
Resumen: La evolución de la temperatura de transición vítrea (Tg), en función de los cambios micro-estructurales (composicionales y de tacticidad) observados en poli(cloruro de vinilo) (PVC) después de haber sido sometido a reacciones de hidrogenación y cloración fue analizada. Las medidas de la Tg se realizaron mediante calorimetría diferencial de barrido (CDB), con el objeto de relacionar los valores de la misma con el grado de hidrogenación y de cloración y por consiguiente con los respectivos tipos de microestructura (tacticidad y composicional). En el caso de las muestras hidrogenadas, los resultados muestran que el efecto de la microestructura composicional (incremento de la movilidad local, por efecto de la introducción en el polímero modificado de átomos de H, de menor polaridad y de menor volumen que el Cl, dando lugar a disminución de Tg) prevalece frente al efecto de la microestructura-tacticidad (rigidización local de la cadena y mayor posibilidad de interacción inter-cadena produciendo un aumento de Tg). Por otra parte, en el caso de la evolución de la Tg con el grado de cloración, se ha podido demostrar que el factor que más influencia tiene sobre la Tg de las mismas, es el de la microestructura composicional (aumento de la rigidez de la cadena al incrementarse el número de dipolos por efecto de la sustitución de átomos de hidrógeno por átomos de cloro de mayor volumen y mayor polaridad) y en este caso el efecto de la microestructura-tacticidad queda solapada.
Palabras clave: Transición vítrea (Tg), microestructura composicional, tacticidad, PVC hidrogenado, PVC clorado (PVCC).
Abstract: The evolution of the glass transition temperature (Tg), as a function of the microstructural changes (compositional and tacticity) observed in polyvinyl chloride (PVC) after being subjected to hydrogenation and chlorination, was analyzed. The measurements of the Tg were made by differential scanning calorimetry (DSC), in order to relate the values of the same with the degree of hydrogenation and chlorination and therefore with the respective types of microstructure (tacticity and composition). In the case of the hydrogenated samples, the results show that the effect of the compositional microstructure (increase of the local mobility, due to the introduction of H atoms in the modified polymer, of less polarity and smaller volume than the Cl, resulting in a decrease of Tg) prevails over the effect of microstructure-tacticity (local stiffening of the chain and greater possibility of interchain interaction producing an increase in Tg). On the other hand, in the case of the evolution of the Tg with the degree of chlorination, it has been possible to demonstrate that the factor that has more influence on the Tg of them, is that of the compositional microstructure (increase of the rigidity of the chain as the number of dipoles increases due to the substitution of hydrogen atoms by chlorine atoms of greater volume and greater polarity) and in this case the effect of the microstructure-tacticity is overlapping.
Keywords: Glass transition (Tg), compositional microstructure, tacticity, hydrogenated PVC, chlorinated PVC (PVCC).
1 Introducción
A temperaturas suficientemente bajas, todos los polímeros amorfos son rígidos y quebradizos, semejantes a un vidrio. Al calentar, éstos se ablandan y se transforman en materiales gomosos. La temperatura a la cual aparecen dichos cambios se conoce con el nombre de temperatura de transición vítrea (Tg) (Myasnikova 2010). Este tipo de transición está acompañada por marcados cambios en el volumen específico, la capacidad calorífica, el índice de refracción, y las propiedades dieléctricas y mecánicas de los materiales polímeros, lo cual facilita su detección mediante el uso de diferentes técnicas experimentales que se relacionan directamente con cualquiera de estas propiedades (Myasnikova 2010, Bicerano 2006).
La Tg puede interpretarse como la temperatura a partir de la cual dan comienzo los movimientos cooperativos de los segmentos de la cadena polimérica (Bicerano 2006). Sin duda, estos últimos están condicionados, básicamente, por la estructura química del material analizado. En este sentido, es conocido que existen factores que tienden a aumentar la Tg, como por ejemplo, las fuerzas intermoleculares evaluadas por la densidad de energía cohesiva; impedimentos estéricos en la cadena (interacciones intramoleculares) y grupos laterales rígidos (Bicerano 2006). De manera general, se puede indicar que aquellos factores que aumentan la energía requerida para que den comienzo los movimientos de la cadena, aumentan la Tg. Por el contrario, la existencia de grupos en la cadena que producen flexibilidad, tales como dobles enlaces; uniones éter; grupos laterales flexibles; sustitución simétrica, son factores que tienden a disminuir la Tg (Coreño-Alonso y col., 2010).
No existe ninguna duda de que estos últimos son a su vez dependientes de la estructura molecular; sin embargo, los únicos factores estudiados, que de algún modo tienen cabida en un concepto amplio de estructura molecular, han sido la masa molar y la tacticidad (Boyer 1974, Stadnicki 1976, Boyer 1977). En efecto, la influencia de la masa molar en la Tg ha sido extensamente estudiada en diferentes polímeros: poli(α-metil estireno) (Cowie y col., 1968), polipropileno (Ke 1963), poliestireno (Fox y col., 1954), oligómeros y polímeros amorfos (Cown 1975). Para un polímero dado, la Tg aumenta con la masa molar y de forma general, la representación ofrece tres regiones bien diferenciadas: la primera que corresponde a muestras del polímero de tamaño oligomérico donde la dependencia de la longitud de la cadena es muy fuerte; la segunda en la que la dependencia es menor pero todavía suficientemente clara y finalmente donde se alcanza un valor asintótico,, que corresponde a la Tg de muestras de masa molar infinita (Cown 1975, Stadnicki y col., 1976, Boyer 1977).
Respecto al PVC, Pezzin y col. (1970) analizaron la influencia de la masa molar con fracciones comprendidas entre 500-10+5 Dalton. Hasta valores de 3000 Dalton encontraron una fortísima influencia sobre la Tg y entre este valor y 10000 Dalton, obtienen la segunda región comentada anteriormente. A partir de este último valor la Tg es prácticamente constante.
A diferencia de la masa molar, se encuentran bastante menos referencias donde las investigaciones van encaminadas al estudio de la influencia de la arquitectura molecular, particularmente la tacticidad, sobre los movimientos que originan la Tg en los materiales polímeros. En este sentido cabe mencionar una serie de trabajos llevados a cabo con el poli(metacrilato de metilo) (PMMA) (Bywater y col., 1972, Reilly y col., 1982, Biros y col., 1982, Gourari y col., 1985, Denny y col., 1986), en los que se estudió la posible influencia de la tacticidad sobre la Tg. Los iso-PMMA y sindio-PMMA tienen valores de Tg de 38º y 105 ºC respectivamente, con una variación monotónica de la Tg para valores de tacticidad intermedia (Bywater y col., 1972). Biros y col. (1982) describen satisfactoriamente la dependencia Tg-tacticidad del PMMA usando ecuaciones fenomenológicas basadas en las diferentes secuencias tácticas; sin embargo, para la interpretación del fenómeno no pueden escoger entre la teoría del volumen libre (Fox y Flory, 1954) o la teoría termodinámica (Gibbs y col., 1958).
Un intento de generalización sobre la influencia de la tacticidad en la Tg fue propuesto por Karasz y Macknight (Karasz y col., 1968, Dever y col., 1975 a, 1975b) quienes observan que la Tg de polímeros de adición de tipo disustituidos (-[CH2-CXY]-) tales como el PMMA y los poli(α-metil estireno) son sensibles a la tacticidad. Las diferencias fueron interpretadas indicando que el efecto de la configuración es intramolecular y se produce por cambios en la flexibilidad de los isómeros (Gibbs y col., 1958, Soldera 1998). Por esta razón la Tg del PMMA isotáctico es 67 ºC menor que la del PMMA sindiotáctico, como se ha mencionado anteriormente.
Por el contrario, en el caso de polímeros vinílicos monosustituidos del tipo -[CH2CHX]- como el poli(acrilato de metilo) o poliestireno, la tacticidad aparentemente no afecta a la Tg, debido al hecho de que las diferencias de energía entre los dos isómeros rotacionales es aproximadamente la misma. No obstante, los casos del PVC (Pezzin 1969) y del caso del poli(t-butilacrilato)(P-tBA) (Liu y col., 2000) podrían ser excepciones, ya que muestras de distinta tacticidad, tienen la Tg y otras propiedades físicas muy diferentes. Por una parte, Reding y col. (1962) y Liu y col. (2000), sintetizaron respectivamente, muestras de PVC y P-tBA con diferente contenido de sindiotacticidad y observaron que la Tg aumenta al incrementarse la proporción de unidades sindiotácticas.
Como se ha podido apreciar claramente, los trabajos hasta ahora mencionados, están lejos de poder dar una explicación satisfactoria de la dinámica que controla, a nivel molecular, la Tg. Es importante señalar que la mayoría de las citas bibliográficas recogidas, por ejemplo respecto a la influencia de la tacticidad, corresponden a alrededor de los años 70, no habiéndose apenas profundizado en los años siguientes. Con este fin, Millán y col. (1988) encontraron que la Tg disminuía con el contenido de triadas isotácticas, aunque no se pudo correlacionar dicho comportamiento con algún tipo específico de secuencias isotáctica. Posteriormente, y después de haber establecido de forma global el mecanismo de sustitución nucleofílica del PVC tanto en disolución como en fundido y de poder obtener polímeros-modelo con microestructura controlada (Guarrotxena y col., 1997, 1998, 2000), se ha podido correlacionar la participación de la estructura mr en la secuencia rrmr, que corresponde al ataque de una triada heterotáctica al final de una secuencia sindiotáctica, con la variación de la Tg. El resultado es que cuanto mayor es la participación de la estructura rrmr menor es la Tg del polímero modificado (Guarrotxena y col., 1998, 2000).
De esta manera, mediante la sustitución estereoespecífica en el PVC, con sustituyentes de diferente volumen molar y capacidad de interacción inter-cadena en comparación con el átomo de cloro sustituido, se ha demostrado: 1) que la Tg del PVC cambia a valores superiores o inferiores según las características mencionadas del sustituyente, corroborando lo ya conocido en la literatura, a saber, la influencia de la composición química del polímero en dicha propiedad; y 2) que independientemente del efecto anterior, la Tg del polímero depende de manera general y constante de la microestructura derivada de la tacticidad, como consecuencia del papel determinante de las estructuras mmr y rrmr terminales de secuencias isotácticas y sindiotácticas en el volumen libre, la movilidad y la formación de secuencias de enlaces de hidrógeno (interacciones secuenciales).
Estas correlaciones se han conseguido mediante los cambios controlados en la configuración y conformación locales de dichas estructuras inherentes a las reacciones de sustitución estereoselectiva.
En este trabajo se pretende aportar nuevos resultados que permitan profundizar en el conocimiento de los mecanismos a nivel molecular de los procesos involucrados en la Tg. Por una parte, en base al grado de estereoespecificidad observado en las reacciones de hidrogenación donde además se produce una transición estructural de unidades vinílicas (V) del PVC a unidades etilénicas (E) en los polímeros PVC hidrogenados (Contreras y col., 2001). Sabiendo que este cambio conduce necesariamente a una disminución de la Tg (el átomo de hidrógeno que reemplaza al cloro es de mucho menor volumen, y apolar, influyendo por lo tanto en la capacidad de rotación local de cadena y en las posibilidades de formación de secuencias de puentes de hidrógeno) la hidrogenación ofrece una oportunidad para la ratificación de los resultados previamente reseñados sobre correlación entre microestructura derivada de la tacticidad y la Tg (Guarrotxena y col., 1997, 1998, 2000).
Por otra parte, en el caso de la reacción de cloración, es necesario mencionar que a diferencia de lo que ocurre con las reacciones de SN2 (incluida la hidrogenación) no se produce la sustitución de un átomo de cloro por otro grupo, sino que el proceso de cloración da lugar a la incorporación de nuevos átomos de cloro en la cadena, haciendo que el polímero transformado contenga tres tipos de unidades monoméricas completamente diferentes entre sí: -CHClCH2-; -CHClCHCl- y -CHClCCl2- (Martínez y col., 2003). Estas dos últimas estructuras provocan un aumento de interacciones dipolo-dipolo, una disminución de secuencias de puentes de hidrógeno HCl y un aumento de la rigidez de la cadena. Estas circunstancias nos permitirán, así mismo, profundizar en la influencia de la microestructura composicional sobre las propiedades físicas, y particularmente sobre la Tg.
2 Parte Experimental
Reactivos y materiales
La muestra de PVC utilizada fue obtenida en polimerización en masa a 70 °C; donde el proceso de polimerización se detuvo en una conversión del 62%. Los diferentes reactivos usados como agentes de hidrogenación del PVC, fueron: tetrahidruro de aluminio y litio, (H4LiAl, Merck, 95 %) (HLi), hidruro de trietil-boro y litio, (Li(C2H5)3BH, Aldrich, 95 %) (SH) e hidruro de tri-n-butil estaño, ((C4H9)3HSn, Aldrich, 98 %) (HSn); y los mismos fueron utilizados sin purificación previa. 2,2´-azobisobutironitrilo (AIBN, Fluka, 95 %) fue recristalizado dos veces en methanol y secado al vacío a 40 °C. Los disolventes usados: ciclohexanona (Ferosa, 95 %), o-diclorobenceno (Merck, 99 %), hexametilenfosfotriamida (HMPT, Fluka, 97 %), tetracloruro de carbono (Quimicen, 95 %), tetrahidrofurano (Ferosa, 95 %); fueron purificados mediante métodos convencionales (Furniss, Hannaford, Smith & Tatchel, 1989). El cloro (g) (AGA, grado UAP) se purificó haciéndole pasar, en primer lugar, a través de agua destilada con la finalidad de eliminar el cloruro de hidrógeno, y seguidamente, por ácido sulfúrico concentrado a fin de retener el agua que se hubiera absorbido en el paso anterior.
Reacciones de hidrogenación y cloración
La reacción de hidrogenación del PVC, se llevó a cabo en solución de THF a 40 °C en una atmósfera de nitrógeno purificado, usando como agentes reductores: HLi, SH y HSn (Contreras y col., 2001). Para la reacción de cloración, el PVC fue disuelto en una mezcla de CCl4 y o-diclorobenceno a la temperatura de 70 °C y posteriormente a la solución se le burbujeó Cl2 (g) en presencia de 2,2´- Azobisisobutironitrilo (Martínez y col., 2003).
La evolución de la microestructura composición y de la tacticidad en función de la conversión, fue analizada mediante espectroscopia RMN de 1H y 13C (Contreras y col., 2001, Martínez y col., 2003).
3 Resultados
Polímeros hidrogenados Polímeros hidrogenados
Los termogramas CDB del PVC original y de algunas de las muestras de PVC hidrogenadas con HLi, se reproducen, a manera de ejemplo, en la Figura 1. En ella se puede apreciar, cómo la transición se desplaza hacia menores temperaturas al incrementarse el contenido molar de unidades etilénicas.

Estudio de la transición vítrea (Tg) de los polímeros modificados
El estudio de la Tg de las muestras de PVC modificadas y sin modificar, se llevó a cabo mediante la técnica de CDB. Las medidas se efectuaron mediante un calorímetro Perkin-Elmer DSC-7, previamente calibrado usando indio como patrón del cual se conocen la temperatura y la entalpía de fusión (Tm= 156,6 ºC; ΔH= 28,45 Jg-1). Estos datos se usaron en el software de calibración TAS7, el cual calibra de manera automática el equipo. Se utilizaron muestras de polímero en polvo (10-15 mg), que se encapsularon en porta-muestras de aluminio sellados. Las medidas se realizaron bajo flujo de nitrógeno a una velocidad de calentamiento de 10 ºC/min en el intervalo de temperaturas comprendido entre 40º y 230 ºC para los polímeros clorados y, entre 35º y 130 ºC para las muestras hidrogenadas. La determinación de cada Tg se llevó a cabo a partir de la curva obtenida en un segundo ciclo de calentamiento, tomando como Tg la temperatura del punto medio (½ΔCp) del intervalo que queda limitado por las tangentes antes y después de los cambios de capacidad calorífica con la temperatura, es decir durante la transición.
En la Figura 2se muestra la evolución de la Tg con la conversión de la reacción de hidrogenación, para los tres hidruros utilizados. Se puede observar, una disminución de la Tg con el aumento del contenido de unidades etilénicas para las tres series de muestras; siendo más acentuada para las muestras hidrogenadas con HLi. Por otra parte, es importante resaltar que la disminución de la Tg es lineal hasta una conversión del 6-9 %, y a partir de este valor de conversión la Tg cae más drásticamente.

Polímeros clorados
En la Figura 3, se presentan los termogramas CDB del PVC sin clorar y de algunas de las muestras de PVCC. En este caso, se observa que la transición se va desplazando hacia mayor temperatura con el aumento del grado de cloración.

La evolución de la Tg con el grado de cloración, se representa en la Figura 4. De la observación detallada de dicha figura, se aprecia que la Tg aumenta de manera lineal, hasta un valor de grado de cloración comprendido entre el 40-50 mol-%; y a partir de este valor continúa aumentando con el grado de cloración pero con una pendiente ligeramente menor.

4 Discusión
Polímeros hidrogenados
En la Figura 2 se representa la evolución de la Tg con la conversión para cada uno de los agentes hidrogenantes utilizados. Lo primero que se observa en dicha figura, es que la reacción de hidrogenación del PVC conduce a una disminución de la Tg desde el inicio de la misma, lo cual era de esperar dado que la reacción lleva consigo la sustitución de átomos de cloro por átomos de hidrógeno, de menor polaridad y volumen mucho menor, lo que da lugar a una mayor movilidad de la cadena. Esta disminución es lineal hasta una conversión que oscila entre el 5-9 % dependiendo del agente reductor, y a partir de esta conversión la Tg decrece más drásticamente. Este último hecho podría explicarse en base a los resultados obtenidos en el estudio de la reacción de hidrogenación del PVC (Contreras y col., 2001), referentes a la distribución de secuencias E y V (diadas y triadas), en los que a partir del 6-9 % de conversión se observaban la formación de diadas EE y triadas EEE, lo que evidentemente implica la aparición de secuencias de cinco y siete grupos -CH2- respectivamente trayendo como consecuencia una movilidad aún mayor y por tanto una mayor disminución de la Tg. Hay que advertir sin embargo, que los resultados de la Figura 2 no pueden explicarse solamente con estos cambios de microestructura composicional. El hecho de que el cambio de pendiente tenga lugar precisamente cuando se produce una variación importante en la microestructura derivada de la tacticidad (Contreras y col., 2001) hace pensar en el papel decisivo de ésta en el comportamiento del polímero en la transición vítrea.
Continuando con el análisis de la Figura 2, se puede apreciar que existe una clara diferencia entre la variación de la Tg para el HLi y la correspondiente al SH y HSn, siguiendo estos últimos un comportamiento similar. De forma más individualizada, se observa que para el HLi existen dos rectas, la primera con una pendiente menor (hasta un 4-5 %) indica que la Tg disminuye más lentamente y en la segunda la pendiente es más acusada. Con los otros dos hidruros, al principio la Tg disminuye lentamente al aumentar la conversión de la hidrogenación y a continuación (hacia el 8 %) esta disminución se produce más intensamente. En todo el proceso el comportamiento no es tan lineal como en el caso del HLi lo que concuerda con el hecho de que la estereoselectividad de la hidrogenación es menor que en el caso del HLi (Contreras y col., 2001).
Por lo tanto, la principal peculiaridad que se desprende de esta representación, es que en el HLi el cambio de comportamiento está definido por dos rectas lo que indica una separación clara de procesos, mientras que para el SH y HSn después de un período de disminución continua inicial, la evolución de la Tg queda definida por una curva lo que sugiere el acontecimiento concomitante de dos procesos en proporciones variables con el grado de hidrogenación en cada reactivo. Este resultado establece una perfecta correspondencia, con la evolución microestructural de las muestras hidrogenadas (Contreras y col., 2001).
or otra parte, ya se ha indicado que las diferencias observadas, no pueden atribuirse exclusivamente a la incorporación de unidades etilénicas en la cadena del polímero modificado, puesto que esto daría lugar a un comportamiento similar para los tres hidruros. Por tanto, es necesario considerar el efecto de la microestructura-tacticidad.
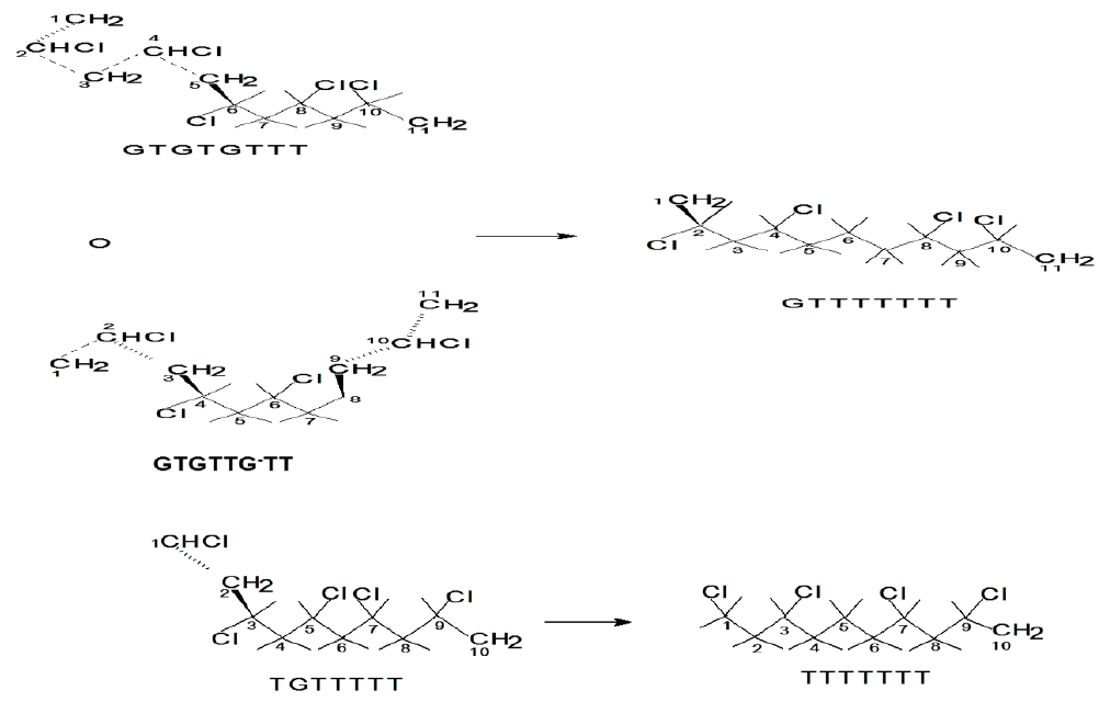
En primer lugar, del mismo modo que con la sustitución nucleofílica, los resultados hasta ahora comentados, también sugieren la implicación de las estructuras rmrr y mmr en el proceso que da lugar a la transición vítrea del PVC. Sin embargo, a fin de aclarar el fenómeno físico a nivel molecular (variación en la rigidez local de la cadena o en las interacciones intermoleculares), responsable de la disminución de la Tg, es necesario analizar, con la ayuda de modelos atómicos, los cambios conformacionales derivados de la hidrogenación sobre el átomo de cloro central de las pentadas mmmr y rmrr que se indican en la Figura 5. En ella se incluyen, las conformaciones más probables y estables resultantes de la hidrogenación en ambas pentadas.

De esta figura, se desprende que:
El ataque a la pentada mmmr bajo sus dos conformaciones posibles: la GTGTTG-TT y la GTGTGTTT, trae como resultado una extensión local de la cadena con la formación de la conformación GTTTTTTT y con una secuencia de tres grupos -CH2- (carbonos 5, 6 y 7). Este proceso predomina durante la primera etapa de la reacción y preferentemente con el HLi, es el que posee un mayor grado de estereoselectividad en la reacción de hidrogenación (Contreras y col., 2001). Como consecuencia de estos cambios, la cadena ve incrementada la secuencia TT. En principio, este hecho debería suponer una mayor rigidez local y una mayor posibilidad de interacciones inter-cadenas con el correspondiente aumento de la Tg. Este efecto es concomitante con un aumento de movilidad local, debido a la formación del nuevo grupo -CH2-, lo que implica una mayor facilidad de rotación y por tanto una disminución en la Tg. Por lo tanto, se producen dos cambios: la desaparición de una pentada mmmr con el consiguiente aumento en rigidez local de cadena (efecto de la microestructura-tacticidad) y la aparición de un punto en la cadena de fácil rotación de los enlaces (efecto de la microestructura composicional). Ambos efectos sobre la Tg son a priori contradictorios.
Al igual que en toda sustitución nucleófilica (Guarrotxena y col., 1996a, 1996b), una vez desaparecidas las estructuras más reactivas (primera etapa), en la reacción participan las estructuras menos reactivas (segunda etapa), es decir la pentada rmrr. En la Figura 5 (parte b) se aprecia que el ataque a esta estructura bajo la conformación TGTTTTT da lugar a una cadena todo-trans (TTTTTTT) que contiene igualmente una secuencia de tres grupos -CH2- (carbonos 4, 5 y 6). Esta circunstancia distingue el efecto de hidrogenación del que tenía lugar en sustitución nucleófilica donde lo fundamental era el acortamiento de una secuencia sindiotática, la aparición de conformaciones gauche y la menor probabilidad de formación de secuencias de puentes de hidrógeno (Guarrotxena y col., 1997, 1998, 2000). En el caso de la hidrogenación se producen nuevamente los dos efectos derivados de la evolución de la microestructura-tacticidad y de la microestructura composicional con sus influencias en el valor de la Tg de tipo contrario (aumento y disminución respectivamente).
De estas consideraciones se desprende que la resultante de estos efectos en Tg es el compromiso entre los procesos indicados, relacionados con cada tipo de microestructura molecular, o más propiamente la proporción relativa en que se producen ambos procesos en cada reactivo. A la luz de los resultados obtenidos del estudio de la reacción de hidrogenación (Contreras y col., 2001), es previsible que la disminución de Tg inherente a la formación de tres grupos -CH2-, esté mediatizada por el efecto contrario derivado de la desaparición de estructuras mmr adyacentes a secuencias isotácticas (Guarrotxena y col., 1997, 1998, 2000) y por el hecho de que la hidrogenación por estructuras rrmr adyacentes a secuencias sindiotácticas no conlleva disminución adicional de Tg por acortamiento de estas últimas secuencias como ocurría en sustitución nucleófilica. El hecho de que este último proceso sea más favorable en SH y HSn (por su menor carácter estereoespecífico) que en HLi (Contreras y col., 2001) explica las diferencias encontradas en la Figura 2 para los distintos agentes. Más aún, la mayor discriminación entre ambos procesos, se corresponde con el carácter más lineal de la variación de Tg en el caso del HLi.
Polímeros Clorados
La Figura 4 representa la evolución de la Tg con el grado de cloración y como se observa el aumento de la misma es progresivo, detectándose una ligera disminución de la pendiente a partir del 40-50 mol-% de grado de cloración. Es evidente que dicha representación sugiere que el factor más influyente en el incremento de la Tg es la incorporación de nuevos cloros en la cadena polimérica o, lo que es lo mismo, la variación de la microestructura composicional. Este incremento, tiene su explicación en que a diferencia de la reacción de hidrogenación, en la cloración del PVC es el átomo de hidrógeno el que es sustituido por átomos de cloro (mayor volumen y mayor polaridad), lo que trae consigo un aumento de la densidad y al mismo tiempo, las cadenas del PVCC se hacen más rígidas como consecuencia de un aumento del número de dipolos dando lugar a una mayor posibilidad de la formación de interacciones intercadena (HCl); por lo que la Tg debería aumentar con el grado de cloración y que es lo que sucede experimentalmente. La posible influencia de la microestructura (tacticidad) queda en este caso solapada, ante la preponderancia de la microestructura composicional. De hecho, ya quedaba patente, al estudiar la evolución de este aspecto microestructural (tacticidad), que la reacción de cloración penas ofrecía un carácter estereoselectivo, siendo su mecanismo de tipo radical y en consecuencia mayoritariamente al azar (Martínez y col., 2003).
Estos resultados globalmente considerados, son cualitativamente conocidos. Sin embargo, el conocimiento de la dependencia prácticamente lineal de la Tg con el grado de cloración es mucho más reciente. A pesar de esta similitud con los datos de la bibliografía (Oswald y col., 1963, Redish 1966), en los resultados obtenidos en este trabajo se aprecia una peculiaridad. Se trata de una variación a menor pendiente (Figura 5) a partir del 40 y 50 mol-% de grado de cloración. Sin duda, y según venimos argumentando sobre la influencia de la microestructura en la Tg, es de esperar que el cambio de comportamiento se debe a algún hecho relacionado con la variación de la microestructura composicional. Teniendo en cuenta que las investigaciones llevadas a cabo desde los primeros tiempos de existencia del PVCC, indican que las diferencias en las propiedades, están asociadas al modo en que los átomos de cloro sustituidos están distribuidos dentro de la cadena del polímero , y siendo esa distribución función del método de preparación (diferente accesibilidad del cloro a la cadena polimérica), se pueden plantear las siguientes cuestiones: i) el aumento de la Tg con el grado de cloración es indiscutible, siendo conocido que para grados de cloración total se obtiene un valor de Tg de 175 ºC (Titow, 1984), equivalente a la que correspondería al homopolímero polidicloroetileno (extremo difícil de contrastar por la imposibilidad de polimerización directa del monómero (Brighton, 1962) ); y ii) el valor de Tg del policloruro de vinilideno varía entre 20-31 ºC (Heidingsfeld y col., 1971,Bandrup y col., 1989) valor muy inferior al específico del PVC.
De acuerdo con estas consideraciones, cabe proponer que en el proceso de cloración, la reacción tiene lugar en los grupos metilénicos de la cadena del polímero, dando lugar de forma preferente a unidades 1,2-dicloradas (-CHClCHCl-) consiguiéndose una estructura de cadena similar a la de un copolímero cloruro de vinilo-1,2 dicloroetileno. En este período de cloración la Tg aumenta progresivamente. Cuando se alcanza un valor próximo al 65 % de cloro que corresponde a un 40 mol-% en el grado de cloración (segunda etapa de la curva cinética) se produce una mayor formación de grupos -CCl2- con la consiguiente aparición de unidades -CHClCCl2- (Martínez y col., 2003) en las que la posibilidad de interaciones dipolo-dipolo es más bajo que con -CHClCHCl-, dado que en las primeras de las unidades mencionadas existen dos átomos polares enlazados al mismo carbono, compensándose parcialmente su polaridad. Por otra parte, la ausencia de secuencias de estas unidades monoméricas y su forma estérica dificultan sensiblemente la formación de puentes de hidrógeno sucesivos a lo largo de la cadena. A partir de este punto diferenciado, la menor capacidad de formación de dipolos en la cadena daría como resultado un efecto compensatorio en el incremento de la Tg obteniéndose una pendiente menor, que es lo que ocurre experimentalmente. Más aún, este cambio de pendiente concuerda con el hecho observado cuando se representa la evolución de la relación de unidades monoméricas -CHClCCl2-/-CHClCHCl- en función del grado de cloración (Contreras y col., 2019), y, en la que también se observa un cambio drástico de pendiente a estos mismos valores de conversión (Martínez y col., 2003). Esto evidentemente implica, una correlación directa entre la microestructura composicional del PVCC y la Tg.
5 Conclusiones
Los resultados obtenidos demuestran la importancia de la microestructura molecular (tacticidad y composicional) en la dinámica molecular responsable de la transición vítrea. En este sentido, el análisis de la evolución de la Tg en las muestras de PVC hidrogenadas, indica que la microestructura composicional (incremento de la movilidad local, por efecto de la introducción en el polímero modificado de átomos de H, de menor polaridad y de menor volumen que el Cl) es el factor más determinante en la disminución de la Tg, aun cuando existe una contribución de la microestructura (tacticidad) en sentido contrario, que hace que el valor de la Tg se incremente por facilitarse la interacción intercadena. El resultado final, de estas dos contribuciones, es la disminución progresiva de la Tg con la conversión.
Por otra parte, en el caso de la evolución de la Tg con el grado de cloración para las diferentes muestras de PVCC, se ha podido demostrar que el factor que más influencia tiene sobre la Tg de las mismas, es el de la microestructura composicional (aumento de la rigidez de la cadena al incrementarse el número de dipolos por efecto de la sustitución de átomos de hidrógeno por átomos de cloro de mayor volumen y mayor polaridad) y en este caso el efecto de la microestructura-tacticidad queda solapada.
Referencias
Bandrup J, Immergut EH, 1989, Polymer Handbook, 3ª Edition, John Wiley & Sons, New York-USA, pp. VI-222.
Bicerano J, 2006, Glass transition. In: Encyclopedia of polymer science and technology, Jhon Wiley & Sons, New York-USA, pp. 655-677.
Biros J, Larina T, Trekova J, Pounchly H, 1982, Dependence of the glass transition temperature of poly (methyl methacrylates) on their tacticity. Colloid and Polymer Science, Vol. 260, N° 1, pp. 27-30.
Boyer RF, 1974, Variation of Polymer Glass Temperatures with Molecular Weight. Macromolecules, Vol. 7, N° 1, pp. 142-143.
Boyer RF, 1977, Transitions and Relaxations. In: Encyclopedia of Polymer Science and technology, Suplemento 2, John Wiley & Sons Inc., New Yersey, pp. 745-839.
Bywater S, Toporowski PM, 1972, Effect of stereostructure on glass transition temperatures of poly(methyl methacrylate). Polymer, Vol. 13, N° 3, pp. 94-96.
Brighton CA, 1962, In: Advances in PVC Compounding and Processing, M. Kaufman Ed., Maclaren & Sons Ltd., London. Cap. 1.
Contreras JM, Martínez G, Millán J, 2001, Local chain configuration dependences of the mechanisms of chemical reactions of PVC. 8. New results from the reductive dechlorination reaction. Polymer, Vol. 42, N° 25, pp. 9867-9876.
Contreras JM, Martínez G, Millán J, 2019, Estudio de la degradación térmica del poli(cloruro de vinilo) modificado mediante reacciones de hidrogenación y cloración. Revista Bases de la Ciencia, Vol. 4, N° 1, pp. 1-18.
Coreño, Alonso J; Méndez-Bautista, MT, 2010, Relación estructura-propiedades de polímeros. Educación química, Vol. 21, N° 4, pp. 291-299.
Cowie JMG, Toporowski PM, 1968, The dependence of glass temperature on molecular weight for poly α-methyl styrene. European Polymer Journal, Vol. 4, N° 5, pp. 621-625.
Cown JMG, 1975, Some general features of relations Tg-M for oligomers and amorphous polymers. European Polymer Journal, Vol. 11, N° 4, pp. 297-399.
Denny LR, Boyer RF, Elias, HG, 1986, Dependence of Tg and Tll on tacticity of PMMA by scanning calorimetry. Journal of Macromolecular Science, Part B: Physics, Vol. 25, N° 3, pp. 227-265.
Dever GR, Karasz FE, Macknight WJ, Lenz RW, 1975, Poly(alkyl α‐chloroacrylates). V. Preparation and properties of methyl, ethyl, and isopropyl polymers of varied tacticity. Journal of Polymer Science: Polymer Chemistry Edition, Vol. 13, N° 9, pp. 2151-2179.
Dever GR, Karasz, FE, Macknight, WJ, Lenz, RW, 1975, Poly(alkyl α-chloroacrylates). VI. Transitions and Relaxations. Macromolecules, Vol. 8, Nº 4, pp. 439-443.
Fox TG, Flory PJ, 1954, The glass temperature and related properties of polystyrene. Influence of molecular weight. Journal of Polymer Science, Vol. 14, Nº 75, pp. 315-319.
Furniss BS, Hannaford AJ, Smith PW, Tatchel AR, 1989, Vogel´s: Textbook of practical organic chemistry, New York, USA, John Wiley & Sons, Inc.
Gibbs JH, Di Marzio EA, 1958, Nature of the Glass Transition and the Glassy State, The Journal of Chemical Physics, Vol. 28, Nº 3, pp. 373-383.
Gourari A, Bendaoud M, Lacabanne C, Boyer RF, 1985, Influence of tacticity on Tβ, Tg, and TLL in poly(methyl methacrylate)s by the method of thermally stimulated current (TSC), Journal of Polymer Science, Part B: Polymer Physics, Vol. 23, Nº 5, pp. 889-916.
Guarrotxena N, Martínez G, Millán J, 1996, Local chain configuration dependence of the mechanisms of analogous reactions of PVC. I. A conclusive study of the microstructure evolution in SN2 nucleophilic substitution, Journal of Polymer Science, Part A: Polymer Chemistry, Vol. 34, Nº 12, pp. 2387-2397.
Guarrotxena N, Martínez G, Millán J, 1996, Local chain configuration dependence of the mechanisms of analogous reactions of PVC. II. A further evidence through the changes in conformationally sensitive FTIR bands with degree of nucleophilic substitution, Journal of Polymer Science, Part A: Polymer Chemistry, Vol. 34, Nº 13, pp. 2563-2574.
Guarrotxena N, Martínez G, Millán J, 1997, On the relationship between tacticity dependent molecular microstructure and glass transition temperature of poly(vinylchloride): a novel approach through model polymers with controlled, chemically induced microstructure, Polymer, Vol. 38, Nº 8, pp. 1857-1864.
Guarrotxena N, Tiemblo P, Martínez G, Gómez-Elvira, JM, Millán J, 1998. Tacticity induced molecular microstructure dependence of physical properties of polymers: fundamentals and overview of some tentative correlations, European Polymer Journal, Vol. 34, Nº 5-6, pp. 833-839.
Guarrotxena N, Martínez G, Millán J, 2000, On the relationship between stereochemical microstructure and the glass transition temperature (Tg) of poly(vinyl chloride) (PVC): some conclusive evidence given by stereospecific modification with sodium 2-mercaptothiobenzoate, Polymer, Vo. 41, Nº 9, pp. 3331–3336.
Heidingsfeld V, Zelinger J, Kuska V, 1971, The secondary relaxation process of poly(vinyl chloride) and its derivatives, Journal of Applied Polymer Science, Vol. 15, Nº 10, pp. 2447-2452.
Karasz FE, Macknight, WJ, 1968, The Influence of Stereoregularity on the Glass Transition Temperatures of Vinyl Polymers, Macromolecules, Vol. 1, Nº 6, pp. 537-540.
Ke B, 1963, Differential thermal analysis of high polymers VII. Some low‐temperature transitions, Journal of Polymer Science, Part B: Polymer Letters, Vol. 1, Nº 4, pp. 167-170.
Liu W, Nakano T, Okamoto Y, 2000, Polymerization of t-butyl acrylate using organoaluminum complexes and correlation between main-chain tacticity and glass transition temperature of the obtained polymers, Polymer, Vol. 41, Nº 12, pp. 4467-4472.
Martínez G, Millán J, Contreras J, 2003, Local Chain-Configuration Dependence of the Mechanisms of the Chemical Reaction of Poly(vinyl chloride). IX. Novel Results on Stereoselectivity of Chlorination Reaction, Journal of Polymer Science: Polymer Chemistry Edition, Vol. 41, Nº 4, pp. 508-519.
Mijangos C, Martínez G, Millán J, 1988, Dependence of glass-transition temperature Tg on tacticity of poly(viny1 chloride). A preliminary study by differential scanning calorimetry, Macromolecular Chemistry and Physics, Vol. 189, Nº 3, pp. 567-572.
Myasnikova LP, 2010, Transitions and relaxations. In: Encyclopedia of Polymer Science and Technology, Jhon Wiley & Sons, New York-USA.
Oswald HJ, Kubu ET, 1963, Structure property relationships of chlorinated polyethylene, Polymer Engineering and Science, Vol. 3, Nº 3, pp. 168-175.
Pezzin G, 1969, Structure and properties of crystalline polyvinyl chloride. Plastic and Polymers, Vol.37, Nº 130, pp. 295–301.
Pezzin G, Zilio-Grandi F, San Martín P, 1970, The dependence of the glass transition temperature on molecular weight for polyvinylchloride, European Polymer Journal, Vol. 6, Nº 7, pp. 1053-1061.
Reding FP, Walter ER, Welch FJ, 1962, Glass transition and melting point of poly(vinyl chloride), Journal of Polymer Science, Vol. 56, Nº 163, pp. 225-231.
Reddish W, 1966, Dielectric study of the transition temperature regions for poly (vinyl chloride) and some chlorinated poly(vinyl chlorides) Journal of Polymer Science, Part C: Polymer symposia, Vol. 14, Nº 1, pp. 123-137.
Reilly JM, Bair HE, Karasz, FE, 1982, Thermodynamic properties of stereoregular poly(methyl methacrylate), Macromolecules, Vol. 15, Nº 4, pp. 1083-1088.
Soldera A, 1998, Comparison between the glass transition temperatures of the two PMMA tacticities: A molecular dynamics simulation point of view, Macromolecular symposia, Vol. 133, Nº 1, pp. 21-32.
Stadnicky SJ, Gillham JK, Boyer RF, 1976, The Tll (Tg) transition of atactic polystyrene, Journal of applied polymer science, Vol. 20, Nº 5, pp.1245-1275.
Titow WV, 1984, PVC Technology, 4ª Edition, New York-USA. Elsevier Applied Science Publishers.