Control de Velocidad de Aerogenerador mediante Realimentación de Variables de Estado
Wind Turbine Speed Control by State Feedback
Control de Velocidad de Aerogenerador mediante Realimentación de Variables de Estado
Ciencia e Ingeniería, vol. 38, núm. 2, pp. 123-130, 2017
Universidad de los Andes
Resumen: En este trabajo se presenta un Sistema de Control orientado a mantener el régimen de operación de una turbina eólica de eje horizontal en torno al valor máximo de su eficiencia, a fin de mejorar el desempeño de un Sistema de Conversión de Energía Eólica de Velocidad Variable basado en un Generador Sincrónico de Imán Permanente. La eficiencia de la turbina alcanza su valor máximo para una determinada relación entre la velocidad del viento y la velocidad angular de la turbina. La estrategia de control propuesta consiste en asignar los polos (autovalores) de un modelo linealizado del sistema en Espacio de Estados mediante realimentación de variables de estado. El objetivo del controlador es ajustar de forma dinámica la velocidad angular de la turbina de en función de mediciones de velocidad del viento a fin de mantener la relación de velocidad de punta en torno al valor que hace máximo el coeficiente de eficiencia. La técnica de ajuste del controlador es verificada mediante simulación digital utilizando un modelo que contempla las no linealidades del Sistema de Conversión de Energía Eólica y la aleatoriedad de la velocidad del viento.
Palabras clave: Sistema de conversión de energía eólica de velocidad variable, generador sincrónico de imán permanente, realimentación de variables de estado, asignación de polos.
Abstract: In this paper we present a Control System for a Variable Speed Wind Energy Conversion System (WECS) based on Perma-nent Magnet Synchronous Generator (PMSG) and Horizontal Axis Wind Turbine (HAWT). The Control System aims to keep an operation regime of the HAWT which maximizes its aerodynamic efficiency. The HAWT aerodynamic efficiency reaches its maximum value for a specific relation between the wind speed and the turbine angular speed (Tip Speed Ra-tio).The proposed control strategy consists in a pole placement (eigenvalue assignment) by State Feedback, which is adjust-ed using a linearized system model in the State-Space domain. The turbine angular speed is regulated by the controller in order to satisfy the Tip Speed Ratio requirement. The control strategy is verified by computer simulation using a WECS non-linear model with a random wind speed profile.
Keywords: Wind energy conversion system, permanent magnet synchronous generator, state feedback, pole placement.
1 Introducción
Los Sistemas de Conversión de Energía Eólica (Wind Energy Conversion System WECS) más utilizados en la actualidad son aquellos que utilizan turbinas de velocidad variable. Entre sus múltiples ventajas destaca la posibilidad de realizar un ajuste dinámico de la velocidad de la turbina en función de la velocidad del viento a fin de optimizar su eficiencia aerodinámica (Munteanu y col., 2010, Bianchi y col., 2007).
Los Generadores Sincrónicos de Imán Permanente (Permanent Magnet Synchronous Generator PMSG) y los Generadores de Inducción Doblemente Alimentados (Dou-ble Fed Induction Generator DFIG) son actualmente los más utilizados (Munteanu y col., 2010). Este último particularmente para sistemas de conversión de energía eólica a gran escala mientras que los de imán permanente son utilizados a baja y mediana escala (Munteanu y col., 2010). Entre las ventajas de los PMSG se destaca la independencia de fuentes externas de energía para excitación ya que la misma es obtenida de los imanes permanentes, asimismo su baja velocidad de operación permite eliminar la necesidad de un tren de engranajes para acoplar la turbina al generador (Munteanu y col., 2010).
La aleatoriedad de la velocidad del viento y las múltiples no linealidades de los Sistemas de Conversión de Energía Eólica han hecho del control de Velocidad de Aerogeneradores un campo de estudio bastante amplio. Numerosas técnicas de control pueden observarse en (Bianchi y col., 2007, Corradini y col., 2013, Munteanu y col., 2010, Zaragoza y col., 2011) entre otros.
En este trabajo se presenta como técnica de control asignar los autovalores del sistema mediante realimentación de variables de estado, lo cual se realiza utilizando un modelo linealizado del sistema en un punto de operación específico definido por un valor de velocidad media del viento. El controlador diseñado es puesto a prueba mediante simulación utilizando un modelo que contempla las no linealidades del sistema de conversión de energía eólica así como la aleatoriedad de la velocidad del viento.
2 Sistema de conversión de energía eólica
2.1 Estructura General
La estructura general de un Sistema de Conversión de Energía Eólica basado en un Generador Sincrónico de Imán Permanente se muestra en la Fig. 1 (Munteanu y col., 2010, Zaragoza y col., 2011).

Esta estructura permite establecer la necesidad de múltiples sistemas de control que pueden agruparse en dos etapas, que pueden funcionar de forma independiente: una para el control de velocidad de la turbina y otra para la calidad de la energía suministrada a la red eléctrica (Munteanu y col., 2010, Bianchi y col., 2007, Zaragoza y col., 2011).
Los objetivos en el control de velocidad de la turbina varían de acuerdo a su régimen de operación, que usual-mente se divide en tres regiones (Munteanu y col., 2010, Zaragoza y col., 2011). Según (Zaragoza y col., 2011) en la Región 1 el ángulo de las aspas se mantiene constante (β=0) y la referencia de velocidad corresponde a la necesaria para maximizar el coeficiente de eficiencia, permitiendo capturar la mayor potencia posible del viento. El intervalo de esta región está definido entre velocidad mínima del viento, ya que para velocidades menores a la misma la potencia capturada es considerada insuficiente, y un primer límite de velocidad. En la Región 2 los objetivos de control cambian a controlar la velocidad del rotor para disminuir el ruido acústico y mantener la fuerza centrífuga dentro de los límites tolerados por la turbina y el generador. En la Región 3 se intenta mantener constante la velocidad de la turbina a fin de capturar la potencia nominal de la misma. Cuando la velocidad del viento excede un valor máximo establecido para esta última región, la prioridad es la preservación de la tur-bina y el generador, por lo cual la misma puede eventual-mente ser detenida por completo.
En este trabajo solo se considerará la operación en la Región 1.
2.3 Modelo de Velocidad del Viento
Se trabaja con un modelo de velocidad del viento basado en la representación espectral de Van der Hoven de acuerdo a su implementación en (Gavriluta y col., 2013). Considerando el tiempo utilizado para las simulaciones (25 s) se asume constante la componente de baja frecuencia (Velocidad media). Si bien el modelo utilizado es bastante simplificado, éste toma en cuenta aspectos como la simetría de la turbina de eje horizontal de tres aspas y el efecto sombra de la torre.
2.4 Modelo de Turbina Eólica de Eje Horizontal
La extracción de potencia mecánica del viento capturada por la turbina eólica de eje horizontal viene dada por (1) (Munteanu y col., 2010, Bianchi y col., 2007), donde ρ representa la densidad del aire, 𝑹𝒕 la longitud del aspa, ωr la velocidad angular del rotor, β el ángulo de inclinación de las aspas, CP la eficiencia de la turbina para la conversión de energía eólica a energía mecánica y λ la relación de veloci-dad de punta, la cual es la relación entre la velocidad lineal en la punta del aspa y la velocidad del viento como se muestra en (2) (Munteanu y col., 2010, Bianchi y col., 2007).
(1)
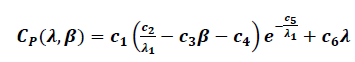
(2)Se observa en (1) que CP es función de λ y β. Puede ser calculado utilizando (3) definiendo λ1 como se muestra en (4) (Zaragozay col., 2011), donde los coeficientes c1,..,6 dependen de las características aerodinámicas de las aspas.
(3)
(4)Se supone una turbina con los valores utilizados en (Zaragoza y col., 2011) y (Corradini y col., 2013), los cuales son c1=0.5176, c2=116, c3=0.4, c4=5, c5=21 y c6=0.0068. Bajo estas condiciones se obtiene para β=0 la curva de Cp en función de λ mostrada en la Fig. 2.

Se puede apreciar que la eficiencia de la turbina alcanza su valor máximo CpMAX=0.48 para un valor particular de Relación de Velocidad de Punta 𝝀𝒐𝒑𝒕=8.1.
El torque desarrollado por la turbina, obtenido a partir de (1), viene dado por (5).
(5) Asumiendo que el momento de inercia total de la turbina es J y el coeficiente de fricción viscosa f y considerando la acción de un torque externo
sobre el eje, la ecuación de movimiento angular en el eje de la turbina corresponde a (6).
(6)2.5 Modelo del Generador Sincrónico de Imán Permanente
El PMSG es modelado en el marco de referencia dq0 como se muestra en (7) y (8) (Corradini y col., 2013), donde vd y vq representan las tensiones en el estator, id e iq las corrientes en el estator, R y L la resistencia e inductancia equivalentes del estator, ωe la velocidad eléctrica y λo el flujo magnético del imán permanente.
(7)
(8)El torque eléctrico Te viene dado por (9), donde p representa el número de pares de polos de la máquina.
(9)Asimismo, la dinámica del eje del rotor es descrita mediante (10) (Corradini y col., 2013), donde el torque 𝑻𝒅∗ en (6) es remplazado por el torque eléctrico del motor. En este caso se asume unitaria la relación del tren de engranajes que acopla los ejes de la turbina y el generador.
(10)La velocidad eléctrica ωe es proporcional a la velocidad mecánica tal como se muestra en (11).
(11)3 Estrategia de Control
Dado el comportamiento dual de la máquina eléctrica, su control de movimiento como generador o como motor es bastante similar, lo cual permite utilizar la misma lógica de control y dispositivos para su implementación (Munteanu y col., 2010).
En (Munteanu y col., 2010, Zaragoza y col., 2011) se muestran técnicas de control basadas en un modelo lineal del sistema en espacio de estados, en este caso una estrategia alternativa es la asignación de polos (auto-valores) en función de la dinámica deseada para el mediante realimentación de variables de estado, explicada en (Ogata 2003).
3.1 Control en Régimen de Velocidad Variable
En líneas generales la estructura de control para la velocidad angular de la turbina en régimen de velocidad variable (Región 1) se muestra en la Fig. 3.

El funcionamiento del sistema consiste en generar una señal de referencia tal que la velocidad angular en función de la velocidad del viento, tal que la relación de velocidad de punta de la turbina se encuentre cercana al valor necesario (λopt) para mantener el coeficiente de eficiencia de la turbina en torno a su valor máximo (CpMAX) (Munteanu y col., 2010, Zaragoza y col., 2011). La señal de control ajusta las tensiones trifásicas del generador, lo cual se realiza mediante el convertidor del lado del generador (ver Fig. 1) (Munteanu y col., 2010, Zaragoza y col., 2011). Más adelante se explica el cálculo de la señal de referencia.
3.2 Cálculo de la Velocidad Angular de Referencia
En la Región 1 se desea que la velocidad angular de la turbina haga seguimiento a la velocidad del viento a fin de mantener el valor de la relación de velocidad de punta 𝝀𝒐𝒑𝒕 que lleva a su valor máximo CpMAX el coeficiente de eficiencia de la turbina Cp, por lo que a partir de (2) puede establecerse la referencia de velocidad angular del eje 𝝎𝒓∗ viene dada según se muestra en (12).
(12)3.3 Modelo en Espacio de Estados del Sistema de Conversión de Energía Eólica
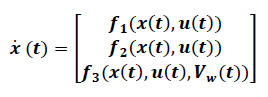
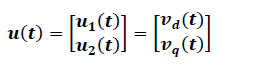
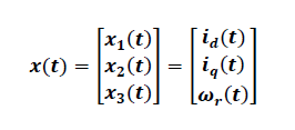
Definiendo como vector de estado x(t) según se muestra en (13) asi como el vector de control u(t) mostrado en (14).
(13)
(14)La representación en espacio de estados del sistema vendrá dada por:
(15)
(16)donde ƒ1 y ƒ2 pueden ser determinadas directamente a partir de (7) y (8), mientras que para ƒ3 es necesario sustituir (9) y (5) en (10). Adicionalmente se toma el efecto de la velocidad del viento en ƒ3 como una perturbación. Se asume como condiciones iniciales x(to) y la salida del sistema viene dada por y(t) (velocidad angular del eje).
3.4 Linealización del Modelo del Sistema
Resulta
conveniente definir el punto de operación del sistema para una velocidad media
del viento
y asumiendo que se tiene el valor de relación
de velocidad de punta 𝝀𝒐𝒑𝒕, obteniéndose así (se fija
):
(17)
(18)donde el
termino
puede ser
calculado mediante (5) utilizando CpMAX, 𝝀𝒐𝒑𝒕 y
.
Definido el
punto de operación
, asumiendo
pequeñas variaciones 𝚫𝒙, 𝚫𝒖 en torno a
, la aproximación
lineal del sistema por serie de Taylor viene dada por (19) y (20), donde las
matrices A, B, Γ dependen del punto de operación y son
determinadas como se muestra en (21), (22) y (23). La matriz C tiene la
misma forma que en el sis-tema original como se muestra en (24).
(19)
(20)
(21)
(22)
(23)
(24)3.5 Asignación de Polos por Realimentación de Variables de Estado
Asumiendo que todo el vector de estado es físicamente medible, si el sistema definido por el par (A, B) es completamente controlable, entonces mediante realimentación de variables de estado utilizando una matriz de ganancia K apropiada se pueden asignar arbitrariamente los polos del sistema a lazo cerrado (Ogata 2003). Esto puede realizarse utilizando el modelo lineal del sistema.
Adicionalmente (Ogata 2003) sugiere un método para mejorar el seguimiento de la señal de referencia incorporando un integrador en el trayecto directo, lo cual incrementa el orden y tipo de sistema. Para el cálculo de K se utilizó un programa basado en el algoritmo expuesto en (Kautsky y col., 1985), el cual realiza una asignación robusta de los polos deseados considerando que el sistema posee múltiples entradas. La matriz de ganancia correspondiente tiene la forma mostrada en (25), donde Ki1 y Ki2 corresponden a las ganancias de la variable de estado w(t), obtenida al incorporar el integrador al sistema.
(25)La estrategia de control se muestra en la Fig. 4.

Es importante destacar que para sistemas con múltiples entradas la solución obtenida, valores de la matriz K, no es única (Kautsky y col., 1985).
4 Simulación del Sistema de Control
4.1 Parámetros de la Simulación
Para el diseño del Sistema de Control de acuerdo a la metodología descrita el modelo del Sistema de Conversión de Energía Eólica se ajustaron los parámetros de acuerdo a valores tomados de (Corradini y col., 2013) indicados en la Tabla 1.

De igual manera se muestran en la Tabla 2 los parámetros del modelo de velocidad del viento utilizado.

El controlador por Realimentación de Variables de Esta-do se ajusta tal que los polos dominantes del sistema se ubiquen en -4±4j y -16. Los valores de la matriz de ganancia se muestran en la Tabla 3.

4.2 Resultados de la simulación
Se muestran los resultados en una simulación realizada en MATLAB/Simulink durante 25 s. El perfil de velocidad del viento utilizado se muestra en la Fig. 5, se introduce intencionalmente un incremento de 10% en la velocidad media a los 15 s. No se toma en cuenta el arranque del generador en tanto dicho régimen se encuentra fuera de la región de operación del sistema bajo estudio.

La velocidad angular de la turbina obtenida en el sistema controlado por Realimentación de Variables de Estado se muestra en la Fig. 6.

En la Fig. 7 se muestra la Relación de Velocidad de Punta y en la Fig. 8 el Coeficiente de Eficiencia de la Turbina.


La evolución de las corrientes y tensiones en el estator del generador durante la simulación se muestran en Fig. 9, Fig. 10, Fig. 11, Fig. 12. El torque desarrollado por la turbina se muestra en la Fig. 13.



4.3 Análisis de Resultados
En la Fig. 8 se puede apreciar que el sistema de con-trol logra mantener el coeficiente de eficiencia de la turbina entorno a su máximo valor (0.48), mostrado previamente en la Fig 3. Asimismo se observa en la Fig. 7 que la relación de velocidad de punta mantiene su valor en torno a 8.1. Se puede destacar además que el incremento de la velocidad media del viento a los 15 s, identificable en la Fig. 5, no tiene un efecto considerable sobre Cp.
En todos los parámetros medidos se observan fluctuaciones en torno al punto de operación, producto de la componente de turbulencia en la velocidad del viento y la acción del sistema de control. En las señales eléctricas del estator pueden apreciarse cambios significativos luego de modificar el punto de operación al variar la velocidad media del viento.
En la Fig. 9 se puede notar que el aumento de 10% en la velocidad media del viento produce un aumento significativo en el valor medio de la corriente en el eje d del estator, id(t), desde 0 A hasta aproximadamente 10 A, así como en la amplitud de sus fluctuaciones. Tal efecto no se observa en el resto de los parámetros medidos.
Vale la pena retomar que en (9) se observa que el torque eléctrico es proporcional a iq(t).
En la Fig. 10 se puede notar un aumento ligeramente mayor al 20% en la corriente del eje q del estator, iq(t). Asimismo, a diferencia de lo observado en el caso de id(t), las fluctuaciones producto de los cambios instantáneos de velocidad del viento no aumentan de forma considerable. Similares resultados pueden observarse en las tensiones en los ejes d y q en la Fig. 11 y la Fig. 12.


Las señales eléctricas medidas en el estator permiten determinar la aplicabilidad de la estrategia de control propuesta. En caso de haber mayores restricciones sobre estas señales es posible disminuir la cantidad de energía requerida disminuyendo imposiciones sobre los autovalores asignados para el sistema, lo cual acarreará un seguimiento más lento de la velocidad del viento por parte del sistema de control, que incidirá en los valores instantáneos del coeficiente de eficiencia Cp.
5 Conclusiones
La estrategia de control propuesta arrojó resultados que validan su efectividad. Se pudo observar además que, pese a las no linealidades del sistema y el carácter impredecible y aleatorio de la velocidad del viento, el ajuste del controlador tomando en cuenta un modelo lineal del sistema para un punto de operación específico continuó brindando resultados bastante aceptables al introducir una variación considerable en el punto de operación (lo cual se realizó incrementando la velocidad media del viento).
Considerando que se conocen varios algoritmos que permiten realizar el ajuste de la matriz de ganancia, como se indica en (Kautsky y col., 1985), las mayores dificultades de la implementación de la técnica de ajuste requerida para la estrategia de control utilizada radica en el previo conocimiento de los parámetros modelo del sistema, así como en el acceso a mediciones de todos las señales físicas, particularmente la velocidad del viento, que requieren transductores que pueden ser altamente sensibles al ruido y arrojar mediciones imprecisas, como se señala en (Corradini y col., 2013).
Referencias
Bianchi F, De Battista HN, Mantz RJ, 2007, Wind Turbine Control Systems. Principles, Modeling and Gain Scheduling Design, Springer, Londres
Corradini ML, Ippoliti G, Orlando G, 2013, Fully sensorless robust control of variable-speed wind turbines for efficiencymaximization, Automatica, Vol. 49, pp. 3023-3031.
Gavriluta C, Spataru S, Mosincat I, Citro C, Candela I, Ro-driguez P, 2012, Complete Methodology on generating real-istic wind speed profiles based on measurements, Interna-tional Conference on Renewable Energies and Power Quality (ICREPQ ‘12), Santiago de Compostela.
Kautsky J, Nichols NK, Van Dooren P, 1985, Robust Pole Assignment in Linear State Feedback, International Journal of Control, Vol. 41, pp. 1129-1155.
Munteanu I, Bratcu AI, Cutuluis NA y Ceanga E, 2010, Op-timal Control of Wind Energy Systems: Towards a Global Approach, Springer, Londres.
Ogata K, 2003, Ingeniería de Control Moderna, Pearson Education, Madrid.
Zaragoza J, Pou J, Arias A, Spiteri C, Robles E, Ceballos S, 2011, Study and Experimental verification of Control Tun-ing Strategies in a Variable Speed Wind Energy Conversion System, Renewable Energy, Vol. 36, pp. 1421-1430.
Notas de autor