Abstract: A topological approach to the multiculturality, and the interculturality, permits associating these phenomena to the internal topological organization of societies. Multiculturality is supported by disjoint topological coverings that block the interac-tions between all different monocultural subgroups. Topologically speaking, it is not possible to design and develop inter-cultural societies without substituting the disjoint topological coverings, by coverings with non-empty local intersections that allows interactions preserving diversity. Along the essay we illustrate the proposed concepts through visual metaphori-cal representations of the monocultural societies of the Blues and the Reds, consisting of abstract digital mosaics, which eventually conform the first multicultural society. From time to time, however, for different kind of reasons, there will ap-pear some strange individuals, the mutants, and representatives of future intercultural possibilities.
Keywords:MathematicsMathematics,TopologyTopology,Dynamical SystemsDynamical Systems,ModelsModels,MetaphorsMetaphors,MulticulturalismMulticulturalism,InterculturalismInterculturalism.
Resumen: Un abordaje topológico de la multiculturalidad y la interculturalidad permite asociar estos fenómenos con la organización topológica interna de las sociedades. La multiculturalidad está soportada por recubrimientos topológicos disjuntos que bloquean la interacción entre los distintos subconjuntos monoculturales. Topológicamente hablando no es posible diseñar y fabricar sociedades interculturales, sin sustituir los recubrimientos topológicos disjuntos, por recubrimientos con intersecciones locales no vacías, que permitan la interacción preservando la diversidad. En el trabajo se ilustran los conceptos planteados a través de representaciones metafóricas visuales de las sociedades monoculturales de los Azules y los Rojos, bajo la forma de mosaicos digitales abstractos, que eventualmente conforman la primera sociedad multicultural. De vez en cuando, sin embargo, por diversas razones, aparecerán algunos individuos raros, los mutantes, representantes de posibilidades interculturales futuras.
Palabras clave: Matemáticas, Topología, Sistemas Dinámicos, Modelos, Metáforas, Multiculturalismo, Interculturalismo.
A topological approach to designing and constructing dynamical visual metaphors of multicultur and intercultural systems - I
Una aproximación topológica al diseño y construcción de metáforas visuales dinámicas de sistemas multiculturales e interculturales -I

If we explore Internet to get a first view about monoculturalism, multiculturalism, and interculturalism, it is probable that that first view will lead us to associate monocultural-ism, multiculturalism, and interculturalism to conflicts between people with different racial, religious, geographical, and political backgrounds (Sarmento 2014, Kastoryano 2018). Monocultural, multicultural, intercultural views and approaches actually have a lot to do with conflicts, racism, misogynism, religious or political discrimination, massive murder, induce diaspora, human rights violations, etc., but this is only the dark and sordid side of the subject. Yet, protected local monoculturalism could help Amazonian tribes to survive, multiculturalism could allow preserving rare languages and cultural traditions of ethnic minorities in China, India and Central Asia, and respectful and well handle interculturalism could help improving living conditions in Africa and around the world. In our view, it is not a matter of substituting monoculturalism by multiculturalism, multiculturalism by interculturalism, interculturalism by transculturalism, and so on, but to follow the friendly way of nature, or equivalently, to flow along the optimal path of minimal energy. The poetics of mathematics, the modeling experience of natural sciences, and the design and implementation capabilities of engineering sciences should, perhaps, have a word in these attempts to redesigning the world for, hopefully, assuring humankind a better future of prosperity in peace.
Within the context of present essay we will use the ad-jectives monocultural, multicultural, intercultural, transcultural, and the derivate substantives monoculturalism, multiculturalism, interculturalism, transculturalism in wider and more open senses than those mentioned above, and closer to their original etymological meanings, which according to The Shorter Oxford English Dictionary (Brown 1993) are: “Mono~ freely productive pref., w. the senses ‘one, alone, single’”; “Multi~ pref. many, then multicultural would mean related to many cultures; “Inter~ pref. w. sense ‘between’ expressing mutual or reciprocal action or relation, or with sense ‘among’, ‘between’, as interdisciplinary, of or between different branches of learning”; and Trans~ pref., w. the senses ‘across, beyond’ as transfer, ‘on or to the other side of’ as transatlantic, ‘into another state or form’ as transcending.
Moreover, given that the authors are university professors and researchers, and therefore their laboratories and simulation rooms are their respective classrooms and Uni-versities, we will use the pairs of words (cultural, disciplinal) and (culturalism, disciplinalism), as a kind of semantic isomorphism and diffeomorphism between the universes of the {mono, multi, inter, trans}~cultural systems, and the {mono, multi, inter, trans}~disciplinary academic systems. As it will transpire from our work along this essay, these kinds of understandings-misunderstandings, convergences-divergences, and agreements-disagreements between different cultures are isomorphically equivalent to the under-standings-misunderstandings, convergences-divergences, and agreements-disagreements between different academic disciplines, which in the local languages of the students of the Faculties of Arts and Sciences of Los Andes University could sound like:
(Dialog 1) ‘You could calculate the projected shadow using the Pythagorean theorem’ -- Well, you know, I am an artist, not a mathematician.
(Dialog 2) ‘If you are interested on color, you could learn some color theory at the School of Visual Arts’. Well, you know, I am a physicist, not a hippie.
Dialogs 1 and 2 above show that also art and science students share the widespread cultural and disciplinal preju-dice that natural sciences and visual arts have nothing to do with each other. Yet, from time to time we can perceive the emergence of “mutants” within monocultural or monodisci-plinary environments, and this is an auspicious symbol of good and interesting future epochs. We will come back to this point towards the end of this essay.
Systems modeling means different things, depending on the nature of the systems to be modeled, the disciplines involved in the modeling process, and also the purpose of the modeling process. Yet, we could very roughly divide modeling into two main categories of problems: physico-mathematical systems modeling, and non physico-mathematical systems modeling. We will mean by physico-mathematical systems, all those systems obeying the New-tonian modeling paradigm, according to which, if one knows the laws governing the behavior of the components of a system, and also knows the laws governing the inter-connection of those components, then one should be able to write down the set of equations and conditions governing the spatio-temporal evolution of the system. The Newtonian paradigm operates within the framework of a hidden, non-declared, global supporting collective cultural myth, which is that the laws of nature are objective and culture inde-pendent, then universal.
Roughly speaking, the Newtonian paradigm was at the center of physico-mathematical modeling until the end of the nineteenth century, and the theory of differential equa-tions was considered as the very language of nature. More-over, differential equations were assumed to be well behaving objects, admitting to be symbolically solved somehow. Yet, by the turn of the century it was also clear that most integrals could not be symbolically solved, and therefore most differential equations either. This sort of revelation produced a schism within the differential equations community, with Henry Poincaré as the visible head of the proponents of a new qualitative approach to the theory of differential equations, mostly based on topology and geometry, rather than on analysis and algebra. The development of the numerical counterpart to the qualitative theory differential equations had to wait for the development of digital com-puters, to enter into a new golden era that last until today.
The qualitative theory of differential equations pre-tends classifying the set of solutions (orbits, trajectories) of differential equations, according to their geometrical and topological properties, which transformed modern differential equations scholars into a band of high-tech hunters, armed with paper and pencil, crayons of multiple colors, and powerful computers, seeking after equilibrium points, nontrivial periodic orbits, bounded and unbounded trajectories, strange attractors, and some other wild animals, conforming the committee of, local and global, organizers of the whole set of trajectories of any particular differential equation. Modern geometrical approach to differential equations focus on identifying and classifying the organizers of the set of solutions of differential equations, because the behavior of the topological organizers completely determines the global behavior of the whole set of trajectories of the systems.
Perhaps, in what to systems modeling is concerned, the main difference between physico-mathematical systems and human socio-artistic-cultural systems is the wide spread believe that socio-artistic-cultural systems do not obey objectives universal laws because, (i) they are culture-dependent, (ii) human actions depend on emotions, (iii) human behavior depends on human free-will and therefore is unpredictable, an so on. This is neither the place nor the time to challenge some of these believes, which would surely require deep and extensive debates. Yet, a few words are in order concerning the contents of this essay.
Multiculturalism, as formulated in (Sarmento 2014, Kastoryano 2018) can be assimilated, in essence, to the topological problem of designing a covering (Munkres 1975) for a given set X, that guarantees the survival to all elements 𝑥∈𝑋, but hampers eventual interactions between the elements of a subset 𝑌⊂𝑋, i.e., the 𝑦∈𝑌⊂𝑋, and the el-ements of 𝑧∈𝑋, not belonging to 𝑌, i.e., 𝑧∈𝑋−𝑌. The solution to this problem is the topological visual metaphor of the bicultural society of the tribes of the Blues and the Reds shown in Figure 3. It is important to stress, however, that implementing multiculturalism the British way is a decision, a political decision, and not a mathematical inevitability.



Analogously, a transit from multiculturalism to inter-culturalism, as Sarmento implicitly proposed in (Sarmento 2014) through public policies favoring overlapping and interrelation between the elements of isolated subsets of citizens, essentially coincides with the proposal of Rodríguez-Millán in (Rodríguez-Millán 2018) to promote the emer-gence of interdisciplinary study programs out of previous multidisciplinary study programs. Evolving multicultural (multidisciplinary) structures into intercultural (interdisciplinary) structures, their respective distracting ceremonial garbs notwithstanding, could also be consider mathematical problems belonging to the fields of topology, differential geometry and dynamical systems.
System modeling is monocultural, multicultural, inter-cultural, and transcultural, some times it operates asynchro-nously, other times synchronously, and still another times randomly … and so is also this work: on constructing it we used artistic imagining, topological approaches, dynamical systems constructions, Euclidean identification systems, and symbolic-graphic computational implementations.
Let (𝐺,+) be an additive group (Arnol’d 1992), and 𝑀 a differentiable manifold (Boothby 1975). A dynamical system or flow (Φ,𝐺,𝑀) is an application Φ:𝐺×𝑀 →𝑀, sat-isfying two conditions: (i) Φ(0,𝑥)= 𝑥, and (ii) Φ(𝑠,Φ(𝑡,𝑥))= Φ(𝑡+𝑠,𝑥), (Arnol’d 1992, Hirsch & Smale 1974). For any 𝑥∈𝑀, the set of points Φ𝐺(𝑥)={Φ(𝑡,𝑥)| 𝑡 ∈𝐺} of 𝑀 is called the trajectory, or the orbit, of point 𝑥 (Bröcker & Jänich 1982). In the dynamical sys-tem (Φ,𝐺,𝑀), the group (𝐺,+) is thought of as time, and we will only be interested in continuous-time flows and discrete-time flows, associated to the continuous group of real numbers 𝐺= ℝ, and the discrete group of integer numbers 𝐺= ℤ, respectively.
The mosaic-like topological metaphor of Hongyuan Period (Rodríguez-Millán 2019, Xu 2006) shown in Figure 1 may be considered an example of a discretetime dynamical sys-tem. In fact, if we read the mosaic in western key, from left to right and from top to bottom, we can algebraically assimilate the mosaic to a finite ordered sequence of 15×12=180 square tesserae, each of which consists of three coaxial nested polygons: the background square of side 𝐵 colored in blue 𝑏1(𝑘), (𝐵,𝑏1(𝑘)), the uniformly rotated hexagon of radius 𝐻, rotation angle 𝜑𝐻 and colored in blue 𝑏2(𝑘), (𝐻,𝜑𝐻,𝑏2(𝑘)), and the uniformly rotate smaller square of radius S, rotation angle 𝜑𝑆 and colored in blue 𝑏3(𝑘), (𝑆,𝜑𝑆,𝑏3(𝑘)), where 𝑏1(𝑘),𝑏2(𝑘),𝑏3(𝑘)∈[0,1], are the blue coordinates of the polygons in the RGB color system. Thus, a tessera 𝑇(𝑘), for 1 ≤ 𝑘 ≤ 180, can be represented as:
(1)which, in principle, means that each tessera is an object of dimension eight, i.e., 𝑇(𝑘)∈ℝ8, wherefrom the mosaic would be an object of dimension 8×180=1440. Yet, like in any other field of applied mathematics, symmetries and regularities serve to reduce the dimension of mathematical objects. The tesserae of the mosaic in Figure 1 are uniform, in the sense that all background squares has side 𝐵, all hexagons has radius 𝐻, and the internal small squares has radio 𝑆. Moreover, all hexagons are rotated the same angle 𝜑𝐻, and all inner squares are also rotated the same angle 𝜑𝑆. Hence, 𝐵,𝐻,𝑆,𝜑𝐻,𝜑𝑆∈ℝ are global characteristics (pa-rameters) of the mosaic, whereas only the color coordinates 𝑏1(𝑘),𝑏2(𝑘),𝑏3(𝑘) are actually particular to each tessera. Thus, tesserae’s regularities allow us to say the mosaic, as a whole, is an object of dimension 3×180+5=545, and not of dimension 8×180=1440, as previously estimated.
To stress conceptual distinctions between different types of variables in dynamical systems, we will rewrite the expression above for a general tessera 𝑇(𝑘) as follows:
(2)where the time-invariant vector 𝑷=(𝑩,𝑯,𝑺,𝝋𝑯,𝝋𝑺)∈ℝ𝟓 is the vector of parameters, and the time-varying vector 𝒃(𝒌)=(𝒃𝟏(𝒌),𝒃𝟐(𝒌),𝒃𝟑(𝒌)) gathers together the time-varying characteristics of the tesserae. So, the finite sequence of tesserae is the discrete-time flow
(3)or, more shortly, 𝑻𝑷(𝒌,𝒃)= 𝒃(𝒌), to emphasize the role of the time-varying variables of the flow.
What is a monocultural blue society? A blue society is a metaphor of a territory, equipped with an exhaustive open covering of blue disjoint regular squared cells, each one of which is inhabited by a blue citizen, possessing a blue hexagonal body, and a blue squared mind. From previous analysis it transpires at once that it is the vector of parameters, 𝑃=(𝐵,𝐻,𝑆,𝜑𝐻,𝜑𝑆)∈ℝ5, which determines the inner topological structure of the blue society, whereas citizen’s individuality is modeled by the time-varying color coordinates 𝑏(𝑘)=(𝑏1(𝑘),𝑏2(𝑘),𝑏3(𝑘)) ∈ ℝ3. So, blue citizens might wear any tone of blue they wish; yet they all have hexagonal bodies, and squared minds.
Topology and geometry mainly deal with understanding, rather than with calculating and computing; so a blue society is kind of a soft abstract model pretending to give a visual representation, ideally artistic, of some qualitative characteristics of a society. Why blue? Mosaic in Figure 1 is certainly colored in blue tones, yet if we pay a little attention to the citizen of the blue society we will realize they are even polygons, namely, a hexagon and a little square. Both blue colors and even numbers are yin objects in the Taoist cosmovision, and it is one of the non-explicitly declared goals of this work to bridge gaps between East and West, to favor mutual knowledge and understanding. Yin, the feminine, is associated to creativity, softness, patience, fluidness, and therefore is the creative force supporting scientific research.
Nothing prevents someone, however, from thinking of a monocultural red society, with odd polygonal citizens, like in Figure 2. Previously done analysis holds for red so-cieties as well. Yet, for afterwards purposes, we will denote the time-varying vector of color coordinates describing red citizens by 𝑟(𝑘)=(𝑟1(𝑘),𝑟2(𝑘),𝑟3(𝑘)), and the vector of parameters of the red mosaic modeling the red society by 𝑅=(𝐵,𝐸,𝑇,𝜑𝐸,𝜑𝑇). In the red society of Figure 2, citizens have heptagonal bodies and triangular minds, but any combination of odd polygons would be conceptually ac-ceptable.
For the sake of simplicity and conceptual transparen-cy, we have limited our visual metaphors of blue and red societies to trilayers mosaics, but the number of layers mosaics may have is not upper bounded. However, adding layers does increase the dimension of the dynamical systems mosaics represent. Thus, under the assumption of preserv-ing the coaxial topological structure of mosaics above, we would need adding two parameters and one color coordinate to characterize each new layer we add to a mosaic. This would transform the dynamical systems representation, 𝑇: ℤ×ℝ5×ℝ3 →ℝ5×ℝ3, of 3-layer mosaics above, into 𝑇: ℤ×ℝ5+2×ℝ3+1 →ℝ7×ℝ4, the dynamical systems representation of 4-layer mosaics.
Whatever the concepts of monoculturality, multiculturality and interculturality one may use, one thing is clear: mono-culturality, multiculturality, and interculturality are examples of qualitative, geometric, structural properties of societies, with manifold practical consequences. Identifying individuals as members of social groups is a problem of utmost importance for any society, which admits a solution in terms of measuring distances, lengths, and angles between points of abstract spaces. The concept of Euclidean space allows translating to abstract spaces the familiar geometrical structure of the plane and the tridimensional natural space.
To support this construction we need the concept of inner product, which allows generalizing the intuitive ideas of an-gles between lines, and projections over coordinate axes.
Let (𝑉,ℝ) a real vector space. The operation ∗: 𝑉×𝑉→ℝ is called an inner product on V, if it is:
(4)
(5)
(6)
(7)Vector spaces equipped with inner products, (𝑉,∗), are called Euclidean spaces (Kreider et al., 1966).
Inner products are usually described as real-valued, symmetric, bilinear, positive definite operations.
If 𝑥=(𝑥1,…,𝑥𝑛) and 𝑦=(𝑦1,…,𝑦𝑛) are vectors of 𝑉=ℝ𝑛, their standard inner product is:
(8)According to the Pythagorean theorem if 𝑥=(𝑥1,𝑥2) is a vector in ℝ2, then the length of 𝑥 is the non-negative real number
. So, for arbitrary Euclidean spaces (𝑉,∗) we define the length or the norm of
.
For any nonzero vectors 𝑥,𝑦∈ℝ2, the cosine of the angle between them is
. The same equality holds for arbitrary vectors 𝑣,𝑢 of an abstract Euclidean space (𝑉,∗), i.e.,
.
The concept of inner product is one of the most power-ful tools in the toolboxes of both pure and applied mathematicians, not only because it allows to transport the familiar Euclidean geometric structure of the plane ℝ2 to abstract spaces, but also because it permit to measure distances, sizes, angles, directions, parallelism, orthogonality, etc. in terms of which a lot of questions can be definitely answered.
Now, we proceed to use the standard inner product (8) of ℝ𝑛 to construct a robotic identification system to decide, with absolute certitude, whether a newly arrived individual qualifies for the citizenship of the blue (or red) society already studied in the previous section.
For the sake of this work, anytime we speak about colors we will be speaking about colors in the RGB color repre-sentation system, in which any color C is characterized as a three dimensional vector 𝐶=(𝑅,𝐺,𝐵), where 𝑅,𝐺,𝐵 ∈ [0,1] are called the red, green, and blue coordinates of C, respectively. So, 𝐶=𝑅 (1,0,0)+𝐺 (0,1,0)+𝐵 (0,0,1), and then pure red, green, and blue colors would be repre-sented by 𝑅(1,0,0), 𝐺(0,1,0), and 𝐵(0,0,1), for appro-priated values of 𝑅,𝐺,𝐵∈[0,1], respectively. In the RGB color representation system the smaller the values of the color coordinates 𝑅,𝐺,𝐵∈[0,1] the darker the colors. So, as 𝑅,𝐺,𝐵→0, colors red, green, and blue growth darker and darker. Reversewise, as 𝑅,𝐺,𝐵→1, colors red, green, and blue, get lighter and lighter. We will call vectors (1,0,0), (0,1,0), and (0,0,1) the canonical red, green, and blue vectors.
The bilinearity of inner products implies the induce norms are linear. So, the length of red vector ∥𝑅 (1,0,0)∥ =𝑅∥(1,0,0)∥, and with respect to the standard inner product (8),
. Then ∥𝑅(1,0,0)∥ =𝑅. Likewise ∥𝐺(0,1,0)∥ =𝐺, and ∥𝐵(0,0,1)∥ =𝐵.
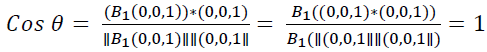
What is it, which allow us to identify both light blues, and dark blues, as blue? Let 𝐵1(0,0,1), and 𝐵2 (0,0,1) two arbitrary blue vectors. We will prove that we recognize both of them as blue, just because they are parallel to the canonical blue vector (0,0,1). In fact, if 𝜃 is the angle between vectors 𝐵1(0,0,1) and (0,0,1), then
(9)hence 𝜃=0, and vectors 𝐵1(0,0,1) and (0,0,1) are paral-lel. Moreover, this result happens to be independent of the blue coordinate 𝐵1, and therefore also holds for any other arbitrary blue vector. So, all blues are blue, just because they all are parallel to the canonical blue vector (0,0,1). This transform the inner product ∗, together with the canon-ical blue vector (0,0,1), into the two key components to construct the robotic identification system which will decide, without committing any errors whatsoever, whether any newly arrived individual qualifies for the citizenship of the promised blue land.
The very same argument for the blue vectors holds for red vectors, if we just substitute the blue canonical vector (0,0,1) by the red cannonical vector (1,0,0), which is very much convenient, because it would allow to design, construct, and sell blue and red versions of the same robotic identification systems to both blue and red migration services. To convince both blue and red bureaucracies of the infallibility of our robotic identification machine, let us show them what would happen in case a red intruder tried to go undetected across the blue robotic identification system. Perhaps some officers could think of this as academic preciousism, but it is actually not. In fact, for good or bad, deep blue and red citizen could look alike to a human migration officer, but not to our robotic identification system.
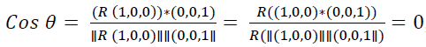
So, let us suppose a red intruder pretend to go unno-ticed across the blue robotic identification system. Well, he will never succeed on his purpose. To check citizenship the blue migration service would compute the angle 𝜃 between the red identity vector 𝑅(1,0,0) and the cannonical blue vector (0,0,1):
(10)which means that any red citizen will be automatically de-tected as a perpendicular being to blue citizens, and therefore would not be allowed into the blue lands. Rever sewisely, the result will also be the same: if a blue folk pre-tends to gain entrance into the red lands, the red robotic identification system would check his blue identity vector 𝐵(0,0,1) against the cannonical red vector (1,0,0), but because of the linearity and the symmetry of the inner product, this checking procedure would coincide with (9).
According to the arguments above, detecting folks and foes may be reformulated as a straightforward technical problem in Euclidean geometry. Yet, the very fact that par-allelism and perpendicularity could be understood as a criteria of “racial” purity or cultural pureness, or that they could be used as criteria to enforce purity or cultural pureness in both blue and red societies, could be polemic.
Before going further let us gather together and pay a review to our metaphors and models so far. The Blue Lands, a territory uniformly covered by blue disjoints squares, is inhabited by the Blues, the tribe of the blue multilayer even polygonal beings, bound together by the Tale of the Blues, the first collective cultural myth ever, in the terminology of Sapiens, the sacred book of the forgotten times, by the storyteller Harari (Harari 2017). The topological metaphor of the Blue Lands and the society of the Blues, is shown in the blue regular topological mosaic of Figure 1, where each blue squared tessera shelters a blue citizen. Sometime later emerged the society of the Reds, whose remote history was coded into the map of the Red Lands of Figure 2. As you might guess, the members of the tribe of the Reds were red multilayer odd polygonal beings, closely tight together by the collective cultural myth of the Reds. By the end of the Second Period the Blues and the Reds had populated all the available lands, creating, as a matter of facts, the first bicultural society. Yet, nothing moved. Eve-rything was in still calmness. Complex conjugated eigenvalues still had to be created. The old books say that by the end of the Second Period, the Hongyuan Period according to the blue monks (Xu 2016), the known populated universe looked like the topological mosaic of Figure 3.
Let us finally check what would the situation be if a newly arrived folk pretends entering into the Blue Lands, or the Red Lands, but happens to be neither a blue nor a red citizen. This is not just a case we have to consider for the sake of academic completeness, but rather a real and important possibility because, were the blue and red robotic identification systems digitally implemented, as they surely would, this case could emerge as an undesirable consequence of the structural rounding errors of digital algorithms. If reality and models do not match, and model-matching failure is the norm, not the exception, unavoidable consequences emerge out of the incertitude. This was also known, DDJ 1:1-4, to the ancient blue monks (Xu 2006):
“The divine law may be spoken of,
but it is not the common law.
Things may be named,
but names are not the things”.
Consider the newcomer 𝑛=(𝜌,0,𝛽), 0<𝜌,𝛽<1:
(11)which for very small values of 𝜌 would look like a Blue, but for very small values of 𝛽 would look like a Red. When 𝑛 tryed to get into the Blue Lands, the blue robotic identifica-tion system performed the usual blue identification algorithm:
(12)obtaining the unusual result
. So, the blue robot-ic identification system denies entrance to 𝑛, and sends 𝑛 to the gate to the Red Lands, where the red security system runs the corresponding red entrance checking procedure:
(13)which also generates an unusual result:
.
The Red Gate keeper had never face a similar case: 𝑛 was neither a Blue nor a Red; even worse, according to the blue and red robotic identification systems, 𝑛 had two different identities. So, he decided to deny the entrance to 𝑛 to the Red Lands, and to resent 𝑛 to the Blue Gate, reasoning that as
was close to 0, and far away from 1, 𝑛 should be kind of a unknown to him, rare phenotype of the Blues. Up-on arriving anew to the Blue Gate, and after exhibiting the result of his red checking procedure at the Red Gate, he was admitted to the Blue Lands, yet he was preventively confined to the ostracism in the Blue Farlands, in the peripheries of the Blue Lands.
What is the moral of this case? The moral is twofold: on the one hand both Blues and Reds learned the very first law of engineering sciences: if something can happen, it will happen; if something can go wrong, it will go wrong; if something can fail, it will fail. On the other hand, both Blues and Reds, unexpectedly and independently, made a great scientific discovering: very seldom there appear some rare exemplars of Blues or Reds that “look like one of us, but are not quite exactly one of us”. Neither Blues nor Reds know where do they come from. They either speak Blueish or Redish, but from time to time both of them pronounced some estrange words that pure Blues or pure Reds, respec-tively, could not understand.
Both blue and red “mutants” required detailed study. By the time being we will keep them under scientific inves-tigation to study their properties, their similarities, and their differences with respect to normal Blues and Reds. It is very important to determined what are those estrange word mu-tants pronounce, what do they mean, and what are they use-ful for.
In previous section we showed that inner products allow studying both the geometric, and the algebraic structure of Euclidean spaces, through the introduction of lengths, dis-tances, and angles induced by the inner product. Based on these mathematical lengths, distances, and angles we developed an identification system allowing distinguishing folks from foes with absolute precision. This learned new ability progressively led to separate, and kept separated, Blues from Reds folks, generating the first nearly perfect bicultural society ever, that populated all the known lands of that time.
Yet, there happen to exist a third family of people, the Greens, who were parallel to none, and perpendicular to all. The identity card of the Greens contained the identification code (0,1,0), which impeded their entrance to both the Blue Lands, and the Red Lands. So, the Greens had to populate the “third dimension”, the Green Lands, perpen-dicular to all the previously known lands. We suggest to the reader to apply both the blue and red robotic identification systems to the Greens folks, to check that they do are simultaneously perpendicular both to the Blues and the Reds. Once you have checked that, proceed to search for all the mutants of the blue-green, and red-green bicultural socie-ties. You should get convinced by yourself, that bicultural-ism, then multiculturalism by mathematical induction, is structurally associated to separating folks into disjoint compartments. So, multiculturalism permits coexistence, but hinders interactions.
And this was the state of things at the end of the Sec-ond Period, the Hongyuan Period: real eigenvalues had already manifested themselves; everything was in still calm; no interaction exists yet between the already manifested beings.
Old autonomous Venezuelan universities live and try to survive as multicultural institutions of the Hongyuan Period nowadays; yet, the dark forces are trying their best to push them back into the First Period, into the Chaotic Era.
The Blues, the Reds, and the Greens are all pure monocul-tural citizens; perfect parallel multiples of their canonical blue, red, and green vectors, respectively. Mutants, tolerat-ed, perhaps even protected, but always-segregated second-class citizens, are not consider full citizens, because they fail satisfying and identity criterion, namely a condition of parallelism to a prescribed direction. Mutants are confined to the peripheries, to the neighborhoods of the boundaries, to the sides of the roads (Sarmento 2014), just and precisely because they live in multicultural societies not allowing free communication between all their members. Mathematically speaking that means that the whole originally available lands were equipped with a covering consisting of only two, then three, disjoints open sets, which impedes free communications between people. This way Blues only interact with other Blues, Reds with other Reds, and so on, so that blue (red, green) interactions can only generate new Blues (Reds, Greens).
Mutants are windows to the future, however. If you examine the mutant (9)

mathematically, open-mindedly, you would realize that 𝑛 is a (𝜌,𝛽) linear combination of the blue canonical vector (0,0,1), and the red canonical vector (1, 0, 0). Of course, the blue-red disjoint compartmentalization of the universe in Figure 3 impede constructing (𝜌,𝛽) linear combinations of Blues and Reds, yet that is only true during the Second Period, and will not necessarily be so in the third period. People do not like mutants, perhaps because their very existence challenge the status quo, and shake all structures.
Linear combinations are just one, among many possi-ble, models of communication, and there is no way to transit from multicultural to intercultural without speeding up communication channels. In a very different language this is also stressed in (Sarmento 2014).
This work is part of a sustained effort of the authors oriented to the conceptualization and implementation of mixed models of complex concepts and systems. Within the context of this essay, mixed models means, for instance, we de signed and coded symbolic algorithms to produce abstract colored digital mosaics intended to represent complex societies, all whose citizen have some common properties. So, the digital mosaics in Figures 1 and 2 are metaphorical representations of the tribes of the Blues, and the Reds. Blues and Reds were also metaphors of a previous exercise on mathematical reading of a Taoist poem.
Visual metaphors may be arbitrary products of the free creative imagination of the artist, yet their digital codifica-tion into one of our mosaic is a rigorous exercise of con-structing a discrete-time dynamical system.
The definition of dynamical system or flow given at the beginning of the third section holds for deterministic dynamical systems (Arnol’d 1992). Yet mosaics in Figures 1, 2, 3 are mixed systems, with both deterministic and sto-chastic features. Determinism implies invertibility. Stochas-tic systems in general are not invertible. This is a technical point requiring further study.
Mosaics in Figures 1 and 2 describe monocultural societies, whereas the mosaic of Figure 3 describes a bicultural society. The Hongyuan Period is a time of multicultural societies, perhaps with incipient traces of interculturalism, hidden in the mutants. The transit from the Second to the Third period is associated to the emergence of coupled pairs of complex conjugate eigenvalues. Yet, there does not exist any theory that allows predicting the behavior of bidimensional coupled pairs, in terms of the behaviors of two previously uncoupled monocultural singles. This emerging phenomenon is equivalent to the transit from multicultural to intercultural societies. Interconnection and communication between different beings are necessary conditions, yet not sufficient, for interculturalism. We will approach this problem in the sequel of this paper.


