Artículos
Estudio de las tecnologías para el tratamiento de los efluentes generados por una planta de curtiembres en Ecuador
Wastewater treatment technologies review for a tannery in Ecuador
Estudio de las tecnologías para el tratamiento de los efluentes generados por una planta de curtiembres en Ecuador
Ciencia e Ingeniería, vol. 40, núm. 2, pp. 138-147, 2019
Universidad de los Andes

Recepción: 03 Septiembre 2018
Aprobación: 20 Marzo 2019
Resumen: Las industrias de curtiembre son fuentes generadoras de aguas residuales altamente tóxicas. Estas aguas crean problemas importantes de contaminación ambiental, en cuanto a su cantidad y composición, y deben ser tratadas de manera que cumplan con valores aceptables fijados por la legislación ambiental local. En este trabajo se realizó un estudio de las tecnologías de tratamiento de aguas residuales para la industria de curtiembres. Las fuentes de contaminantes, composición y flujos fueron tomados de una planta real de curtiembres en Ecuador. Con base en esta información y en el balance de materia de efluentes líquidos, se determinó que los contaminantes que predominan en las aguas residuales son: la demanda bioquímica de oxígeno (DBO), la demanda química de oxígeno (DQO), sólidos suspendidos, los sulfuros y el cromo. De acuerdo a estas propiedades, y en el estudio de las tecnologías para su remoción, fueron seleccionadas diferentes alternativas de procesos para tratar las aguas y cumplir con las regulaciones ambientales. Los balances de materia se aplicaron a cuatro tecnologías de tratamientos integrales de aguas residuales mezcladas (ARM). Las opciones de tratamiento consideradas fueron: tratamiento biológico de lodos activados + ozonización; lodos activados + electrólisis; reactor anaerobio UASB + ozonización y reactor anaerobio UASB + electrólisis. Los balances de masa indican que los efluentes de todos los esquemas cumplen con la normativa ambiental ecuatoriana. Considerando los siguientes factores: flexibilidad, facilidad operacional, generación de desechos, madurez de la tecnología y costos, la combinación de tratamiento anaerobio UASB + electrólisis resulta la opción con mayores ventajas.
Palabras clave: Curtiembres, contaminantes, tratamiento de aguas residuales.
Abstract: Wastewater from tannery industries are highly toxic. Major environmental pollution problems are created by these waters in terms of its quantity and composition, and must be treated to fulfil acceptable values fixed by the local environmental legislation. The purpose of this paper is to review different technologies of wastewater treatment for the tanning industry. The pollutants sources, composition and flows were taken from a real tannery in Ecuador. Based on this information and the liquid effluents mass balance, it was determined that the pollutants that predominate are: the biochemical oxygen demand (BOD), the chemical oxygen demand (COD), suspended solids, the sulphides and chrome. According to these properties, and considering technologies for its removal, different alternatives for processes were selected to treat the wastewater and fulfil the environmental regulations. The mass balances were applied to four integral technologies to treat mixed wastewater (MW). The treatment options considered were: activated sludge biological treatment + ozonation; activated sludge + electrolysis; UASB anaerobic reactor + ozonation and UASB anaerobic reactor + electrolysis. The mass balances indicate that effluents from all schemes comply with the Ecuadorian environmental regulations. Considering the following factors: flexibility, operational ease, waste generation, maturity of the technology and cost, the UASB anaerobic treatment + electrolysis combination is the best option.
Keywords: Tanneries, pollutants, wastewater treatment.
1 Introducción
Las industrias de curtiembres se dedican al tratamiento químico de pieles para la obtención de cuero. La cantidad de aguas residuales generadas por estas industrias contienen gran volumen de contaminantes como pelos, capas de grasa, sangre, cloruro y sulfuro de sodio, cal, sales de cromo o taninos y solventes (Nemerow 1977), ( Shakir y col., 2012), (Bio-Activo-Consultora Ambiental 2015). Cabe destacar que los compuestos de cromo son los elementos más tóxicos presentes en las aguas residuales de curtiembres. El cromo hexavalente es cancerígeno y es responsable de úlcera crómica, daños en el hígado, perforaciones en el tabique nasal y cáncer de pulmón en peces (Venkatramreddy y Tchounwou 2010).
Los procesos de curtiembre en su mayoría se caracterizan por tener cuatro etapas de producción: ribera, en donde se efectúa la limpieza de la piel; curtido, mediante el cual se imparte estabilidad química y física a la piel para evitar putrefacción y transformarla en cuero; post curtido donde se logra dar al cuero la suavidad, el color y otras características especiales; y acabado, en el cual se le imparte a la piel las características que el mercado impone para cada producto, como son laqueado y grabado (Shakir y col., 2012), (Costa y col., 2008) y (Bio-Activo- Consultora Ambiental 2015).
En la Figura 1 se muestra, en forma más detallada, el proceso de curtido con sus requerimientos y su respectiva generación de aguas residuales.

Las proteínas y otras materias extraídas de las pieles se estima que producen de un 50 a un 70 % de la carga de DBO y los productos químicos empleados en el proceso de un 30 a un 50 % (Nemerow 1977). Con respecto a los otros desechos generados en el proceso resaltan cantidades apreciables de pelos, pedazos de piel, carne, sangre, estiércol, entre otros (Comisión Nacional del Medio Ambiente 1999), ( Bio-Activo-Consultora Ambiental 2015) y (Costa y col., 2008).
En la tabla 1, se resumen de manera general los constituyentes de los residuos generados en cada etapa del proceso productivo de Curtiembre.

Las grandes fluctuaciones en la naturaleza de los residuos de curtiembres hacen que sean difíciles de tratar (Nemerow 1977). En las curtiembres, es común observar que los desechos líquidos de la etapa de ribera, curtido y postcurtido se acumulan en un tanque y la mezcla se somete a tratamiento (Tahir y col., 2007).
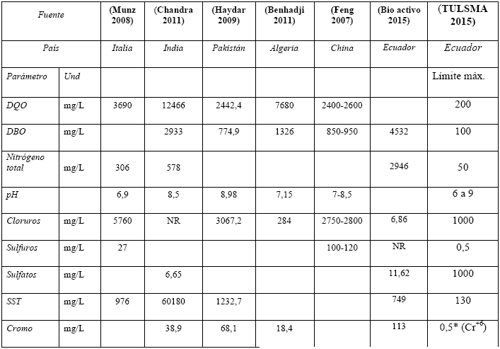
En la tabla 2, se presenta una comparación de la caracterización de efluentes compuestos de distintos países y los parámetros de regulación ambiental de Ecuador (TULSMA 2015).

Para el tratamiento de las aguas residuales de la industria de curtiembre se considera una etapa de pretratamientos que generalmente incluye los siguientes procesos: cribado, separación de grasas, igualación y sedimentación primaria. Con estos procesos se eliminan los sólidos de mayor tamaño, las grasas y aceites y se procura estabilizar el flujo. Por otro lado, para la eliminación de los contaminantes más específicos como sulfuros, se utiliza oxidación catalítica (Kennedy y col., 2004); la reducción del cromo y una porción de la DQO se realiza mediante la coagulación y floculación (Song y col., 2004, Bajza y col., 2004); la eliminación de la DBO se lleva cabo mediante tratamientos biológicos aerobios o anaerobios (Ganesh y col., 2006, El-Sheikh y col., 2011, Di Iaconi y col., 2002, (Szpyrkowicz y col., 2005, Di Gisi y col., 2009). El efluente del tratamiento biológico puede someterse a un tratamiento terciario para cumplir con requerimientos más estrictos, tales como oxidación avanzada (Ozono o reactivos de Fenton, oxidación con electrodos de diamante) (Di Iaconi y col., 2002) y (Kurt y col., 2007), membranas (Di Gisi y col., 2009) y (Suthanthararajan y col., 2004), adsorción con carbón activado o bentonitas (Fahim y col., 2006) y (Tahir y Naseem 2007) y electrotratamientos (Electrólisis, Electrocoagulación) (Costa y col., 2008), (Sirajuddin y col., 2007), (Szpyrkowicz y col., 2005), (Kurt y col., 2007) y (Feng y col., 2007).
El objetivo del presente trabajo fue estudiar y revisar las distintas tecnologías para el tratamiento de las aguas residuales producidas por una industria de curtiembres, haciendo énfasis en la factibilidad de aplicación en Ecuador. Para ello, se definieron las tecnologías para el tratamiento de los diferentes contaminantes, se realizó la comparación de la composición de las aguas residuales con los límites permitidos en la TULSMA, se realizaron balances de materia por contaminante para las diferentes alternativas de tratamiento y finalmente se realizó una estimación de costos para su implementación.
2 Metodología
La metodología se basó en la revisión de las tecnologías disponibles para el tratamiento de efluentes de curtiembres. Luego se apoyó en la elaboración de balances de materia de los efluentes acuosos con datos obtenidos de una planta de curtiembres ecuatoriana. La selección del mejor esquema de tratamiento se basó en tomar en cuenta los factores favorables y desfavorables considerados en la comparación de tecnologías y su costo.
En la tabla 3, se presenta la caracterización de las aguas residuales de una industria de curtiembres ecuatoriana, la cual será la base para seleccionar las tecnologías de tratamiento; también se muestra la TULSMA.

2.1 Balance de materia
A fin de tratar los efluentes de manera eficiente, mediante procesos que sean simples de operar con bajo costo de construcción y de operación, se evaluaron diferentes métodos de tratamiento, los cuales incluyen tratamiento primario fisicoquímico seguido de tratamientos biológicos, ya sean aerobios o anaerobios, y finalmente tratamientos terciarios que incluyen procesos de oxidación y electroquímicos. Los balances de materia se llevaron a cabo utilizando las eficiencias de separación de los procesos individuales o en conjunto para determinar posteriormente si la cantidad de estos contaminantes se encuentra por encima o por debajo de la normativa ambiental Ecuatoriana, y por lo tanto, establecer si el proceso es adecuado o no para realizar el tratamiento. Las eficiencias utilizadas fueron obtenidas de estudios sobre el tratamiento de aguas en curtiembres desarrolladas por diferentes autores (Bajza y col., 2004), (Chandra y col., 2011, Costa y col., 2008,Di Gisi y col., 2009, Dogruel y col., 2006, Haydar y col., 2009, Sirajuddin y col., 2007, (Song y col., 2004, Szpyrkowicz y col., 2005). Se consideró que dichas eficiencias podían ser usadas en las aguas de curtiembres ecuatorianas por tener una composición similar. El esquema general de tratamiento seleccionado, una vez realizada la revisión de tecnologías, en este trabajo para purificar las ARM de una industria de curtiembres ecuatoriana se muestra en la Figura 2.

2.1 Comparación de tecnologías
Existen varios factores, además del costo, que se deben considerar a la hora de seleccionar una tecnología, no siempre la menos costosa resulta ser la más adecuada, por esta razón, se realizará una comparación de las tecnologías propuestas para tratar aguas residuales mezcladas, considerando los siguientes factores: flexibilidad, facilidad operacional, generación de desechos, madurez de la tecnología y costos.
2.3 Estimación de costos
La estimación de los costos de los procesos escogidos, se llevó a cabo usando el programa CapdetWorks™ (Hydromantis 2019). El programa tiene la capacidad de realizar el diseño preliminar los equipos y luego calcular el costo total del proyecto (Hydromantis 2019). Los precios fueron ajustados a Octubre de 2018. Los costos de la planta se evalúan partiendo de los costos de los equipos principales y después se le suman los costos de instalación, de las tuberías, de control y automatización, de componentes eléctricos, de diseño de ingeniería, administrativos y legales, de inspección, contingencias y sobrecostos (Gavaskar 2001). Solo fueron considerados costos de inversión de capital. Se excluyeron los costos operacionales.
3 Resultados y Discusión
Una vez sometidas las ARM a los tratamientos preliminares, los procesos más significativos para el tratamiento de aguas residuales de curtiembres tenemos:
Oxidación catalítica
La oxidación catalítica tiene diversas aplicaciones en el tratamiento de aguas residuales. Entre los procesos que usan la oxidación catalítica podemos mencionar: a) La oxidación catalítica con aire húmedo que utiliza Platino o Rutenio depositados en óxidos de titanio o titanio/zirconio como catalizadores (Levec 2007), b) Los procesos de Fenton en fase homogénea que utilizan sales de hierro como catalizadores (Neyens y Baeyens 2003), c) Los procesos de Fenton en fase heterogénea, que usan Fe/Zeolitas o arcillas ferrosas como catalizadores (Herney-Ramirez y col., 2010), d) La oxidación catalítica usando como catalizadores los óxidos metálicos de Mn, Al, Fe, Co y Ce (Luck 1996).
Oxidación Catalítica de Sulfuros: El método más común para la eliminación de sulfuro es mediante oxidación con aire, aunque también se ha propuesto su precipitación con sales de Fe2+ y para prevenir la formación de sulfuro de hidrógeno, la oxidación se realiza a pH superior a 10. Se usa sulfato de manganeso como catalizador, para reducir el tiempo de reacción (Munz y col., 2008) y (Campos y col., 2007). La oxidación también puede hacerse usando otros agentes oxidantes, tales como HClO, Cl2, H2O2 y O3.
Coagulación-Floculación
La función principal de la coagulación química es la desestabilización y agregación de coloides. En el tratamiento de aguas la coagulación tiene como función la formación de flóculos que adsorben o atrapan materia suspendida y especialmente materia suspendida coloidal. En las aguas residuales de curtiembres se utiliza para la remoción de cromo. La coagulación se lleva comúnmente a cabo por las siguientes sustancias: Sulfato de aluminio, Sulfato ferroso, Sulfato Férrico, Cloruro Férrico o mezclas de ellos. Adicionalmente, se pueden usar polielectrolitos catiónicos, no iónicos, aniónicos y naturales.
Tratamientos Biológicos
El tratamiento biológico tiene por objetivo la eliminación de los sólidos coloidales no sedimentables y la estabilización de la materia orgánica vía biológica mediante la acción de microrganismos. Los principales tratamientos biológicos aplicados al tratamiento de aguas residuales son los aerobios y los anaerobios.
Los tratamientos aerobios son aquellos en que la biomasa está constituida por microorganismos aerobios o facultativos, que consumen oxígeno. El carbono de la materia orgánica disuelta en el agua se convierte parcialmente en CO2 con producción de energía y otra parte es anabolizada para sintetizar materia celular. El proceso más conocido es el de lodos activados, el cual consiste en poner en contacto en un tanque aireador el agua residual, la biomasa y oxígeno disuelto, en condiciones de agitación. Luego, los lodos activados se llevan a un sedimentador donde se separa el agua clarificada. Parte de los lodos sedimentados se devuelve al tanque y el resto se elimina. Entre las versiones de los lodos activados se pueden mencionar: Convencional, Aireación gradual, Mezcla completa, Aireación escalonada, Aireación corta, Aireación prolongada, Krauss, Zanjón de oxidación. Se puede lograr una remoción de 60 a 95% de la DBO (Romero 2000).
Los tratamientos anaerobios se emplean en el tratamiento de aguas con alto contenido de materia orgánica y estabilización de lodos; en estos procesos se produce la descomposición de la materia en ausencia de oxígeno molecular. La materia orgánica se convierte biológicamente en metano y dióxido de carbono. La conversión microbiológica de la materia orgánica de los lodos se produce en tres etapas. La hidrólisis, la acidogénesis, y la metanogénesis. Entre los reactores anaerobios se pueden mencionar: Anaerobio de contacto, Manto de lodos anaerobios de flujo ascendente (UASB), Lecho fijo, Lecho expandido (Metcalf y col., 2003).
Procesos de Oxidación Avanzada
Un proceso de oxidación avanzada se define como cualquier proceso de oxidación en donde el radical hidroxilo es la especie dominante. El radical hidroxilo tiene un potencial de oxidación de 2,8 V y puede ser generado por uno o la combinación de los siguientes métodos: a) oxidación química utilizando peróxido de hidrógeno, ozono, peróxido de hidrógeno/ozono, agentes Fenton; b) métodos de radiación que incluyen radiación ultravioleta (UV), radiación gamma, ondas ultrasónicas; c) combinaciones de a) y b), especialmente radiación ultravioleta; y d) fotocatálisis usando UV y dióxido de titanio.
Los efluentes de curtiembres pueden contener cantidades considerables de compuestos orgánicos biorefractarios, que no pueden ser retirados con tratamiento biológico y no se logran las remociones de DQO necesarias para cumplir con las regulaciones ambientales; en estos casos puede necesitarse el uso de un método de oxidación avanzada, como ozonización, posterior al tratamiento secundario o biológico (Droguel y col., 2006).
Electrotratamientos
Una definición amplia del electrotratamiento puede expresarse como el uso de electricidad o campos electromagnéticos para producir o mejorar una separación física o química. El uso de la electricidad ofrece ciertos beneficios como: 1) Calidad y disponibilidad constante, 2) Ningún problema de transporte o almacenamiento, 3) Pérdidas mínimas, 4) Mínima inflamabilidad y toxicidad, 5) Ningún problema de disposición y 6) Un fuerte potencial para el reuso de los fluidos (Freeman 1997). Entre los procesos de electrotratamiento pueden nombrarse: electrólisis, electrodeposición, electrodiálisis, filtración dieléctrica, electroforésis, separación magnética, electrodeionización, electrocoagulación, electroflotación, electrodesinfección, electrodos de diamante (Costa y col., 2008), (Sirajuddin y col., 2007, Szpyrkowicz y col., 2005, (Kurt y col., 2007, Feng y col., 2007, Wang y Li 2012).
3.1 Esquemas de Tratamiento de Contaminantes Líquidos de la Industria de Curtiembres y Balance de Materia
La primera operación unitaria consiste en un cribado para separar los sólidos de gran tamaño que deben ser retirados de forma mecánica o manual. Dependiendo de la concentración de grasas, aceites se concibe una unidad de separación de grasas que puede ser del tipo de flotación con aire, donde la materia flotante se remueve por la parte superior; el efluente se lleva hasta un tanque de igualación donde se inyecta aire para evitar reacciones de descomposición y se realiza un ajuste de pH; su volumen se calcula para mantener un caudal constante de 1,25 L/s. Luego se alimenta el sedimentador primario donde se retiran los sólidos sedimentables por la parte inferior y por la parte superior se obtiene un clarificado.
Posteriormente se lleva a cabo la remoción de sulfuros en una unidad de oxidación catalítica donde se agrega sulfato de manganeso en presencia de oxígeno.
En el sedimentador primario se logran remociones de hasta 70% de los SST, el remanente y la materia coloidal requieren un tratamiento fisicoquímico que involucre procesos de coagulación, floculación y sedimentación. El cromo se precipita con la adición de un coagulante y se retira en los lodos fisicoquímicos generados; así mismo, se logra una reducción de SST y DQO. La operación se lleva a cabo en una unidad con mezcla rápida, seguida de una mezcla lenta. La remoción de cromo debe realizarse antes del tratamiento biológico ya que es tóxico para los microorganismos del tratamiento biológico.
El líquido clarificado que sale del equipo de coagulación-floculación-sedimentador se envía al tratamiento biológico donde se lleva a cabo la metabolización de la materia orgánica ya sea vía aerobia o anaerobia. Es importante acotar que los tratamientos biológicos aerobios permiten alcanzar remociones de 80-95% de DQO mientras que el reactor anaerobio UASB permite procesar afluentes con mayor carga orgánica y puede remover 85-90% de DQO.
El efluente del tratamiento biológico puede someterse a un tratamiento terciario cuando se desea mejorar la calidad del efluente, lo cual dependerá del posterior uso y/o regulaciones ambientales del cuerpo de agua receptor. En este estudio se consideran operaciones de ozonización y electrólisis.
En ozonización la remoción de DQO estará sujeta a la tasa y tiempo de alimentación de ozono usado. En estudios relacionados realizados por Drogruel y colaboradores en 2006, reportan remociones de hasta 38% de DQO usando ozonización por 30 min a una tasa de 42,8 mg/L, obteniéndose un efluente con una DQO de 225 mg/L.
En la electrólisis, la remoción de contaminantes será función del tiempo de electrólisis, intensidad de corriente y consumo energético. En 2005, Szpyrkowicz y colaboradores, reportaron una remoción de DQO de 80% para un consumo de energía de 27,90 kWh/m3 y un tiempo de electrólisis de 49 minutos, generando un efluente con 73mg/L de DQO y 15 mg/L de nitrógeno amoniacal.
A continuación, se proponen 4 esquemas de tratamiento para las ARM donde es importante resaltar, que todos ellos cuentan con tratamiento primario común (cribado, separación de grasas, tanque de igualación, sedimentador primario, oxidación catalítica para la remoción de sulfuros y un equipo integrado donde se lleven a cabo la coagulación, floculación y sedimentación para la remoción conjunta de SST, DQO y cromo) y la diferencia radicará en el tratamiento biológico y terciario empleado.
3.1.1 Tratamiento biológico de lodos activados y posterior ozonización: Tecnología A.
El efluente proveniente del tratamiento fisicoquímico ingresa a un tratamiento biológico de lodos activados convencional, el cual consiste de un tanque de aireación y un sedimentador secundario para la separación de los lodos. El clarificado se alimenta a la unidad de Ozonización. En el proceso de lodos activados se requieren como insumos oxígeno y nutrientes, para garantizar el crecimiento de los microorganismos (Ver Figura 3).

El líquido procedente del sedimentador secundario ingresa al tanque de ozonización en donde se elimina materia que escapó del tratamiento biológico y los compuestos bio-refractarios que puedan encontrarse en disolución. El proceso requiere la inyección de ozono que se hace borbotear directamente o por medio de un difusor. En esta etapa no se generan desechos y se requiere ozono, generado en el sitio, y electrodos como insumos.
Con base en los datos reportados en la literatura (Campos 2007), (Metcalf & Eddy 2003), (Dogruel 2006) y (Luo y col., 2015) se estimaron las concentraciones de salida de cada etapa de la tecnología y se muestran en la Tabla 4.

Se destaca que el efluente obtenido cumple con la TULSMA.
3.1.2 Tratamiento biológico de lodos activados y posterior electrólisis: Tecnología B.
En esta segunda propuesta, se mantiene la mayoría de las etapas concebidas en la tecnología A, pero la etapa de ozonización se reemplaza por una unidad de electrólisis (Ver Figura 4).

Las remociones logradas en la electrólisis son función del tiempo de reacción. (Szpyrkowicz 2005) reporta que aplicando tratamiento terciario a un efluente de un reactor biológico con electrólisis durante 49 min se logran remociones del 80% en DQO.
Tomando el mismo valor de remoción y aplicándolo en el caso de interés, se obtiene tal como se muestra en la tabla 5, un efluente tratado con una concentración de 45,68 mg/L de DQO estando dentro de los valores permitidos.

La Tabla 5 no muestra los efluentes de los equipos que son iguales a la tecnología A.
3.1.3 Tratamiento biológico anaerobio UASB y posterior ozonización: Tecnología C.
La tercera propuesta, mostrada en la figura 5, consiste de un tratamiento biológico anaerobio y para ello fue seleccionado un reactor UASB, el cual es conocido ampliamente su funcionamiento. Es destacable que este proceso permite procesar cargas más elevadas y complejas por ser los lodos anaerobios menos sensibles a compuestos tóxicos en comparación con los lodos activados aerobios.

Tomando una remoción de 85% de DQO, el efluente del reactor anaerobio posee una concentración estimada de DQO de 171,31 mg/L que se encuentra por debajo de la norma, sin embargo, en términos de nitrógeno se requiere un tratamiento adicional para cumplir con la legislación local, por lo tanto, se acopló una unidad de ozonización con remoción de 38% de DQO y 85% de nitrógeno alcanzándose valores de DQO de 106,21 mg/L y en cuanto al nitrógeno de 22,8 mg/L (N-NH3), tal como se aprecia en la tabla 6.

La producción de lodos biológicos en esta tecnología es menor. Además, en el reactor anaerobio se genera energía en forma de biogás que pudiese ser aprovechada.
También se puede observar en la Tabla 6 que todos los parámetros cumplen con los valores establecidos como límites en la TULSMA.
3.1.4 Tratamiento biológico anaerobio UASB y posterior electrólisis: Tecnología D.
El último esquema de tratamiento propuesto consiste de un reactor anaerobio UASB con una posterior unidad de electrólisis, tal como se aprecia en la figura 6.

En la tabla 7, se observan los resultados obtenidos de la propuesta D. En vista de que la alimentación a la unidad de electrólisis proviene de un método biológico anaerobio, se considera que la materia a electrolizar está conformada principalmente por compuestos que escaparon al tratamiento biológico y compuestos biorefractarios.

El efluente final que se obtendría en la tecnología propuesta, tal como se aprecia en la tabla 7, tendría una concentración de 1,71 mg/L de DQO que se ubica muy por debajo del límite permitido, por lo que se debería considerar esta tecnología si se va reutilizar el líquido tratado.
3.2 Comparación de las tecnologías
Evaluando las concentraciones de DQO y nitrógeno en los efluentes que se obtendrían por las 4 tecnologías propuestas y comparándolas con la normativa legal, tal como se muestra en la tabla 8, se observa que todas cumplen con el objetivo del tratamiento.

Los cuatro esquemas propuestos tienen una secuencia de operaciones comunes y a partir del tratamiento secundario es donde radica su diferencia, por lo que se plantean matrices de comparación entre las opciones de tratamiento cuya función, en términos del contaminante a remover, es la misma. En las Tablas 9 y 10 se muestran las matrices generadas.


Al observar la tabla 9, destaca que el tratamiento anaerobio posee mayor flexibilidad al procesar altas cargas orgánicas, su operación es más sencilla y la generación de lodos es menor. Adicionalmente, el reactor anaerobio UASB genera biogas que pudiese ser aprovechado en planta; pueden generarse malos olores en caso de desequilibrio de las bacterias metanogénicas. Los lodos activados requieren inyección de oxígeno para su funcionamiento lo que incrementa su costo.
Con respecto al tratamiento terciario (Ver Tabla 10), se observa que ambos procesos muestran una flexibilidad similar en cuanto a la carga a procesar e involucran equipos complejos con un alto nivel de automatización y control. En cuanto a los insumos, la ozonización requiere generación de ozono en el sitio, adicional al uso de electrodos, lo que se refleja en un incremento en el costo de la tecnología.
En último lugar, la Tabla 11 muestra la estimación de costos de los esquemas de tratamiento de las aguas residuales de los casos presentados.

Jerarquizando las tecnologías en orden decreciente del costo, se tiene: Tecnología A>B>C>D. La combinación lodos activados y ozonización (tecnología A) arroja el mayor costo, debido a que encierra mayores insumos: Suministro de oxígeno en el aireador, generación de ozono en el sitio, electrodos y energía para la unidad de ozonización. Si se analiza la tecnología B, se tiene una disminución en los costos debido a que en la electrólisis no se requiere ozono como insumo. Las tecnologías con tratamiento biológico anaerobio (C y D) arrojaron menores costos en comparación con las aerobias (A y B) debido a que el reactor anaerobio, opera en ausencia de oxígeno y por tanto minimiza la cantidad de insumos requeridos. Con respecto al tratamiento terciario, se confirma que los costos de ozonización son mayores que los de electrólisis, lo que determina que la tecnología D (tratamiento anaerobio seguido por electrólisis) sea la menos costosa.
4 Conclusiones
Los cuatro esquemas de tratamiento propuestos logran reducir los contaminantes de las aguas residuales de una curtiduría ecuatoriana a niveles que cumplen con la normativa. Ahora bien, el esquema D, que incluye tratamiento anaerobio y electrólisis, es el que suma la mayor cantidad de aspectos positivos. La cantidad de lodos producidos es mínima y el consumo de electricidad es aceptable. Así pues, el esquema D sería una buena selección para el tratamiento de las aguas de curtiembres en el Ecuador.
Referencias
Bajza Z, Hitrec P, Muzic M, 2004, Influence of different concentrations of A12(SO4)3 and anionic polyelectrolytes on tannery wastewater flocculation, Desalination, 171, pp. 13-20.
Benhadji A, Ahmed M, Maachi R, 2011, Electrocoagulation and effect of cathode materials on the removal of pollutants from tannery wastewater of Rouïba, Desalination, 277, pp. 128-134.
Bio-Activo- Consultora Ambiental, 2015, Estudio de impacto ambiental ex post de las actividades de Curtiduría Artesanal José Laura. Consultado el 10 de enero de 2019 de https://maetungurahua.files.wordpress.com/2015/12/esia-curt-jose-laura.pdf
Campos J, Mosquera-Corral A, Méndez R, 2007, Capítulo: Tratamiento aerobio de efluentes de curtidurías: estado del arte. Libro: Producción limpia en la industria de Curtiembre. Santiago de Compostela: Universidad de Santiago de Compostela. Méndez, R. (Editor), pp. 141-161.
Chandra R, Bharagava R, Kapley A, Purohit H, 2011, Bacterial diversity, organic pollutants and their metabolites in two aeration lagoons of common effluent treatment plant (CETP) during the degradation and detoxification of tannery wastewater, Bioresource Technology, 102, pp. 2333-2341.
Comisión Nacional del Medio Ambiente, 1999, Guía para el Control y Prevención de la Contaminación Industrial. Consultado el 10 de enero de 2019 de http://www.revistavirtualpro.com/biblioteca/guia-para-el-control-y-la-prevencion-de-la-contaminacion-industrial-curtiembre.
Costa C, Botta C, Espindola E, Olivi P, 2008, Electrochemical treatment of tannery wastewater using DSA® electrodes, Journal of Hazardous Materials, 153, pp. 616-627.
Di Gisi Galasso M, De Feo G, 2009, Treatment of tannery wastewater through the combination of a conventional activated sludge process and reverse osmosis with a plane membrane, Desalination, 249, 337-342.
Di Iaconi C, Lopez A, Ramadori R, Di Pinto A, Passino R, 2002, Combined chemical and biological degradation of tannery wastewater by a periodic submerged filter (SBBR), Water Research, 36, pp. 2205-2214.
Dogruel S, Genceli E, Babuna F, Orhon D, 2006, An investigation on the optimal location of ozonation within biological treatment for a tannery wastewater, Journal of Chemical Technology and Biotechnology, 81, pp. 1877-1885.
El-Sheikh M, Saleh H, Flora J, AbdEl-Ghany M, 2011, Biological tannery wastewater treatment using two stage UASB reactors, Desalination, 276, pp. 253-259.
Fahim N, Barsoum B, Eid A, Khalil M, 2006, Removal of chromium(III) from tannery wastewater using activated carbon, Journal of Hazardous Materials, 136, pp. 303-309.
Feng J, Sun Y, Zheng Z, Zhang J, Li S, Tian Y, 2007, Treatment of tannery wastewater by electrocoagulation, Journal of Environmental Sciences, 19, pp. 1409-1415.
Freeman H, 1997, Standard Handbook of Hazardous Waste Treatment and Disposal, 2nd ed, McGraw Hill, New York.
Ganesh R, Balaji G, Ramanujam R, 2006, Biodegradation of tannery wastewater using sequencing batch reactor-Respirometric assessment, Bioresource Technology, 97, pp. 1815-1821.
Gavaskar A, Cumming L, 2001, Cost Evaluation Strategies for Technologies Tested Under the Environmental Technology, Verification Program. EPA/600/R-99/100.
Haydar S, Aziz J, 2009, Coagulation–flocculation studies of tannery wastewater using combination of alum with cationic and anionic polymers, Journal of Hazardous Materials, 168, pp. 1035-1040.
Herney-Ramirez J, Vicente M, Madeira L, 2010, Heterogeneous photo-Fenton oxidation with pillared clay-based catalysts for wastewater treatment: A Review, Applied Catalysis B: Environmental, 98, pp. 10-26.
Hydromantis, Inc, 2019, CapdetWorks (Versión 3.0-Gratuita) [Software] Consultado el 10 de enero de 2019, de http://www.hydromantis.com/CapdetWorks.html
Hydromantis, Inc, 2019, CapdetWorks. Key Features. Consultado el 10 de enero de 2019, de http://www.hydromantis.com/CapdetWorks-features.html
Kennedy L, Mohan K, Sekaran G, 2004, Integrated biological and catalytic oxidation of organics/inorganics in tannery wastewater by rice husk based mesoporous activated carbon-Bacillus sp., Carbon, 42, pp. 2399-2407.
Kurt U, Apaydin O, Gonullu M, 2007, Reduction of COD in wastewater from an organized tannery industrial region by Electro-Fenton process, Journal of Hazardous Materials, 143, pp. 33-40.
Levec J, Pintar A, 2007, Catalytic wet-air oxidation processes: A review, Catalysis Today, 124, 172-184.
Luck F, 1996, A review of industrial catalytic wet air oxidation processes, Catalysis Today, 27, pp. 195-202.
Luo X, Yan Q, Wang C, Luo C, Zhou N, Jian C, 2015, Treatment of Ammonia Nitrogen Wastewater in Low Concentration by Two-Stage Ozonization, International Journal of Environmental Research and Public Health, 12, pp. 11975-11987.
Metcalf & Eddy, Inc, 2003, Wastewater Engineering Treatment and Reuse, 4th Ed. Mc Graw Hill.
Munz G, Gori R, Cammili L, Lubello C, 2008, Characterization of tannery wastewater and biomass in a membrane bioreactor using respirometric analysis, Bioresource Technology, 99, pp. 8612-8618.
Nemerow N, 1977, Aguas Residuales Industriales. Madrid: H. Blume Ediciones.
Neyens E, Baeyens J, 2003, A review of classic Fenton’s peroxidation as an advanced oxidation technique, Journal of Hazardous Materials, 98, pp. 33-50.
Romero J, 2000, Tratamiento de las aguas residuales. Colombia: Escuela Colombiana de Ingeniería.
Shakir L, Ejaz S, Ashraf M, Qureshi N, Anjum A, Iltaf I, Javeed A, 2012, Ecotoxicological risks associated with tannery effluent, Environmental toxicology and pharmacology, 34(2), pp. 180-191.
Sirajuddin, Kakakhel L, Lutfullah G, Iqbal M, Shah A, Niaz A, 2007, Electrolytic recovery of chromium salts from tannery wastewater, Journal of Hazardous Materials, 148, pp. 560-565.
Song Z, Williams C, Edyvean R. 2004, Treatment of tannery wastewater by chemical coagulation, Desalination, 164, pp. 249-259.
Suthanthararajan R, Ravindranath E, Chitra K, Umamaheswari B, Ramesh T, Rajamani S, 2004, Membrane application for recovery and reuse of water from treated tannery wastewater, Desalination, 164, pp. 151-156.
Szpyrkowicz L, Kaul S, Neti R, 2005, Tannery wastewater treatment by electro-oxidation coupled with a biological process, Journal of Applied Electrochemistry, 35, pp. 381-390.
Tahir S, Naseem R, 2007, Removal of Cr(III) from tannery wastewater by adsorption onto bentonite clay, Separation and Purification Technology, 53(3), pp. 312-321.
TULSMA, 2015. Ministerio del Ambiente. Consultado el 10 de enero de 2019 de http://www.industrias.ec/archivos/CIG/file/CARTELERA/Reforma%20Anexo%2028%20feb%202014%20FINAL.pdf
Venkatramreddy V, Tchounwou P, 2010, Chromium-induced biochemical, genotoxic and histopathologic effects in liver and kidney of goldfish, carassius auratus, Mutation Research, 698 (1-2), pp. 43-51.
Wang J, Li X, 2012, Electrochemical treatment of wastewater containing chlorophenols using boron-doped diamond film electrodes, Journal of Central South University, 19, pp. 1946-1952.
Notas de autor
leonardo@ula.ve