
Recepción: 15 Febrero 2019
Aprobación: 25 Julio 2019
Resumen: En este artículo se presenta la implementación de un Sensor Virtual para Modelar y Diagnosticar Pozos Petroleros basado en técnicas de Computación Inteligente (específicamente Métodos Numéricos y Código de Cadenas). Este sensor virtual, permite implementar labores de supervisión y diagnóstico del proceso de producción en sus respectivos estados operacionales, y detectar formas de fallas que afectan al proceso de producción de crudo. Así el Modelado y Diagnóstico se realiza en pozos por levantamiento artificial por Bombeo Mecánico, usando datos de campo (carga de fluido, torque, porcentaje de llenado de la bomba y sobrecarga del motor). En general, la propuesta está orientada a la dotación del pozo de inteligencia al conferirle características de auto-diagnóstico en sitio, proporcionando al método de producción mejor desempeño y rentabilidad económica.
Palabras clave: Métodos numéricos, código de cadenas, sistema de producción petrolero, pozos por levantamiento artificial por bombeo mecánico.
Abstract: This article presents the implementation of a Virtual Sensor to model and diagnose oil wells based on technologies of Intel-ligent Computation (specifically Numerical Methods and Code of Chains). This virtual sensor, it allows to implement labors of supervision and diagnosis of the process of production in his respective operational conditions, and to detect forms of faults that concern the process of production of crude oil. So, the model and diagnose it is done in wells for artificial lift for mechanical pumping, using field data (it loads with fluid, torque, percentage of filling of the bomb and overload of the en-gine). In general, the offer is orientated to the endowment of the well of intelligence to award characteristics of self-diagnosis in site, providing to the method of the best production and economic profitability.
Keywords: Oil black, modelling, fluids, characterization, numerical methods, code of chains, system of production oil, well artificial lift for mechanical pumping.
1 Introducción
La producción industrial petrolera se compone de procesos grandes y complejos, por lo cual, requiere una plataforma tecnológica que maneje grandes volúmenes de información que permita el control de los mismos, la toma de decisiones gerenciales y la generación de la planificación de la producción. A pesar de contar con plataforma tecnológica compuesta por diversos niveles que van desde el control de los procesos (en el cual se encuentran dispositivos de control regulatorio y adquisición de datos de procesos) hasta los gerenciales y supervisorios (compuestos por diversos sistemas de información para optimización, gestión de recursos, apoyo a la toma de decisiones, entre otros), la industria petrolera actualmente hace frente a una nueva realidad: ¿Cómo incrementar, o al menos estabilizar, la producción de hidrocarburos debido a la madurez de los campo de gas y petróleo?. Una respuesta consiste en acceder a nuevas técnicas de computación que permitan identificar fallas operacionales que impactan la producción.
Particularmente, la computación inteligente ha permitido beneficios en ahorros o incremento de producción de hidrocarburos, a pesar de que es una técnica relativamente nueva en la industria petrolera (no mayor de 10 años). Se han hecho grandes esfuerzos por utilizar dicha técnica para maximizar el factor de recobro de los yacimientos (producción de petróleo al menor costo posible) (Camargo y col., 2016) Algunos trabajos afines a nuestra propuesta son presentados en (Leal y col., 2014). En (Camargo y col., 2015) se estiman zonas altamente productivas de crudo utilizando técnicas de inteligencia artificial. En (Camargo y col., 2016) se optimizó la Producción del Método de Levantamiento BES (Bombeo Electrosumergible) a través del Control del “Drawdown” (Caída de la Presión de Fondo con respecto a la Presión de Yacimiento), utilizando algoritmo genético en diferentes zonas de producción. De igual manera, en (Camargo y col., 2016) utilizan técnicas de inteligencia artificial para identificar zonas de producción en yacimientos multicapas.
Los Sensores Virtuales (Soft Sensors or Virtual Sensors, en inglés) (Camargo y col., 2016) son modelos matemáticos que nos permiten inferir (estimar) variables, sobre la base de sus dependencias a un conjunto de variables específicas que se puedan medir más fácilmente, tales como presiones, flujos y temperaturas. En general, hay cuatro métodos principales para la construcción de sensores virtuales: El primer método seria Modelado riguroso, a partir de leyes de conservación (modelado físico/químico). Como segundo método Estadística Multivariada. Tercer método, Modelos de inteligencia artificial, tales como redes neuronales y lógica difusa. Y cuarto método, Métodos híbridos, incluyendo simulaciones de procesos dinámicos, basados en Métodos Numéricos. En particular, en este artículo se diseña e implanta a nivel operacional un sensor virtual, basado en Le-yes de Conservación y Métodos Numéricos, teniendo como premisa la dinámica de los datos operacionales.
Los datos utilizados en el proceso de modelado pasan por un proceso de tratamiento, que permiten su selección, filtra-do, etc. Apropiado, para obtener resultados satisfactorios.
En específico, se analizan los datos disponibles, con el fin de detectar los datos que falten, o evitar la inclusión de variables atípicas, o variables con fallas por los dispositivos de medición o de transmisión, entre otras cosas, que puedan tener efectos no deseados sobre la calidad del modelo. Otro aspecto importante en el diseño del sensor virtual es la validación del modelo, el cual se debe comparar con el escena-rio real objeto de estudio en este trabajo.
Particularmente en este trabajo se propone un Sensor Virtual para Modelar y Diagnosticar (SvMD), que permitirá la identificación de diferentes escenarios operacionales de un pozo petrolero, para poder así implementar labores de supervisión y control de los procesos en sus respectivos esta-dos operacionales. El SvMD propuesto permite, entre otras cosas, detectar formas de fallas que afectan al proceso o a los equipos involucrados, en tiempo real y de forma autónoma, en las instalaciones de producción, a nivel de pozos y yacimientos. El sistema es inicialmente probado en pozos que requieren Levantamiento Artificial por Bombeo Mecánico (BM), esto se hace a través del sistema de supervisión propuesto identificando problemas presentes en el fondo del pozo, con este método se permite ubicar de forma rápida la condición mecánica y desempeño del equipo de fondo (sarta de varillas, bomba, válvulas, entre otros componentes), propiedades físicas del pozo como interferencia de gas y fugas en las bombas, logrando ser evaluadas a través de un algoritmo de identificación de puntos de apertura y cierre de las válvulas para diagnosticar los sistemas de bombeo, mediante un análisis de segmentos entre los puntos de apertura y cierre de las mismas identificadas en las cartas dinagráficas de fondo.
La estructura del artículo es la siguiente: La sección 2 presenta el marco teórico usado como base para el desarrollo del sensor virtual. La sección 3 describe el diseño del sensor virtual, la sección 4 los resultados, y la sección 5 presenta las conclusiones.
2 Fundamentos teóricos
2.1 Pozo por Levantamiento Artificial por Bombeo Mecánico
El bombeo mecánico es el más común de los métodos de levantamiento artificial, empleado para la extracción de crudo en pozos con volúmenes pequeños y medianos de producción y especialmente en crudos medianos y pesados, los cuales requieren la inyección de diluentes o vapor para facilitar su extracción. Este método tiene como principio fundamental levantar los fluidos desde el yacimiento hacia la superficie. Consiste en una bomba de subsuelo de acción reciprocante y desplazamiento positivo conectado a una sarta de cabillas que permiten transmitir el movimiento generado en la superficie por la unidad de bombeo o balancín a través de la energía suministrada por un motor eléctrico o de combustión interna.
El principio de funcionamiento del sistema se basa en transformar el movimiento angular del eje del motor a un movimiento reciprocante vertical, reduciendo la velocidad mediante la caja de engranajes del balancín, con la finalidad de accionar la sarta de cabillas y la bomba de subsuelo, permitiendo la transmisión de energía adicional del pozo y creando un diferencial de presión que facilite el transporte de fluidos desde el fondo hasta la superficie, el proceso descrito se muestra en la Fig 1. (Chen y col., 2018)

La curva de producción del pozo se obtiene a través de la caracterización del pozo (perfil de presión) y técnicas de balances de masa y energías (Chen y col., 2018, Galdir y col., 2015).En la caracterización se identifica la completación mecánica instalada en el pozo a nivel de fondo y superficie, y la caracterización de las propiedades física del fluido (Gravedad del crudo, Corte de agua, Presión y Tempera-tura de fondo, Relación Gas Líquido); todo esto se hace ya que el comportamiento de producción de crudo en los pozos por Bombeo Mecánico depende de variables, tanto de yacimiento como de diseño mecánico (válvulas, tuberías de producción, entre otros) (Chen y col., 2018, Galdir y col., 2015).Posteriormente se aplican técnicas basadas en balances de masa y energía, tales como la denominada Análisis Nodal. Para su cálculo, se debe elegir un nodo (punto de implementación del balance de energía) en cualquier lugar del sistema de producción. Posteriormente de elegido el nodo, se determinan las presiones con la cual el yacimiento entregara la tasa de producción a la entrada y salida del nodo. Esta relación presión y tasa de producción se denominan “Oferta” de energía del yacimiento y “Demanda” de energía de la instalación en superficie. Finalmente, de la intersección de dichas curvas se obtiene el modelo de producción de un pozo a partir del análisis nodal (Chen y col., 2018, Galdir y col., 2015). Así, la pérdida de energía en forma de presión a través de cada componente, depende de las características de los fluidos producidos y especialmente del caudal de flujo transportado, de tal manera que la capacidad de producción del sistema responde a un balance entre la capacidad de aporte de energía del yacimiento y la de-manda de energía de la instalación para transportar los fluidos hasta la superficie.
2.2 Carta Dinagráficas
Una carta dinagráfica o dinamométrica de superficie representa el diagrama de las cargas medidas o predichas de la barra pulida en varias posiciones a través de un ciclo completo; la carga se exhibe generalmente en libras de fuerza y la posición se exhibe generalmente en pulgadas. Las cartas de superficie son valiosas para diagnosticar cargas en la barra, estructurales, y de torque en la caja de engranaje y motor. Para entender las características básicas de la carta dinagráfica, se partirá de condiciones simplificadas, asumiendo una barra rígida, una velocidad de bombeo lo suficientemente baja como para eliminar las fuerzas dinámicas, líquido incompresible bombeado y se ignoraran todas las pérdidas de energía a través de la sarta. Para este caso, la carta dinagráfica es la variación de las cargas en la barra pulida vs posición, que se ve representada para este caso ideal por el rectángulo 1-2-3-4 mostrado en la Fig. 2. En el punto 1 comienza la carrera ascendente y la válvula viajera cierra inmediatamente. Las cargas en la barra pulida, iguales al peso de la sarta de cabillas en flotación en el punto 1, rápidamente se incrementan las cargas indicadas por el punto 2, en la medida en que las cargas de fluido son transferidas de la válvula fija a la válvula viajera. El pistón y la barra pulida se mueven juntos hasta que el punto 3 es alcanzado, mientras se mantiene una carga constante. En el punto 3 el final de la carrera ascendente es alcanzado, y la carrera descendente comienza con la apertura inmediata de la válvula viajera. Rápidamente las cargas de cabillas caen hasta el punto 4, debido a que la carga de fluido no está más so-portada por la válvula viajera. La sarta de cabillas con la válvula viajera abierta en su extremo más bajo, cae en el fluido del pozo desde el punto 4 al 1, mientras las cargas en la barra pulida igualan el peso de la sarta de cabillas flotación. En el punto 1 comienza un nuevo ciclo.

2.3 Estudio de la Derivación de la Ecuación de Onda
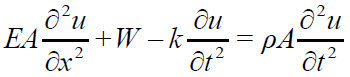
En la Fig. 3. se observa una sección de una varilla el área de una sección trasversal uniforme. A y de longitud L. Los ejes coordenados, x y u, que se encuentran direccionados hacia abajo, en donde se ven representada la distancia axial y desplazamientos de la barra (Gibbs 1963).

Dónde:
W: Peso de la Sarta en libras, (lb).
Fx9: Fuerza de tensión que representa empuje desde arriba en el elemento de la sarta, en libras (lb).
Fx+ Δx: Fuerza a tensión que representa el empuje hacia abajo en el elemento de barra, en libras (lb).
Fd: Fuerza de damping opuesta al movimiento del elemento de la barra, la cual es el resultante del fluido y de la fricción mecánica en la superficie del elemento.
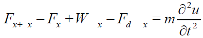
Según la segunda Ley de Newton, la cual establece que la sumatoria de fuerzas que actúan sobre un elemento debe ser igual a la masa por la aceleración del mismo, esto es:
(1)Las fuerzas de tensión
pueden ser expresadas por el esfuerzo mecánico presentado en la sección de la barra en las distancias axiales
de la siguiente manera:
(2)
(3)Sustituyendo las ecuaciones 2 y 3 en la ecuación 1 obtenemos:
(4)Desde que la sarta de cabilla se encuentra en condiciones normales de operación bajo deformación elástica, la Ley de Hooke puede ser aplicada, el cual establece que el esfuerzo en cualquier sección transversal es proporcional a la deformación del elemento de la sarta actual, esto es:
(5)Donde:
E: Modulo de Young de elasticidad de la sarta en Psi.
: Cambio de desplazamiento sobre la longitud de la barra.
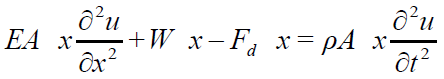
Usando la ecuación 5 que define el esfuerzo de la varilla y sustituyendo los términos apropiados en la ecuación 4 obtenemos:
(6)El termino multiplicador EA, del lado izquierdo de la ecuación anterior, puede ser expresado como la segunda derivada del desplazamiento (u) con respecto a la distancia (x). Introduciendo esto, y expresando la masa como función de la densidad, área, llegamos a la siguiente ecuación:
(7)Para la velocidad se tiene la siguiente expresión:
(8)Sustituyendo la ecuación 7 dentro de la ecuación 8 se obtiene:
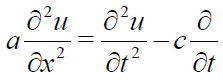
(9)El peso del elemento de la sarta, es una fuerza estática que permanece constante durante un ciclo de bombeo, y por consiguiente no se tomara en cuenta para la solución general de la ecuación de diferencial de onda, para la simplificación de los cálculos y siguiendo lo expuesto por Everitt en su artículo técnico (Gibbs, 1963),solo se abordara la solución homogénea de la misma.
Reordenando tenemos:
(10)Donde:
(11)
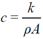
(12)Donde:
a = Velocidad del sonido en el acero.
c = Coeficiente de amortiguación damping (1/seg).
t = Tiempo (seg).
x = Distancia desde la barra pulida (ft).
u(x, t) = Desplazamiento a partir de la posición de equilibrio (ft).
E = Modulo de Young (psi).
ρ = Densidad del material de las cabillas (lb/ft2)
2.4 Código de Cadena de Freeman
Las cartas dinagráficas se consideran curvas de borde, tales curvas de borde se pueden representar como un conjunto de pares ordenados que dan las coordenadas enteras de los puntos de la curva. Sin embargo, también puede almacenarse, con menos requerimientos de memoria, en la forma de código de cadena. Así, el código de cadena es un tipo de estructura de datos que permite representar el contorno de un objeto en una imagen binaria mediante una secuencia de segmentos, conectados consecutivamente, de longitud y orientación específica, que conectan píxeles adyacentes (Galdir y col., 2015).
El código de cadena de una curva consiste en las coordenadas del punto inicial, seguido de una lista de códigos de movimientos para pasar al siguiente punto, la conexión de los segmentos se lleva a cabo en entornos de 4 vecinos o de 8 vecinos. De tal manera que cuando se usa una vecindad de 8N es un entero k entre 0 y 7, indicando que el vecino siguiente se obtiene con un desplazamiento en la dirección kπ/4 generando 8 orientaciones posibles donde se utilizan los números 0, 1, 2, 3, 4, 5, 6, 7 para especificar la orientación de los segmentos, como se muestra en la Fig. 4(b).

Al usar una vecindad 4N, el código de cadena es un número k entre 0 y 3, indicando un desplazamiento en la dirección kπ/2 generando cuatro orientaciones donde se utilizan los números 0, 1, 2, 3 para especificar la orientación de los segmentos, como se muestra en la Fig. 4(a).
El código de cadena genera una secuencia de números que representan las orientaciones de los segmentos conectados consecutivamente, partiendo de un punto del contorno y siguiendo las agujas del reloj, es una representación invariante frente a traslaciones, esta propiedad facilita la comparación de objetos, permitiendo obtener características del contorno, como lo son el perímetro y el área del objeto. Sin embargo, solo se consideran para este trabajo segmentos usando vecindad de 4N con una pendiente kπ/2 (considerando que el borde es una curva 4N), con k=0, 1, 2, 3, que se caracterizan porque su código de cadena tiene un solo código k que se repite. Como se puede ver en el ejemplo de la Fig. 5 la aplicación del código de cadena a un contorno simple, usando un entorno de 4 vecinos como se muestra en la Fig. 4 (a). (Galdir ycol., 2015).

Así, este procedimiento recorre el código cadena de la curva, y si encuentra repeticiones consecutivas de código k, correspondientes a segmentos de recta de pendiente kπ/2 (en curvas de 4N), calcula los puntos extremos de tal segmento, y los almacena en la lista de vértices del primer polígono. Mediante esta transformación se pretende obtener disminución del costo computacional en la etapa principal del algoritmo, sin perder información relevante acerca de las características del borde.
3 Diseño del SvMD para Balancín
Esta sección introduce la metodología propuesta para el diseño del SvMD a través de la Identificación del escenarios operacionales y posibles fallas en pozos que operan por levantamiento artificial por balancín. La metodología consiste en dos fases: inferir la carta de fondo a través de la ecuación de onda para luego identificar la apertura y cierre de las válvulas fija y viajera en un ciclo de bombeo. La ecuación de onda fue extraída de la sarta de cabillas, siendo este el elemento más importante en el sistema de bombeo mecánico. Debido a sus propiedades elásticas, mucha información relativa al estado del pozo y al equipo de subsuelo viaja a través de la sarta en forma de ondas de sonido, aprovechando este fenómeno es posible recolectar información e inferir la carta dinagráfica de fondo, generando un vector de aproximaciones de las variables deseadas en un intervalo de tiempo más pequeño. Para identificar la apertura y cierre de las válvulas fija y viajera en un ciclo de bombeo se propone un método para aproximar el borde de las cartas dinagráficas de fondo por una sucesión de segmentos rectos como consecuencia de la aproximación, el borde se suaviza, eliminándose las perturbaciones presentes en la carta dinagráfica de fondo original. Así, se propone un algoritmo de simplificación de curvas de borde mediante transformación de dichas curvas a polígonos, con el uso de técnicas de representación de forma como el código de cadena (Han y col., 2016, Hsiung y col., 2018), se logran aproximaciones adecuadas de las curvas y además se permite ignorar efectos de perturbación presentes en las cartas, permitiendo un mejor análisis, basado en polígonos esperados (tetrágono y hexágono cóncavo) como se muestra en la Fig. 6.

De la Fig. 6 tenemos la siguiente información: (a) Tetrágono, debido a la forma general de las condiciones de bombeo completo, donde el pistón no sale del fluido durante el ciclo. (b) Hexágono cóncavo, debido a la forma de las condiciones más severas de apagado de la bomba, donde el pistón sale total o parcialmente del fluido.
De tal manera, a partir de la comparación de la forma de cualquier carta dinagráfica de fondo con uno de estos polígonos, se puede identificar los puntos de apertura y cierre de las válvulas en los vértices de los mismos, y luego segmentar la carta dinagráfica de fondo. Con la segmentación, el análisis de las estadísticas relacionadas con las características de los segmentos se vuelve viable.
Primera Fase: Inferencia Carta de Fondo a través de la Ecuación de Onda
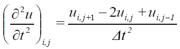
Así como en cualquier ecuación diferencial, la ecuación de onda también puede sertratada en el lenguaje de diferencias. La conversión consiste en sustitución de las derivadas parciales por diferencias finitas, la cual es una aproximación frecuentemente usada en la solución numérica de coeficientes diferenciales. Entonces, un conjunto posible de diferencias finitas es dado a continuación para la solución de la ecuación de onda:
(13)
(14)
(15)Estas fórmulas son parte de las aproximaciones de las series de Taylor, si son insertadas dentro de cualquiera de las versiones de la ecuación de onda, puede ser resuelta numéricamente. Existen dos posibilidades de solución:
Ya sea
para la determinación de los desplazamientos en el mismo tiempo pero para la siguiente distancia o
para determinar los desplazamientos en el mismo lugar para los siguientes pasos de tiempo. Para la investigación, se ha seleccionado desarrollar una solución numérica con un modelo de análisis de diagnóstico, la cual facilita la implementación numérica en la programación e instalación de las mismas en el conjunto de equipos seleccionados para el diseño del sistema de control. La ecuación 16 para calcular los desplazamientos en diferentes nodos de la sarta de cabillas.
(16)Aunque esta ecuación es sólo un caso simplificado para una configuración de una única varilla con un único diámetro y un único tipo de material. Ahora bien, multiplicando la ecuación 15 por (A/144gc), se obtiene la ecuación 16, la cual, luego de manipulaciones matemáticas, permite realizar cálculos de desplazamientos para una configuración de sarta con opciones múltiples, como lo son: configuración de varias varillas con diferentes diámetros, así como también permite la diversidad del material de las varillas (fibra de vidrio o acero).
(17)Ahora bien, se puede se dar una solución numérica a la ecuación anterior, por medio del uso de ecuaciones diferenciales, esto implica que el modelo matemático debe estar basado en lenguajes de diferencias.
Usando diferencia finita tenemos:
(18)Ahora, como el punto de interés esen la bomba, es decir, para i = m se tiene:
(19)Sustituyendo la ecuación 19 dentro de la Ley de Hooke, queda:
(20)Donde Fpump, es la carga en la bomba en libras, (lb).
Partiendo de la lectura de los datos basado en las propiedades de la sarta de cabillas a partir de datos de entrada, se logra calcular el peso del fluido y los esfuerzos de la sarta de cabillas. En tal sentido se requieren de ciertas condiciones iniciales, como colocar un eje de coordenadas en la superficie para la dirección y convertir la carga en esfuerzos mecánicos, una vez esto se procede a calcular la velocidad de superficie del cual se toma el primer dato para arrancar el sistema de inferencia esto se realiza en la función de método de la característica y las funciones que interactúan con ella.
Segunda Fase: Detección de Fallas Basado en Patrones Operacionales
Los puntos en las cartas de dinamómetro de fondo de pozo están formados por un conjunto de valores de desplazamiento y carga como en la ecuación 21.
(21)Para cada enésimo punto en la carta (dN, lN) n = 1, donde dN es el desplazamiento de cada punto de la carta dinagráfica de fondo, lN es la carga y N es la cantidad de puntos.
El rango de valores en la carta de dinamómetro puede variar según las características del pozo de origen, por lo que se utiliza una normalización de pre proceso como en las ecuaciones 22 y 23, donde dmin, dmax, lmin, lmax son respectivamente los valores mínimo y máximo del desplazamiento y carga.
(22)
(23)Con el proceso de normalización, los valores de las tarjetas del dinamómetro variarán entre 0 y 1, simplificando los cálculos futuros. A partir de los valores normalizados, se extrae el vector de ángulos A, formado por cada par de puntos secuenciales como en la ecuación 24.
(24)Para analizar los ángulos y los segmentos aproximados de las líneas, la representación de la forma del código de la cadena se utiliza en función del código de cadena de Freeman. En la Fig. 5, se genera un código de cadena a partir de un contorno simple. Usando un código conectado en 4 como ejemplo (ver Fig. 4.a). Los ángulos extraídos de las cartas dinagráfica ahora se pueden usar para extraer el código de cadena, donde cada ángulo se codificará en uno de los 4 códigos. La ecuación 25 se usa para generar el vector de código de cadena. La Fig. 7 muestra un ejemplo de carta dinagráfica de fondo de pozo de contorno simple después del proceso de normalización con cada uno de sus puntos marcados con el código respectivo.
(25)

Con el código de cadena es fácil identificar los segmentos como se pretende, que un segmento de estabilidad de carga hacia arriba se codifica como 0, la carga se codifica como 1, la estabilidad hacia abajo se codifica como 2 y la descarga se codifica como 3. Para reconocer la forma general y lidiar con las distorsiones, el código de cadena se comprime, eliminando los códigos repetidos secuencialmente, creando una identidad singular para la forma. Por ejemplo, a partir del código de cadena de la Fig. 7 tenemos:
[11111111111111111111111000000000000030003333333333333322222222222222222222222222222222222222222222], se genera el código de cadena comprimido [1,0,3,0,3,2]. Algunas distorsiones en la forma causadas por diferentes factores pueden modificar la identidad de forma general mostrada por el Código de cadena, donde se pueden encontrar segmentos aislados menores entre macro secuencias de códigos repetidos. Después de la extracción del Código de Cadena comprimido, se compara con el Código de Cadena comprimido de los dos polígonos esperados, el tetrágono, [1, 0, 3, 2] y el hexágono cóncavo, [1, 0, 3, 2, 3, 2], y si no es igual a ninguno de ellos, se aplica un ciclo de filtrado para suavizar el contorno.
La carta dinagráfica de fondo de pozo de la Fig. 7 es aproximadamente un tetrágono, pero su código de cadena comprimido es [1, 0, 3, 0, 3, 2], no refleja este polígono esperado para la condición de bombeo representada, por lo que se necesitan ciclos de filtrado. Para suavizar la forma, se aplica un filtro medio como en las ecuaciones 26 y 27.
(26)
(27)Después de la filtración, el algoritmo descrito aquí se repite hasta que el código de cadena comprimido coincida con uno de los polígonos esperados. Es importante comprender que, con suficientes ciclos de filtración, cualquier contorno cerrado puede aproximarse a un tetrágono por este método, pero las distorsiones en los puntos de la carta dinagráfica pueden ser enormes, y la identificación de la apertura y el cierre de la válvula puede perder precisión. Las hipótesis del hexágono cóncavo aumentan la precisión del método, ofreciendo una opción cóncava para colocar tarjetas con una concavidad en la descarga, lo que aumenta la precisión y minimiza la necesidad de ciclos de filtrado. Con la aproximación poligonal realizada, los puntos de apertura y cierre de la válvula se pueden identificar en sus esquinas. Una descomposición poligonal se ejecuta simplemente identificando los lados del polígono como los grupos de códigos idénticos, y las esquinas del polígono son los primeros puntos en estos grupos.
Al final de este algoritmo, los cuatro vértices se determinan y se pueden usar sobre la carta dinagráfica de fondo original, lo que permite un análisis más profundo sobre la ubicación de los puntos y segmentos de la carta. El algoritmo tiene más o menos ciclos de filtrado en su proceso, dependiendo de la forma de la carta dinagráfica, y estos ciclos de filtrado pueden causar algunas distorsiones en el comportamiento de los puntos de la carta dinagráfica, pero da como resultado una aproximación precisa de los puntos de apertura y cierre de la válvula.
4 Resultados
En esta sección se muestra una posible implementación del sensor virtual, para la inferencia de algunos componentes de un pozo por Balancín, así como los resultados de las pruebas realizadas para la validación del mismo, usando datos de mediciones provenientes de un pozo de un campo petrolero proveniente de la industria petrolera venezolana. El sensor virtual implementa una técnica basada en métodos numéricos para predecir el valor de las variables, partiendo desde diferentes escenarios operaciones (valores de medición de los diferentes instrumentos en la cadena de producción del pozo), realizando análisis nodal y cálculo numérico.
Para la validación del sistema de Modelado se emplearon datos históricos del comportamiento de un pozo; estos datos utilizados se muestran en la tabla 1.


Ingresando los datos de la tabla 1 en el SvMD desarrollado, se logran obtener las gráficas de las figuras 8 y 9 que representan la carta dinagráfica de referencia del pozo en estudio (ver Fig. 8 y Fig.9), distinguiéndose en la parte inferior del gráfico la carta de fondo y en la parte superior se detalla la gráfica de la carta de superficie. Al comparar las figuras 8 y 9, se observa la similitud entre ambas, probando de esta manera que el SvMD genera una aproximación sobre la carta dinagráficas de fondo.


Para la validación de la fase de detección de fallas basado en patrones operacionales, se obtuvo la identificación de los puntos de apertura y cierre de las válvulas sobre las cartas dinagráficas (ver Fig. 11 y Fig. 13). Lo que demuestra la viabilidad del enfoque utilizado y la precisión de la clasificación obteniendo a su vez la aproximación poligonal adecuada de acuerdo a los polígonos predefinidos; Tetrágono y hexágono Cóncavo (ver Fig. 10 y Fig. 12) lo que demuestra la ventaja del método utilizado.




Haciendo un análisis en las figuras 11 y 13 (ver Fig. 11 y Fig. 13) de la carta dinagráfica de fondo original se puede deducir los puntos de apertura y cierre de las válvulas fijas y viajeras presentes en la bomba de subsuelo siendo:
Cierre de la válvula viajera
Apertura de la válvula fija
Cierre de la válvula fija
Apertura de la válvula viajera
Las variables inferidas de fondo y superficie, corresponden a ciertos componentes del método de levantamiento artificial pozos por Balancín. Así, faltaría el modelado de los componentes Bombas multifásicas (transferencia de energía mecánica para el desplazamiento de fluido a la superficie) e Inyección de químicos y vapor (permite cambiar la viscosidad del crudo en superficie), para futuros trabajos, y de esta manera disponer de una herramienta computacional que permita modelar todos los componentes de una macolla de producción.
Es importante resaltar que, de las variables inferidas, sobre todo las de fondo, se toman mediciones esporádicamente debido a los altos costos tecnológicos, y pocospozos disponen de la instrumentación necesaria para dicha medición. Por otro lado, el sensor virtual determina los puntos de apertura y cierre de las válvulas, lo cual permite identificar escenarios operacionales a nivel de la bomba de subsuelo, permitiendo al operador de campo desde la sala de control validar el estado operacional del pozo.
5 Conclusiones
El uso de sistemas virtuales para la estimación de variables resulto ser de gran interés por el bajo costo requerido para su elaboración, por la disposición actual de sistemas de adquisición de datos y bases de datos histórica, que aportan los datos requeridos para el diseño de estos sistemas de levantamiento.
La arquitectura del sensor virtual es genérica y flexible, ya que combina las leyes de conservación (modelado físico) y la simulación de procesos dinámicos, basados en métodos numéricos (condiciones iniciales). Así su importancia está en la de modelar y diagnosticar el pozo en tiempo real, a través de la estimación y diagnóstico de la carta dinagráfica de fondo, posibilitando la toma de decisiones sobre la producción del pozo y su estado operacional. Así, para el uso del sensor virtual en otro arreglo de pozo cuya producción dependa del método balancín, se recomienda caracterizar el SvMD con condiciones de operación propias del pozo, y entrenarlo hasta obtener resultados confiables.
Para futuros trabajos se propone integrarle técnicas basada en inteligencia artificial (Leal y col.,2014), específicamente para modelar las bombas multifásicas a nivel del cabezal, debido a la disponibilidad de datos.
Referencias
Edgar Camargo, Jose Aguilar, EgnerAceros, 2016,Implementationof a virtual sensor to process oOil,Journal of computational mechanics,Vol 14, N01, ISSN 0718-171X, Chile. October
LealR, CamargoE, Aguilar J, 2014,Analysisof Diagnosa-bility for GasLift Wells,XII Congreso Internacional de Métodos Numéricos en Ingeniería y Ciencias Aplicadas. ISBN: 978-980-7161-04-. Pp EC-91-EC96. Isla Marga-rita, Venezuela.
Edgar Camargo, José Aguilar, Egner Aceros,2015,Intelligent Well Systems, Asia-Pacific Conference on Computer Aided System Engineering 978-1-4799-7588-4/15 © 2015 IEEE DOI 10.1109/APCASE.2015.10 IEEE Computer Society.
ChenZ, WhiteL, ZhangH, 2018 Predicting Sucker-Rod Pumping SystemsWith Fourier Series. SPE-189991-PA. Society of Petroleum Engineers, 2018.SPE Production & Operations Volume 33 Issue 04.
GaldirD,RegesJr,SchnitmanL, ReisR, MotaMA,2015,New Approach To Diagnosis of Sucker Rod Pump Systems by Analyzing Segments of Downhole Dynamometer Cards. Society of Petroleum Engineers SPE-173964-MS..
Gibbs SG,1963,Predictingthe Behavior of Sucker-Rod Pumping Systems. J. Pet Tech 15 (7): 769-778; Trans., AIME, 228. SPE-588-PA. doi: 10.2118/588-PA.
Han G, TanC, LiJ, ZhangH., LingK,2016, Determina-tion of Oil Well Production Rate by Analysis of the Real-Time Dynamometer Card. SPE-181534-MS. SPE An-nual Technical Conference and Exhibition, pp 26-28
Hua L, XunmingL, 2011, Accurate extraction of valve opening and closing points based on the physical meaning of surface dynamometer card. Petroleum Exploration and Development, 38(1), pp 109–115.
HsiungJ, PutchaVB, 2018, DetectingFailures and Opti-mizing Performance in Artificial Lift Using Machine Learn-ing Models. SPE-190090-MS. Society of Petroleum Engi-neers. SPE Western Regional Meeting, pp22-26.
Li K, Gao XW, YangWB, Tian ZD,2013, Multiple fault diagnosis of down-hole conditions of sucker-rod pumping wells based on Freeman chain code and DCA", Petroleum Science, Vol. 10, no. 3, pp 347-360.
Notas de autor