Artículos
Velocidad del habla en niños de Santiago de Chile. Una comparación entre tres niveles etarios
Speech-rate in children of Santiago de Chile. A comparison between three age levels
Velocidad del habla en niños de Santiago de Chile. Una comparación entre tres niveles etarios
Lengua y Habla, núm. 23, pp. 286-298, 2019
Universidad de los Andes

Recepción: 28 Septiembre 2018
Aprobación: 13 Abril 2019
Resumen: El estudio de la velocidad del habla y sus valores referenciales son valiosos tanto para el conocimiento teórico en diferentes áreas como para la práctica clínica fonoaudiológica. El presente trabajo tiene tres objetivos: El primero es describir la velocidad del habla de niños de Santiago de Chile pertenecientes a tres grupos etarios diferentes. El segundo objetivo es determinar si existen diferencias estadísticas en la velocidad del habla entre los rangos etarios establecidos. El tercer objetivo es conocer si distintas unidades de medida utilizadas en velocidad del habla son equivalentes entre sí. Las unidades empleadas en este estudio son: alófonos por segundo (a/s), sílabas por segundo (s/s), sílabas por minuto (s/m) y palabras por minuto (p/m). La muestra estuvo compuesta por 61 sujetos: 22 entre los 4,01 y 5,05 años; 19 entre los 5,07 y 6,10 años; y 20 entre los 11,01 y 15,00 años. Los resultados muestran que existe mayor velocidad de habla en el grupo de mayor edad, diferenciándose de los dos primeros grupos. Se encontró que con las cuatro unidades de medida estudiadas se obtienen resultados equivalentes.
Palabras clave: Velocidad del habla, fluidez del habla, español de Chile, alófonos por segundo, palabras por minuto, articulación.
Abstract: Determining reference values for speech-rate may be of value both for theoreticians from different fields and for speech therapy practitioners. This study was conceived with three goals: firstly, to describe speech rate among children from Santiago, Chile, grouped by age-level. Secondly, to inspect possible between-group statistical differences, given children’s age. Finally, to determine whether different ways of operationalizing speech rate are equivalent or not. Four measures were observed: allophones per second (a/s), syllables per second (s/s), syllables per minute (s/m), and words per minute (p/m). The sample consisted of 61 participants: 22 children in the 4.01- 5.05 years range, 19 children in the 5.07-6.10 years range, and 20 children in the 11.01-15.00 years range. Results showed that older children speak faster than younger children. Also, no differences were found between the four different criteria used to operationalize speech rate.
Keywords: Speech rate, speech fluency, Chilean-Spanish, allophones per second, words per minute, articulation.
1. INTRODUCCIÓN
La velocidad del habla es considerada como un parámetro para medir la ejecución motora del habla, ya que requiere la coordinación de la respiración, fonación y articulación (Tumanova et al., 2011). Se la considera también como un indicador de la adquisición, del desarrollo, la estabilización y degeneración del habla (De Oliveira y Furquim, 2008). Además, es un componente que, junto con la continuidad del flujo articulatorio, el ritmo y la facilidad, permite observar cómo es el habla fluente (Leal et al., 2015).
En la literatura, se ha descrito la influencia del desarrollo de la velocidad del habla en niños, en aspectos como: la precisión de los movimientos en la articulación (Mefferd, 2019), la coarticulación (Fernández, 2012), la adquisición fonética (Vivar y León, 2009), la variación alofónica (Wainschenker et al., 2002; Cifuentes y Salamanca, 2012) y la inteligibilidad (Dos Santos y Zazo, 2008). También se ha estudiado su relación con la caracterización de una lengua o variedades dialectales (Cid y Céspedes, 2008; Lee y Doherty, 2017; Stipancic et al., 2018), en el estudio de adquisición de segundas lenguas (Bradlow et al., 2017), su variación en la convergencia fonética (Quezada et al., 2012) y con las emociones de los hablantes (Martínez y Rojas, 2011).
El estudio de la velocidad del habla no solo contribuye al conocimiento del desarrollo normotípico de las habilidades de comunicación, sino que también colabora con una mejor concepción del desarrollo patológico del habla (Walker y Archivald, 2006; De Oliveira y Furquim, 2008; Oliveira et al., 2016; Kuruvilla-Dugdale y Mefferd, 2017). Además, la velocidad es un elemento que se debe considerar tanto en el área de la evaluación (Toledo et al., 2011) como en la intervención fonoaudiológica; por ejemplo, en personas con dificultades de la fluidez del habla (Ginhson y Gebara, 2011; Castro y Manrique, 2013; Leal et al., 2015; Fernández-Martín et al., 2016; Leal et al., 2016). La descripción de la velocidad del habla ha tenido otros usos prácticos, tales como el monitoreo de la velocidad de conversación de agentes de call center y la implementación de sistemas de respuesta automática de voz (Aharonson et al., 2017).
La velocidad del habla se encuentra descrita a través de distintas unidades de medida. Algunos autores utilizan solamente sílabas por segundo (s/s) (Tapia, 1996; Walker y Archivald, 2006; Dos Santos y Zazo, 2008; Martínez y Rojas, 2011) o solo palabras por minuto (p/m) (Abarzuá et al., 2005 y Argandoña et al., 2006). Otros presentan sus resultados en más de una unidad de medida y las comparan para ver si son equivalentes; por ejemplo, unidades s/s y alófonos por segundo (a/s) (Dailey et al., 1999; Flipsen, 2003; Fiszbein y Mendes, 2009; Amir y Grinfeld, 2011) o sílabas por minuto (s/m) y p/m (De Oliveira y Furquim, 2008; Castro y Manrique, 2013; Pires et al., 2015). De todas las comparaciones realizadas en los diferentes estudios revisados, solo Dailey et al. (1999) obtuvieron diferencias entre fonemas por segundo (f/s) y s/s, mientras que Amir y Grinfeld (2011) obtuvieron diferencias entre las unidades de medida f/s vs p/m y s/s vs p/m.
Los valores de velocidad encontrados en la literatura son diversos. Por ejemplo, Love y Webb (1996) reportan que, en promedio, una persona produce aproximadamente 14 a/s si se le solicita que pronuncie sílabas sin sentido con la mayor velocidad posible. El promedio se mantendría en una conversación o durante lectura en voz alta, aunque no se precisa a qué rango de edad exactamente se alcanza esa velocidad. Leal et al. (2016) mencionan que el promedio de la velocidad del habla para hablantes del portugués europeo es de 113 p/m y de 213 s/m. De Oliveira y Furquim (2008), describieron la velocidad del habla en hablantes de portugués de Brasil entre los 2,00 a los 99,11 años. Los participantes de entre 2,00 y 17,11 años se dividieron en cuatro grupos: de 2,00 a 6,11 años, considerado como grupo preescolar. Entre los 7,00 a 11,11 años se ubicaba el grupo escolar. Posteriormente, entre los 12,00 a 14,11 años se estableció el grupo adolescente inicial y, finalmente, entre los 15,00 y 17,11 se estableció el grupo de adolescentes tardíos. Las medidas de velocidad analizadas en s/m y p/m mostraron los siguientes resultados: el primer grupo promedió 145,74 s/m y 84,62 p/m. El segundo, alcanzó las 150,78 s/m y las 82,72 p/m en promedio. El tercer grupo tuvo 166,6 s/m y 93,5 p/m de media. Finalmente, el último grupo pronunció 200,4 s/m y 109,3 p/m en promedio. Estos datos muestran un aumento lineal de la velocidad desde el grupo más joven al de mayor edad. La investigación no encontró diferencias significativas entre los niños y la fase inicial de la adolescencia, pero sí las hubo entre los niños y la fase final de la adolescencia.
Fiszbein y Mendes (2009) compararon el desempeño en velocidad del habla de 40 niños hablantes de portugués de Brasil. La mitad de ellos tenía un trastorno fonológico y la otra no. Los grupos estaban conformados por sujetos de ambos sexos y sus edades fluctuaban entre los 4,00 y 10,11 años. A todos se les aplicaron dos evaluaciones diferentes: en la primera prueba, los sujetos debían repetir una frase establecida por el evaluador. En la segunda, los sujetos debían repetir un enunciado seleccionado (por el evaluador) desde su propio discurso. Además, el cálculo de velocidad se realizó de manera diferenciada en oraciones cortas y oraciones largas. Las medidas fueron realizadas en s/s y en f/s. Esto dio como resultado una velocidad de 9,82 f/s y de 4,88 s/s en niños sin trastorno fonológico cuando la prueba fue repetir una oración breve dicha por el evaluador. La frase corta extraída del discurso de los mismos sujetos, promedió una velocidad de 9,3 f/s y 4,62 s/s, mientras que la oración larga, que debían repetir del evaluador, tuvo una velocidad de 6,17 s/s y de 11,77 f/s. El enunciado breve, elaborado a partir del discurso de los propios sujetos, registró una velocidad de 5,29 s/s y de 10,41 f/s.
Amir y Grinfeld (2011) describieron la velocidad del habla de niños y adolescentes hebreos divididos en siete grupos de edad: 3, 5, 7, 9, 11, 13 y 17 años. Para obtener el corpus se utilizó una metodología que elicitaba discurso mediante una conversación y otra mediante la descripción de una lámina. Los resultados de la conversación medidas en fonos por segundo (fo/s) son los siguientes: 8,97 fo/s; 9,59 fo/s; 10,94 fo/s; 12,44 fo/s; 12,90 fo/s; 14,13 fo/s y 16,39 fo/s en los respectivos grupos. La velocidad medida en sílabas por segundo (s/s) fue: 4,43 s/s; 4,46 s/s; 5,19 s/s; 5,89 s/s; 5,92 s/s; 7,19 s/s y 7,72 s/s, respectivamente. Finalmente, las mediciones hechas en palabras por minuto (p/m) fueron: 137,7 p/m; 132,95 p/m; 162,13 p/m; 174,64 p/m; 181,48 p/m; 202,83 p/m y 237,96 p/m. Mientras que los resultados de la descripción de la lámina medida en fonos por segundo son los siguientes: 8,52 fo/s; 9,3 fo/s; 10,6 fo/s; 11,42 fo/s; 12,91 fo/s; 13,55 fo/s y 15,55 fo/s en cada grupo. La medición en sílabas por segundo fue: 4,11 s/s; 4,31 s/s; 4,96 s/s; 5,39 s/s; 6,14 s/s; 6,37 s/s y 7,28 s/s. Finalmente, las medidas de palabras por minuto fueron: 96,52 p/m; 99,53 p/m; 114,72 p/m; 127,62 p/m; 136,1 p/m; 152,19 p/m; 170,75 p/m por grupo. En términos generales, se observa un aumento significativo de la velocidad del habla con la edad.
Castro y Manrique (2013) midieron la velocidad del habla en 40 niños peruanos de 5,00 a 5,11 años y 6,00 a 6,11 años, todos hablantes limeños de español. Cada grupo estuvo compuesto por 20 niños (10 niños y 10 niñas). Sus enunciados fueron analizados en s/m y p/m. Los resultados mostraron que en el grupo de 5,00 a 5,11 años, el rango de velocidad promedio fue de 155,75 s/m y 92,45 p/m. Entre 6,0 a 6,11 años fue de 163,27 s/m y 92,45 p/m en promedio. Además, se observó una diferencia en la velocidad del habla entre ambos grupos, pero no resultó estadísticamente significativa.
En el contexto chileno, Tapia (1996) obtuvo como resultado un valor de 7,6 s/s. Abarzúa et al. (2005) describieron y compararon la velocidad del habla en niños entre los 4,00 y 5,11 años de edad, divididos en cuatro grupos: 4,00 a 4,05; 4,06 a 4,11; 5,00 a 5,05 y 5,06 a 5,11 años. Una de las tareas analizadas fue la correspondiente al habla espontánea. La unidad de medida utilizada fue palabras por minuto (p/m). Las autoras reportaron los siguientes valores: 62,0 p/m; 56,8 p/m; 63,9 p/m y 56,1 p/m. Ellas no encontraron diferencias significativas entre los grupos evaluados. Argandoña et al. (2006), realizaron un estudio que comparó la velocidad en niños con y sin tartamudez entre los 4,00 y 5,11. Para ello utilizaron la misma unidad de medida y habla espontánea. Los resultados mostraron que los sujetos estudiados tenían una velocidad del habla de 70,9 p/m. En personas adultas, Toledo et al. (2011) midieron la velocidad en palabras por minuto a través de la lectura de un texto. El resultado fue que en adultos de entre 40 y 49 años la velocidad era de 150,76 p/m, entre 50 y 59 años de 162,29 p/m y entre 60 y 69 años de 159,35 p/m.
Los trabajos sobre velocidad del habla parecen no tener criterios homogéneos al momento de agrupar a los niños por edad. Por una parte, hay investigaciones que establecen un único grupo que incluye diferentes edades. Por ejemplo, Fiszbein y Mendes (2009) lo hacen desde los 4,00 a los 10,11 años y Argandoña et al. (2006) desde los 4,00 a los 5,11 años. Por otra parte, hay investigaciones que establecen más de un grupo. Por ejemplo, Abarzuá et al. (2005) genera grupos de 6 meses entre los 4,00 a los 5,11 años. Mientras que De Oliverira y Furquim (2008) lo hacen en grupos de 5 y 3 años que van desde 2,00 a los 17,11 años. También hay investigaciones como las de Amir y Grinfeld (2011) que no agrupan rangos etarios, sino que seleccionan edades específicas no continuas que van desde los 3,00 a los 17,00 años.
Por todo lo anterior, el presente trabajo tiene tres objetivos: el primero es describir la velocidad del habla de niños de Santiago de Chile pertenecientes a tres grupos etarios diferentes. El segundo objetivo es determinar si existen diferencias estadísticas en la velocidad del habla entre los rangos etarios establecidos. El tercer objetivo es conocer si distintas unidades de medida utilizadas en velocidad del habla son equivalentes entre sí.
2. MATERIALES Y PROCEDIMIENTO
2.1. Participantes
La muestra total inicial fue de 77 participantes pertenecientes a dos colegios del mismo nivel socioeconómico. Los criterios de inclusión de los participantes fueron los siguientes: ser chilenos, hablantes de español de Chile, pertenecer a alguno de los niveles etarios a estudiar y ser parte de una de las escuelas municipales que participan del estudio. Los criterios de exclusión fueron: haber sido diagnosticados con TEL por parte de un fonoaudiólogo (logopeda) y evidenciar problemas de audición a nivel conversacional o de tartamudez.
Inicialmente, los rangos etarios estaban agrupados en dos grupos de 18 meses desde los 4,00 hasta los 6,11 años y un tercer grupo desde los 11,00 hasta los 15,00 años. Esta distribución se debe a dos razones: en primer lugar, la literatura que analiza edades tempranas ofrece diferentes agrupaciones, entre ellos cada 6 meses (Abarzúa et al., 2005) y cada 12 meses (Castro y Manrique, 2013). Estas investigaciones no encontraron diferencias estadísticamente significativas entre los grupos. Esto motivó la exploración del comportamiento de los grupos cada 18 meses y el grupo de rango mayor mencionado anteriormente. En relación con el rango de mayor edad, la literatura sugiere que la velocidad del habla aumenta hasta los 11 o 12 años y que a los 12 años aproximadamente se produciría una estabilidad, pues alcanzaría los niveles de velocidad manifestadas en el adulto (Amir y Grinfeld, 2011). Por lo tanto, este último grupo permitiría realizar un potencial contraste entre los dos primeros grupos y este último. En segundo lugar, la bibliografía revisada no presenta una línea argumental consensuada sobre la manera en que se debe agrupar al estudiar la velocidad del habla. Esto tiene como consecuencia una falta de sistematicidad en la elección de grupos de análisis. Por lo tanto, la agrupación que se realiza en la presente investigación es exploratoria y se basa en las conclusiones extraídas de la revisión de la literatura.
Finalmente, el número de sujetos que participó en el análisis fue de 61 niños distribuidos en los siguientes niveles etarios: 22 entre los 4,01 y 5,05 años (nivel etario 1); 19 entre los 5,07 y 6,10 años (nivel etario 2); y 20 sujetos entre los 11,01 y 15,00 años (nivel etario 3), debido a que se eliminaron del análisis 16 niños por presentar, al momento de la evaluación, la presencia de alguno de los criterios de exclusión.
Se procuró balancear lo más posible la cantidad de hombres y mujeres en cada nivel. El primero estuvo conformado por 11 niñas y 10 niños, el segundo por 9 niñas y 10 niños y el tercero por 10 mujeres y 10 hombres.
2.2. Procedimiento de evaluación
Los colegios seleccionados autorizaron a sus alumnos a participar en la investigación. Los padres o tutores de los niños firmaron un consentimiento informado para este estudio. Luego se les solicitó completar una encuesta que permitió recabar información sobre los niños y corroborar si cumplían con los criterios de inclusión. Antes de proceder a la evaluación, cada niño y niña debía indicar que estaba de acuerdo con participar, previa explicación de los procedimientos y finalidad del estudio (asentimiento).
Para recabar las muestras del corpus, se elaboró una lista de temas. Cada individuo de la muestra fue registrado en audio manteniendo una conversación guiada por uno de los investigadores durante 10 minutos. Estas grabaciones se realizaron en una sala dispuesta por el establecimiento. La grabación se realizó mediante el programa Praat (Boersma y Weenink, 2014) a través de un micrófono de condensador Audio-technica AT2020 USB conectado a un computador portátil.
2.3. Muestras de habla, transcripción y análisis
Una vez obtenidas las muestras de habla, se realizó una transcripción fonética simple. De cada muestra se seleccionaron 200 sílabas fluentes. La elección de estas fue aleatoria, y se procuró incorporar las oraciones más largas emitidas por los participantes. Luego, por cada uno de los enunciados escogidos, se procedió a contar la cantidad de alófonos, sílabas y palabras. Después se calculó la duración del enunciado en minutos y segundos utilizando el programa Praat. Esta información fue analizada en términos de velocidad en alófonos/segundo, sílabas/segundo, sílabas/minuto y palabras/minuto para cada enunciado. Posteriormente, se obtuvo un promedio del total de enunciados analizados por cada sujeto y, finalmente, un promedio por cada grupo etario estudiado.
En esta investigación, no se excluyeron del análisis las disfluencias típicas, debido a que son parte del habla fluida de los hablantes. Las pausas se excluyeron solo cuando separaban los enunciados (Santos y Zazo, 2008).
3. RESULTADOS
Los datos fueron analizados con el software estadístico R (R Core Team, 2015, Wicham, 2009). En primer lugar, se obtuvo un promedio por cada sujeto en cada nivel etario en las cuatro variables de interés. Esto se hizo debido que al seleccionar aleatoriamente los enunciados de cada participante, el número de enunciados necesarios para alcanzar las 200 sílabas variaba en cada caso. Por lo tanto, se promediaron los valores de las medidas observadas en función de la cantidad de enunciados aportados por niño. Posteriormente, los datos se inspeccionaron mediante el test Shapiro-Wilks y se comprobó el cumplimiento de la normalidad en las distintas variables. La tabla 1 expone los datos descriptivos de la muestra y la figura 1 presenta las medias de cada nivel etario con las barras de error respectivas.

a/s: alófonos por segundo; s/s: sílabas por segundo; p/m: palabras por minuto; s/m: sílabas por minuto. Media y desviación estándar (entre paréntesis)

Las barras de error representan intervalos de confianza (95 %). La escala (eje y) es específica para cada variable.
Se decidió contrastar las medias mediante pruebas de Anova. Se efectuó la prueba de Levene sobre cada una de las variables para comprobar el cumplimiento del supuesto de homogeneidad de las varianzas de los tres niveles etarios, lo que se cumplió en todos los casos. Luego, se efectuaron cuatro pruebas de Anova, cuyos resultados se presentan en la tabla 2.

a/s: alófonos por segundo; s/s: sílabas por segundo; p/m: palabras por minuto; s/m: sílabas por minuto
Se realizó un análisis post-hoc de Tukey para determinar dónde estaban las diferencias encontradas en las pruebas de Anova. Consistente con lo que se puede visualizar en los gráficos que se muestran en la figura 1, en todas las variables los niveles etarios 1 y 2 constituyen un grupo homogéneo con promedios estadísticamente similares, mientras que el nivel etario 3 constituye un grupo único cuyo promedio es estadísticamente diferente (y mayor). En cuanto al eventual impacto de las distintas unidades de medida, los resultados no mostraron ninguna diferencia entre ellas.
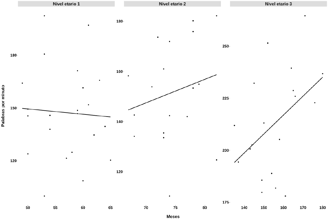
Finalmente, se efectuaron tres pruebas de regresión simple tomando, en cada nivel etario, la edad (expresada en meses) como predictor y la cantidad de palabras por minuto de cada participante. Se decidió utilizar una sola variable debido a que los resultados y gráficos anteriores no muestran diferencias entre las distintas formas de medir la velocidad del habla. Después de eliminar dos casos influyentes (uno en el nivel etario 2 y otro en el nivel etario 3) sobre la base de la distancia de Cook, los análisis no mostraron una predicción significativa para los niveles etarios 1 y 2, pero sí un coeficiente significativo para el nivel etario 3: b=0,90, p=0,05, R2= 0,20. El gráfico de dispersión de la figura 2 incluye las rectas de regresión para cada nivel etario [ver en página siguiente].

El único coeficiente significativo corresponde al nivel etario 3.
Los resultados muestran que la velocidad del habla en el nivel etario 1 tiene una pendiente prácticamente igual a cero. En el nivel etario 2, la recta describe una correlación leve y positiva (que no alcanza a ser estadísticamente significativa). En el nivel etario 3 la relación es claramente positiva y significativa.
4. ANÁLISIS Y DISCUSIÓN DE LOS RESULTADOS
Esta investigación tuvo tres objetivos: el primero fue describir la velocidad del habla de niños de Santiago de Chile pertenecientes a tres grupos etarios diferentes. El segundo fue determinar si existen diferencias estadísticas entre los rangos etarios establecidos. El tercer objetivo, es conocer si distintas unidades de medida utilizadas en velocidad del habla son equivalentes entre sí.
Respecto al primer y segundo objetivo de esta investigación, se puede observar que en la muestra estudiada, existe un aumento de la velocidad del habla a medida que se incrementa la edad. El nivel etario 3 muestra mayor velocidad del habla en relación con los otros niveles. Además, presenta un mayor aumento de velocidad dentro del mismo grupo. Sin embargo, este aumento no es estadísticamente significativo en los niveles etarios 1 y 2.
Los resultados permiten establecer algunas comparaciones con la literatura. Por una parte, el estudio de Amir y Grinfeld (2011), llevado a cabo en la lengua hebrea, parece ser el trabajo que muestra resultados más cercanos a los aquí presentados. Por ejemplo, en el nivel etario 2 se encontró un valor de 8,97 a/s; mismo valor encontrado por los autores referidos, pero en la edad de 3 años. Por otra parte, si se contrasta con el estudio del portugués de Brasil (De Oliveira y Furquim, 2008) y con el del castellano de Lima (Castro y Manrique, 2013), se observa una mayor diferencia con los valores reportados en el presente estudio. Por ejemplo, en el nivel etario 1 se obtuvo 147,34 p/m y 236,79 s/m. Mientras que De Oliveira y Furquim (2008) obtuvieron valores de 84,62 p/m y 145,74 s/m en el grupo de 2.00 a 6.11 años. En tanto, Castro y Manrique (2013) obtuvieron 155,75 s/m y 92,45 p/m en su grupo de 5.00 a 5.11 años.
De acuerdo a lo señalado en la introducción a este trabajo, el uso de diferentes metodologías en las investigaciones entorno a la velocidad del habla tiene como consecuencia que los resultados no siempre puedan ser fácilmente comparables. Una de las razones puede estar a nivel teórico, específicamente, en el tipo de análisis de corpus. Por ejemplo, algunas investigaciones analizan analizan la “velocidad de articulación” también llamada articulationrate o tasa de articulación (Amir y Grienfeld, 2011; Schwab, 2015).
Esto lleva a este tipo de investigaciones a excluir el análisis de pausas y disfluencias (Amir y Grindfeld 2011). Mientras que estudios como el que aquí se ha expuesto, sí los consideran (Logan et al., 2011).
Otra razón podría estar relacionada al medio de elicitación. Existe una gran variedad de ellas, tales como: repetición de sílabas (Love y Webb,1996) o de frase (Fiszbein y Mendes, 2009), descripción de láminas (Amir y Grinfeld, 2011), lectura de noticias (Tapia, 1996) y, la más utilizada, mediante conversación (Abarzua et al., 2005; de Oliveira y Furquin, 2008; Amir y Grinfeld, 2011; Castro y Manrique, 2013). Esta última fue la metodología usada en esta investigación, por cierto. Futuras investigaciones deberían considerar estas razones antes mencionadas al momento de planificar su estudio.
La comparación con otras investigaciones no solo se hace difícil por lo expuesto en los dos últimos párrafos, sino que también por las diferencias en cuanto a lenguas y dialectos observada en la literatura (Lee y Doherty, 2017).
Respecto al tercer objetivo planteado, se observó que las cuatro unidades de medida utilizadas generan valores equivalentes en cuanto a la comparación de los grupos etarios. Por una parte, al comparar estos hallazgos con la literatura, los resultados coinciden con lo reportado por Flipsen (2003) y Fiszbein y Mendes (2009) en cuanto a que existiría semejanza entre las medidas de fo/s y s/s y entre f/s y s/s respectivamente. Sin embargo, no concuerda con los datos aportados por Dailey et al. (1999), quienes sí encontraron desigualdades entre las unidades de fo/s y s/s. Por otra parte, los resultados se corresponden parcialmente con los hallazgos de Amir y Grinfeld (2011), quienes no encontraron disimilitud entre fo/s y s/s, pero sí al comparar p/m con fo/s y p/m con s/s. Finalmente, se debe mencionar que existe concordancia con lo informado por De Oliveira y Furquim (2008), Castro y Manrique (2013) y Pires et al. (2015), quienes no observaron diferencias entre las unidades de s/m y p/m.
En la literatura y en este trabajo, pareciera ser relevante considerar los valores en distintas unidades de medida y observar si estas pueden ser equivalentes o no. Los resultados de la presente investigación indican que las diferencias según la unidad de medida no son significativas. Esto permitiría justificar la utilización de cualquier unidad en el estudio de la velocidad del habla, incluso aquellas que podrían ser consideradas menos precisas, pero que son funcionales para efectos del quehacer clínico. Por ejemplo, la unidad de palabras por minuto o sílabas por minuto, podría ser más funcional y útil para la práctica fonoaudiológica (logopédica) en el tratamiento de alteraciones del habla: tartamudez, apraxia o disartria. Las unidades mencionadas anteriormente son más rápidas y fáciles de obtener que, por ejemplo, los alófonos por segundo. Sin embargo, esta última unidad puede tener una mayor utilidad para un estudio de caso acucioso o análisis fonético.
La aplicación del conocimiento de la velocidad del habla, como se ha expuesto en la introducción, es muy amplia y variada: desde aportes en la comprensión del habla en un determinado grupo humano (Cid y Céspedes, 2008) hasta la implementación de aplicaciones y tecnologías que colaboran con la terapia de personas que por distintas alteraciones u ocupaciones, deben modificar su velocidad del habla (Aharonson et al., 2017).
5. CONCLUSIÓN
Los hallazgos reportados no pretenden tener carácter de valores normativos, sino que se presentan como una referencia inicial y exploratoria. Futuros estudios podrían considerar una muestra de niños mayor e indagar más en la manera de agrupar las edades a analizar.
De acuerdo a la literatura observada en esta investigación, factores como el nivel socioeconómico, las variedades dialectales, alteraciones asociadas al lenguaje, las emociones y distintas metodologías de elicitación, entre otros, influyen en la velocidad de habla. Para una futura investigación, sería interesante conocer la relación entre estos factores y la velocidad de habla en distintas edades.
Finalmente, a la luz de los resultados, cabe mencionar la necesidad de investigar la velocidad del habla en los niveles etarios no incluidos en este estudio (7,00 a 11,00) años y conocer cómo es que varía esta velocidad hasta llegar a los valores encontrados en el grupo etario 3. Con ello, los terapeutas del lenguaje, tendrían valores de referencia más claros como objetivo de sus terapias en pacientes con alteración en la velocidad del habla.
Referencias
Abarzuá, Rosario, Macarena Caradeux, Pamela Jeria, Mariella Viano y María Zamorano. 2005. Diseño y aplicación de tareas para evaluar velocidad y ritmo, como componentes de la fluidez, en niños preescolares entre los 4 años 0 meses y 5 años 11 meses de edad. Seminario de Licenciatura. Universidad de Chile.
Aharonson, Vered, Eran Aharonsonc, Katia Raichlin-Levia, Aviv Sotzianuc, Ofer Amird, Zehava Ovadia-Blechmana. 2017. A real-time phoneme counting algorithm and application for speech rate monitoring. Journalof Fluency Disorders 51: 60-8.
Amir, Ofer y Doreen Grinfeld. 2011. Articulation Rate in Childhood and Adolescence: Hebrew Speakers. Language and Speech 54, 2: 225–240.
Argandoña, Romina, Catalina Hernández, Pamela López, Consuelo Ramos y Daniela Segovia. 2006. Comparación de los parámetros de velocidad y ritmo entre preescolares con y sin disfluencia. Seminario de Licenciatura. Universidad de Chile.
Boersma, Paul y David Weenink. 2014. Praat: doing phonetics by computer. http://www.praat.org/
Bradlow, Ann, Midam Kim, Michael Blasingame. 2017. Language-independent talker-specificity in first-language and second-language speech production by bilingual talkers: L1 speaking rate predicts L2 speaking rate. Journal of the Acoustical Society of America 141, 2: 886-899.
Castro, Yovana y Yenny Manrique. 2013. Perfil de la fluidez del habla en niños de 5 y 6 años instituciones educativas estatales de tres distritos de Lima. Tesis de magíster. Pontificia Universidad Católica del Perú.
Cid, Miriam y Macarena Céspedes. 2008. Rasgos de simplificación en el habla rural de dos localidades de Chile: descripción fonotáctica y discursiva. Literatura y Lingüística 25: 221-248.
Cifuentes, Edgardo y Gastón Salamanca. 2012. Desarrollo y aplicación piloto de un instrumento para recoger datos del nivel fonético-fonológico. Literatura y Lingüística 25: 221-248.
Dailey, Kelly, Ofer Amir y Ehud Yairi. 1999. A longitudinal investigation of speaking rate in preschool children who stutter. Journal of Speech, Languaje and Hearing Research 42: 1367-1377.
De Oliveira, Vanessa y Claudia Furquim. 2008. Perfil evolutivo da fluência da fala de falantes do Português. Pró-Fono Revista de Atualização Científica 20, 1: 7-12
Dos Santos, Simone y Karin Zazo. 2008. Influência da velocidade articulatória e da intensidade na inteligibilidade de fala. Pró-Fono Revista de Atualização Científica 20, 2: 87-92.
Fernández, Ana María. 2012. Aspectos fonéticos del proceso de velarización en las nasales del español y del catalán. Onomázein 26, 2: 95-129.
Fernández-Martín, María, Nuria Calet y José González. 2016. Nuevas tecnologías empleadas en la intervención de la tartamudez: una revisión. Revista de investigación en Logopedia 2: 88-106.
Fiszbein, Haydée y Leila Mendes. 2009. Velocidade de fala em crianças com e sem transtorno fonológico. Pró-Fono Revista de Atualização Científica 21, 1: 19-24.
Flipsen, Peter. 2003. Articulation rate and speech-sound normalization failure. Journal of Speech, Languaje and Hearing Research 46: 724-737.
Ginhson, Mariela y María Marta Gebara. 2011. Estrategias de conciencia. Buenos Aires: Los Buscadores de Quintum.
Kuruvilla-Dugdale, Milli y Antje Mefferd. 2017. Spatiotemporal movement variability in ALS: Speaking rate effects on tongue, lower lip, and jaw motor control. Journal of communication disorders 67: 22-34.
Leal, Gonçalo, Barry Guitar y Analise Junqueira. 2016. Fundamentos teóricos y evaluación clínica de la tartamudez en niños, adolescentes y adultos. En Franklin Susaníbar, Alejandro. Dioses, Irene Marchesan, Marco Guzmán, Gonçalo Leal, Barry Guitar y Analise Junquiera (eds.), Trastornos del habla de los fundamentos a la evaluación, 211-281. Madrid: EOS.
Leal, Gonçalo, Analise Junqueira y Raquel Escobar. 2015. Nuevos desafíos en el tratamiento de la tartamudez. Logopedia.mail 70: 1-9.
Lee, Alice y Rachel Doherty. 2017. Speaking rate and articulation rate of native speakers of Irish English. Speech, language and hearing 2, 4: 206-2011.
Logan, Kenneth, Courtney Byrd, Elizabeth Mazzocchi, Ronald Gillam. 2011. Speaking rate characteristics of elementary-school-aged children who do and do not stutter. Journal of Communication Disorders 44: 130-47.
Love, Russell y Wanda Webb. 1996. Neurología para los especialistas del habla y del lenguaje. Madrid: Editorial Médica Panamericana.
Martínez, Hernán y Darcy Rojas. 2011. Prosodia y emociones: datos acústicos, velocidad del habla y percepción de un corpus actuado. Lengua y Habla 15: 59-72.
Mefferd, Antje. 2019. Effects of speaking rate, loudness, and clarity modifications on kinematic endpoint variability. ClinicalLinguistics & Phonetics33, 6: 570-585.
Oliveira, Luanna, Vanessa de Oliveira Martins-Reis, Letícia Côrrea Celeste. 2016. Metodologias de análise da velocidade de fala: um estudo piloto. CoDAS 28, 1: 41-5.
Pires, Vanessa, Jamile Konsen y Helena Bolli. 2015. Aspectos da fluência da fala em crianças com e sem desvio fonológico evolutivo. Revista CEFAC 17, 1: 9-16.
Quezada, Camilo, Juan Pablo Robledo, Domingo Román y Casrlos Cornejo. 2012. Empatía y convergencia del tono fundamental. Revista de LingüísticaTeórica y Aplicada 50, 2: 145-155.
Schwab, Sandra. 2015. Las variables temporales en el español de Costa Rica y de España: un estudio comparativo. Revista de Filología y Lingüística 41, 1: 127-139.
Stipancic, Kaila, Yasna Yunusova, James Berry y Jordan Green. 2018. Minimally Detectable Change and Minimal Clinically Important Difference of a Decline in Sentence Intelligibility and Speaking Rate for Individuals With Amyotrophic Lateral Sclerosis. Journal of Speech, Language, and Hearing Research 61: 2757-2771.
Tapia, Mónica. 1996. Velocidad y ritmo en el español público de Chile y España. Tesis de Magíster. Universidad de Concepción.
Toledo, Lilian, Claudia Bahamonde, Javiera González, Macarena Martínez, María Magdalena Muñoz y Daniel Muñoz. 2011. Parámetros del habla en adultos normales chilenos. Revista Chilena de Fonoaudiología 10: 33-43.
Tumanova, Victoria, Patricia Zebrowski, Rebecca Throneburg y Mavis Kulak. 2011. Articulation rate and its relationship to disfluency type, duration, and temperament in preschool children who stutter. Journal of Communication Disorders 44, 1: 116–129.
Vivar, Pilar y Hernán León. 2009. Desarrollo fonológico-fonético en un grupo de niños entre 3 y 5,11 años. Revista CEFAC 11, 2: 190-198.
Wainschenker, Rubén, Jorge Doorn y Marcela Castro. 2002. Medición cuantitativa de la velocidad del habla. Procesamiento del lenguaje natural 28: 99-104.
Walker, Jean y Lisa Archivald. 2006. Articulation rate in preschool children: a 3-year longitudinal study. International Journal language & communication disorders41, 5: 541-565.