobillo (Valles y col., 2015). El robot 3-PRS ha llamado la atención de los investigadores y es así como su cinemática y el análisis del espacio de trabajo del 3-PRS han sido ampliamente estudiadas, ver (Carretero y col. 2000a, Carretero y col. 2000b, Tsai 2002, Li y col. 2007) por solo mencionar unos pocos.

Por otra parte, la dinámica inversa ha sido abordada desde el punto de vista del principio dinámico. (Li y col., 2004) emplea las ecuaciones de Lagrange e incluyen las restricciones (debido a separar la plataforma móvil de las piernas del robot) mediante los multiplicadores de Lagrange. El inconveniente de este método es que el modelado dinámico resulta altamente complicado y adicionalmente computacionalmente complejo (alto número de operaciones, sumas restas, multiplicaciones y divisiones). (Li y col., 2004) utilizan el Principio de los Trabajos Virtuales pero en su aplicación simplifican la Inercia del eslabón intermedio y consideran su masa dividida en dos porciones, una ubicada en el primer eslabón y la otra unida a la plataforma móvil. (Tsai y col., 2010) resuelven el modelo dinamico junto con las fuerzas de restricción mediante una descomposición especial de las fuerzas de reacción que conectan la plataforma móvil al eslabón intermedio. Si bien las fuerzas de reacción son necesarias para el diseño estructural del robot, estas son innecesarias para el modelado dinámico inverso y además su calculo incrementa la complejidad del modelo. (Staicu, 2012) analiza y compara el consumo de potencia del robot 3-PRS cuando este es actuado bien en los pares prismático o en los pares de revoluta. El procedimiento empleado es recursivo similar al empleado por (Mata y col., 2008).
De los trabajos anteriores se observa que si bien se ha abordado el problema dinámico del robot 3-PRS, el aspecto del coste computacional no ha sido abordado. Este aspecto es importante en el diseño optimo ya que la evaluación de la función objetivo influye en el tiempo requerido por el algo- ritmo para llegar a la solución optima. Otra área de interés es en el control basado en el modelo dinámico, donde se requiere un modelo con un número de operaciones mínimas a fin de computarlo en linea, más ahora con el empleo cada vez mayor de plataforma de prototipado de bajo costo cuyo capacidad de procesamiento es limitado con respecto a una unidad convencional. Lo anterior a motivado el desarrollo del presente trabajo.
Este articulo propone un enfoque para resolver el problema cinemático y dinámico inverso de un robot paralelo 3- PRS. Para obtener el modelo, se parte de la solución general propuesta por (Khalil y col., 2007) y se particulariza para el caso del 3-PRS. A partir del estudio del movimiento de las piernas del robot, se ha obtenido una matrix Jacobiana de dimensiones homogéneas evitando así la inversión de una matrix con unidades de posición y angulo por una homogénea que relaciona las coordenadas de posición del elemento terminal con las de posición del par prismático o con la rotación de los pares de revoluta. Además, el modelado desarrollado considera indistintamente la posibilidad de que el 3-PRS sea actuado en los pares prismáticos o los pares de revoluta y presenta un número de operaciones, sumas/restas y multiplicaciones/divisiones, comparable o incluso menor con las obtenidas en otros trabajos.
La estructura del trabajo es la siguiente: en el apartado II se describe el robot 3-PRS. El apartado III presenta el desarrollo del modelo cinemático. El apartado IV detalla como se obtiene el modelo dinámico. El apartado V incluye un ejemplo de aplicación y finalmente, el apartado VI presenta las conclusiones.
2 El Robot Paralelo 3-PRS
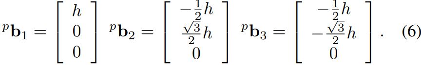
La Figura 2 muestra el diagrama esquemático del robot paralelo 3-PRS. El sistema de referencia {O} representa el sistema global de coordenadas (x, y, z) y {p} define el sistema coordenado local unido a la plataforma móvil. Los pares esféricos, se localizados en la plataforma móvil, forman un triángulo equilátero circunscrito en un circulo con centro en p y radio h. Los ejes de los pares prismático interceptan a la plataforma base formando también un triángulo equilátero. La distancia desde O al punto de intercepción del eje del par i y el plano base es s.
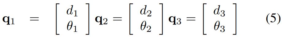
Para modelar cada una de las piernas se emplea la notación de Denavit-Hartenberg (D-H) modificada [? ]. La Tabla 1 presenta los parámetros D-H para cada pierna hasta el sistema coordenado {Oi,2}. Note que el primer subindice i indica la pierna respectiva y el segundo subindice indica el par cinemático numerados desde 1 la base hasta 3 la plataforma móvil.
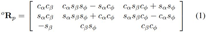
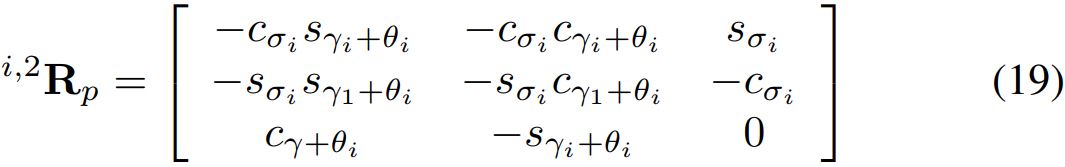
Adicionalmente, para modelar las coordenadas del elemento terminal, se emplea el sistema de Angulos de Euler XYZ alabeo-cabeceo-guiñada (α, β, φ) del sistema {p} con respecto al sistema global de coordenadas {O}. La matriz de rotación oRp viene dada por:


XYZ alabeo-cabeceo-guiñada (α, β, φ) del sistema {p} con respecto al sistema global de coordenadas {O}. La matriz de rotación oRp viene dada por:

siendo c∗ = cos (∗) y s∗ = sin (∗).
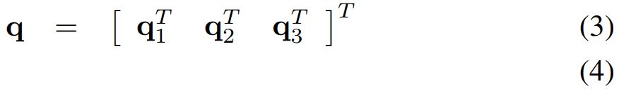
En resumen las coordenadas empleadas para el modelado del robot son las: para la plataforma móvil, las coordenadas del elemento terminal x y para cada pierna del robot las coordenadas de junta q. Así:


donde,

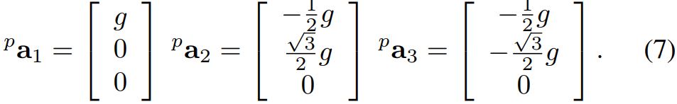
Las componentes de bi con respecto al sistema local {p} son:

Finalmente las componentes de ai con respecto al sistema local {O} son:

3 Cinemática
3.1 Problema de Posición
La ecuación de lazo vectorial para la pierna i viene dada por:

En la ecuación anterior ui,1 es un vectores unitario que define la línea de acción del par prismático i, y ui,2 es también un vector unitario dirección va desde el centro del par de revoluta hasta el centro del par esférico. Además, li define la longitud del eslabón intermedio o acoplador, mientras que qi define la magnitud de movimiento del par prismático.
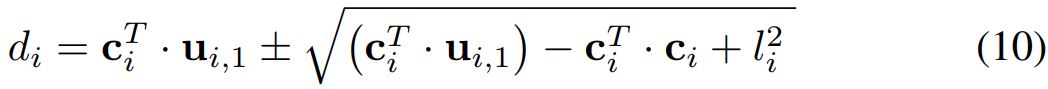
La ecuación (8) es función de: los parámetros cinemáticos, las coordenadas del elemento terminal y las coordenadas de junta. La cinemática inversa consiste en encontrar las coordenadas de junta en función de las coordenadas del elemento terminal. Los vectores ui,1 y ui,2 son función de di y θi respectivamente. Se puede eliminar la variable θi de la ecuación Eq. (8) si se despeja el termino li˙u2i hacia el lado derecho de la ecuación y se eleva al cuadrado ambos lados de la ecuación (Li y col., 2004). Así:

Luego de varias manipulaciones algebraicas se obtiene la relación entre la coordenada asociada con el par prismático:

siendo ci = p + bi − ai.
El ángulo θi se determina despejando de la ecuación obtenida luego de sustituir di en la ecuación Eq. (8)

El robot paralelo estudiado presenta 3 grados de libertad, por lo que de las 6 coordenadas del elemento terminal, es necesario determinar la relación que hay entre 3 de ellas con el resto. Para ello se estudia el movimiento del centro de los pares esféricos (Bi), el cual tiene la característica de que su movimiento ocurre en el plano definido por el vector normal alineado con la dirección del eje del par de revoluta. En otras palabras, si se observa el movimiento de la pierna i respecto al sistema coordenado {Oi,2} se tiene que la componente de movimiento de la coordenada local z es igual a cero. Por tanto si determinamos la posición del punto Bi en funció del punto p y la representamos respecto al sistema {Oi,2} la tercera componente debe ser igual a cero. Esto es:



siendo zi = [0 0 1]T, i,2Ro es la matriz de rotación, (usando parámetros de D-H) entre el sistema local {Oi,2} respecto del sistema global {O} para la pierna i.
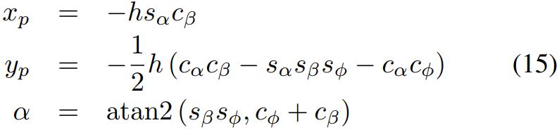
El sistema de ecuaciones (12)-(14) se puede resolver para xp, yp and α de tal manera que:

Como puede observarse se ha seleccionado como coordenadas independientes la coordenada zp y los ángulos β y φ, siendo estos los grados de libertad del robot. A partir de estas tres coordenadas, las restantes coordenadas del robot pueden ser determinadas.
3.2 Velocidad
Para resolver el problema de velocidad, primero se determina la velocidad del Bi respecto al sistema {Oi,2} se tiene:

Siendo

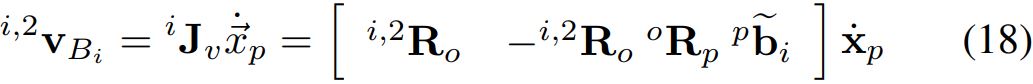
La velocidad del elemento terminal puede ser escrita con respecto a la velocidad del punto Bi:

siendo x˙p = [vpx vpy vpz ωx ωy ωz]T , b representa la matriz antisimétrica que permite sustituir el producto vectorial bi×. Además:

Las dos primeras columnas de las ecuaciones (17) y (18) relacionan las coordenadas del elemento terminal con las de junta. De esta forma:

siendo,

y,

En la ecuación anterior R (1.,2, :) indica que solo son empleadas las filas 1 y 2 de la matriz R y 0 es una matriz nula de dimensiones 2 × 2.
La ecuación (20) resuelve el problema de velocidad. Conocidas las coordenadas del elemento terminal, la ecuación permite determinar las velocidades de las juntas del robot. Sin embargo es necesario determinar la relación respecto a las coordenadas independientes, es decir, en función de los 3 grados de libertad. con este fin se tiene que:

siendo Jp−1 = (Jq−1 Jx) ([1 3 5] , :) si el robot es actuado en el par prismático PRS y Jp−1 = (Jq−1 Jx) ([2 4 6] , :) si el robot es actuado en el par de revoluta PRS.
La matriz anterior no es cuadrada por lo que no puede invertirse. Para obtener una matriz cuadrada se analiza la tercera columna de la ecuación (18):

Desarrollando la ecuación (24) se obtiene:

La ecuación anterior es un sistema lineal que relaciona las velocidades tanto angulares como lineales del elemento terminal. Con el objeto de obtener una matriz Jacobiana homogénea, se estudió el conjunto de coordenadas independientes que pueden ser utilizadas para resolver el sistema lineal. Del estudio se tiene que a) Las tres traslaciones pueden ser empleadas (x, y, z), b) Dos rotaciones y una traslación (α, β, z) or c) dos traslaciones y una rotación (α, x, z). Si se toma la velocidad lineal del punto p se obtiene un Jacobiano cuyas dimensiones son homogéneas. Así:

siendo Jr = Jr2−1 Jr1. Las velocidades de las componentes components vpx and vpx se obtienen derivando de las ecuaciones para xp y yp obtenidas en (15).
Las coordenadas del elemento terminal se obtienen a partir de las coordenadas independientes de la siguiente forma:

Si se sustituye la ecuación (27) en la ecuación (23) se tiene:

Siendo

La matriz Jacobiana que relaciona las coordenadas del elemento terminal con las de junta viene entonces dado por:

con lo cual

3.3 Acceleración
Similar a lo procedimiento utilizado para la velocidad, el problema de aceleración se resuelve relacionando la aceleración del punto Bi respecto al elemento terminal y respecto a cada una de las piernas. Se tiene que:

Siendo

Finalmente, la aceleración del elemento terminal respecto a las coordenadas independientes viene dada por:

4 Modelo Dinámico Inverso
El modelo dinámico inverso se obtiene considerando el robot como dos sistemas. Uno referido a la plataforma móvil y el segundo referido a las piernas. Los sistemas se obtienen al separar el robot en las juntas esféricas. Se modela el sistema referido a las piernas utilizando las coordenadas de juntaq y el sistema de coordenadas del elemento terminal x se emplea para modelar la plataforma.
De esta manera cada pierna puede ser vista como una cadena cinemática abierta o robot serial. La ventaja es que la dinámica inversa de cada pierna hi puede obtenerse mediante algoritmos recursivos eficientes (Provenzano y col., 2002).
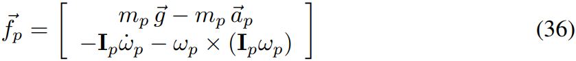
La dinámica de la plataforma móvil en función de las coordenadas del elemento terminal viene dada por:

siendo mp la masa de la plataforma y Ip el tensor de inercia respecto al centro de masas de la plataforma móvil.
Luego de obtener la dinámica de cada pierna y de la plataforma, el modelo dinámico inverso se obtiene proyectando la dinámica sobre el espacio de juntas activas (Khalil y col., 2007). De esta forma:

donde G1 representa la projección de la dinámica de las juntas pasivas de las piernas con respecto a las juntas activas.
Para completar el modelo dinámico, en la ecuación (37), las dinámica asociada a las juntas pasivas pueden proyectarse primero al espacio del elemento terminal y luego al espacio de juntas activas. Esto permite tener un modelo dinámico que considera las posibilidad de que el robot sea actuado en las juntas prismáticas o en las juntas de revoluta. Específicamente:

siendo G2 de 6 × 3 y se determina como sigue:


Para resolver la ecuación (38) se requiere aproximadamente de 860 multiplicaciones/divisiones y 680 sumas/restas lo cual es relativamente bajo si se compara con un total de 1163 y 735 obtenido por (Díaz-Rodríguez y col., 2012) y las 1352 y 778 reportadas en (Tsai y col., 2010).
5 Ejemplo de Aplicación
La tabla 2 muestra el valor de los parámetros empleados para resolver el problema dinámico inverso del robot 3-PRS cuando es actuado en el par P.

Se evaluó un total de cuatro escenarios del comportamiento del robot que permitieron comparar los resultados del enfoque de modelado propuesto en este artículo, con los obtenidos utilizando el algoritmo empleado en (Mata y col., 2008). Para todas las simulaciones los resultados fueron similares dentro del rango de precisión (10−5). Los escenarios estudiados se describen seguidamente: 1) el robot se mueve en vertical (z) siguiendo una trayectoria lineal, 2) la trayectoria vertical es armónica, 3) El ángulo de giro alrededor del eje x de la plataforma tiene un movimiento armónico y 4 ) El ángulo de giro alrededor del eje y de la plataforma tiene un movimiento armónico. Por limitaciones de espacio se presenta los resultados del segundo y tercer caso donde para el segundo caso la trayectoria del elemento terminal viene dada por:




siendo el tiempo de simulación igual a 5 segundos.
La figura 3 muestra la potencia requerida en los actuadores para el caso segundo caso. Puede apreciarse que, debido a que la plataforma sube sin girar, es de esperar que todos sus actuadores requieran de la misma potencia. De igual forma la potencia debe tener un comportamiento similar al armónico.
Para el caso 3 el movimiento del elemento terminal viene dado por:



siendo el tiempo de simulación igual a 5 segundos.
La figura 4 muestra la potencia requerida en los actuadores para el caso tercer caso. Puede apreciarse que, para lograr el movimiento armónico en la plataforma, dos de sus actuadores requieren potencia dentro del mismo rango pero en direcciones opuestas. Así mismo se observa que el tercer requiere menos del 10 % del requerido por los otros dos actuadores.

6 Conclusiones
Se desarrolló el problema cinemático y dinámico inverso de un robot paralelo 3-PRS. Dicho robot cuenta con solo 3 grados de libertad, lo cual lo hace una alternativa de estudio para diseño de robot de bajo costo.
El trabajo propuso un enfoque para determinar la matrix Jacobiana que relaciona las coordenadas dependientes e independientes. La relación se obtuvo de analizar el movimiento permitido por cada una de las piernas del robot. Se determinó una matriz Jacobiana cuyas componentes son de dimensiones homogéneas lo cual resulta importante ya que el modelo dinámico involucra la inversa de dicha matriz. Otra de las ventaja del enfoque propuesto es que se puede analizar indistintamente los casos en que el robot es actuado en los pares prismáticos o en las de revoluta.
Se evalúo numéricamente cuatro escenarios de movimiento de plataforma móvil. Se obtuvó que la diferencia de los resultados comparados con la de otros autores fue igual dentro del margen de tolerancia establecido Presentando además la característica que, el modelo propuesto presenta un menor número de operaciones multiplicación/division y sumas/restas comparado con trabajos anteriores reportados.
El enfoque de modelado aquí propuesto puede ser extendido en futuros trabajos para estudiar otros robots de 3 grados de libertad tal como 3-RPS and 3-RRS.
Agradecimientos
Se agradece el apoyo financiero del Fondo Nacional de Ciencia y Tecnología (FONACIT-Venezuela), el Programa Plan III de Intercambio Científico de la Universidad de los Andes (Venezuela), al CONACYT beca 326912/381134 y el SNI- México.
Referencias
Carretero JA, Nahon MA, Podhorodeski RP, 2000a, Works-pace analysis and optimization of a novel 3-DOF parallel manipulator. International Journal of Robotics and Automation, Vol. 14, No. 4, pp. 178–188.
Carretero JA, Podhodeski RP, Gosselin CM, 2000b, Kinematic analysis and optimization of a new three degree-of-freedom spatial parallel manipulator. ASME Journal of Mechanical Design, Vol. 122, No. 1, pp. 17–24.
Craig JJ, 2004, Introduction to Robotics: Mechanics and Control. Pearson Education.
Díaz-Rodríguez M, Valera A, Mata V, Valles M, 2012, Model-based control of a 3-dof parallel robot based on identified relevant parameters. IEEE/ASME Transactions on Mechatronics, Vol. 18, No. 6, pp. 1737 – 1744.
Fan KC, Chang TH, 2003, Sensitivity analysis of the 3-prs parallel kinematic spindle platform of a serial parallel machine tool. International Journal of Machine Tools and Manufacture, Vol. 43, No. 15, pp. 1561–1569.
Khalil W, Ibrahim O, 2007, General solution for the dyna- mic modeling of parallel robots. Journal of Intelligent and Robotic Systems, Vol. 49, No. 1, pp. 19–37.
Li YM, Xu QS, 2004, Kinematics and inverse dynamics analysis for a general 3-PRS spatial parallel manipulator. Robotica, Vol. 22, No. 2, pp. 219–229.
Li YM, Xu, QS, 2007, Kinematic analysis of a 3-PRS parallel manipulator. Robotics and Computer-Integrated Manufacturing, Vol. 23, No. 4, pp. 395–408.
Mata V, Farhat N, Díaz-Rodríguez M, Valera, A, Page A, 2008, Dynamic parameters identification for parallel manipulator. In Wu, H., editor, Parallel Manipulators, Towards New Applications, Tech Education and Publishing, Vienna, Austria, pp. 21–44.
Merlet JP, 2001, Micro parallel robot MIPS for medical applications. In Proceedings of the 8th international conference on emerging technologies and factory automation (ETFA 2001). France, October pp. 15-18.
Provenzano S, Mata V, 2002, Resolución del problema dinámico directo de cadenas abiertas utilizando las ecuaciones de gibbs-appell. Ciencia e Ingeniería, Vol. 23, No. 1, pp. 33–39. Staicu S, 2012, Matrix modeling of inverse dynamics of spatial and planar parallel robots. Multibody Systems Dynamics, Vol. 27, No. 2, pp. 239–265.
Tsai MS, Shiau TN, Tsai YJ, 2002, Direct kinematic analysis of a 3-PRS parallel manipulator. Mechanism and Machine Theory, Vol. 38, No. 1, pp. 71–83.
Tsai, MS, Yuan WH, 2010, Inverse dynamics analysis for a 3-PRS parallel mechanism based on a special decomposition of the reaction forces. Mechanism and Machine Theory, Vol. 45, No. 11, pp. 1491–1508.
Valles M, Cazalilla J, Valera A, Mata V, Page A, Díaz-Rodríguez M 2015, A 3-prs parallel manipulator for ankle rehabilitation: towards a low-cost robotic rehabilitation. Robotica, Early view articles (DOI: http://dx.doi.org/10.1017/S0263574715000120):1–9.
Valles M, Díaz-Rodríguez M, Valera A, Mata V, Page A, 2012, Mechatronic development and dynamic control of a 3-dof parallel manipulator. Mechanics based design of structures and machines, Vol. 40, No. 4, pp. 434–452.