Artículo científico

Recepción: 02 Noviembre 2023
Aprobación: 02 Noviembre 2024
Publicación: 30 Noviembre 2025
DOI: https://doi.org/10.24215/23143738e174
Abstract:
This study analyses companies that left the IBEX-35 index between 2011 and 2020, assessing how the possible ambiguity of the “Comisión Nacional del Mercado de Valores” (CNMV) – the Spanish Securities and Exchange Commission–, in the “Principio 11” – Principle 11– of their “Código de Buen Gobierno de las Sociedades Cotizadas” (CBGC) – Good Governance Code of Listed Companies–, might explain the overrepresentation of independent directors and the decline in their stock prices. The research uses a matrix (Castillo, 2017) that classifies companies based on their compliance with the proportionality principle and the recommendation to have a majority of independent directors.
The results reveal that “rushed” restructurings, completed in less than a year to comply with the CBGC, are negatively perceived by investors, leading to stock price declines. In contrast, slower and more "thought through" restructurings tend to generate positive market responses.
These findings are relevant for good Corporate Governance as they emphasize the need to implement changes to the board's composition gradually and strategically, avoiding negative market reactions. Moreover, they highlight the potential impact of ambiguous regulatory interpretations on the stability of publicly listed companies.
Keywords: Corporate governance, independent directors, Good Governance Code of Listed Companies (CBGC), IBEX-35, Share Price.
Resumen:
Este estudio analiza empresas que salieron del índice IBEX-35 entre 2011 y 2020, evaluando cómo la posible ambigüedad del Principio 11 del "Código de Buen Gobierno de las Sociedades Cotizadas" (CBGC), emitido por la “Comisión Nacional del Mercado de Valores” (CNMV), podría explicar la sobrerrepresentación de consejeros independientes y la caída en los precios de sus acciones. La investigación utiliza una matriz (Castillo, 2017) que clasifica a las empresas según su grado de cumplimiento con el principio de proporcionalidad y la recomendación de tener una mayoría de consejeros independientes.
Los resultados revelan que las reestructuraciones “apresuradas”, completadas en menos de un año, a fin de cumplir con el CBGC son percibidas de manera negativa por los inversores, lo que provoca caídas en los precios de las acciones. En cambio, las reestructuraciones más lentas y “meditadas” tienden a generar respuestas positivas en el mercado.
Estos hallazgos son relevantes para el buen Gobierno Corporativo, ya que enfatizan la necesidad de realizar cambios en la composición de los consejeros de manera gradual y estratégica, evitando respuestas negativas del mercado. Además, destacan el impacto potencial de una interpretación ambigua de las normativas sobre la estabilidad de las empresas cotizadas.
Palabras clave: Código de Buen Gobierno de las Sociedades Cotizadas (CBGC), consejeros independientes, gobierno corporativo, IBEX-35, precio de las acciones.
Introduction
The growing global demand from both public opinion and legislation for companies to report not only their financial results but also non-financial information has provided researchers with valuable data. This has allowed researchers to identify correlations in areas of business management that have traditionally been overlooked. This academic research could contribute to promoting better corporate governance.
This paper analyses companies that fell out from the IBEX-35 index of the Madrid stock exchange between 2011 and 2020, aiming to address the following research question: To what extent does the ambiguity in the formulation of criteria and recommendations by the Spanish Securities and Exchange Commission (Comisión Nacional del Mercado de Valores [CNMV]) in their Good Governance Code of Listed Companies (CBGC) explains the oversizing of independent directors and the correlative decline in share prices observed in companies delisted from the IBEX-35 during the period studied?
The CNMV’s 2015 Good Governance Code of Listed Companies (CBGC) establishes a set of “best practices”. However, Principle 11 of the CBCG makes an ambiguous and logically inconsistent recommendation. Principle 11 suggests that what is undoubtedly a “necessary condition”—an appropriately structured board with an optimal number of independent directors—could be misunderstood as a “sufficient condition” for business success, overlooking other crucial factors.
The principle advises maintaining a balanced board composition in line with proportionality between free float and stable core capital, while also recommending a majority of independent directors. This inconsistency, the paper argues, may lead companies to believe that merely following these recommendations guarantees success, though many companies excluded from the IBEX-35 complied with these guidelines but still performed poorly. This study hypothesises that the conflicting criteria contribute to the mistaken belief that a necessary condition is sufficient for success.
Theoretical framework
Over recent decades, there has been a growing concern for good governance in listed companies at international level, both from the academic literature and from regulators. This has led to numerous legislative initiatives, as well as codes and best practice recommendations to improve corporate governance.
In the UK, The Cadbury Report, a committee comprising the Financial Reporting Council, the London Stock Exchange, and the accountancy profession, was set up in 1991 to look at the financial and control aspects of companies. It dealt with such significant issues as the organisation and liability of directors, the rights and obligations of shareholders, and the regulation of audits and the accountancy profession. The code was introduced in May 1992 by the Committee chaired by Sir Adrian Cadbury on the financial aspects of corporate governance. The Cadbury Report sets out key ethical values for improving corporate governance in listed companies: Trust is essential for a company's longevity, as it reduces coordination costs, enhances cooperation, mitigates risks, and boosts competitiveness. Openness is vital, with decisions and actions needing to be transparent and truthful, ensuring proper reporting to members and shareholders to build trust. Integrity requires honest financial reporting that accurately reflects the business's state, guiding all company actions. Responsibility must be clearly defined for those involved in corporate governance, avoiding ambiguity. Dialogue is crucial for maintaining effective communication both within the company and with external stakeholders. Transparency ensures that the information provided by the Board and audits is clear and accessible, allowing accurate market assessments. Lastly, clarity in the information shared by the Board, auditors, and Chief Compliance Officer benefits users and society by being understandable and detailed (Cadbury Committee, 1992).
In the United States, the Sarbanes-Oxley Act (SOX), passed in July 2002, seeks to enhance shareholder protection through strict measures affecting various actors in the public corporate markets. The Law significantly influences the behaviour of boards of directors, managers, investment banks, financial analysts, auditors and information systems. The responsibilities of those involved in listed companies in the North American market are made more explicit, accompanied by greater monitoring, and they are significantly penalised when they are breached. The Act focuses on several key areas: improving the quality and transparency of public information, particularly in corporate governance and ethical conduct. It strengthens corporate governance responsibilities, with higher expectations for ethical behaviour and the management of confidential information. Supervision and enforcement are increased in listed markets, along with harsher penalties for non-compliance. Additionally, there are stricter requirements for auditor independence. Section 301 emphasizes that audit committee members must be independent directors, as stated in the SOX Act of 2002 (SOX, 2002).
The Organisation for Economic Co-operation and Development (OECD) and the G20, in their Corporate Governance Principles of 8 July 2015, revised on 8 June 2023, highlight the importance of their recommendations. This guidance helps policymakers to assess and improve the legal, regulatory and institutional framework for corporate governance.
The aim is to foster confidence and market integrity, as well as to promote economic efficiency, sustainable growth and financial stability (Organización para la Cooperación y el Desarrollo Económicos [OCDE], 2024). In its latest revision of 2024, it highlights in section V.E.1. "The board of directors should consider assigning a sufficient number of independent directors, with the ability to make independent judgements on tasks where there is a potential conflict of interest." (OCDE, 2024, p. 49).
In Argentina, the “Comisión Nacional de Valores” (CNV) – their National Securities Commission–, in its Corporate Governance Code, establishes that the Board of Directors is the central body of the company's governance framework. It is essential to ensure the implementation of all components of good corporate governance, such as the control environment, transparency and disclosure practices, and the protection of minority shareholders (CNV, 2020).
Argentina is currently aspiring to become a member of the OECD, which makes the OECD-G20 Principles particularly important for the country's corporate governance. Section 11 of the Corporate Governance Code states that the Board, when suggesting candidates to the Assembly, should seek a balance between executive, non-executive and independent members, to combine objectivity and knowledge of the business for the benefit of the decision-making process. Regarding independent directors, "the board must have at least two members who possess this characteristic." (CNV, 2020, p. 29)
In Spain, the area on which the research will focus, there have been interesting milestones in the process over the last 30 years. These have been the Olivencia Code (Fernández Fernández , 1999), the Aldama Code, the Conthe Code, and the current Good Governance Code for Listed Companies (CBGC), drawn up in 2015 (CNMV, 2015) and revised in June 2020 by the Spanish regulator, the National Securities Market Commission (CNMV), on which it will focus this study (CNMV, 2020).
Minority shareholder representation on the board
Given that the board of directors plays a crucial role in corporate governance, its composition must be aligned with its main functions: oversight, monitoring, preventing executive opportunism, and advising decision-makers to improve corporate governance. Researchers have explored whether the size and composition of the board affect business performance. In this regard, Guest argues that the size of the board of directors has a strong negative impact on profitability, as problems related to poor communication and decision-making undermine the effectiveness of large companies (Guest, 2009). On the other hand, in terms of board functioning, independence correlates negatively with company performance, suggesting that independent directors experience an information deficit (compared to affiliated directors) (Cavaco et al., 2017). According to Merendino and Melville, business performance does not necessarily improve by having a high number of independent directors on the board (Merendino & Melville, 2019). Hwa-Hsien Hsu and Chloe Yu-Hsuan Wu argue that despite the widespread belief among regulators that a higher proportion of independent directors on a board is good for governance, little is known regarding whether the increased focus on board independence is able to prevent corporate failure in the current corporate governance framework (Hsu & Yu-Hsuan Wu, 2014). For Tejerina-Gaite and Fernández-Temprano, longer board tenure is associated with higher performance levels only in the case of independent and other directors (Tejerina-Gaite & Fernández-Temprano, 2020). In cases where there is a concentration of power, the independent director can hardly be an optimal control mechanism to resolve agency problems (Agrawal & Knoeber, 1996).
The CNMV's Code of Good Governance of Listed Companies (CNMV, 2020) sets out a series of good corporate governance practices, the purpose of which is to ensure that these companies are managed in an appropriate and transparent manner as a means of increasing the generation of business value. As mentioned above, in the “Principio 11” – Principle 11– of the Code makes explicit recommendations as to what is considered to be a good composition of the Board. In this regard, it says: "The Board of Directors shall have a balanced composition, with an ample majority of non-executive directors and an appropriate proportion between proprietary and independent directors, the latter representing, in general, at least half of the directors [emphasis added]" (CNMV, 2020, p. 27). Then, in Principle 11, the following recommendation is added:
In accordance with the principle of proportionality [emphasis added] between shareholding and representation on the board of directors, the ratio between proprietary directors and independent directors should reflect the ratio between the percentage of capital represented on the board of directors by proprietary directors and the rest of the capital [emphasis added]. (CNMV, 2020, p. 27)
It then clarifies that "this proportional principle is not, however, an exact mathematical rule, but an approximate rule whose aim is to ensure that independent directors have sufficient weight on the board of directors" (CNMV, 2020, p. 27).
Research questions, hypothesis and objective
This study, based on the wording of the current Code (CBGC), ponders whether the structure and composition of the boards of directors of companies listed on the selective index of the Madrid stock exchange, IBEX-35, could be proving inefficient for some of them, due to a certain ambiguity and inconsistency in the formulation of the Code's principles and recommendations. This circumstance, perhaps the result of an abstract and imprecise formulation by the regulator, could in fact be giving rise to a misinterpretation by companies, resulting in an excessive presence of independent directors, who are over-represented on boards of directors.
Therefore, the research questions this study would like to try to answer could be formulated as follows:
Linked to the questions is the objective of conducting a critical analysis of Principle 11 to propose an improvement in the clarification of the criteria. It seeks to assess the effectiveness of the principle in the composition of the board, as well as its relationship with companies’ economic performance. The possibility of using what will be called "proportionalism" and/or "percentageism" will be explored as clarification proposals to undo the ambiguity of the criteria and thus improve the implementation of Principle 11 for a more robust and efficient Corporate Governance.
A novel approach will be taken to address the object of study, with the aim of delving into certain aspects that have not yet been sufficiently taken into consideration in the literature on corporate governance or in the literature on anticipating and preventing the occurrence of corporate crises. The correlation between the observable structural changes in the Boards of Directors that affected independent directors and the extent to which this is connected to the subsequent delisting of the company from the IBEX-35 index of the Spanish stock exchange will be specifically analysed.
As mentioned above, the academic literature, as well as certain proposals from regulators, tend to highlight the importance of board structure in anticipating, among other things, agency problems. Consequently, as in the case that serves as a starting point and that will guide the research throughout this paper, the implementation of certain measures to minimise them is suggested. Among them, the aforementioned Principle 11 of the CBGC, which serves as a starting point for this study, recommends, on the one hand, structuring the Board proportionally between the free float and the capital that represents the stable core of the company's ownership. Moreover, the same code recommends that independent directors should constitute an absolute majority of the total number of board members. However, abiding by what was said in the Olivencia Code at the time, it should be understood that the independent director's primary mission is to "assert on the board the interests of the free float” (CNMV, 2015), thus, counterbalancing those of the stable capital which, moreover, would constitute the financial core of the company.
In this regard, the Instituto de Consejeros-Administradores - Asociación consejeros de España ICA, in its "Institutional Declaration" of 26 May 2021, states the following: "To have more representation, you need to acquire more capital" (ICA, 2021, p. 1). Furthermore, the ICA adds that
there is a deep-rooted custom (although more typical of the Middle Ages) in some shareholders of 'proposing/placing' their 'independents', which, in addition to being bad corporate governance, once again shows that conflicts of interest and their management are a pending issue in the Spanish market. This leads to over-representation. (ICA, 2021, p. 1)
This takes to the following hypothesis: the ambiguity in Principle 11 of the CBGC contributes to the over-representation of independent directors, which has a negative impact on the share price under certain conditions.
The results of this study could lead to further lines of research, applied to other countries and contexts. The ultimate objective guiding us, in any case, is to provide a complementary perspective to the mainstream literature on Corporate Governance, to try to contribute to a better understanding of the phenomenon of Corporate Governance and suggest designs for more responsible and sustainable ways of carrying out business strategy in a global world.
The identification of this paradoxical circumstance in the Spanish financial context, together with the authors desire to contribute to proposing more effective criteria for structuring boards and thus strengthen the corporate governance of listed companies in Spain, is the intellectual stimulus that has given rise to this research work.
Methodology
To carry out this seminal work, framed within a broader line of research, an empirical-quantitative methodology has been used. The study analyses Spanish companies excluded from the IBEX-35 over the ten fiscal years spanning from 2011 to 2020, inclusive. The processed data were provided by the Spanish Stock Exchanges and Markets (Bolsas y Mercados Españoles [BME]), along with Corporate Governance reports, which, especially starting in 2015—the date of the CBGC—are submitted by the listed companies to the CNMV. For the years prior to 2015, the four reports prepared at the time by IESE and Inforpress were used (IESE-Inforpress, 2011, 2012, 2013, 2014).
For analytical purposes, the following procedure was followed: a matrix was created for each of the values that were analysed, representing the percentage of independent directors on the y-axis and the percentage of free float on the x-axis. The diagonal will define the proportionality referred to in Principle 11 of the Corporate Governance Code.
Graph of "At least half" of independent directors of Principle 11
To graphically represent this recommendation of Principle 11, four categories were defined. The x-axis of the figure shows the concentration of ownership of the company; the y-axis of the figure shows the percentage of independent directors. A matrix with four quadrants emerges from the intersection of the two axes:

Taking the above figure as a starting point, a diagonal line in the matrix graphically represents what is called the Principle of Proportionality, superimposing it on the criterion indicated in Principle 11 of the CBGC in question.
This represents the Principle of Proportionality referred to in Principle 11, as well as its second legal criterion recommended by the same principle.

Figure 2 shows four possible zones, i.e. Z1, Z2, Z3, Z4, in whose topology the company can locate its Board of Directors, as recommended by Principle 11 of the Spanish CBGC:
Z1 (horizontal lines) complies with the Principle of Proportionality in representation, but not with the suggestion of having an absolute majority of independents.
Z2 (dotted) both recommendations of Principle 11 are met.
Z3 (grid) none of the recommendations are met.
Z4 (vertical lines) partially complies with the recommendation regarding the Principle of Proportionality and, at the same time, also complies with the presence of an absolute majority of independent directors.
Development: structural adaptations of boards during the years 2011-2020
This section intends to show how the evolution studied has been taking place from 2011 to 2020 in a graphic way, considering the milestone of the appearance of the CBGC with the recommendations and the drafting of Principle 11, which is the subject of this work.
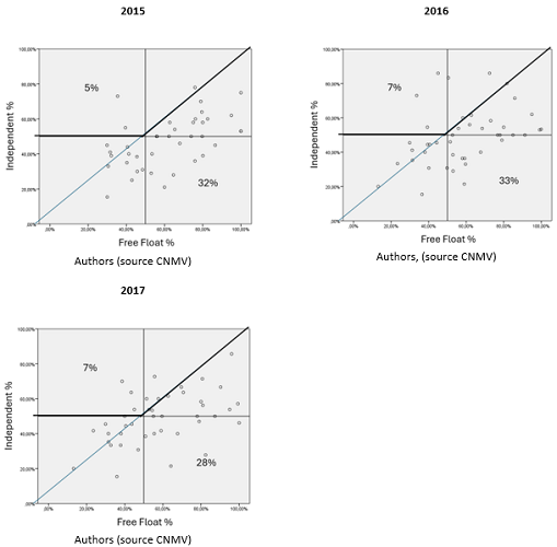
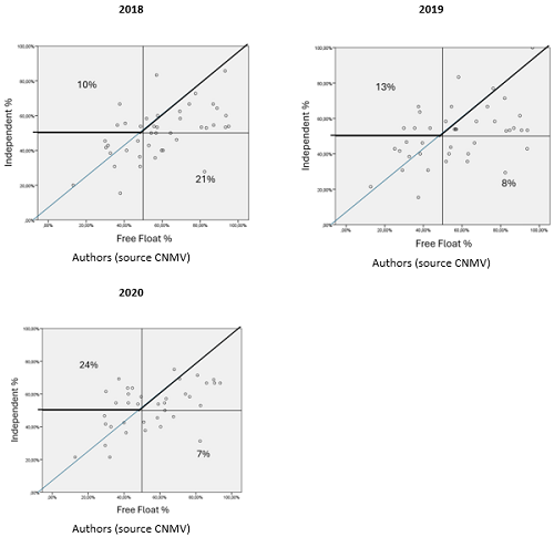
In Figures 3 and 4, ten matrices are described below, one for each of the years under analysis, and these should be understood according to the parameters described above in Figures 1 and 2: the percentage of free float is plotted on the x-axis and the presence of independent directors is plotted on the y-axis. With the diagonal whose origin is placed at the zero point; and by reference to the four quadrants of the areas C-1, C-2, C-3 and C-4, the points that represent each year of each of the listed companies for which information was obtained are placed. As indicated above, from 2015 onwards, the analysis was based on the primary source of information that the companies themselves provide to the CNMV on their corporate governance. The information for the previous years, was obtained by the reports produced by IESE-Inforpress, complemented in any case by additional research on the authors part —in the case of the estimation of free float—based on the official websites of the companies in question.
Overall, comparing the ten matrices that illustrate the correlation between free float and the presence of independent directors on the boards of IBEX-35 companies, it is striking how there has been a shift from situations in which the corporate governance of the companies studied was structured below what the principle of proportionality would require with respect to the presence of independent directors, to the point where in the 2020 financial year, 24% of companies were identified in the quadrant that contemplates the "double legality"—proportionality and majority—induced by the ambiguous wording of Principle 11 of the CBGC.



As of 2018, the concept of 'Percentage' has prevailed in Board structures. The highest concentration of these structures is found in Quadrant C2, where the free float is equal to or less than 50 % and independent directors exceed 50 %.
Over the next three years (2018, 2019 and 2020), this concentration increased from 7 % in 2017 to 24 % in 2020 in the quadrant that displays 'dual legality' (proportionality and majority), induced from the ambiguous wording of Principle 11 of the CBGC.

Chart- Summary of the structure of IBEX-35 Boards of Directors in relation to company ownership between the years 2011-2020 inclusive, Source: Authors, using SPSS - IBM software, based on the data available in the corresponding editions of the Annual Corporate Governance Report. For the years 2011-2014 the information is from IESE-Inforpress.
Companies delisted from the ibex-35 index
As indicated above, and in line with the interpretative framework provided by the previous figures, it’s now proceeded to analyse the companies that have delisted from the selective IBEX-35 index of the Madrid stock exchange between 2011 and 2020. The graph of the matrix for each of the stocks under study is shown, once again, with the percentage of independent directors on the y-axis and free float on the x-axis. The diagonal defines the proportionality referred to in Principle 11 of the CBGC Code of Corporate Governance.
Abengoa

Abengoa left the selective index of the Madrid stock exchange on 27 November 2015. The output, as shown in Figure 5, is through what was called zone -Z3- according to the authors topological scheme (Figure 5). This means that Abengoa was below the 50 % percentage recommended by the new code.

It can be seen how in the years prior to its delisting from the IBEX-35, the company had made a great variation in its structure, changing from a stable C1 between the years 2011-2014, to a C3 in 2015; from there it moved in 2016 to be framed in the C2 quadrant - with a striking increase in independent directors. To end with slight fluctuations in the topological domain of C4.
Impact on share prices (Figure 6):
Prior to exclusion: Abengoa's share price experienced significant volatility in the years prior to its delisting from the IBEX-35.
During exclusion: Share prices continued to be volatile, with significant declines throughout 2015.
Post-exclusion: The share price has shown a downward trend.
Case analysis:
The Board of Directors plays a crucial role in making strategic decisions that affect the performance and value of a company. In the case of Abengoa, while it is difficult to isolate the exclusive impact of the board restructuring on the plunge of its shares, the significant changes in its structure—from C3 to C2 between 2015 and 2016, and from C2 to C4 between 2016 and 2017—may be indicative of financial problems. These structural changes may also have contributed to the negative market perception. This assumption is supported by the steep decline in share prices between 2015 and 2017.
Abertis


Abertis leaves the IBEX-35 on 9 May 2018, as a result of a takeover bid by ACS. At the time of its delisting from the selective index of the Madrid stock exchange, Abertis had a free float of 57.63 % and a percentage of independent directors of 60.00 % (BME, 2023).
To draw consistent with the conclusions of the analysis, this company will not be considered because, as said, it disappeared from the stock market, having been acquired through a takeover bid. However, it is in any case interesting to note that at the time it was acquired it had an optimal board structure in terms of both proportionality and percentage. In this sense, it is suggested that the advisability of investigating whether among the purchasing decisions of the acquiring company—and beyond synergies or obvious financial reasons—the objective fact that Abertis had an optimal board structure at the time of its acquisition should also be considered. However, this was not the case in previous years, when the number of independent directors based on free float did not meet either the recommendations of the previous code (proportionality) or those of the new code (which called for a percentage of independent directors of more than 50 % of the total number of board members. %). Finally, the output is produced by Z2 very close to the diagonal as shown in Figure 7.
Impact on share prices (Figure 8):
Prior to exclusion: Abertis' share price experienced an upward trend prior to its exclusion from the IBEX-35.
During exclusion: The share price experienced a slight decline.
Post-exclusion: Share prices have shown a stable trend.
Case analysis:
The structure of the Abertis Board of Directors underwent a clear adaptation, moving from a C3 (low representation of independent directors both in proportion and percentage) towards the "dual legality" zone between 2015 and 2018. This improvement was well perceived by the market, consolidating in positive territory, with minor fluctuations during 2016-2017, and a sustained positive trend in 2017-2018. The takeover bid and the restructuring of the Board of Directors towards the "dual legality" zone were seen as a programmatic process, which had a minimal impact on the share price.
Bankia

Bankia was delisted from the IBEX-35 on 2 January 2013. At that date the company had a free float of 48.93% and a percentage of independent directors of 80.00 % (BME, 2023).
As can be seen in figure 9, while in 2011 the representation of independent directors was below the recommendations of the code then in force, in the following years there was a very significant change in the structure of the board due to reasons perhaps connected to the fact of having to become a bank. It should be recalled that, prior to this, Bankia had a non-capitalist corporate form: it was one of the so-called 'Cajas de Ahorros', a social economy financial institution specific to Spanish law that did not have counterparts in all countries.

Figure 9. shows how, as from 2012, the number of independent directors on the board of directors has shot up. As a result, there is such an obvious oversizing that it leads to wonder whether they might not have wanted to resolve the crisis they were trying to get out of—in the context of a bank restructuring, undertaken at the time by the Spanish government—by drastically restructuring the composition of the board. Finally, the output is produced by Z2.
Impact on share price (Figure 10):
Prior to exclusion: Bankia's share price plummeted sharply.
During exclusion: Stock prices continued their general downward trend.
Post-exclusion: Stock prices have not shown a recovery.
Case analysis:
During the period 2011-2012, there was an abrupt change in the structure of Bankia's Board of Directors, from C1, with little representation of independent directors, to C2, a "dual legality zone". This abrupt movement may have contributed to a negative perception of the company's situation. The restructuring of the Board of Directors failed to generate the necessary confidence among investors, which contributed to the collapse of its shares.
DIA

DIA left the selective index on 24/12/2018, with a Free Float percentage of 69.27 % and a percentage of independent directors of 62.50 % (BME, 2023).
The delisting was the effect of a takeover bid. It is clear from the figure that the company had a high free float in the years prior to the takeover bid. That in the fiscal years 2012, 2013 and 2015 it did not meet the proportionality criterion recommended in the code then in force. That in 2015 and 2016 there was a change in the structure resulting in an optimal composition in terms of independent members, both in terms of proportionality and the higher percentage of 50 % recommended in the new code. In 2017 and 2018, a readjustment manoeuvre took place: a reduction in free float was matched by a parallel reduction in the number of independent directors, although this would comply with the criteria of the new code, which recommends more than 50 % in the structure of the board. The year 2019 reflects a considerable reduction in free float and is in what is called the "Z1" zone, where it does not meet the percentage recommendation of over 50 % but does meet the criterion of proportionality in terms of free float. Finally, the output occurs at Z4 (Figure 11).

Impact on share prices (Figure 12):
Prior to exclusion: DIA's share price in the year prior to delisting experienced significant volatility.
During exclusion: Stock prices continued a sharp general downward trend.
Post-exclusion: The share price has remained at low levels similar to those at delisting.
Case analysis:
Until mid-2017, DIA's share value remained reasonably stable, with only a few fluctuations despite the decline in its free float during 2016-2017, when it experienced a sharp turnaround from a robust C4 structure to the edge of C2. However, in mid-2017, the stock began to plummet, coinciding with an unclear move to increase the free float and the subsequent switch to Z3. During 2018-2019, another abrupt change in the structure of the Board of Directors led to a further fall in the share price. It can be argued that successive restructurings of the Board of Directors failed to generate the necessary confidence among investors, thereby contributing to the share price collapse.
ENCE


The company ENCE left the selective on 21/09/2020, with a free float of 54.75 % and a percentage of independent directors of 38.46 % (BME, 2023).
As can be seen in figure 7.a., between 2015 and 2021, when it forms part of the selective list, the number of independent directors is not sufficient in any case, whether the criterion of proportionality of independent directors based on free float is considered, or the criterion that was already in force from 2016, when the new code came into force, which recommends a percentage of more than 50 % of independent directors in the structure of the board. Finally, the output is produced by Z3.
Impact on share prices (Figure 14):
Prior to exclusion: ENCE's share price experienced a downward trend and volatility in the years prior to its delisting from the IBEX-35.
During exclusion: Share prices continued to be volatile during the delisting process, with a general downward trend.
Post-exclusion: The share price has shown a recovery trend since the exclusion, with some ups and downs.
Case analysis:
As there were no significant changes in ENCE's structure, share price volatility cannot be attributed to these changes. It is likely that, since mid-2018, the downturn has been the consequence of multiple factors, resulting from a combination of internal and external elements that negatively affected the company and the sector in general.
Mediaset

MEDIASET left the selective market on 22/06/2020, with a free float of 42.40 % and a percentage of independent directors of 60.00 (BME, 2023).
During the years 2012 to 2019, the company had a structure in which the number of independent directors was lower than the number considered desirable both from the proportionality criterion and from the recommendation that the number of independent directors should be higher than 50 % of the total board. It is striking in Figure 8.a. that in the year 2020, when it leaves the selective list, a very significant structural modification had taken place: the number of independent directors was increased in accordance with the proportionality criterion as to the percentage of more than 50 %. However, this did not prevent MEDIASET's delisting from the selective market. Finally, the output is produced by Z2.

Impact on share price (Figure 16):
Prior to exclusion: MEDIASET's share price experienced a downward trend in the years prior to its delisting from the IBEX-35.
During exclusion: Stock prices continued to be volatile with a general downward trend.
Post-exclusion: Stock prices have shown some ups and downs with no clear trend towards recovery.
Case analysis:
The abrupt restructuring of MEDIASET's board from Z3 to Z2 for the period 2019-2020 failed to generate the necessary confidence among investors. This was reflected in the plummeting stock prices during this period and in the following months, despite being in the "dual legality" zone.
Analysis of the results obtained:

See Table 1. Of the exits of companies from the Spanish selective index during the period following the implementation of what is called "double legality", with the effect of the new Code of Good Corporate Governance "percentage": 0 % for Z1; 50 % (3) companies via Z2; 33.3 % (2) companies via Z4; and 16.7 % (1) companies via Z3.
In principle, this leads to think that the most likely exit zone for companies, based on their structural movements of the Board of Directors and Free Float, is the Z2 or "Dual Legality" zone.
See Table 2. Abrupt changes in the "Independent Directors - Free Float" structure, i.e. changes of less than one year and movements into "Dual Legality" zones are perceived as a sign of distrust by investors.

As can be seen in the table, losses for "rushed" restructurings towards Z2, the "Dual Legality" zone ranged from 20 to 93 %, in the period of less than one year for 50 % of the companies.
See in table 3. When the restructuring "Independent Directors - Free Float", "is slow", with indications of a long-term strategy, in which the period is longer than one year, the market perceives it favourably.

As can be seen in the table, the gains for these "intended" restructurings, towards Z4 and Z3, where the principle of "Dual Legality" is NOT met, ranged from 7 to 43 %, for 33 % of the companies.
See in table 4. If the restructuring is "hasty" but also moves away from the "Dual Legality" zone in the opposite direction—as is the case in the Z3 zone—then the market perceives this as a sign of distrust and losses in the value of the shares occur.

As can be seen in the table, the losses for these "hasty" restructurings, within one year, to Z3, where the principle of "Dual Legality" is NOT met, was 84.5 %.
Preliminary conclusion:
1. From the above, it can be concluded that, while the presence of independent directors is a necessary condition for economic and financial success, it is not sufficient on its own. Their presence does not guarantee inclusion among the top companies on a stock exchange, nor does it ensure the company's long-term viability in the market. In other words, independent directors are an essential component of good corporate governance, but they must be complemented by other factors to ensure sustained economic and financial success.
2. "Rushed: less than one year" restructurings from Z3 to Z2 are perceived by investors as negative, which is reflected in share price losses (Figure 17).

3. Restructurings "thought through: more than one year" from Z3 to Z4 are perceived by investors as positive, which is reflected in an increase in the share price (Figure 18).

4. "Rushed: less than one year" restructurings from Z4 to Z3 are perceived by investors as negative, which is reflected in share price losses (Figure 19).

In summary, increasing the number of independent directors on its own does not guarantee better management or an improvement in share price, especially when the company's core issues are not related to corporate governance. These issues may instead stem from challenges such as flaws in the business model, capital structure, poor business culture, lack of competitiveness, or failure to anticipate foreseeable scenarios that disrupt organisational dynamics. Each case requires a specific diagnosis based on the company's unique circumstances. After such an analysis, appropriate measures should be implemented to institutionalize good governance.
Discussions, results and conclusions
One key finding of this research is the growing tendency to structure boards of directors with an increasing number of independent members, a trend supported by international corporate governance recommendations. While an appropriate organisational structure and a balanced, competent board, organized into efficient committees, are undeniably a necessary condition for sustainable business management, this alone does not guarantee success.
Guest argues that larger boards tend to negatively impact profitability due to communication and decision-making inefficiencies. Similarly, Cavaco et al. suggest that board independence may correlate negatively with company performance, as independent directors often face an information gap compared to affiliated directors. Merendino and Melville (2019) echo this, noting that a higher number of independent directors does not necessarily improve business performance. Hwa-Hsien Hsu and Chloe Yu-Hsuan Wu (2014) add that despite the belief in the value of board independence, little is known about its ability to prevent corporate failure under the current governance framework. Furthermore, Tejerina-Gaite and Fernández-Temprano (2020) find that longer board tenure enhances performance only for independent and affiliated directors, while Agrawal and Knoeber (1996) argue that in cases of concentrated power, independent directors are often ineffective as a control mechanism.
Beyond corporate governance, several other factors are critical for success, such as a clear strategic purpose, a well-designed business model, an optimal capital structure, a strong corporate culture open to innovation, efficient leadership, and motivated teams. Simply increasing the number of independent directors or adopting a standardised board structure does not automatically ensure long-term sustainability or the achievement of management objectives.
The presented case of companies that left the IBEX-35 index between 2011 and 2020 illustrates this point. As shown in the 4. METHODOLOGY section, a matrix was created to analyse each company, mapping the percentage of independent directors against the percentage of free float. Principle 11 of the Good Governance Code of Listed Companies (CBGC) calls for a majority of independent directors, recommending at least half of the board. However, the recommendation to apply proportionality between shareholding and the presence of proprietary and independent directors is often viewed negatively by investors in cases of rushed restructuring, reflected in falling share prices.
Overall, the evidence suggests that poor performance cannot always be attributed to board structure or corporate governance issues alone. In cases like Dia, where delisting occurred despite efforts to restructure the board within a year, the swift changes failed to reverse share price declines, reinforcing the idea that other factors beyond corporate governance play a crucial role in company performance.
Recommendations for improvement in corporate governance
This study concludes with recommendations to strengthen corporate governance in listed Spanish companies, particularly addressing ambiguities in Principle 11 of the Good Governance Code of Listed Companies (CBGC). The code suggests two conflicting criteria: proportionality based on free float and having over 50 % of independent directors on the board. Since the CBGC's implementation, the number of independent directors has increased, but this alone does not guarantee business success. In fact, it may obscure deeper strategic issues. Independent directors are a necessary but insufficient condition for good governance and confusing this distinction can have negative practical outcomes.
The study recommends consideration by the Spanish Securities and Exchange Commission (CNMV) in clarifying and simplifying Principle 11 of their Good Governance Code of Listed Companies (CBGC), to avoid misinterpretations.
It also suggests that companies reassess their board structures based on real needs and strategies. Independent directors must operate with professionalism and ethics to be effective. For effective governance, companies with a free float below 50 % should prioritise proportionality over a majority of independent directors.
Additionally, future research should explore the relationship between independent directors and company performance across countries, and the reasoning behind governance recommendations. A further line of investigation could examine whether companies that have experienced stock price increases in recent years actually have a majority composition of independent members on their boards. This study provides valuable insights for strategy and governance consultants to help companies improve their management practices, emphasising that compliance alone does not guarantee business success.
References
Agrawal, A. y Knoeber, C. R. (1996). Firm Performance and Mechanisms to Control Agency Problems between Managers and Shareholders. The Journal of Financial and Quantitative Analysis, 31(3), 377-397. https://doi.org/10.2307/2331397
Cadbury Committee. (1992). Report of the Committee on the Financial Aspects of Corporate Governance. Gee Publishing.
Castillo, O. J. (2017). IBEX-35: Consejos, ética y análisis de riesgo. Osvaldo Jorge Castillo.
Cavaco, S., Crifo, P., Rebérioux, A. y Roudaut, G. (2017). Independent directors: Less informed but better selected than affiliated board members? Journal of Corporate Finance, (43), 106-121. https://doi.org/10.1016/j.jcorpfin.2017.01.004
Fernández Fernández, J. L. (1999). Ethics and the Board of Directors in Spain: The Olivencia Code of Good Governance. Journal of Business Ethics, (22), 233–247. https://doi.org/10.1023/A:1006290615353
Guest, P. M. (2009). The impact of board size on firm performance: evidence from the UK. The European Journal of Finance, 15(4), 385-404. https://doi.org/10.1080/13518470802466121
Hsu, H.-H. y Yu-Hsuan Wu, C. (2014). Board composition, grey directors and corporate failure in the UK. The British Accounting Review, 46(3), 215-227. https://doi.org/10.1016/j.bar.2013.12.002
Merendino, A. y Melville, R. (2019). The board of directors and firm performance: empirical evidence from listed companies. Corporate Governance, 19(3), 508–551. https://doi.org/10.1108/CG-06-2018-0211
Organización para la Cooperación y el Desarrollo Económicos. (2024). Principios de Gobierno Corporativo de la OCDE y del G20. OECD Publishing. https://doi.org/10.1787/fb38c737-es
Tejerina-Gaite, F. A. y Fernández-Temprano, M. A. (2020). The influence of board experience on firm performance: does the director’s role matter? Journal of Management and Governance, (25), 685–705. https://doi.org/10.1007/s10997-020-09520-2
Información adicional
Clasificación JEL: M16
Información adicional
redalyc-journal-id: 5116