Resumen: Ochenta y cinco años después de la publicación de los primeros complejos con el ligando salen (N,N’- bis(salicilideno)etilendiamina), este sigue ocupando un papel preponderante en la química de coordinación. Esto es especialmente cierto,considerando la posibilidad de realizar modificaciones estructurales, así como las múltiples formas de coordinación. La investigación se ha orientado al desarrollo de compuestos diseñados para cumplir aplicaciones específicas, especialmente en el área de la catálisis homogénea y asimétrica. Mediante esta breve revisión, fue posible comprobar que la relevancia de estos compuestos se ha mantenido en el tiempo. Así mismo, en las últimas décadas se han reportado importantes aplicaciones catalíticas, en el área de la nanoquímica, y en la bioinorgánica. Por esta razón, se puede afirmar que la importancia del ligando salen seguirá vigente en el tiempo, pues quedan muchos aspectos por explorar. Se vislumbran nuevas reacciones catalíticas y el diseño de nuevos fármacos, o el estudio de la interacción metalosalen/ADN, con lo cual se abren muchas posibilidades y, así mismo, el desarrollo de nuevos materiales, incluyendo MOFs, apunta a una mayor interrelación con la nanotecnología. No hay duda de que en el futuro se observarán nuevos avances, así como novedosas y emocionantes aplicaciones de este tipo de compuestos de coordinación.
Palabras clave:SalenSalen,metalosalenmetalosalen, ligando ligando, quelato quelato, metal de transición metal de transición, complejometálico complejometálico.
Abstract: Eighty-five years after the publication of the first complexes with Salen ligand (N,N'- bis(salicylicide)ethylenediamine),occupies a prominent position in coordination chemistry. This is especially true, taking into account the possibility of making structural modifications, as well as the many possibilities of the ligand coordination. The research has focused on the development of compounds designed to meet specific applications, especially in the homogeneous and asymmetric catalysis area. Through this short review, it is possible to verify that the relevance of these compounds has been maintained over time. Additionally, in recent decades important catalytic applications have been reported, as well as in nano chemistry and bioinorganic field. Consequently, it is possible to affirm the permanence in time of the Salenligand and reaffirmed its very great importance, because there are many aspects to be explored. New catalytic reactions and the design of new drugs, or the study of the metallosalens/DNAinteraction, opens many possibilities and, at the same time, the development of new materials, including MOFs, indicates a better interactions with nanotechnology. There is no doubt that in the future new advances will be observed, as well as new and exciting applications of this class of coordination compounds.
Keywords: Salen, Metallosalens, Ligand, Chelate, Transition metal, Metal complex.
Artículos
Ligandos tipo salen en química de coordinación. Una breve revisión
Salen’sligands in coordinationchemistry.A short review

Recepción: 01 Septiembre 2017
Aprobación: 10 Abril 2018
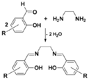
Con la denominación de “salen” se conoce al ligandoN,N’-bis(salicilideno)etilendiamina, el cual posee una alta capacidad quelatante, basada en la presencia de dos tipos de átomos donadores, el nitrógeno y el oxígeno. Esta característica le confiere una amplia posibilidad a la hora de coordinar diversos metales de transición y formar compuestos “metalosalen”. Los primeros complejos del ligandosalen (Pfeiffer y col., 1933),fueron descritos hace ochenta y cinco años por Paul[von] Pfeiffer(1875 - 1951), químico de origen alemán, quien obtuvo su doctorado (Ph.D.)en la Universidad de Zurich, bajo la dirección de Alfred Werner, investigando la química de coordinación de compuestos complejos de estaño (Oesper 1951).El trabajo de Pfeiffersirvió de punto de partida para una interesante etapa de la historia de la química de coordinación, que ubicó a los compuestos tipo salen dentro del grupo de ligandos más utilizados, tomando en cuenta la facilidad de síntesis de este quelato tetradentado del tipo N2O2 (Campbell y col., 2001). Los ligandossalen se fueron popularizando con el tiempo y, por ejemplo, las propiedades de sus compuestos complejosse extienden en campos tan novedosos como la catálisis asimétrica (Baleizão y col., 2006), la activación de CO2 (Artz y col., 2018) o la química inorgánica medicinal (Erxleben,2018). Desde un punto de vista técnico y económico, el ligandosalen tienen grandes ventajas, pues su síntesis consiste en la condensación del salicilaldehido (o un derivado) y la etilendiamina (u otra diamina) (Fig. 1), mediante catálisis ácida. Mediante esta reacción base de Schiff,es posible modificar la naturaleza del puente N,N’- alquílico, no sólo en el número de carbonos, sino en la naturaleza del esqueleto molecular utilizando, por ejemplo, la 1,2-fenilendiamina, lo cual genera el ligandosalophen.

Al momento de coordinar, los ligandos tipo salen pueden perder los protones de los oxígenos fenólicos y generar el sistema [N2O2]2-, que le permite estabilizar muy bien cationes divalentes, en un ambiente plano-cuadrado, con un entorno metálico M(N2O2) y grupo puntual C2v. No obstante, la posibilidad de aumentar el número de coordinación del centro metálico y alcanzar diversas simetrías, hasta llegar a la octaédrica, es inmediata. Por otro lado, una eventual modificación de la cadena N,N’-alquílica permite modificar el entorno metálico hacia un ambiente plano cuadrado distorsionado, hasta llegar a un seudo- tetraédrico, lo cual le permite estabilizar metales de transición de diverso grupos o un mismo metal pero en diversos estados de oxidación. Aquí radica la versatilidad de los ligandos tipo salen, pues permiten pasearse por un número muy grande de geometrías según el tamaño y el estado de oxidación del metal de transición.

La química de coordinación de los ligandossalen no se restringen exclusivamente a los metales de transición, sino que se ocupa también de los elementos del grupo 13, especialmente Al, Ga e In (Atwood y col., 2001), así como los elementos lantánidos.
En el presente artículo, se expone una breve revisión sobre la importancia del ligando salen, los ligandos análogos y sus complejos de metales de transición, haciendo énfasis en aspectos estructurales y algunas de sus propiedades químicas, colocando en perspectiva ochenta y cinco años de aportes que la investigación de este tipo de compuestos han brindado a la química de coordinación y sus áreas afines.
Este artículo desarrolla una investigación cualitativa- documental sobre los ligandos tipo salen y algunas de sus aplicaciones más destacadas en la química de coordinación, catálisis, bioinorgánica y otras áreas afines. Se utilizaron bases de datos reconocidas en el área de la química tales como: Chemical Abstracts (SciFinder), SCOPUS, Science Direct, Web of Science (ISI web), usando como entrada las siguientes palabras clave: Salen, chelatinglig and, coordination chemistry, catalysis, transition metal. Se empleó el rango de tiempo más amplio permitido por estas bases de datos, usando como punto de partida la publicación de Paul Pfeiffer y colaboradores.
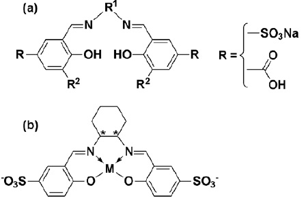
El primer trabajo sistemático con el ligandosalen fue publicado por el grupo de Paul Pfeiffer, reportando una serie de complejos de metales de la primera serie de transición (Pfeiffer y col. 1933). A partir de ese momento, comienza a tomar importancia esteligandotretradentado y la esfera de coordinación tipo [N2O2]2-(Garnovskii y col, 1993),que ofrece la ventaja de estabilizar iones de metales de transición mediante el efecto quelato. El ligando salen (H2salen), un sólido de color amarillo, producto de la condensación de la etilendiamina y el salicilaldehido,se puede obtener comercialmente con al menos un 98 % de pureza (número de referencia: (a) Chemical Abstracts (CAS): 94-93-9; (b) Aldrich: 23,607-1; (c) Merck Index: 12,8474; (d) Strem:07-0540). Los análogos del ligando salen, el H2cysalen (derivado de la 1,2- ciclohexanodiamina) y el H2salphen (1,2-fenilendiamina), también se pueden obtener comercialmente, así como otros ligandos similares con sustituyentes alquílicos voluminosos, con haluros, o con centros quirales y algunos complejos MX(salen), de cromo(III), manganeso(III), cobalto(II)y aluminio(III), los cuales poseen tienen interés por sus aplicaciones en el área de la catálisis. En este orden de ideas, destaca el ligando(R,R)-Jacobsen (Fig. 3), cuyos complejos de titanio(IV), cromo(III), manganeso(III) y aluminio(III), tienen interés en reacciones de la catálisis asimétrica (Jacobsen y col., 1991).

Los ligandos salen, cysalen y salphen poseen un sistema π conjugado y una intensa banda de absorción electrónica en el ultravioleta del tipo π→π*, ubicada en el rango de los 315 nma 331 nm. Esta banda tiene como origen los orbitales moleculares del grupo -C=N- y el anillo bencénico. También se puede apreciar otra banda menos intensa del tipo n→π*, en la región de los 380 nm a 420 nm, que es responsable del color amarillo de estos compuestos (Zhou y col., 2012). El ligando cysalen, con el puente de 1,2-ciclohexanodiamina, tiene un espectro similar al salen, pero el ligando salphen, que tiene un puente de 1,2-fenilendiamina, presenta una mayor deslocalización de carga entre el nitrógeno imínico, el doble enlace del anillo aromático y el oxígeno fenólico, lo cual implica que sus bandas de absorción electrónica son más intensas y están desplazadas al rojo (efecto batocrómico), un efecto similar al observado en ligandos análogos tipo [N2S2]2- (Contreras y col. 2004).Obviamente, los sustituyentes en el anillo salicideno(especialmente en las posiciones orto- y meta-)tienen una importante influencia en el sistema π deslocalizado, por lo cual deben ser tomado en cuenta a la hora de hacer el análisis de las bandas de absorción en el ultravioleta y visible de los ligandos tipo salen.
Por su parte, en los complejos de metales de transición, el sistema π conjugado ofrece la posibilidad de obtener una banda de transferencia de carga (LMTC) del tipo pπ→dπ. Adicionalmente, en los espectros de resonancia magnética nuclear de los complejos Mn+(salen) (con Mn+ diamagnético) se manifiesta el efecto de desplazamiento por contacto paramagnético (contactshifts) (Drago 1965), que depende en buena medida de los sustituyentes en el anillo salicideno.
Entre las primeras estructuras resueltas mediante difracción de rayos X tenemos la del complejo de Co(salen) (Schaefer y col., 1969) y, para la fecha, unas 369 estructuras relacionadas con el ligando salen han sido reportadas por las revistas de la International Union of Crystallography (IUCr). Destacan numerosas estructuras de compuestos derivados, con modificaciones estructurales sobre el esqueleto molecular del ligando salen;estructuras de complejos de metales de transición, tanto mononucleares (Yu, 2006) como polinucleares (Wang y col., 2010), con átomos en puente (Zaitsev y col., 2013), compuestos complejos con el ligando salen y otros ligandos en diversas geometrías de la esfera de coordinación del metal (Dang y col. 2005), así como estructuras con lantánidos (Chen y col., 2010), entre otras.
La solubilidad de los complejos con los ligandos tipo salen es un aspecto fundamental a considerar, especialmente con el objetivo de realizar estudios de posibles aplicaciones farmacológicas y de la catálisis. En tal sentido, es menester señalar que la mayoría de los complejos tienen una baja solubilidad en agua, pero se disuelve fácilmente en solventes orgánicos como acetonitrilo,diclorometano,etanol y dimetilformamida.No obstante, desde hace algunos lustros se vienen haciendo intervenciones en el esqueleto molecular del ligando salen, a fin de incorporar en la estructura grupos que le confieran solubilidad. Un ejemplo lo encontramos en la sulfonación del anillo aromático (Dodd y col. 1973), lo cual da lugar a una familia de ligandossalen hidrosolubles (Delahaye y col., 2010) (Fig. 4)que, junto con variaciones en otros sustituyentes, se utilizan como estrategia para obtener complejos solubles con interesantes propiedades electrónicas, especialmente en fotoluminiscencia(Schnuriger y col., 2011).Además del grupo sulfonato, se pueden introducir ácidos carboxílicos y otros grupos funcionales hidrosolubles (Allard y col., 2012). A fin de mejorar la solubilidad de los complejos con ligandos salen,se pueden incorporar a la propia esfera de coordinación del metal otro tipo ligandos como agua, hidroxilo, halogenuros, carboxilatos, entre otros. Una referencia interesante la encontramos en el complejo octaédrico de rutenio(II) [Ru(NO)(salen)(Cl)], que además de presentar solubilidad, ha manifestado actividad contra el cáncer (Mir y col. 2017)

Los compuestos metalosalen se han estudiado sistemáticamente durante más de ocho décadas empero,no es sino hasta la década de 1990,que Jacobsen y Katsuki publicaron de forma independiente los primeros trabajos con compuestos tipo salen utilizados como ligandosen complejos demanganeso(III) para reacciones de epoxidación asimétrica (Zhang, Jacobsen y col., 1990, Jacobsen y col. 1991, Lee y Jacobsen, 1991).A partir de estas investigaciones, el área de la catálisis con metalosalen ha visto un incremento exponencial, yse han sintetizado y utilizado una gran cantidad de complejos especialmente en catálisis asimétrica(Jacobsen 1995, McGarrigley -Gilheany, 2005). En este sentido, los complejos metalosalen de manganeso(III), cromo(III) y cobalto(II)catalizan la epoxidación de olefinas y reacciones Hetero-Diels- Aldercon altos niveles de enantio selectividad (Hansen y col., 1996, Schaus y col., 1998, Sigman y col.,catalizan la cianosilaciónenantioslectiva de aldehídos insaturados (Lv y col. 2012) (Fig. 5). Las facilidades en la síntesis y la gran variedad de posibilidades en cuanto a la modificación de su esqueleto molecular, hacen que los ligandos tipo salen (H2salen, H2cysalen, H2salphen, ligando de Jacobsen) se hayan convertido en el punto de partida para el descubrimiento de nuevos catalizadores y nuevas reacciones catalíticas, no solo en el campo de la catálisis homogénea tradicional o la asimétrica, sino en el campo de la catálisis heterogénea y en nuevas formas de catálisis como la bifásica o la híbrida(Chaube y col., 2005).

A partir de las excelentes ventajas reportadas para los ligandossalen, sus análogos y los compuestos complejos de metales de transición y de latánidos, especialmente en reacciones catalíticas, se vienen estudiando una serie de nuevas aplicaciones en diversos campos que van desde la catálisis o la bioinorgánica, hasta llegar a la nanotecnología. El número de posibles aplicaciones químicas que se derivan a partir delos compuestos metalosalen se puede inferir del número de artículos de investigación que se basan o se inspiran en estos compuestos (Fig. 6), y lo que se observa es un sostenidocrecimiento exponencial en el número de publicaciones.
El área de la catálisis sigue siendo la protagonista de las nuevas aplicaciones de los metalosalen y, en tal sentido, se han reportado nuevas reacciones como la sulfoxidación con vanadio y el nuevo ligando “salan” (Maru y col., 2018) (Fig. 7a), materiales híbridos tipo metal-salen-MOFs (Li, Yang y col. 2018), o el encapsulamiento de los complejos metalosalen en zeolitas tipo Y, con el objetivo de desarrollar catalizadores heterogéneos apropiados para reacciones de oxidación de alcohol bencílico (Li, Hu y col., 2018).

Los compuestos metalosalen también se han inmovilizado en materiales mesoporosos, con la finalidad de generar nuevos catalizadores híbridos (Chaube y col., 2005),que combinan la selectividad de los catalizadores homogéneos con la estabilidad de los catalizadores heterogéneos.
Complejos del ligando salen con lantánidos se perfilan como excelentes candidatos para estudios en el campo de la ciencia de materiales, muchos de los cuales presentan propiedades magnéticas o electrónicas de interés. En consecuencia, se han reportado compuestos metalosalen homonucleares y heteronucleares de lantanidos(III) (Chen y col., 2015). Por su parte, en el área de polímeros, se abren muchas posibilidades para la aplicación de catalizadores metalosalen (de metales de transición y de lantanidos),en reacciones de polimerización deε-caprolactona (Nuñez- Dallos y col., 2017)(Fig. 7d), entre otros sustratos de interés.
El campo de la nanoquímica (Contreras y Cardozo, 2015) y la nanotecnología se perfila como el área donde los ligandossalen, y suscompuestos complejos serán protagonistas en las próximas décadas. En este orden de ideas, se están sintetizando nanomaterialesa partir de compuestos metalosalen (Mohammadikish 2015), los cualesposee novedosas propiedades electrónicas y pueden servir de punto de partida para desarrollar nuevos materiales de interés en el área de la tecnología.
Muchos metalosalen muestran actividad biológica, incluido un notable efecto anticancerígeno (Ansari y col. 2009, Saini y col., 2016, Damercheli y col., 2015,Khan y col. 2014), y actividad antimicrobiana, entre otras (Mjos y col., 2014). Complejos Co(II)(salen) derivados de aminas sustituidas se han probado en varias líneas de células cancerosas, y se encontró que la citotoxicidad depende en buena medida tanto de la configuración como de la sustitución delos anillos aromáticos (Gust y col., 2004). Inclusive, algunos de estos cobaltosalen ejercen una actividad comparable a la del cisplatino utilizado como referencia. ElFe(III)(salen) desencadena la apoptosis celular y tienen actividad supresora del crecimiento en células de cáncer de ovario (Lange y col. 2008).En estudio in vivo utilizando como modelo ratas de laboratorio, se observó que los compuestos no presentaron toxicidad relevante en dosis terapéuticas. Se han estudiado otros metalosalendeFe(III) (Woldemariam y col., 2008)o Mn(III)(Ansari y col., 2009), y se ha encontrado que inducen apoptosis con selectividad para células de cáncer de mama. Por otro lado, se reportó que los complejos de vanadio tipo vanadio(IV)O(salen) reducen los niveles de glucosa en sangre en ratas diabéticas (Roy y col., 2011).
Los compuestos metalosalen se utilizan para hacer biomimética inorgánica (Holm y col., 2004). De esta manera, se han realizado estudios en la biomimética del entorno al sitio metálico dela superóxidodismutasa (Baudry y col., 1993), la galactosa oxidasa (Lyons y col., 2013), la dioxigenasa (Allard y col., 2011), entre otras enzimas donde un entorno metal(N2O2) es relevante.
El área de la química bioinorgánica y medicinal es otro campo de investigación donde los ligandos tipo salen y los complejos metalosalen tienen muchas ventajas comparativas, especialmente a la hora de buscar fármacos y agentes quimioterapéuticos más específicos, con menores efectos secundarios y económicamente más asequibles (Contreras y col., 2018).

Ochenta y cinco años después de la publicación del primer complejo con el ligandosalen por parte de PaulPfeiffer y su grupo de trabajo, la química de estos ligandos, sus derivados y los compuestos metalosalen, ha experimentado un importante desarrollo especialmente orientado a racionalizar las numerosas posibilidades estructurales, así como los diversos tipos de coordinación. La investigación viene apuntando en la dirección de desarrollar compuestos funcionales diseñados para cumplir un amplio conjunto de aplicaciones, especialmente en el área de la catálisis asimétrica. Se pudo comprobar, a partir de esta breve revisión, que la relevancia de los compuestosM(salen)se ha mantenido en el tiempo y, en las últimas décadas, se han reportado importantes aplicaciones catalíticas y en el área de la nanoquímica, así como en la bioinorgánica, o la química inorgánica medicinal, entre otros campos interdisciplinarios de trabajo. Por esta razón, se puede reiterar que la versatilidad del ligando N,N’- bis(salicilideno) etilendiamina seguirá vigente en el tiempo, y los aportes continuarán, pues quedan muchos aspectos por explorar, especialmente tomando en cuenta novedosas modificaciones estructurales al ligando y la coordinación de lantánidos. Nuevas reacciones catalíticas y el diseño de nuevos fármacos, o el estudio de la interacción M(salen)/ADN, abre muchas posibilidades y, por otro lado, nuevos materiales, incluyendo MOFs, se perfilan hacia una mayor interrelación con las áreas de la tecnología. No hay duda de que en el futuro se observarán nuevos avances, así como novedosas y emocionantes aplicaciones de esta clase de compuestos decoordinación.






