Artículos
Recepção: 07 Outubro 2023
Aprovação: 29 Novembro 2023
DOI: https://doi.org/10.12804/revistas.urosario.edu.co/economia/a.14160
Resumen: Este artículo analiza la integración entre las empresas de servicios intensivos en conocimiento (KIBS) y la manufactura, partiendo de que esta genera alto crecimiento económico local y competitividad. Se utilizan técnicas espaciales de análisis de patrones de puntos. Se estudian dos zonas metropolitanas del centro de México, Toluca y Querétaro, ambas próximas a Ciudad de México, cuyo desarrollo industrial ha sido distinto. A pesar de sus diferencias, los resultados sugieren que los kibs se enlazan a la industria del transporte, motor de las exportaciones mexicanas y clave en la consolidación en las cadenas globales de valor.
Palabras clave: Aglomeración de empresas, servicialización industrial, integración espacio-económica local, KIBS, manufactura.
Abstract: This article analyzes the integration between knowledge-intensive business services (KIBS) and manufacturing firms, assuming this integration generates higher local economic growth and competitiveness. This was done using spatial point pattern analysis methods. Two metropolitan areas were considered, Toluca and Querétaro, both near Mexico City but with different industrial development patterns. Despite differences, results suggest that knowledge-intensive services are linked to transport industries, which are the engine of Mexican exports and key in their consolidation in global value chains.
Keywords: Industrial agglomeration, industrial servilization, local spatial-economic integration, KIBS, manufacturing.
Resumo: Este artigo analisa a integração entre empresas de serviços intensivos em conhecimento (do inglês: knowledge-intensive business services-KiBs) e a indústria, assumindo que gera elevado crescimento económico local e competitividade. São utilizadas técnicas de análise de padrões de pontos espaciais. São estudadas duas áreas metropolitanas no centro do México, Toluca e Querétaro, ambas próximas à Cidade do México, mas, cujo desenvolvimento industrial tem sido diferente. Apesar das diferenças, os resultados sugerem que os serviços intensivos em conhecimento estão ligados à indústria de transporte, força motriz das exportações mexicanas e fundamental para a sua consolidação nas cadeias de valor globais.
Palavras-chave: Aglomeração empresarial, inovação industrial, integração espaço-eco-nómica local, kibs, manufatura.
Introducción
Uno de los grandes retos de la economía mexicana en las últimas décadas ha sido la incorporación de "insumos intangibles" de alto valor agregado (Roth, 2020) , como el conocimiento en sus distintas formas -capital humano, expertise o experiencia laboral y uso de patentes (Henderson, 2007)- (Kuznetsov & Dahlman, 2008; Moreno-Brid, 2013; Flores-Segovia & Castellanos-Sosa, 2021) . La evidencia de esta incorporación ha sido, en el mejor de los casos, de carácter sectorial y de "nicho", enfocada a actividades manufactureras específicas en áreas urbanas acotadas (Dutrénit, 2016; Matus & Carrillo, 2020; Casalet & Stezano, 2020).
En economías emergentes como la mexicana, y las latinoamericanas en general, el uso y transmisión de conocimiento es de carácter, predominantemente, informal (Asheim, 2018; Alhusen et al., 2021; Ferreira et al., 2021).1 Por ejemplo, las "sinergias" innovadoras (instituciones - universidades - empresas) en México no revelan un enfoque claro que incentive la productividad en función de las capacidades y especialización regionales (Porto-Gomez et al., 2019). En este sentido, la proximidad geográfica entre empresas es un buen indicador de la propensión a que existan colaboraciones e intercambio (Balland et al., 2015; Broekel, 2015).
En paralelo, una alternativa posible para México, y Latinoamérica en general, es la implementación de estrategias de "innovación abierta" que, de acuerdo con Doloreux y Frigon, consiste en incentivar colaboraciones de manufacturas con KIBS. Esto facilita innovar y optimizar la generación de productos de alto valor agregado, vía insumos intangibles (Doloreux & Frigon, 2020; Seclen Luna & Moya Fernández, 2020). También, la proximidad geográfica entre la manufactura y estos servicios ha sido un indicador clave para inferir la existencia de estas colaboraciones (Lafuente et al., 2017,2019; Lombardi et al., 2022).
En este artículo analizamos dicho potencial de colaboración entre empresas manufactureras y KIBS, a partir de los patrones de proximidad entre empresas, observados en dos zonas metropolitanas (ZM): Toluca y Querétaro. Ambas metrópolis son importantes zonas industriales y de servicios cercanas a la Ciudad de México (Trejo Nieto, 2013; De las Heras et al., 2020).
La zona metropolitana de Toluca (ZMT) presenta industrias manufactureras consolidadas a partir de la desindustrialización de la Ciudad de México de finales del siglo XX (Valdivia López et al., 2010; Valdes & Jiménez, 2021). El desarrollo industrial de la zona metropolitana de Querétaro (zmq) no es distinto, pero su crecimiento manufacturero se ha visto apalancado, en este siglo, por su ubicación estratégica como puerta del centro del país hacia el norte de México y Estados Unidos (García Estrada, 2022; Vilchis et al., 2022).
En función del párrafo previo y resultados obtenidos, consideramos que ambas, ZMT y ZMQ, revelan dos procesos urbano-industriales afines, en los que la "ventana de oportunidad" de colaboraciones KiBS-manufactura (Wyrwich, 2019) se encadena a la integración de la economía mexicana a la región de América del Norte. Así, el análisis de este artículo revela -a partir de patrones intrametropolitanos de concentraciones KiBS-manufactura- cómo la posibilidad de colaboraciones o sinergias locales (Lafuente et al., 2019) responde a procesos espaciales-económicos más allá de la escala metropolitana.
La medición de la concentración de ambas actividades, KIBS y manufacturas, se realiza utilizando las funciones M y m, que son técnicas de análisis de patrones de puntos en el espacio intrametropolitano (Marcon & Puech, 2017; Lang et al., 2020). Esto, bajo la hipótesis de que a mayor cercanía espacio-sectorial entre las empresas manufactureras y las KIBS, mayor probabilidad de colaboración y, por tanto, mayor potencial de competitividad que contribuye a reforzar las economías urbanas (Yum, 2019; Zenka et al., 2020; Zieba, 2021). Los métodos permiten identificar qué tipo de actividades muestran concentración conjunta (estadísticamente) significativa y, a partir de ello, establecer algunas conjeturas sobre su relación con su impacto económico en las zonas metropolitanas (ZMT y ZMQ).
Consideramos que los principales aportes de este estudio son: primero, nuestro análisis permite ligar cómo los procesos espaciales (y económicos) intrametropolitanos responden a los que ocurren a escala nacional y global (en este caso, en América del Norte). Así, el artículo ofrece evidencia de cómo las "cadenas de valor locales" (Lafuente et al., 2019) reflejan similitudes con los procesos que rigen las cadenas globales de valor.2 Y segundo, ampliamos el conocimiento sobe la "servicialización territorial", es decir, la inserción de las KIBS en la manufactura (Amancio et al., 2022). En este sentido, este análisis parte de otros estudios de su tipo en Latinoamérica (Horvàth et al., 2020; Pérez Campuzano, 2021), pero develando los procesos de concentración intrametropolitanos.
El artículo se organiza así: en el siguiente apartado se definen conceptos y se presenta el marco teórico que sustenta el análisis. Posteriormente, se incluye un apartado de contexto, en el que se analizan algunos indicadores económicos sobre la dinámica de las empresas manufactureras y las KIBS, en las ZM de Toluca y Querétaro. Después, se presentan los métodos de análisis. Y en el quinto apartado se examinan los resultados, que se discuten en el apartado seis. Finalmente, el texto cierra con una sección de conclusiones, donde también se advierten los límites y alcances del estudio.
1. Revisión literaria
1.1. Definición de kibs
Las kibs, empresas de servicios intensivos en conocimiento, han sido definidas como actores clave, enlaces y catalizadoras de conocimiento al resto de la economía urbana y regional (Hertog, 2000; Shearmur & Alvergne, 2002; Shearmur, 2012; Miles et al., 2018). Las kibs son "diseminadoras de conocimiento" y, como tales, incentivan "derrames" (spillovers) de ideas y "know-how" (Gordon & McCann, 2005; Frenken et al., 2007; Shearmur, 2012; Yum, 2019; Peng et al., 2022). Los derrames de conocimiento producen sinergias que generan beneficios monetarios y productivos, derivados de la proximidad espacio-sectorial (colaboración, competencia e intercambio) entre empresas, expresados tanto en capital humano "no rival" (ej., nivel educativo de la fuerza laboral), como en capital exclusivo (ej., uso de patentes) (Henderson, 2007, p. 497).
La revisión bibliográfica revela tres grandes clasificaciones de las kibs, que permiten definirlas adecuadamente. Primero, retomamos la perspectiva de Asheim y colegas, cuya postura sobre las distintas "bases" del conocimiento como factor de la producción permite considerar a las kibs como: i. Analíticas, ligadas a la investigación y desarrollo de nuevos productos y servicios (ej., centros de investigación); ii. Sintéticas o cuyo acervo de conocimiento permite mejoras a productos y servicios (ej., servicios de ingeniería); y iii. Simbólicas, que engloban aspectos de diseño y creatividad como parte de la mejora de productos y servicios (Asheim, 2007; Asheim et al., 2011; Graizbord & Santiago, 2021; Krupskaya & Pina, 2022).
Segundo, es posible entender la actividad de las kibs a partir de su manera de innovar o cómo transforman sus recursos disponibles (particularmente sus redes de colaboración) para revalorizar productos y servicios (Amara et al., 2016; Lee & Miozzo, 2019). Así, las kibs pueden ser: i. Empresas que colaboran con centros de investigación, como las universidades, y cuyas actividades se refieren al uso de conocimiento analítico (ej., el desarrollo de software); ii. Empresas cuyo stock o reserva de conocimiento está ligado a su volumen de clientes y manejo de información (ej., los servicios financieros); y, iii. Empresas cuyas actividades son de rutina y ofrecen a clientes optimizar sus procesos organizacionales (como los servicios contables).
Por último, la tercera clasificación considerada define a las kibs en función de la demanda de sus servicios. Existen dos tipos: las kibs que proveen sus servicios como insumos a otras empresas y las que generan servicios de uso final (Wood, 2006,2009). Su demanda responde también al uso del conocimiento y a su manera de innovar: entre mayor sea su especialización, más acotado es su mercado y más probable que su expertise sea insumo para otras empresas (Desmarchelier et al., 2013). En términos de distancia, esto se refleja en una mayor proximidad a sus clientes, ya sea en núcleos urbanos o en parques industriales o manufactureros (Brunow et al., 2020; Kekezi & Klaesson, 2020).
En relación con las tres clasificaciones provistas, definimos a las kibs como empresas especializadas cuya experiencia y conocimiento adquirido las posiciona como agentes clave en la diseminación del conocimiento en contextos urbano-regionales. Partiendo de esta definición, utilizamos la clasificación de kibs propuesta para México por Álvarez-Lobato et al. (2023) (ver tabla 4 en Metodología), que afina la clasificación perfilada en Romero de Ávila (2019), por dos razones principales: i. Esta refleja las categorías del Sistema de Clasificación Industrial de América del Norte, scian (Instituto Nacional de Estadística y Geografía [inegi], 2018a), que permite estimar resultados por clases kibs en función de los códigos estándar de clasificación; y, ii. La desagregación de las clases kibs a partir de los códigos del scian permite analizar los resultados en función de los tipos de clasificación descritos en este apartado: formas de innovación, base de conocimiento y demanda de sus servicios.
1.2. Aglomeración y coaglomeración de empresas
Los conceptos de aglomeración y coaglomeración, aluden respectivamente a la concentración espacial entre empresas de una misma actividad y de dos o más actividades distintas (Rosenthal & Strange, 2001,2020). En contextos económico-espaciales concretos, ambas estructuras espaciales, aglomeración y coaglomeración, coexisten (De Groot et al., 2016; Proost & Thisse, 2019; Faggio et al., 2020) y son clave para la competitividad, no solo de las ciudades, sino de regiones y países (Norton, 1992; Fang & Du, 2017). En lo que respecta a coaglomeración, los factores que la explican son diversos (Behrens, 2016). Existen, por ejemplo, coaglomeraciones por transitividad (una tercera actividad que concentra a otras dos actividades) o por infraestructura compartida (por ejemplo, en parques industriales) (Behrens, 2016, pp. 1321-1323). Ningún caso de los mencionados sugiere colaboración, solo proximidad.
El análisis de patrones de puntos resulta útil para diferenciar entre posibles causas subyacentes de arreglos recurrentes de coaglomeración, a distintas escalas geográficas, ver ejemplo en Aleksandrova et al. (2020). Los métodos de análisis de patrones de puntos permiten diferenciar entre "colocalización" y "localización conjunta" (joint-localization): la primera sugiere proximidad estadísticamente significativa, la segunda sugiere que dos tipos de empresas tienden a coaglomerarse a lo largo del territorio y que existen factores que incentivan esta localización conjunta, por ejemplo, su colaboración (Duranton & Overman, 2005, p. 1101; Arbia et al., 2008, pp. 87-88).
Por otra parte, Steijn et al. (2022) hacen una revisión de la evolución en la medición del concepto de coaglomeración, e identifican que los cambios tecnológicos de las últimas décadas han incrementado la proximidad espacio-sectorial de las empresas y el carácter local de sus patrones de coaglomeración. El intercambio de ideas, de conocimiento y los contactos cara-a-cara se han vuelto factores explicativos de mayor peso que otros, como la reducción de costos de transporte y lazos cliente-proveedor. El conocimiento como factor explicativo de patrones de coaglomeración responde a cuestiones contextuales, como los requerimientos de clientes específicos o preferencias locales-regionales de mercado (Steijn et al., 2022, p. 12).
Finalmente, los patrones de aglomeración y coaglomeración coexisten en el espacio metropolitano en función de la diversidad de actividades, ligada al intercambio de conocimiento, por ejemplo, los patrones de variedad relacionada (actividades similares) y no relacionada (Cabrera Pereyra, 2022). La variedad relacionada responde a pequeños cambios en el acervo de conocimiento compartido, que mantienen competitivas a industrias maduras o de mayor antigüedad (estos cambios son llamados economías de especialización); por su lado, la variedad no relacionada surge de la combinación de acervos de conocimiento heterogéneos, que permiten la creación de nuevas actividades económicas locales (Content & Frenken, 2016). Tanto la aglomeración de empresas del mismo tipo, como la coaglomeración recurrente de dos o varios tipos específicos de empresas sugiere especialización y, por ello, un constante potencial de intercambio de conocimiento entre ellas.
1.3. kibs y manufacturas: aglomeración, coaglomeración y crecimiento económico
Las kibs son agentes claves en la generación de procesos de "innovación abierta", ya que, a través de sus redes de clientes, incentivan la actualización y revalorización de productos y servicios en diversos sectores productivos, incluyendo la industria manufacturera (Lafuente et al., 2017, 2019; Di Giacinto et al., 2020; Doloreux & Frigon, 2020; Sisti & Goena, 2020; Zieba, 2021). Esto resulta clave para empresas que no cuentan con recursos y capacidad para desarrollar innovación interna o propia (Brunow et al., 2020). Sin embargo, la relación entre kibs y el crecimiento económico local es compleja y depende primordialmente de la demanda local-regional de los servicios que ofrecen las kibs (Aslesen & Isaksen, 2007; Desmarchelier et al., 2013; Wyrwich, 2019).
Por tanto, el gasto de las empresas manufactureras en servicios de kibs representa una "inversión en intangibles", es decir, en conocimiento para diseño, publicidad, creación de productos y otros servicios altamente calificados (Corrado et al., 2009; Roth, 2020; Content et al., 2022; Solis et al., 2022). Por otra parte, a mayor "diferencial" de conocimiento entre las kibs y las demás empresas, mayor la demanda de sus servicios y mayor impacto benéfico para el crecimiento económico. Es decir, la demanda de los servicios de las kibs (y por ello el gasto local-regional en sus servicios) estará en función de su pertinencia respecto a las necesidades del tejido empresarial local: entre más especializados y pertinentes sean sus servicios, mayor será su integración al ecosistema productivo manufacturero (Desmarchelier et al., 2013, pp. 191-192).
Si partimos de una lógica de mercado, la integración entre kibs y manufactura se manifestaría de dos formas. Por un lado, altos niveles de gasto manufacturero en servicios externos especializados y calificados (ej., gasto en servicios profesionales, científicos y técnicos), lo que indica cercanía sectorial en el proceso productivo. Por otro, la proximidad espacial KIBS-manufactura y, más explícitamente, su coaglomeración recurrente en el espacio urbano (y regional), que refleja minimización de costos de interacción productiva en dinero, tiempo, esfuerzo (Lafuente et al., 2017, 2019; Vendrell-Herrero & Wilson, 2017; Vendrell-Herrero et al., 2020). Por su parte, la coaglomeración KiBS-manufactura revelaría una simbiosis más intensa, un alto potencial de encadenamientos "hacia adelante" (forward)3 ligado a un alto grado de inversión en intangibles relacionados con los kibs (Shearmur & Alvergne, 2002, p. 1146).
Otro aspecto importante es que la coaglomeración KiBS-manufactura responderá a la "base" o tejido manufacturero existente (Wyrwich, 2019). En contextos económicos en vías de desarrollo es importante incrementar la densidad de kibs o kibs deepening (Gomes et al., 2019). La abundancia de fuentes externas de capital intangible, en este caso las kibs como diseminadoras de conocimiento, incentiva la probabilidad de generar complementariedades y sinergias con la manufactura local (Pylak & Majerek, 2014, p. 522). Si bien la coaglomeración recurrente entre kibs y manufactura no es evidencia suficiente de su interacción, si es necesaria para lograr cambios estructurales ligados a un mayor uso del conocimiento como factor de producción (Corrocher & Cusmano, 2014, p. 1223).
En México no existen actualmente estudios empíricos sobre la coaglomeración KiBS-manufactura a escala de empresas. Estudios de carácter agregado (sumando empresas por área) señalan que la concentración espacial es factor clave para el desarrollo de polos de diseminación de conocimiento entre las actividades económicas locales y metropolitanas, pero no examinan las relaciones o colaboraciones que son deseables con el sector manufacturero (Santiago, 2020; Pérez Campuzano, 2021). En este sentido, consideramos que nuestro análisis de los patrones de coaglomeración KiBS-manufactura resalta la probabilidad de sinergias, que detonen el crecimiento económico metropolitano, y sienta las bases para el estudio de los factores que determinan la concentración y localización de las coaglomeraciones.
2. Contexto de estudio
Este apartado tiene dos objetivos. Primero, comparar los perfiles económicos de los sectores kibs de las zonas metropolitanas de Querétaro y Toluca, en función de sus procesos de industrialización y urbanización; y, segundo, analizar los patrones de inversión en intangibles (ej., gasto en servicios kibs) de las industrias manufactureras en ambas zonas metropolitanas. El primer objetivo supone analizar la importancia económica de los sectores kibs de cada zona metropolitana. El segundo, detectar la importancia de los sectores kibs como parte de los procesos industriales de producción de ambas zm. Para ambos objetivos utilizamos datos de los Censos Económicos de México, de 2003 a 2018, del Sistema Automatizado de Información Censal (saic) (inegi, 2023a).
2.1. Crecimiento económico de las KIBS en las zonas metropolitanas de Toluca y Querétaro
Las zm de Toluca y Querétaro (zmt y zmq, respectivamente) se ubican a 57 y 218 km respectivamente de la Ciudad de México, la primera hacia el oriente y la segunda hacia el nororiente4 (figura 1). El crecimiento urbano e industrial de ambas, parte de la desindustrialización de la Ciudad de México. La congestión urbana y manufacturera en la Ciudad de México, durante la segunda mitad del siglo XX, incentivó el desplazamiento de empresas hacia ciudades adyacentes, como Toluca, Querétaro y Puebla (Rendón Rojas et al., 2019, p. 37). El caso de zmq es más reciente y ha sido más por la planeación industrial del Gobierno que por los procesos del mercado5 (Rendón- Rojas et al., 2019, p. 52). Vilchis et al. (2022) sugieren que zmq funciona como "bisagra" que articula la Ciudad de México con ciudades importantes de la región del Bajío y del norte del país, y, a su vez, con ciudades del sur de Estados Unidos.

La tabla 1 compara los sectores kibs (número de empresas, empleo, valor agregado y remuneraciones) de zmt y zmq respecto a México (total, mx), de 2003 a 2018. Los datos, como se ha mencionado, provienen de los Censos Económicos de México (inegi, 2023a). El crecimiento porcentual quinquenal anualizado (2003-2008, 2008-2013 y 2013-2018) de empresas kibs ha sido de 4.6% promedio en ambas, zmt y zmq (2.2 % a nivel nacional); y el crecimiento del empleo, de 5.9% (zmt) y 8.3 °% (zmq) en promedio (comparado con el 4.0% nacional). El crecimiento porcentual quinquenal anualizado del valor agregado del sector kibs ha sido, en promedio, de 9.6 °% y 9.0% (zmt y zmq, respectivamente, comparado con el 5.9 %% nacional), con tendencia creciente en el tiempo en zmt y decreciente en zmq. En ambas, zmt y zmq, las tasas de crecimiento quinquenales promedio (2003-2018) por remuneraciones e ingresos por servicios son mayores a la media nacional.

Con base en la revisión de literatura previa, los resultados la tabla 1 sugieren la posibilidad de "simbiosis" entre kibs y manufacturas, entendida como la colaboración e interacción entre empresas manufactureras y kibs para generar sinergias: "resiliencia territorial, renacimiento manufacturero y competitividad, así como desarrollo regional" (Vendrell-Herrero et al., 2020, p. 6). En ambas, zmt y zmq, la tabla 1 sugiere un crecimiento del sector kibs, tanto en tamaño como en impacto económico, de mayor aceleración que el observado a nivel nacional. En función del crecimiento del sector kibs, identificado en la tabla 1, presenta las condiciones para ofrecer una ventana de oportunidad para generar insumos intangibles a las manufacturas locales de ambas zm.
Por otra parte, los resultados de la tabla 1 reflejan distintos contextos, o puntos de partida, para ambas, zmt y zmq. Por ejemplo, las kibs han experimentado un mayor crecimiento porcentual (quinquenal y anualizado) del empleo en zmq, pero su valor agregado como sector en la economía de zmt ha sido mayor. En ambas los cambios porcentuales (quinquenales y anualizados) de la remuneración e ingresos por servicios exhiben alta variabilidad (crecimiento y decrecimiento por quinquenios), en cambio, ambas variables reflejan crecimiento estable a nivel nacional.
Ahora, situemos los resultados de la tabla 1 en los procesos de industrialización y urbanización de ambas zonas metropolitanas: la posición geográfica de zmq y su inserción en el ecosistema productivo regional, le permite aprovechar la demanda de bienes manufacturados de Ciudad de México y de las ciudades del sur de Estados Unidos, de la frontera norte de México y de la región del Bajío. En cambio, la industrialización de zmt depende primordialmente de la demanda generada en la Ciudad de México, o transmitida a través de ella (Icazuriaga Montes, 1994; Hoyos Castillo, 2005; Almejo & Campos, 2013; Trejo Nieto, 2013; Vilchis et al., 2022).
La tabla 2 presenta un escenario desagregado por clases de kibs (ver tabla 4 en Metodología), de los datos observados en la tabla 1. Los resultados por clases revelan heterogeneidad intersectorial entre kibs, justificando los objetivos de este análisis. En ambas, zmq y zmt, se observan clases con ritmos elevados de crecimiento entre 2003 y 2018, y otras con decrecimiento en el mismo período. En zmq la tendencia es creciente en casi todas las clases de kibs (en los tres indicadores la tabla 2: número de empresas, empleo y valor agregado), mientras que en zmt este crecimiento se acota, sobre todo, a tres actividades: servicios legales y de contabilidad, telecomunicaciones, y servicios de diseño de sistemas de cómputo y procesamiento electrónico de información.

2.2. Crecimiento de la demanda de servicios kibs en las industrias manufactureras en las zonas metropolitanas de Toluca y Querétaro
La tabla 3 muestra los coeficientes de localización y tasas de crecimiento del gasto de la manufactura (y totales) en la contratación de servicios kibs para el período 2008-2018. Los coeficientes de localización resultan de la razón de dos porcentajes (Isserman, 1977), en los que el divisor representa el porcentaje de gasto en estos servicios, a escala nacional (México: mx), y los dividendos el porcentaje de gasto en zmt y zmq. Estos coeficientes revelan la concentración del gasto manufacturero en servicios kibs en ambas ciudades: la proporción de gasto es mayor en zmt, aunque zmq revela tasas de crecimiento altas que sugieren un incremento paulatino en el gasto manufacturero en servicios kibs.

En ambas zm destacan las empresas manufactureras relacionadas con la fabricación de transporte, entre ellas, la industria automotriz. Por ejemplo: fabricación de equipo de transporte, industria química, industria del plástico y del hule, fabricación de maquinaria y equipo, y fabricación de aparatos y accesorios eléctricos. Tanto Dutrénit (2016) como Casalet y Stezano (2020) señalan el caso de la industria del transporte y automotriz como un "caso de nicho", donde se dan complementariedades KiBS-manufactura en México. Esta simbiosis es notoria en la actualización de procesos de digitalización, que son un claro ejemplo de la comercialización de "paquetes" de servicios y productos, como expresión de la servicialización de las manufacturas (Amancio et al., 2022).
Respecto a las kibs, pueden estar posicionadas a lo largo de la cadena de suministro de transportes: hacia adelante, como ya se ha mencionado, al generar contenido de valor agregado de posproducción (ej., ventas, marketing o aspectos legales); o hacia atrás, al proveer de insumos con alto valor de conocimiento en el proceso productivo (Ciarli et al., 2012). En México, los estudios sobre la producción de la industria del transporte revelan encadenamientos regionales, aunque no se reportan estudios que analicen si estos vínculos persisten en el espacio intrametropolitano (Carbajal et al., 2016; Micheli Thirion, 2019). En este sentido, los resultados del presente trabajo revelarán si, en efecto, la coaglomeración KiBS-manufactura en zmt y zmq se registra principalmente en los sectores relacionados con el transporte.6
Si bien existe un alto porcentaje de insumos intensivos en conocimiento importados, sí hay en México evidencia de cadenas locales de valor (Dutrénit, 2016). Dicho esto, los indicadores de la tabla 3 apuntan a encadenamientos KiBS-manufactura, en ambas zm, en actividades relacionadas con la fabricación de transporte, que ya se han observado a escala regional (estatal) en México, pero que no se han explorado a escala intrametropolitana. En este sentido, se esperaría que los resultados de coaglomeración KiBS-manufactura reflejen los hallazgos del análisis de perfiles económicos en ambas zm de este apartado. Dicho de otra forma: se esperaría observar mayor concentración y sobredensidad de empresas kibs en áreas donde también se concentran manufacturas relacionadas con el sector de transporte.
3. Metodología
En este apartado se presenta el marco metodológico del estudio, que se apoya en los hallazgos del apartado previo. La discusión sigue tres ejes: i. La definición de las clases de kibs, para lo que se retoman los argumentos presentados en el apartado teórico; ii. La delimitación de los tipos de manufactura; y iii. La definición de los indicadores que utilizamos, así como sus formulaciones matemáticas, considerando los datos del Directorio Estadístico Nacional de Unidades Económicas, denüe, para 2010, 2015 y 2020 (inegi, 2010, 2015, 2022). Estos datos están georreferenciados por cada empresa y permiten observar la rama de actividad económica de cada una de ellas, así como su tamaño según el número de empleados.7
3.1. Clases kibs
La tabla 4 muestra la clasificación de las actividades kibs que se utiliza en este trabajo. La clasificación considera actividades por códigos (a cinco dígitos) del scian (inegi, 2018a) y cada clase se define en función de las similitudes entre actividades (Álvarez-Lobato et al., 2023). Por ejemplo, la clase Servicios de diseño de sistemas de cómputo incluye: i. 54151: Servicios de diseño de sistemas de cómputo y servicios relacionados, que considera unidades económicas que proporcionan y facilitan la planeación y diseño de sistemas de software, hardware y redes informáticas; y ii. 51821: Procesamiento electrónico de información, hospedaje y otros servicios relacionados, que considera unidades económicas que procesan información como: streaming de audio y video, reservaciones de otros servicios, uso de software compartido y flujo de datos en línea en general.

3.2. Tipos de manufacturas
La tabla 5 sintetiza la clasificación utilizada para las manufacturas, que sigue las consideraciones planteadas por la Organización para la Cooperación y Desarrollo Económico (OCDE) respecto al uso de tecnología e insumos intangibles en la producción, como el conocimiento (OCDE, 2011; Galindo-Rueda & Verger, 2016). La decisión de aglutinar las actividades manufactureras por uso de tecnología y conocimiento (y no desglosadas como en la tabla 3), se apalanca en el corpus teórico que sugiere dos posibilidades organizativas básicas de kibs y manufacturas: por un lado, coaglomeraciones simbióticas de alta tecnología, que esbozan fuertes sinergias productivas; y, por otro, coaglomeraciones entre kibs y manufacturas de media o baja tecnología, que insinúan derrames de conocimiento de las kibs hacia la manufactura (Pylak & Majerek, 2014; Wyrwich, 2019).

3.3. Intensidad de concentración y sobredensidad de la actividad económica
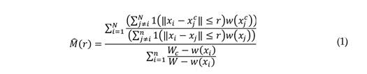
La ecuación (1) presenta la fórmula a partir de la cual estimamos la intensidad de concentración. La función M estima indicadores acumulados por radios de distancia a partir de cada punto georreferenciado que, en este caso, representa cada empresa manufacturera (Marcon & Puech, 2010). El radio más amplio de estimación para cada empresa representa la distancia entre esa empresa y la empresa más alejada, lo que hace a los estimadores
comparables entre sí y entre radios (Marcon & Puech, 2017; Gómez-Antonio & Alañón-Pardo, 2020). Los estimadores
se calculan tanto por empresa (puntuales) como para el agregado por clase de kibs y sector manufacturero (promedio). Todos los
mayores a 1.0 sugieren coaglomeración (en promedio o por pares de KiBS-manufactura, respectivamente) hasta el radio r considerado.8
Ecuación 1. Estimador de la función M

La ecuación (2) presenta la fórmula a partir de la cual estimamos la sobrerrepresentación de pares KIBS-manufactura. La función m estima la sobredensidad de puntos (empresas) a cada distancia r (Lang et al., 2020). Entendemos la sobredensidad como la sobrerrepresentación porcentual de pares KIBS-manufactura específicos (es decir, respecto a otros) por radio de distancia. Igual que en el caso previo, los estimadores
son puntuales (por empresa) y promedio (por clase kibs y por sector manufacturero). Todos los
mayores a 1.0 indican sobrerrepresentación.
Ecuación 2. Estimador de la función m

Las ecuaciones (1) y (2) consideran la hipótesis de aleatoriedad de tipos y clases (manufactura y kibs), que estima la recurrencia de pares a través del espacio intrametropolitano. Por recurrencia entendemos la continua observación -a través de distintas escalas (radios de distancia)- de pares KiBS-manufactura de sectores (clases) específicos. Esta hipótesis, denominada Random Labeling (Marcon et al., 2015), mantiene fija la ubicación de las empresas, pero considera de manera aleatoria los sectores manufactureros y clases de kibs, identificando pares KIBS-manufactura vinculados espacialmente de manera no aleatoria.
4. Resultados
4.1. Intensidad y sobrerrepresentación: patrones generales
La tabla 6 muestra los resultados sobre la coaglomeración de pares kibs-manufactura en zmt y zmq. Estos resultados indican el patrón de coaglomeración general, es decir, indican si las kibs, independientemente de su clase, exhiben proximidad intrametropolitana estadísticamente significativa (colocalización). La tabla 6 incluye también los rangos de distancia en los que la significancia estadística se cumple (Arauzo-Carod et al., 2017). Antes de analizar cada resultado, cabe mencionar que la estructura de concentración de cada actividad económica por separado (kibs y manufacturas) es distinta: en el agregado metropolitano, tanto en zmt como zmq, la coaglomeración KiBS-manufactura ocurre de manera acotada. Las kibs se concentran predominantemente en los núcleos urbanos principales de cada zm, mientras que las manufacturas se concentran predominantemente fuera de estos.

El resultado para la función M (concentración de pares) de la tabla 6 revela que sí existe evidencia de coaglomeración conjunta. Dicho de otra forma, a pesar de que las kibs, como sector, exhiben una estructura u organización espacial intrametropolitana distinta a la de las manufacturas, sí hay casos (ubicaciones) puntuales en los que se observa coaglomeración significativa. Los resultados sugieren que esto ocurre tanto a distancias cortas (menores a 1 km en zmq y alrededor de los 2 km en zmt), como al considerar el agregado metropolitano (más de 30 km en ambas).
Por otra parte, el resultado para la función m (sobrerrepresentación de pares) es similar en ambas, zmq y zmt. Es más probable encontrar sobrerrepresentación de pares KIBS-manufactura a distancias menores a 10 km (zmt) y 12 km (zmq). Los resultados la tabla 6 apuntan a que la coaglomeración KiBS-manufactura se limita a actividades (clases kibs, sectores manufactureros) específicas en ambas zm. Este resultado enfatiza, por ejemplo, la relevancia de la proximidad para establecer relaciones de intercambio de conocimiento significativas, las cuales ocurren en actividades (KiBS-manufactura) muy específicas (Kohtamãki & Partanen, 2016).
La figura 2 muestra las funciones M y m estimadas de pares kibs-manufactura (2010 y 2020), respectivamente. Las líneas punteadas indican la envolvente de los niveles de significancia estadística, así que, valores en las líneas sólidas por encima del límite superior indican concentración. Las gráficas de la figura 2 muestran al proceso de coaglomeración como fenómeno multiescalar. El caos más claro, por ejemplo, es el de la sobrerrepresentación (función m) que, si bien es significativa y con valor superior a 1, predominan las áreas de rechazo o dispersión. Es decir, existe un patrón (estadísticamente) significativo de pares KiBS-manufactura concentrados (función M), pero estos no son porcentualmente distintos al resto de la actividad económica. Dicho de otra manera, la frecuencia de ocurrencia de pares no es distinta (y, de hecho, es menor) a la coaglomeración con otras actividades económicas.

De acuerdo con Lafuente et al. (2017), el patrón observado en la figura 2 sugiere lo que los autores llaman "ajuste mínimo" (minimal fit) entre manufactura y kibs. Si bien existen coaglomeraciones KiBS-manufactura, estas no son comunes a lo largo del espacio intrametropolitano. Aunque falta revisar los resultados por clase kibs y sector manufacturero, ya los cuadros previos y la figura 2 sugieren que no existen (o no han existido) estrategias con el deliberado objetivo de incentivar la proximidad entre kibs y manufactura, que incentive sinergias entre ambas actividades.
Otra conclusión general -a reserva de lo indagado más adelante para casos puntuales entre clases kibs y sectores manufactureros- sugiere que las kibs de zmt y zmq no responden a una demanda especializada de servicios (Lombardi et al., 2022). Este resultado es similar a lo identificado por Cainelli et al. (2020), quienes separan el impacto de kibs y servicios manufactureros especializados. Las kibs, al ser un sector con redes más allá de solo la manufactura, reflejan menos cooperación con este sector. Para nuestro análisis, esto se traduciría con una menor coocurrencia, o colocalización de ambos, reflejando la falta de sinergias deliberadas o dirigidas a la colaboración recurrente. Aun así, los resultados la tabla 3 sugieren posibles simbiosis (o integración local) entre manufacturas y clases kibs específicas.
4.2. Intensidad y sobrerrepresentación: patrones específicos
La figura 3 revela que la sobrerrepresentación de pares KIBS-manufactura en ambas zm ocurre en áreas intrametropolitanas de elevada densidad urbana. En relación con los resultados previos, esto sugiere que ocurren cerca de, o en, áreas donde la concentración y sobrerrepresentación de kibs existe, más no necesariamente la de manufacturas. Dicho de otra forma, la coaglomeración KiBS-manufactura se da lejos de polos de concentración manufacturera (ej., parques industriales). Ampliando un poco lo observado en la figura 3, el 28 % y 29.5% (2010 y 2020, respectivamente) de las manufacturas en zmt operaron a 5 km o menos de una empresa kibs. En cambio, el 11.6 % (tanto en 2010 como 2020) de las manufacturas de zmq operaron a 5 km o menos de una empresa kibs.

Por otra parte, los resultados de la figura 3 sintetizan a la manufactura en función de su uso de tecnología. Identificamos diversidad en este caso, ya que no hay un sector específico (de alto, bajo o medio uso de tecnología) que predomine en las coaglomeraciones estadísticamente significativas. Sin embargo, al desglosar por tipo de manufactura sí predomina la fabricación de equipo de transporte (scian 336) e industrias conexas, como la fabricación de productos metálicos (scian 332) y la fabricación de maquinaria y equipo (scian 333). Son frecuentes, por ejemplo, los pares KiBS-manufactura en actividades de tecnología baja y media, como la fabricación de productos metálicos y de productos a base de minerales no metálicos (scian 327) en la zmt, o la industria del plástico y del hule (scian 326) en la zmq.
Si vemos los resultados de la figura 3, a partir de las clases kibs coaglomeradas con la manufactura, dominan en zmt los servicios legales y contables9 en 2010, con incrementos notables de coaglomeraciones con los servicios de publicidad e investigación de mercado, diseño, consultoría y telecomunicaciones en 2020. En zmq también dominan los servicios legales y contables en 2010, y aumentan las coaglomeraciones KiBS-manufactura con empresas de servicios de publicidad e investigación de mercado en 2020. Este resultado sugiere encadenamientos posproducción: en ambas zm, las kibs enlazan la producción de transporte hacia el mercado de consumo doméstico ya que, como sugiere González Pérez (2021), la industria automotriz del centro de México abastece primordialmente la demanda doméstica.10
Es decir, si partimos de un análisis de cuáles kibs exhiben mayor coaglomeración con las manufacturas, observamos que son aquellas ligadas a la comercialización y no a la producción: los servicios legales y contables relacionados con la venta de automóviles, la publicidad de los productos nuevos y la investigación de mercado para definir tendencias y ajustar estrategias de marketing, entre otros. Por otra parte, este hallazgo cobra sentido en función de la localización de estas coaglomeraciones (figura 3), ya que se encuentran próximas a áreas intraurbanas con alta densidad de empresas y población. No observamos, pues, que las kibs operen en proximidad a áreas manufactureras de ensamblaje o de producción de autopartes, sino en aquellas ligadas a la distribución y comercialización.
5. Discusión y conclusiones
El objetivo de este artículo es doble: identificar la importancia económica de las kibs, y estimar sus posibles encadenamientos locales con la manufactura (vía proximidad geográfica), en dos zonas metropolitanas (zm) mexicanas (Toluca y Querétaro), cuyos procesos industriales han despegado a partir de la desindustrialización de la Ciudad de México. Los resultados sugieren que ambas zm presentan incrementos en la densidad de kibs, por lo que incrementarla no sería necesariamente un reto presente como en otras economías emergentes (Pylak & Majerek, 2014). Por otra parte, el gasto manufacturero en servicios kibs ha ido también aumentando, sobre todo en servicios específicos que, como los patrones de concentración revelan, se orientan a encadenamientos posproducción: ventas, marketing y publicidad, por nombrar algunos.
En cuanto a qué nos revelan los patrones de concentración en términos de sinergias KiBS-manufactura, las kibs como sector exhiben mayor actividad en áreas con mayor diversidad en la actividad económica (o áreas urbanas densas) y no donde la manufactura predomina (Brunow et al., 2020). En este sentido, a escala metropolitana el patrón general es de colocalización, el cual no sugiere necesariamente una coaglomeración estratégica (o lo que Lafuente et al. (2017, 2019) llaman minimal fit). Aun así, vemos aglomeraciones acotadas donde los pares KiBS-manufactura sí presentan concentración significativa, que sugieren que la localización conjunta, joint localization, (Duranton & Overman, 2005) ocurre de manera acotada. Es decir, son algunas actividades kibs y manufactureras las que ven, en su coaglomeración, una ventaja económica.
Los resultados reflejan sectores manufactureros y kibs débilmente integrados, con pocas evidencias de integración de insumos intangibles locales, externos a las empresas que realizan los procesos de producción industriales. El sector de fabricación de transporte destaca como un polo de atracción de empresas kibs, pero estas, dada la naturaleza de sus actividades, parecen estar enfocadas al producto final y no como eslabones en la cadena de valor productiva. Los rápidos cambios tecnológicos recientes en la industria automotriz -como la automatización de procesos, la diferenciación de productos y la digitalización- demandan una mayor integración local de kibs, lo que reforzaría las habilidades y capacidades del empleo automotriz mexicano (González Pérez, 2021, pp. 48-49).11
En relación con los argumentos del párrafo previo, no existe evidencia de un cambio estructural en la industria local a partir de la incorporación de kibs (Corrocher & Cusmano 2014; Wyrwich, 2019; Doloreux & Frigon, 2020). Sí existen encadenamientos locales, pero los resultados sugieren que estos no afectan la producción, sino que la enlazan con el mercado consumidor doméstico. Así, si partimos de la premisa de que los patrones de coaglomeración observados reflejan cadenas de valor (manufactura-servicios) locales, entonces la coaglomeración intrametropolitana reproduce lo que se observa a escala global: el ajuste de las cadenas de valor globales (nearshoring, backshoring) hacia las (macro) regiones (Piatanesi & Arauzo-Carod, 2019).
Para el caso de América del Norte en general, y México en particular, estas cadenas de valor han cimentado el valor estratégico (y de competitividad) de la producción automotriz y de transporte. En este tema México tiene ventajas de localización y know-how, derivadas de décadas de operar en el Tratado de Libre Comercio de América del Norte (nafta) de 1994 y en el Tratado entre México, Estados Unidos y Canadá (t-mec) de 2020. Sin embargo, y dada la naturaleza de los encadenamientos (proximidad, concentración) observados, se requieren en ambas zm acciones de política industrial que incentiven una "simbiosis fuerte" entre kibs y manufactura (Lafuente et al., 2019), que integre insumos intangibles intensivos en conocimiento a las cadenas locales de valor.
Esta simbiosis fuerte permitiría a las manufacturas (sobre todo las industrias de transporte y conexas) innovar y revalorizar productos a partir de servicios, mediante la inclusión de activos intensivos en conocimiento (Seclen Luna & Moya Fernández, 2020). En este sentido, la estrategia de competitividad industrial local (y para México) pasaría de ser una basada en bajos costos y estandarización de procesos a una de valor agregado basada en insumos intangibles (Moreno-Brid, 2013). Así, nuestro análisis tiene el potencial de influir en el diseño de estrategias de política industrial basadas en activos intensivos en conocimiento; o acciones desde lo local (en este caso, el espacio metropolitano), para una competitividad fincada en la revalorización productiva vía servicios kibs.
Por último, considerando las limitantes del análisis, los métodos utilizados permiten establecer que existe evidencia -a partir de la proximidad geográfica y de los datos económicos complementarios- de coaglomeración entre las kibs y las manufacturas en ambas zonas metropolitanas. Adicionalmente, permiten identificar qué actividades son las que exhiben coaglomeración. Sin embargo, no existe evidencia contundente de su complementariedad e integración. Es decir, los métodos de patrones de análisis de puntos no permiten indagar, por ejemplo, si en efecto las kibs forman parte de las cadenas de distribución y comercialización de los productos derivados de la fabricación de transporte y sus industrias conexas. En este sentido, haría falta un análisis detallado en campo, que explore cuál es la naturaleza de esta posible integración entre kibs y empresas manufactureras.
Roles de contribución (taxonomía de CRediT)
Conceptualización: José Antonio Cabrera Pereyra, José Antonio Álvarez Lobato, Carlos Garrocho.
Curación de datos: José Antonio Cabrera Pereyra. Análisis formal (técnicas estadísticas, análisis de datos): José Antonio Cabrera Pereyra
Investigación (proceso de investigación): José Antonio Cabrera Pereyra, José Antonio Álvarez Lobato.
Metodología (diseño y desarrollo): José Antonio Cabrera Pereyra, José Antonio Álvarez Lobato.
Administración del proyecto (gestión y coordinación): José Antonio Cabrera Pereyra, José Antonio Álvarez Lobato, Carlos Garrocho.
Software (programación, diseño e implementación): José Antonio Cabrera Pereyra, José Antonio Álvarez Lobato.
Supervisión y liderazgo en la planificación: José Antonio Cabrera Pereyra, José Antonio Álvarez Lobato, Carlos Garrocho. Validación (verificación): José Antonio Cabrera Pereyra, José Antonio Álvarez Lobato, Carlos Garrocho.
Visualización (presentación de datos): José Antonio Cabrera Pereyra, José Antonio Álvarez Lobato.
Redacción (documento original): José Antonio Cabrera Pereyra, José Antonio Álvarez Lobato.
Redacción (revisión y edición): José Antonio Cabrera Pereyra, José Antonio Álvarez Lobato, Carlos Garrocho.
Referencias
Aleksandrova, E., Behrens, K., & Kuznetsova, M. (2020, enero). Manufacturing (co) agglomeration in a transition country: Evidence from Russia. Journal of Regional Science, 60(1), 88-128. https://doi.org/10.1111/jors.12436
Alhusen, H., Bennat, T., Bizer, K., Cantner, U., Horstmann, E., Kalthaus, M., Proeger, T., Sternberg, R., & Töpfer, S. (2021, mayo). A new measurement conception for the 'doing-using-interacting' mode of innovation. Research Policy, 50(4). https://doi.org/10.1016/j.respol.2021.104214
Almejo Hernández, R., & Campos Sánchez, M. (2013). Especialización y desempeño en sectores de uso intensivo del conocimiento de las ciudades mexicanas, 2000-2010. En conapo (Ed.), La situación demográfica de México, 2013 (pp. 107-124). https://www.gob.mx/conapo/documentos/ la-situacion-demografica-de-mexico-2013
Álvarez-Lobato, J. A., Cabrera-Pereyra, J. A., & Garrocho, C. (2023) The clustering of knowledge-intensive business services in Greater Mexico City, 2010 through 2020. Papers in Applied Geography, 9(2), 193-213. https://doi.org/10.1080/23754931.2023.2164938
Amancio, I. R., Mendes, G. H. D. S., Moralles, H. F., Fischer, B. B., & Sisti, E. (2022). The interplay between kibs and manufacturers: a scoping review of major key themes and research opportunities. European Planning Studies, 30(10), 1919-1941. https://doi.org/10.1080/09654313.2021.1995852
Amara, N., D'Este, P., Landry, R., & Doloreux, D. (2016, octubre). Impacts of obstacles on innovation patterns in kibs firms. Journal of Business Research, 69(10), 4065-4073. https://doi.org/10.1016/j.jbusres.2016.03.045
Ambos, B., Brandl, K., Perri, A., Scalera, V. G., & Van Assche, A. (2021, junio). The nature of innovation in global value chains. Journal of World Business, 56(4). https://doi.org/10.1016/j.jwb.2021.101221
Angoa, I., Pérez-Mendoza, S., & Polèse, M. (2009, abril). Los tres Méxicos: análisis de la distribución espacial del empleo en la industria y los servicios superiores, por tamaño urbano y por región. EURE, 35(104), 121-144. http://dx.doi.org/10.4067/S0250-71612009000100006
Antràs, P., & Chor, D. (2022). Global value chains. Handbook of international economics, 5, 297-376. https://doi.org/10.1016/bs.hesint.2022.02.005
Arauzo Carod, J. M., Coll Martínez, E., & Méndez Ortega, C. (2017). Aglomeración de sectores intensivos en conocimiento: una aproximación intra-urbana. Papeles de Economía Española, (153), 110-126. https://www.funcas.es/wp-content/uploads/Migracion/Articulos/FUNCAS_PEE/153art09.pdf
Arbia, G., Espa, G., & Quah, D. (2008). A class of spatial econometric methods in the empirical analysis of clusters of firms in the space. Empirical Economics, 34, 81-103. https://doi.org/10.1007/s00181-007-0154-1
Asheim, B. T. (2007). Differentiated knowledge bases and varieties of regional innovation systems. Innovation, 20(3), 223-241. https://doi.org/10.1080/13511610701722846
Asheim, B. T. (2018). Learning regions - a strategy for economic development in less developed regions? En A. Paasi, J. Harrison, & M. Jones (Eds.), Handbook on the Geographies of Regions and Territories, (Parte II, Capítulo 11, pp. 130-140). Edward Elgar Publishing. https://doi.org/10.4337/9781785365805.00020
Asheim, B. T., Boschma, R., & Cooke, P. (2011). Constructing regional advantage: Platform policies based on related variety and differentiated knowledge bases. Regional studies, 45(7), 893-904. https://doi.org/10.1080/00343404.2010.543126
Aslesen, W. H., & Isaksen, A. (2007). Knowledge intensive business services and urban industrial development. The Service Industries Journal, 27(3), 321-338. https://doi.org/10.1080/02642060701207239
Balland, P. -A., Boschma, R., & Frenken, K. (2015). Proximity and innovation: From statics to dynamics. Regional Studies, 49(6), 907-920. https://doi.org/10.1080/00343404.2014.883598
Broekel, T. (2015). The co-evolution of proximities - A network level study. Regional Studies, 49(6), 921-935. https://doi.org/10.1080/00343404.2014.1001732
Behrens, K. (2016, noviembre). Agglomeration and clusters: Tools and insights from coagglomeration patterns. Canadian Journal of Economics, 49(4), 1293-1339. https://doi.org/10.1111/caje.12235
Brunow, S., Hammer, A., & McCann, P. (2020). The impact of kibs' location on their innovation behaviour. Regional Studies, 54(9), 1289-1303. https://doi.org/10.1080/00343404.2019.1684463
Cabrera Pereyra, J. A. (2022, segundo semestre). Efectos espaciales directos e indirectos de la variedad industrial en el empleo y la creación de empresas en la Megalópolis del Valle de México, 2010-2019. EconoQuantum, 19(2), 57-82. https://doi.org/10.18381/eq.v19i2.7262
Cainelli, G., De Marchi, V., & Grandinetti, R. (2020). Do knowledge-intensive business services innovate differently? Economics of innovation and new technology, 29(1), 48-65. https://doi.org/10.1080/10438599.2019.1585639
Carbajal Suárez, Y., Almonte, L. D. J., & Mejía Reyes, P. (2016). La manufactura y la industria automotriz en cuatro regiones de México. Un análisis de su dinámica de crecimiento, 1980-2014. Economía: teoría y práctica, (45), 39-66. https://doi.org/10.24275/ETYPUAM/NE/452016/Carbajal
Casalet, M., & Stezano, F. (2020). Risks and opportunities for the progress of digitalization in Mexico. Economics of Innovation and New Technology, 29(7), 689-704. https://doi.org/10.1080/10438599.2020.1719643
Ciarli, T., Meliciani, V., & Savona, M. (2012, julio). Knowledge dynamics, structural change and the geography of business services. Journal of Economic Surveys, 26(3), 445-467. https://doi.org/10.1111/j.1467-6419.2012.00722.x
Consejo Estatal de Población, Secretaría General de Gobierno. (2018). Zonas metropolitanas del Estado de México. http://coespo.edomex.gob.mx/zonas_metropolitanas
Content, J., & Frenken, K. (2016). Related variety and economic development: A literature review. European Planning Studies, 24(12), 2097-2112. https://doi.org/10.1080/09654313.2016.1246517
Content, J., Cortinovis, N., Frenken, K., & Jordaan, J. (2022). The roles of kibs and R&D in the industrial diversification of regions. The Annals of Regional Science, (68), 29-64. https://doi.org/10.1007/s00168-021-01068-9
Corrado, C., Hulten, C., & Sichel, D. (2009, septiembre). Intangible capital and US economic growth. The review of income and wealth, 55(3), 661-685. https://doi.org/10.1111/j.1475-4991.2009.00343.x
Corrocher, N., & Cusmano, L. (2014). The 'kibs engine' of regional innovation systems: Empirical evidence from European regions. Regional Studies, 48(7), 1212-1226. https://doi.org/10.1080/00343404.2012.731045
Cruz, F., & Garza, G. (2014, enero-abril). Configuración microespacial de la industria en la Ciudad de México a inicios del siglo xxi. Estudios demográficos y urbanos, 29(1), 9-52. https://doi.org/10.24201/edu.v29i1.1454
De Groot, H. L., Poot, J., & Smit, M. J. (2016, septiembre). Which agglomeration externalities matter most and why? Journal of Economic Surveys, 30(4), 756-782. https://doi.org/10.1111/joes.12112
De las Heras Gutiérrez, D., Adame Martínez, S., Cadena Vargas, E. G., & Campos Alanís, J. (2020). Sustentabilidad del desarrollo urbano en la Megalópolis de México: perspectiva desde el análisis espacial. Economía, Sociedad y Territorio, 20(62), 89-122. https://est.cmq.edu.mx/index.php/est/article/view/1441
Desmarchelier, B., Djellal, F., & Gallouj, F. (2013, junio). Knowledge-intensive business services and long term growth. Structural Change and Economic Dynamics, 25, 188-205. https://doi.org/10.1016/j.strueco.2012.07.003
Di Giacinto, V., Micucci, G., & Tosoni, A. (2020). The agglomeration of knowledge-intensive business services firms. The Annals of Regional Science, 65(3), 557-590. https://doi.org/10.1007/s00168-020-00995-3
Doloreux, D., & Frigon, A. (2020, junio). Innovation in knowledge intensive business services (kibs). Canadian Journal of Administrative Sciences, 37(2), 122-134. https://doi.org/10.1002/cjas.1525
Duranton, G., & Overman, H. G. (2005, octubre). Testing for localization using micro-geographic data. The Review of Economic Studies, 72(4), 1077-1106. https://doi.org/10.1111/0034-6527.00362
Dutrénit, G. (2016). Innovación, recursos naturales y manufactura avanzada: nuevos dilemas de la industrialización en América Latina. Ekonomiaz: Revista vasca de economía, (89), 56-85. https://dialnet.unirioja.es/servlet/articulo?codigo=5487063
Faggio, G., Silva, O., & Strange, W. C. (2020 septiembre). Tales of the city: what do agglomeration cases tell us about agglomeration in general? Journal of Economic Geography, 20(5), 1117-1143. https://doi.org/10.1093/jeg/lbaa007
Fang, C., & Yu, D. (2017, junio). Urban agglomeration: An evolving concept of an emerging phenomenon. Landscape and urban planning, 162, 126-136. https://doi.org/10.1016/j.landurbplan.2017.02.014
Ferreira, J. J., Farinha, L., Rutten, R., & Asheim, B. (2021). Smart Specialisation and learning regions as a competitive strategy for less developed regions. Regional Studies, 55(3), 373-376. https://doi.org/10.1080/00343404.2021.1891216
Flores-Segovia, M. A., y Castellanos-Sosa, F. A. (2021). Proximity effects and labour specialization transitions in Mexico: a spatial Markov chain analysis. Regional Studies, 55(4), 575-589. https://doi.org/10.1080/00343404.2020.1836342
Frenken, K., Van Oort, F., & Verburg, T. (2007). Related variety, unrelated variety and regional economic growth. Regional studies, 41(5), 685-697. https://doi.org/10.1080/00343400601120296
Galindo-Rueda, F., & Verger, F. (2016), OECD Taxonomy of Economic Activities Based on R&D Intensity. OECD Science, Technology and Industry Working Papers, (04). http://dx.doi.org/10.1787/5jlv73sqqp8r-en.
García Estrada, M. L. (2022). Urbanización e industrialización de la ciudad de Querétaro en el siglo xx. Revista de El Colegio de San Luis, 12(23), 1-30. https://revista.colsan.edu.mx/index.php/COLSAN/article/view/1373
Gomes, E., Bustinza, O. F., Tarba, S., Khan, Z., & Ahammad, M. (2019). Antecedents and implications of territorial servitization. Regional Studies, 53(3), 410-423. https://doi.org/10.1080/00343404.2018.1468076
Gómez-Antonio, M., & Alañón-Pardo, Á. (2020). Point pattern methods for analyzing industrial location. Investigación Económica, 79(314), 51-74. https://doi.org/10.22201/fe.01851667p.2020.314.75474
González Pérez, G. (2021). Directrices de la reestructuración de la industria automotriz mundial y sus implicaciones para México. Norteamérica, Revista Académica del cisan-unam, 16(2), 35-55. https://doi.org/10.22201/cisan.24487228e.2021.2.442
Gordon, I. R., & McCann, P. (2005, octubre). Innovation, agglomeration, and regional development. Journal of economic Geography, 5(5), 523-543.https://doi.org/10.1093/jeg/lbh072
Graizbord, B., & Santiago, L. E. (2021). La industria cultural en las ciudades de México: Los 'servicios simbólicos intensivos en conocimiento' (sic-simbólicos). EURE, 47(141), 27-47. http://dx.doi.org/10.7764/eure.47.141.02
Henderson, J. V. (2007, julio). Understanding knowledge spillovers. Regional Science and Urban Economics, 37(4), 497-508. https://doi.org/10.1016/j.regsciurbeco.2006.11.010
Hertog, P. D. (2000). Knowledge-intensive business services as co-producers of innovation. International journal of innovation management, 4(04), 491-528. https://doi.org/10.1142/S136391960000024X
Horvàth, K., Araya, M., & Leiva, J. C. (2020). The role of county competitiveness and manufacturing activity on the development of business service sectors: A precursor to territorial servitization. Investigaciones Regionales. Journal of Regional Research, (48), 19-35. https://doi.org/10.38191/iirr-jorr.20.018
Hoyos Castillo, G. (2005, julio). Marco empírico histórico de la dimensión física del proceso de urbanización de las ciudades de México y Toluca. Quivera. Revista de Estudios Territoriales, 7(2), 42-74. https://quivera.uaemex.mx/article/view/10624.
Icazuriaga Montes, C. (1994, mayo-agosto). Desarrollo urbano y forma de vida de la clase media en la ciudad de Querétaro. Estudios Demográficos y Urbanos, 9(2), 439-456. https://www.jstor.org/stable/40314753
Instituto Nacional de Estadística y Geografía. (2010). Directorio Estadístico Nacional de Unidades Económicas (DENUE). https://www.inegi.org.mx/app/mapa/denue/default.aspx
Instituto Nacional de Estadística y Geografía. (2015). Directorio Estadístico Nacional de Unidades Económicas (DENUE). https://www.inegi.org.mx/app/mapa/denue/default.aspx
Instituto Nacional de Estadística y Geografía. (2018a). Sistema de clasificación Industrial de América del Norte 2018 (SCIAN 2018). https://www.inegi.org.mx/app/scian/
Instituto Nacional de Estadística y Geografía. (2018b). Delimitación de las Zonas Metropolitanas de México 2015. CONAPO-SEDATU. https://www.inegi.org.mx/app/biblioteca/ficha.html?upc=702825006792
Instituto Nacional de Estadística y Geografía. (2022). Directorio Estadístico Nacional de Unidades Económicas (DENUE). https://www.inegi.org.mx/app/mapa/denue/default.aspx
Instituto Nacional de Estadística y Geografía. (2023a). Censos Económicos. Sistema Automatizado de Información Censal (SAIC). https://www.inegi.org.mx/app/saic/
Instituto Nacional de Estadística y Geografía. (2023b). Banco de Información Económica (BIE). https://inegi.org.mx/app/indicadores/default.aspx?tm=0
Isserman, A. M. (1977). The location quotient approach to estimating regional economic impacts. Journal of the American Institute of Planners, 43(1), 33-41. https://doi.org/10.1080/01944367708977758
Kekezi, O., & Klaesson, J. (2020). Agglomeration and innovation of knowledge intensive business services. Industry and Innovation, 27(5), 538-561.https://doi.org/10.1080/13662716.2019.1573660
Kohtamäki, M., & Partanen, J. (2016, julio). Co-creating value from knowledgeintensive business services in manufacturing firms: The moderating role of relationship learning in supplier-customer interactions. Journal of business research, 69(7), 2498-2506. https://doi.org/10.1016/j.jbus-res.2016.02.019
Krupskaya, A., & Olivera Pina, K. (2022). Towards identifying knowledge bases in KIBS through their service development process. Foresight, 24(1), 55-74. https://doi.org/10.1108/FS-01-2021-0028
Kuznetsov, Y. N., & Dahlman, C. J. (2008). Mexico's transition to a knowledgebased economy: Challenges and opportunities. World Bank Publications.
Lafuente, E., Vaillant, Y., & Vendrell-Herrero, F. (2017, octubre). Territorial servitization: Exploring the virtuous circle connecting knowledge-intensive services and new manufacturing businesses. International Journal of Production Economics, 192, 19-28. https://doi.org/10.1016/j.ijpe.2016.12.006
Lafuente, E., Vaillant, Y., & Vendrell-Herrero, F. (2019). Territorial servitization and the manufacturing renaissance in knowledge-based economies. Regional Studies, 53(3), 313-319. https://doi.org/10.1080/00343404.2018.1542670
Lang, G., Marcon, E., & Puech, F. (2020). Distance-based measures of spatial concentration: introducing a relative density function. The Annals of Regional Science, 64(2), 243-265. https://doi.org/10.1007/s00168-019-00946-7
Lee, H. -F., & Miozzo, M. (2019, septiembre). Which types of knowledge-intensive business services firms collaborate with universities for innovation? Research Policy, 48(7), 1633-1646. https://doi.org/10.1016/j.respol.2019.03.014
Lombardi, S., Santini, E., & Vecciolini, C. (2022, noviembre). Drivers of territorial servitization: An empirical analysis of manufacturing productivity in local value chains. International Journal of Production Economics, 253. https://doi.org/10.1016/j.ijpe.2022.108607.
Marcon, E., & Puech, F. (2010, septiembre). Measures of the geographic concentration of industries: improving distance-based methods. Journal of Economic Geography, 10(5), 745-762. https://doi.org/10.1093/jeg/lbp056
Marcon, E., & Puech, F. (2017, enero). A typology of distance-based measures of spatial concentration. Regional Science and Urban Economics, 62, 56-67.https://doi.org/10.1016/j.regsciurbeco.2016.10.004
Marcon, E., Traissac, S., Puech, F., & Lang, G. (2015). Tools to characterize point patterns: dbmss for R. Journal of Statistical Software, 67, 1-15. https://doi.org/10.18637/jss.v067.c03
Matus, M., & Carrillo, J. (2020). Will the Mexican auto parts maquilas be able to transit to I4.0? Paradigma económico. Revista de economía regional y sectorial, 12(2), 39-61. https://doi.org/10.36677/paradigmaeconomico.v12i2.14372
México se convierte en el primer exportador de autos a EE.UU. (2022, 6 de septiembre). Metalmecánica. https://www.metalmecanica.com/es/noticias/mexico-se-convierte-en-el-primer-exportador-de-autos-eeuu
Micheli Thirion, J. (2019). Cambio estructural en los estados especializados en producción automotriz de México, 1998-2013. Región y Sociedad, 31. https://doi.org/10.22198/rys2019/31/1110
Miles, I. D., Belousova, V., & Chichkanov, N. (2018), Knowledge intensive business services: ambiguities and continuities, Foresight, 20(1), 1-26. https://doi.org/10.1108/FS-10-2017-0058
Morales, R. (2023, 10 de febrero). México amplía su ventaja como proveedor automotriz de EU. El Economista. https://www.eleconomista.com.mx/empresas/Mexico-amplia-su-ventaja-como-proveedor-automotriz-de-EU-20230210-0007.html
Moreno-Brid, J. C. (2013, diciembre). Industrial Policy: A Missing Link in Mexico's Quest for Export-led Growth. Latin American Policy, 4(2), 216-237. https://doi.org/10.1111/lamp.12015
Norton, R. D. (1992). Agglomeration and competitiveness: from Marshall to Chinitz. Urban Studies, 29(2), 155-170. https://doi.org/10.1080/00420989220080241
Organización para la Cooperación y Desarrollo Económico. (2011). isic rev. 3 Technology Intensity Definition. Classification of manufacturing industries into categories based on RyD intensities. Directorate for Science, Technology and Industry. Economic Analysis and Statistics Division [Folleto]. https://web-archive.oecd.org/2012-06-14/94096-48350231.pdf
Peng, D., Li, R., Shen, C., & Wong, Z. (2022, septiembre). Industrial agglomeration, urban characteristics, and economic growth quality: The case of knowledge-intensive business services. International Review of Economics & Finance, 81, 18-28. https://doi.org/10.1016/j.iref.2022.05.001
Pérez Campuzano, E. (2021). Localización de empresas de servicios intensivos en conocimiento en la Zona Metropolitana del Valle de México. Investigaciones geográficas, (105). https://doi.org/10.14350/rig.60255
Piatanesi, B., & Arauzo-Carod, J. -M. (2019, septiembre). Backshoring and nearshoring: An overview. Growth and Change, 50(3), 806-823. https://doi.org/10.1111/grow.12316
Porto-Gomez, I., Zabala-Iturriagagoitia, J. M., & Leydesdorff, L. (2019, noviembre). Innovation systems in México: A matter of missing synergies. Technological Forecasting and Social Change, 148. https://doi.org/10.1016/j.techfore.2019.119721
Proost, S., & Thisse, J. F. (2019, septiembre). What can be learned from spatial economics? Journal of Economic Literature, 57(3), 575-643. https://doi.org/10.1257/jel.20181414
Pylak, K., & Majerek, D. (2014). Tracing regional economic evolutions. kis impact on growth. Procedia Economics and Finance, 14, 515-524. https://doi.org/10.1016/S2212-5671(14)00743-6
Rendón Rojas, L., Andrés Rosales, R., & Mejía Reyes, P. (2019). Shift-share espacial del empleo manufacturero municipal. Zonas Metropolitanas: Valle de México y Toluca, 2008-2013. Economía, Sociedad y Territorio, 19(59), 1213-1242. https://est.cmq.edu.mx/index.php/est/article/view/1248
Romero de Ávila Serrano, V. (2019). The Intrametropolitan geography of Knowledge-Intensive Business Services (kibs): A comparative analysis of six European and US city-regions. Economic Development Quarterly, 33(4), 279-295. https://doi.org/10.1177%2F0891242419875498
Rosenthal, S. S., & Strange, W. C. (2001, septiembre). The determinants of agglomeration. Journal of urban economics, 50(2), 191-229. https://doi.org/10.1006/juec.2001.2230
Rosenthal, S. S., & Strange, W. C. (2020, verano). How close is close? the spatial reach of agglomeration economies. Journal of Economic Perspectives, 34(3), 27-49. https://doi.org/10.1257/jep.34.3.27
Roth, F. (2020). Revisiting intangible capital and labour productivity growth, 2000-2015: Accounting for the crisis and economic recovery in the EU. Journal of Intellectual Capital, 21(5), 671-690. https://doi.org/10.1108/JIC-05-2019-0119
Santiago, L. E. (2020, junio). The industries of the future in Mexico: Local and non-local effects in the localization of "knowledge-intensive services". Growth and Change, 51(2): 584-606. https://doi.org/10.1111/grow.12368
Seclen Luna, J. P., & Moya Fernández, P. J. (2020). Exploring the relationship between kibs co-locations and the innovativeness of manufacturing firms in Latin America. Journal of Regional Research, (48), 69-84. https://doi.org/10.38191/iirr-jorr.20.021
Shearmur, R. (2012). The geography of intrametropolitan kibs innovation: Distinguishing agglomeration economies from innovation dynamics. Urban Studies, 49(11), 2331-2356. https://doi.org/10.1177/0042098011431281
Shearmur, R., & Alvergne, C. (2002). Intrametropolitan patterns of high-order business service location: A comparative study of seventeen sectors in Ile-de-France. Urban Studies39(7): 1143-1163. https://doi.org/10.1080/00420980220135536
Sisti, E., & Goena, A. Z. (2020). Panel analysis of the creation of new kibs in Spain: The role of manufacturing and regional innovation systems (ris). Investigaciones Regionales. Journal of Regional Research, 48, 37-50. https://doi.org/10.38191/iirr-jorr.20.019
Solis, E., Karimi, K., García, I., & Mohino, I. (2022). Knowledge Economy Clustering at the Intrametropolitan Level: Evidence from Madrid. Journal of the Knowledge Economy 13(2), 1268-1299. https://doi.org/10.1007/s13132-021-00748-3
Steijn, M. P., Koster, H. R., & Van Oort, F. G. (2022, julio). The dynamics of industry agglomeration: Evidence from 44 years of coagglomeration patterns. Journal of Urban Economics, 130. https://doi.org/10.1016/j.jue.2022.103456.
Trejo Nieto, A. (2013, septiembre-diciembre). Las economías de las zonas metropolitanas de México en los albores del siglo XXI. Estudios demográficos y urbanos, 28(3), 545-591. https://doi.org/10.24201/edu.v28i3.1447
Valdes García, D. E., & Jiménez Sánchez, P. L. (2021). Proceso de metropolización, dinámica económica y demográfica en la Zona Metropolitana de Toluca (zmt). En P. Wong González, J. E. Isaac Egurrola, E. R. Morales García de Alba, & A. Treviño Aldape. (Coords.), La dimensión global de las regiones y sus reconfiguraciones económicas y urbanas (Vol. II). Universidad Nacional Autónoma de México; Instituto de Investigaciones Económicas; Asociación Mexicana de Ciencias para el Desarrollo Regional. https://ru.iiec.unam.mx/5488/.
Valdivia López, M., Delgadillo Macías, J., & Galindo Pérez, C. (2010). Nuevos patrones espaciales en las derramas de empleo en la zona metropolitana de la Ciudad de México, Problemas del desarrollo. Revista Latinoamericana de Economía, 41(163), 99-117. https://doi.org/10.22201/iiec.20078951e.2010.163.23507
Vendrell-Herrero, F. V., Lafuente, E., y Vaillant, Y. (2020). Territorial servitization: Conceptualization, quantification and research agenda, Investigaciones Regionales. Journal of Regional Research, (48), 5-15. https://doi.org/10.38191/iirr-jorr.20.017.
Vendrell-Herrero, F., & Wilson, J. R. (2017). Servitization for territorial competitiveness: Taxonomy and research agenda. Competitiveness Review, 27(1), 2-11. https://doi.org/10.1108/CR-02-2016-0005
Vilchis Mata, I., Chávez Soto, T., Garrocho Rangel, C. F. (2022), Dimensión económica-espacial del empleo en sectores intensivos en uso del conocimiento: Red-Bajío, México, 2015-2020. Estudios de Economía Aplicada. 40(1), 1-19. https://doi.org/10.25115/eea.v40i1.5335
Wood, P. (2006, septiembre). Urban development and knowledge-intensive business services: Too many unanswered questions? Growth and Change, 37(3), 335-361. https://doi.org/10.1111/j.1468-2257.2006.00327.x
Wood, P. (2009). Service competitiveness and urban innovation policies in the UK: the implications of the 'London paradox'. Regional Studies, 43(8), 1047-1059. https://doi.org/10.1080/00343400801968437
Wyrwich, M. (2019). New kibs on the bloc: the role of local manufacturing for start-up activity in knowledge-intensive business services. Regional Studies, 53(3), 320-329. https://doi.org/10.1080/00343404.2018.1478076
Yum, S. (2019). The interaction between knowledge-intensive business services and urban economy. The Annals of Regional Science, 63(1), 53-83. https://doi.org/10.1007/s00168-019-00920-3
Zenka, J., Slach, O., & Ivan, I. (2020). Spatial patterns of knowledge-intensive business services in cities of various sizes, morphologies and economies. Sustainability, 12(5). https://doi.org/10.3390/su12051845
Zieba, M. (2021). kibs companies and their importance for economy and innovation. En M. Zieba, Understanding Knowledge-Intensive Business Services (Vol. 10, pp. 91-121). Springer, Cham. https://doi.org/10.1007/978-3-030-75618-5_4
Zozaya, J. (2023, 5 de septiembre). Industria automotriz, principal impulsor de las exportaciones de México... cada vez más. Forbes México. https://www.forbes.com.mx/la-industria-automotriz-principal-impulsor-de-las-exportaciones-de-mexico/#:~:text=Otro%20punto%20que%20reconocer%20es,31.0%25%20de%20las%20exportaciones%20totales
Notas