Procedimiento basado en el uso de análisis adimensional para elaborar las curvas de altura versus caudal de bombas centrífugas de impulsor cerrado
Non-dimensional procedure analysis to develop head against volumetric flow curves for closed impeller centrifugal pumps
Procedimiento basado en el uso de análisis adimensional para elaborar las curvas de altura versus caudal de bombas centrífugas de impulsor cerrado
Ciencia e Ingeniería, vol. 40, núm. 3, pp. 261-272, 2019
Universidad de los Andes

Recepción: 15 Diciembre 2018
Aprobación: 10 Junio 2019
Resumen: El desarrollo del presente trabajo, constituye la aplicación de métodos gráficos complementados con la versatilidad de los parámetros adimensionales para desarrollar curvas características de bombas centrifugas que no poseen esta información, específicamente curvas de altura versus caudal. Lo relevante de esta idea es que el procedimiento planteado se realiza sólo con datos de placa, contribuyendo a que los usuarios de este tipo de bombas no se vean obligados a gastar recursos en bancos de prueba al momento de necesitar cualquier información que proporcionan estos gráficos. Específicamente, los parámetros de mayor interés en el estudio fueron el coeficiente de altura (𝜓), el coeficiente de caudal (∅) y la velocidad específica (ns). La metodología fue la correspondiente a la extracción de una serie de datos de un catálogo extranjero de bombas centrífugas marca Worthington, después se digitalizaron los datos y se programó la hoja de cálculo para conseguir los parámetros adimensionales, el siguiente paso fue enfocado al mejoramiento de los datos recolectados con el fin de reducir los errores que puedan haber sido cometidos y obtener un mejor resultado, luego, se agruparon los datos según el parámetro ns y se generaron las curvas y ecuaciones que servirían para lograr el objetivo de la investigación. El trabajo resultó en la generación de una serie de gráficos y ecuaciones que junto con el procedimiento para usarlos constituyen las herramientas para la elaboración de curvas características de bombas centrifugas.
Palabras clave: Bombas centrifugas, altura, caudal, curvas características, parámetros adimensionales.
Abstract: The present work is the application of graphic methods, supplemented with the versatility of non-dimensional parameters to develop centrifugal pump characteristics head vs. volumetric flow curves that do not have this information. The relevance of this idea is the proposed procedure performed only by means of plate data, helping users to obtain information without to spend resources on test. The parameters of interest in the study are the head coefficient (𝜓), the flow coefficient (𝜙) and the specific speed (ns). The methodology was to obtain data from a foreign Worthington catalog, then the data was digitized and the spreadsheet was programmed for the determination of non-dimensional parameters, the next step was focused on improving collected data in order to reduce errors and get better results, after, the data were grouped according to ns parameter and curves and equations were generated to achieve the research objectives. The work resulted in the generation of graphs, equations and the procedure to be used, tools for the development of centrifugal pumps characteristic curves.
Keywords: Centrifugal pumps, head, volumetric flow, characteristics curves, non-dimensional parameters.
1 Introducción
Dada la constante necesidad de transportar grandes cantidades de fluidos por largas distancias, las bombas centrífugas, han tomado un papel protagónico en procesos asociados a todo tipo de industrias y hasta en un sencillo acuario.
Antes de que un sistema de bombeo pueda ser diseñado o seleccionado debe definirse claramente su aplicación, ya que la bomba y el sistema deben funcionar con características iguales o cercanas al punto de diseño óptimo. La manera de conocer tales condiciones se realiza con la ayuda de las curvas características de la bomba, las cuales han sido obtenidas mediante ensayos realizados en un banco de pruebas el cual posee la instrumentación necesaria para poder predecir el comportamiento de la bomba y obtener el punto de máxima eficiencia PME realizando la representación gráfica de la carga hidráulica o altura, potencia absorbida y eficiencia contra el caudal de la bomba (Monografías 2009).
Estas curvas son suministradas por los proveedores de bombas, de tal manera que el usuario pueda trabajar según los requerimientos de la instalación sin salir de los intervalos de funcionamiento óptimo, además de predecir qué ocurrirá al variar el caudal manejado. El fin práctico de este trabajo es aplicar las herramientas teóricas a partir de datos experimentales y desarrollar el procedimiento que permita determinar las curvas características mediante el concepto de similitud sin necesidad de realizar ensayos en bancos de pruebas, que aunque son más precisos también son más costosos. El hecho de poder obtener la curva característica de altura versus caudal para cualquier bomba centrífuga, simplemente con los datos de placa supone una gran ventaja a nivel académico e industrial, ya que permite al usuario adaptar una misma bomba a diferentes condiciones de trabajo.
En este trabajo se presentan los antecedentes, herramientas y definiciones básicas. En la metodología se establecen los procedimientos a seguir y finalmente los resultados y sus respectivos análisis y conclusiones.
2 Marco teórico
2.1 Antecedentes
En (Michelena y col., 2000) el objetivo fue realizar un análisis adimensional para las bombas centrífugas y obtener el pre-diseño de un sistema de bombeo y luego realizar la comparación con curvas teóricas de diseños existentes en (Balje, 1981). Para concluir afirmaron que la velocidad especifica ns, es el parámetro más importante a la hora de realizar el estudio de un sistema de bombeo.
En (García y col., 2003) se tuvo como objetivo crear una serie de curvas normalizadas de . y . a partir de curvas características de fabricantes venezolanos, con lo cual se solventa en principio el problema de falta de información inherente. En (Sessa 2008) se realizó un diagrama para la selección o diseño preliminar de bombas a partir de la velocidad especifica ns. En (Alarcón y col., 2009) se plantea un procedimiento gráfico para determinar las curvas características de altura y caudal para bombas centrífugas usando parámetros adimensionales.
Es una metodología que permite obtener una serie de grupos adimensionales, aplicables a condiciones geométricas, cinemáticas y dinámicas controladas, permite determinar el tipo de máquina más adecuada a una determinada aplicación, así como pre-diseñar para estimar el tamaño, el rendimiento, predecir el comportamiento en determinadas situaciones del flujo, disminuir el número de ensayos a realizar y construir series equivalentes con mínimo costo de diseño. El teorema PI o teorema de Buckingham, es el procedimiento formal mediante el cual el grupo de variables que gobierna alguna situación física se reduce a un número menor de grupos adimensionales (Alarcón SF). Mediante la aplicación del teorema PI a turbomáquinas hidráulicas, se obtienen una serie de parámetros que ayudan al estudio de las bombas, como son:
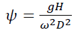
2.2 Coeficiente de gasto o caudal (𝜙)
Es un parámetro adimensional que relaciona el caudal impulsado por la bomba con el diámetro del impulsor y el régimen de revoluciones del motor. La ecuación para calcular el coeficiente de caudal es:
(1)Donde 𝑄 es el, 𝜔 es la velocidad angular y 𝐷 es el diámetro del rotor, unidades en el sistema internacional.
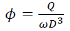
2.3 Coeficiente de altura (𝜓)
También conocido como coeficiente de carga:
(2)Donde 𝑔 es la gravedad y 𝐻 la altura de la bomba.
2.4 Velocidad específica (𝑛𝑠)
Es un parámetro adimensional de gran importancia en el diseño de bombas hidráulicas, se obtiene al combinar el coeficiente de caudal y el coeficiente de altura para eliminar el diámetro del rotor (Karassik y col., 1966). Se calcula sólo para condiciones de máxima eficiencia, es un parámetro importante al momento de escoger la turbomáquina hidráulica más eficiente, su ecuación es la siguiente:
(3)3 Metodología
3.1 Recopilación y organización de datos de bombas centrífugas
Con el propósito de desarrollar una metodología para la construcción de curvas características de bombas centrífugas dinámicamente similares que sólo posean datos de placa, se realizó una recopilación de datos de bombas centrífugas de un catálogo marca Worthington (Worthington Corporation Sf), específicamente se trabajó con la sección de bombas centrífugas de impulsor cerrado, con succión y descarga estándar. Los datos recopilados se ordenaron en una tabla como la que se muestra a continuación:

Donde D es el diámetro del rotor, N el régimen de revoluciones por minuto, H la altura de la bomba y Q el caudal, Di son los diferentes diámetros de rotor de un modelo e igual carcasa. Datos tomados en el sistema inglés según los gráficos del catálogo y convertidos al sistema internacional: Unidades en metros, radianes y segundos.
En la tabla anterior, se recolectaron cinco puntos sobre cada curva incluyendo el de máxima eficiencia, posteriormente se digitalizaron los datos usando el programa computacional Excel. Se diseñó la hoja de cálculo, incluyendo las ecuaciones descritas para ∅, 𝜓, y el ns. A continuación se llenaron las celdas correspondientes con los datos digitalizados anteriormente para obtener los parámetros adimensionales. Se presenta un ejemplo de la hoja de cálculo en la tabla 2 para los puntos de máxima eficiencia.

Se usó el mismo formato para los demás puntos que se seleccionaron sobre la curva. Unidades en metros, radianes y segundos. Con los datos recopilados se pueden describir las siguientes fases metodológicas.
3.2 Generación de curvas 𝜓 versus ∅ según el valor de ns
Usando los parámetros adimensionales calculados, se graficaron las curvas de 𝜓 versus ∅ para cada valor de ns, las cuales deben ser verificadas. Las curvas de 𝜓 versus ∅ se obtienen mediante un ajuste usando un polinomio de grado dos, para cada valor de ns aparecen distintos coeficientes designados de forma general como A, B y C correspondientes a una función cuadrática de la curva característica adimensional.
(4)Para comprobar las gráficas 𝜓 versus 𝜙, se tomaron aleatoriamente algunas curvas de bombas del catálogo Worthington utilizado en la fase de recolección de datos. Para una curva cualquiera se calculó la velocidad específica (ns) en el punto de mayor eficiencia y se tomaron en total cinco puntos, incluyendo el punto de mayor eficiencia para graficar 𝜓 versus 𝜙.
3.3 Desviación estándar para estimar el error
Es importante mencionar que se usó un parámetro estadístico para estimar un error el cual se puede observar que se va reduciendo durante el proceso iterativo desarrollado en la metodología final hasta alcanzar un valor de convergencia. La desviación estándar, concepto estadístico calculado entre cada uno de los valores de la muestra y el valor de la media o promedio. En este trabajo se calculó la diferencia entre el valor real y el valor de altura teórica.
3.4 Procedimiento para obtener las curvas características de bombas centrifugas a partir de datos de placa.
Al seguir el procedimiento que se presenta, se podrá obtener de manera aproximada las curvas.
Ubicar los datos de placa, generalmente se encuentran en el lateral de la bomba o en la caja de circuito.
Anotar los valores de Altura (H), caudal (Q) y velocidad de rotación (N).
En caso de no conocer el diámetro del rodete, medir con un vernier.
Calcular la velocidad específica (ns).
Buscar la ecuación que corresponda al (ns) obtenida según la subsección 3.2 o usar el gráfico correspondiente.
Haciendo uso del gráfico o la ecuación correspondiente al (ns), calcular puntos de la curva adimensional 𝜓 𝑣𝑒𝑟𝑠𝑢𝑠 𝜙, se recomiendan más de cinco.
Con los valores de coeficiente de caudal (𝜙) y coeficiente de altura (𝜓), junto con la velocidad de rotación (𝜔), el diámetro del rodete (D) previamente establecido y las ecuaciones 1 y 2 calcular los puntos para construir la curva característica dimensional de altura de la bomba H versus caudal Q, usando un programa informático para generar la curva o manualmente.
3.5 Verificación de los resultados obtenidos
Para una bomba seleccionada al azar se calcula un valor de velocidad específica, por ejemplo, ns=0.35. Según la tabla que se muestra en la sección de resultados, tabla 7, los valores de A, B y C que se pueden leer para este valor de ns son: A=0.0016, B=0.1507, C=-1329, los cuales representan los coeficientes de la ecuación 4. Esta ecuación para el valor de ns igual a 0.35 es:
(5)La verificación se realiza siguiendo los siguientes pasos:
3.5.1 Para la curva teórica:
Inicialmente se calcula el coeficiente de altura y caudal en el punto de máxima eficiencia. Para obtener valores alrededor del punto de máxima eficiencia, el cual sería el punto nominal tomado a partir de una bomba de la cual se conocen solamente datos de placa, se toman valores entre 0.6 y 1.5 del valor de caudal en el punto de máxima eficiencia, y se calculan los coeficientes de caudal, de esta manera se obtiene un total de 10 puntos adimensionales calculados con la ecuación 1, los cuales se sustituyen en la ecuación 6 para obtener diez valores de coeficientes de altura. Usando las ecuaciones para el coeficiente de caudal y altura, ecuaciones 7, se obtienen diez puntos de caudal y altura dimensionales para graficar la curva teórica que será comparada con la curva real. A continuación, se muestran los resultados de cálculo para la bomba en estudio:
(6)


3.5.2 Para la curva real
Usando la curva real de altura versus caudal de la bomba seleccionada al azar del catálogo Worhington, la cual resultó con un ns=0.35, se ubica el punto de máxima eficiencia y siete puntos adicionales de esta curva real alrededor del punto de máxima eficiencia.

El punto 5 es el punto de máxima eficiencia. El gráfico comparativo entre la curva teórica aplicando el procedimiento planteado y la curva real se muestra en Figura 1.

Los resultados obtenidos en la verificación muestran una total discrepancia numérica y de tendencia entre la curva teórica y la curva real, lo cual muestra que los coeficientes mostrados en la tabla 7, son incorrectos. Esto evidencia la necesidad de hacer un estudio efectivo y replantear un procedimiento basado en un estudio de análisis dimensional para obtener resultados satisfactorios entre la curva real y la curva teórica.
El nuevo procedimiento se realizó siguiendo los siguientes pasos:
3.6 Verificación de la toma de datos
Debido a los errores encontrados en el procedimiento previamente planteado, se tomaron nuevamente los datos de origen de altura versus caudal de las bombas de impulsor cerrado con succión y descarga estándar. Específicamente se tomó la mayor cantidad de datos posibles de las curvas del catálogo Worhington (Worthington Corporation Sf); un total de ocho puntos, incluyendo el punto de mayor eficiencia, tal como se describió, los datos se usan para calcular el valor de ns, y obtener una curva de coeficiente de altura versus coeficiente de caudal, siguiendo un criterio análogo al planteado por la ecuación 4. Estos datos fueron llevados a la hoja de cálculo en Excel.
3.7 Corrección de los coeficientes A, B, C
Con los datos en la hoja de cálculo Excel se calcula el valor de ns. Se toman valores entre 0.6 y 1.5 del valor de caudal en el punto de máxima eficiencia, y se calculan diez coeficientes de caudal, de esta manera se obtiene un total de 10 puntos adimensionales calculados con la ecuación 1, los cuales se sustituyen en la ecuación 6 para obtener diez valores de coeficientes de altura. Se usan valores de A, B, C iniciales a partir del procedimiento previo. Se introducen los ocho puntos de altura real para ajustar y comparar con la curva teórica. Con los diez valores de coeficiente de altura calculados se aplica la ecuación para el coeficiente de altura y se calculan diez valores de altura (H), obviamente erróneos, inicialmente. Para corregirlos se introduce un factor de corrección puntual usando la siguiente ecuación:
(7)Este factor de corrección representa la relación entre la altura real y la altura teórica calculada usando la relación adimensional, ecuación 4 y la ecuación para el coeficiente de altura, ecuación 2. Este FACTOR multiplicado por la altura teórica representa el valor de corrección necesario para obtener la altura real. El factor de corrección calculado se aplica puntualmente a los coeficientes A, B y C tomados inicialmente, obteniendo 8 valores de cada uno de ellos. Se calcula un promedio de cada uno de ellos, con lo cual se recalculan nuevos valores de altura teórica y nuevos factores puntuales de corrección. Esto plantea un proceso iterativo hasta que los valores promedio de A, B y C no cambien más, es decir, hasta que se logren valores de convergencia y obtener valores de altura teórica más cercanos a los valores de altura real.
Durante el proceso de corrección se observó que una vez alcanzada la convergencia para los valores de A, B y C, los valores de altura teórica calculados, seguían manteniendo una diferencia importante con respecto a los valores de altura real, razón por la cual se decidió graficar y obtener la mejor curva de ajuste obtenida mediante el mismo proceso iterativo hasta su convergencia entre el FACTOR y el coeficiente de caudal, obteniendo el mejor ajuste con una función exponencial, la cual, junto con la ecuación 4 adimensional con valores convergentes de A, B y C, permiten obtener un ajuste bastante bueno entre la curva real y la curva teórica. Durante el procedimiento iterativo se logra una buena convergencia tanto para los coeficientes de la ecuación 4 como para los coeficientes representados con las letras D y E de la curva exponencial de corrección: FACTOR versus 𝜙. La ecuación para el factor de corrección es:
(8)Durante el proceso iterativo se observa que la medida de error usada, la desviación estándar se va reduciendo y se observa que con valores menores que 20, se logran muy buenos ajustes entre la curva real y teórica.
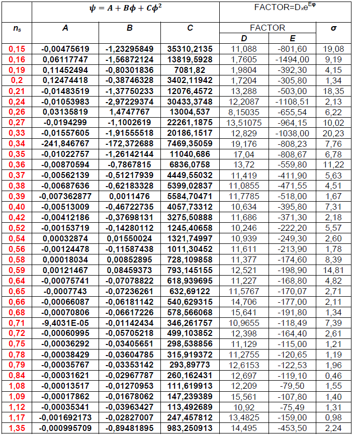
Los pasos descritos se aplicaron para cada una de las curvas obtenidas a partir de los datos de origen tomados del catálogo Worthington, los cuales arrojaron diferentes valores de ns. Una vez realizado todo el procedimiento para toda la información recolectada y obtenidos los valores de convergencia para A, B, C, D y E; se agruparon según el valor de ns y se obtuvieron los valores promedios de dichos coeficientes para obtener valores únicos representativos clasificados según este importante parámetro adimensional (ns) que caracteriza las bombas según su punto de máxima eficiencia, resultados que fueron tabulados. Se obtuvo una tabla 8 de resultados según el valor de ns donde se muestran los valores de A, B, C, D y E promedio. En síntesis, se aplican los pasos siguientes, análogos a la subsección 3.4 del procedimiento previo.
Ubicar los datos de placa. Anotar los valores de Altura (H), caudal (Q) y velocidad de rotación (N).
En caso de no conocer el diámetro del rodete, medir con un vernier.
Calcular la velocidad específica (ns).
Buscar los coeficientes de A, B, C, D y E que corresponda según el valor de ns que se presenta en tabla 8.
Calcular diez puntos de la curva adimensional 𝜓 𝑣𝑒𝑟𝑠𝑢𝑠 𝜙, el primer valor de 𝜙 se calcula con los datos de placa, los nueve valores restantes se calculan como porcentajes de éste, entre 0.6 y 1.5 del valor de caudal en el punto de máxima eficiencia o dato de placa.
Se usan los valores de coeficiente de caudal (𝜙) para calcular el factor de corrección (FACTOR) usando la ecuación 9, se obtienen diez valores de factor de corrección diferentes según la curva de ajuste. Cada uno de estos factores de corrección deben multiplicar los coeficientes A,B y C de la ecuación 4 para obtener diez valores del coeficiente de altura (𝜓) correspondiente a cada valor de 𝜙. Con la velocidad de rotación (𝜔) en radianes por segundo, el diámetro del rodete (D) previamente determinado y las ecuaciones para el coeficiente de altura y el coeficiente de caudal de forma estrictamente adimensional, ecuaciones 7, se calculan los puntos para construir la curva característica dimensional de altura de la bomba H versus caudal Q, teórica, usando un programa informático como Excel para generar la curva o manualmente.
3.8 Factor de corrección final FHC
Al utilizar los coeficientes A, B, C, D y E tanto para bombas del mismo catálogo de origen como para otras bombas de otros catálogos y construir la curva característica teórica de altura versus caudal y compararla con la curva real pueden presentarse divergencias que obligan a aplicar correcciones adicionales para garantizar el ajuste y la obtención de curvas satisfactorias que permitan predecir efectivamente el comportamiento de la bomba.
Para esto se tomó en cuenta el hecho de que cuando se tienen solamente los datos de placa, se tiene un solo punto de la curva real, el cual se debe hacer coincidir con el de la curva teórica. Cuando existe una diferencia entre la curva real y la teórica se debe introducir un factor de corrección adicional, que puede ser menor o mayor que la unidad, el cual se puede mantener constante para todos los puntos o se debe modificar puntualmente según el criterio del investigador y según diferentes situaciones que se pueden presentar.
En general el factor de corrección 2 designado como FHC, se calcula en un solo punto mediante la relación entre la altura real tomada de los datos de placa y el valor de altura teórica o altura corregida calculada con el mismo caudal (indicado en los datos de placa).
La ecuación para el factor de corrección es:
(9)Se muestran dos posibles situaciones que se pueden presentar:

En este caso por la forma casi paralela que existe en las diferencias entre la curva real y teórica, el FHC resultante debe ser menor que la unidad y se puede aplicar su valor constante sobre cada uno de los valores de altura teóricos calculados.
En este caso la altura real tomada de los datos de placa es 242.78 pies y la altura calculada 350.96. El FHC resultante sería:

Al multiplicar las alturas teóricas por el FHC se observa:

La figura 3 muestra una corrección significativa y una curva teórica bastante satisfactoria respecto de la curva real.

En este caso por la forma que existe en las diferencias entre la curva real y teórica, el FHC resultante debe aplicarse de forma variable según la tendencia que se observa en la curva teórica.
El FHC resultante debe ser menor que la unidad y se puede aplicar su valor constante sobre los valores cercanos al punto de máxima eficiencia hasta los puntos de mayor caudal. En los puntos de bajo caudal se aplica un FHC más cerca de la unidad, cuidando mantener una tendencia apropiada en la curva teórica resultante (se recuerda que no se tendría la curva real para lograr mayor precisión). En este caso la altura real tomada de los datos de placa es 380 pies y la altura calculada 482.05, El FHC resultante sería:

Al multiplicar cada uno de los valores de altura teóricos por los valores de FHC variables según criterio del investigador, por ejemplo de 1 q 0.80 para los primeros 4 puntos y luego el valor calculado de 0.78830585 para los puntos restantes como se muestra en la tabla 2 y visualizar los resultados se observa:

Se pueden presentar otros casos, los cuales se pueden corregir observando la diferencia entre el punto real (dato de placa) aunado al comportamiento observado de la curva teórica obtenida. Finalmente, se recomienda utilizar la curva polinómica de grado dos obtenida del procedimiento de ajuste mostrado por la hoja de cálculo, en este caso Excel.
4 Resultados y discusión
Las pruebas con diferentes bombas arrojaron resultados satisfactorios, la aplicación del factor de corrección FHC, termina de garantizar la efectividad de toda la metodología planteada, observándose que en algunos casos no es necesaria su aplicación. Se presenta la tabla 7, la cual presenta los coeficientes A,B,C erróneos, tal como se demostró en la verificación, los cuales fueron utilizados como valores iniciales del proceso iterativo previamente descrito.

A continuación se presenta la tabla de resultados para los coeficientes A, B, C, D y E recomendados según los valores de ns y la nueva metodología planteada.

En los resultados se muestra la curva real experimental dada por el fabricante para ser comparada con la curva teórica. Se presenta el valor de σ o desviación estándar. Se observa una reducción en el valor de σ luego de aplicar la corrección FHC. Pruebas con curvas del catálogo Worhington de donde se tomaron los datos de origen muestra los resultados mostrados en la Figura 6.


Prueba con curva del catálogo de bombas Ingersoll-Rand Corporation, Cameron Pump Division (White 2004).

Tal como se describió para el caso 2, se aplica un FHC variable:

Más pruebas con bombas de impulsor cerrado con succión y descarga estándar de otros catálogos muestran resultados similares, lo que permite afirmar que la metodología propuesta resulta satisfactoria.
5 Conclusiones
En lo referente a la recolección de datos, se completó este objetivo al diseñar formatos que permiten recopilar amplias bases de datos, cabe destacar que en este proyecto se manejaron 4000 datos aproximadamente, todos provenientes del catálogo de bombas centrífugas de la casa Worthington para bombas de impulsor cerrado con succión y descarga estándar
Se calcularon los parámetros adimensionales, con la ayuda del programa computacional Microsoft Excel, el cual permitió sistematizar los datos recolectados y programar las celdas con las ecuaciones de cálculo para generar los parámetros objeto de esta investigación, (𝜓, 𝜙, ns). Se efectuó la clasificación de los datos en base a la velocidad específica (ns), con el mayor cuidado posible, ya que el grado exactitud al momento de agruparlos determinaría el éxito del procedimiento.
La nueva metodología planteada genero gráficos según ns desde 0.15 hasta 1.35, los cuales mediante el uso de los nuevos coeficientes de la tabla 8 y los factores de corrección permiten obtener resultados satisfactorios haciendo la comparación aleatoria entre la curva real y teórica calculada con la metodología planteada. Se describieron los procedimientos de forma clara y precisa al usuario en busca de las curvas características para bombas centrifugas que no posean dicha información y que se encuentren en el rango especificado de ns, rango determinado para las bombas centrífugas de impulsor cerrado disponibles en el catálogo Worthington de donde se tomaron los datos de origen.
Con los resultados obtenidos se puede afirmar que a través del procedimiento gráfico usando parámetros adimensionales se podrán estimar las curvas características de altura versus caudal para bombas centrifugas geométricamente similares a las bombas del catálogo Worthington, que no presenten esta información, sólo con los datos de placa, lo que representa un gran avance para ingenieros y técnicos dedicados al área de transporte de líquidos que frecuentemente hacen uso de la información que contienen para la elaboración de proyectos, en donde el punto de intersección entre la curva del sistema y la curva de la bomba es requerido, en condiciones iguales o cercanas a eficiencia óptima.
Referencias
Alarcón Y, Masseroni L, 2009, Procedimiento gráfico para determinar las curvas características de bombas centrifugas usando parámetros adimensionales, proyecto de grado, Universidad de los Andes.
Alarcón G, SF, Guía de Turbomáquinas, publicaciones Universidad de Los Andes, Mérida-Venezuela.
Alarcón G, SF, Guía de Bombas, publicaciones Universidad de Los Andes, Mérida-Venezuela.
Balje OE, 1981, Turbomachines, A guide to selection and theory, John Wiley and Sons, New York.
García D, Suescún J, 2003, Curvas normalizadas en función de ns de bombas distribuidas en Venezuela, proyecto de grado no publicado, Universidad de los Andes.
Karassik I, Carter R, 1966, Bombas Centrífugas. Selección, Operación y Mantenimiento, Mc Graw Hill, España.
Monografías, 2009, el centro de tesis, documentos, publicaciones . recursos educativos más amplios de la Red, Pagina web en línea, disponible en: http://www.monografias.com/.
Michelena L, Moreno J, 2000, Análisis adimensional de bombas centrífugas venezolanas, proyecto de grado no publicado, Universidad de los Andes.
Sessa Y, 2008, Selección o diseño preliminar de bombas a partir de la velocidad específica (ns), proyecto de grado no publicado. Universidad de los Andes.
Worthington Corporation, SF, PSI Pump Selector for Industry, USA.
White F, 2004, Mecánica de fluidos, MacGraw Hill, México.
Notas de autor