Artículos
Relación entre presión y posición de grafema a inicio y fin de palabra en la escritura imprenta a mano de palabras del español*
Relationship of pressure and word-initial and word-final grapheme position in print handwriting of Spanish words
Relación entre presión y posición de grafema a inicio y fin de palabra en la escritura imprenta a mano de palabras del español*
Lengua y Habla, núm. 23, pp. 440-451, 2019
Universidad de los Andes

Recepción: 11 Noviembre 2018
Aprobación: 26 Julio 2019
Resumen: El objetivo de este estudio fue explorar cómo es el desarrollo de la presión durante la escritura de palabras, como un parámetro básico de la señal escrita, específicamente con escritura manual letra imprenta, en español. Con otros tipos de escritura y en otras lenguas se había observado el fenómeno de VARIABILIDAD DE MOVIMIENTO PROGRESIVO: la presión en los grafemas al final de palabra fue mayor que al inicio de palabra; igualmente, la variabilidad de la presión. Participaron cuarenta universitarios, copiando un conjunto de 72 palabras trisílabas, de las cuales 36 tenían uno de los grafemas de interés (<a>, <e>, <l>, <r>) al inicio de la palabra (Ej.: .bdomen) y las otras 36 tenían uno de estos grafemas al final (Ej.: diplom.). Se registraron los datos usando una tableta digitalizadora y un lápiz de tinta electrónico. El último grafema de la palabra presentó una presión promedio y variabilidad de presión mayores que el primer grafema. También se encontraron diferencias entre los diferentes grafemas. Así, se encontró que en el español el trazo de un grafema depende del grafema en sí y, además, de su posición en la palabra. Este hecho debe tomarse en cuenta en los estudios que registran este parámetro.
Palabras clave: Escritura manual, grafema, presión, variabilidad de movimiento progresivo.
Abstract: The aim of this study was to explore the development of pressure during the writing of words, as a fundamental parameter of the written signal, specifically in the handwriting of block letters, in Spanish. Studies using other types of writing and in other languages have observed the phenomenon of PROGRESSIVE MOTION VARIABILITY: pressure for word final letters was higher than for initial letters, which was also true for pressure variability. Forty university students participated and copied a set of 72 words, 36 of which started with one of the graphemes of interest (<a>, <e>, <l>, <r>; e.g., .bdomen); the other 36 words ended with one of these graphemes (e.g., diplom.). A graphic tablet and electronic ink pen served to record the data. The word final grapheme showed a higher average pressure and pressure variability than the word initial grapheme. We also found differences between graphemes. This means that in Spanish the characteristics of the trace of a letter depend on letter identity but also on its position in the word. This is an important fact to take into account in future studies analyzing this parameter.
Keywords: Handwriting, grapheme, pressure, progressive motion variability.
1. INTRODUCCIÓN
La escritura es una de las modalidades de la producción del lenguaje. Implica una serie de procesos relacionados con el conocimiento lingüístico –caracterizados como centrales– que preceden a la ejecución motora –caracterizada como periférica (véase Neils-Strunjas et al. 2006, Roux et al. 2013). Similar al habla, el conocimiento lingüístico consiste en el significado de una palabra (semántica), sus características gramaticales y morfológicas, y de su forma – solo que este último es un conocimiento de ortografía (como se escribe). Como unidad básica de la ortografía usamos aquí el GRAFEMA.1 Rogers (2005: 10) define grafema como “unidad contrastiva en un sistema de escritura, similar al fonema o morfema”.2 Para escribir una palabra, se tiene que llegar a la información de qué grafemas usar y en qué orden. Si se tiene disponible la información sobre los grafemas y su orden, se puede avanzar a la ejecución motora para producir los trazos en el papel.
Los parámetros de la ejecución motora son la VELOCIDAD, AMPLITUD y PRESIÓN. La velocidad refleja la distancia que se cubre durante cierto tiempo, en el caso de la escritura la longitud de un trazo durante un tiempo definido; también puede indicarse cuántas unidades de escritura (líneas, grafemas, palabras de cierta longitud, etc.) se escriben durante cierto tiempo. De esta manera, este parámetro se deriva de la DURACIÓN de la escritura (normalmente medida en milisegundos) de un trazo, un grafema, una palabra etc.: Cuanto más dura escribir un grafema, disminuye la velocidad de su escritura. La amplitud se refiere a la extensión física (vertical y horizontal) de una unidad escrita, es decir, qué tan alto y qué tan ancho está un grafema, una palabra etc. La presión, a su vez, se define como la fuerza que se ejerce sobre un área determinada de una superficie. Podemos escribir empujando un lápiz más o menos fuerte sobre el papel. Estos parámetros sirven como variables que describen la producción de la señal –el trazo– similar a cómo en el habla los parámetros duración, altura e intensidad3 describen la señal acústica. En el marco de la investigación psicolingüística, la velocidad, la amplitud y la presión de la escritura se usan también como variables dependientes, es decir, medidas que son el resultado de variaciones en los procesos centrales y periféricos, y que pueden usarse para hacer inferencias sobre estos procesos.
Hasta hace poco, era bastante difícil registrar estos parámetros, pero con la disponibilidad masiva de tabletas gráficas conectadas a computadores (frecuentemente usadas en el diseño gráfico), esto ha cambiado. Las tabletas gráficas convierten los trazos en una serie de puntos con características como posición y tiempo, lo que resulta en datos sobre la amplitud y velocidad de escritura, como se ilustra en la Figura 1. Los sensores de las tablas gráficas también pueden medir la presión ejercida en cada punto, como se muestra en la Figura 2.

![[ver página siguiente]. Análisis de la presión en el software Ductus para la escritura del grafema (marcado por un rectángulo), una vez al inicio de la palabra langosta y otra vez al final de la palabra umbral. La serie de valores numéricos a la izquierda de cada palabra corresponde a la presión que se registró cada 5 milisegundos durante la escritura del grafema . Las curvas debajo de cada palabra son la visualización de estos valores numéricos de presión, donde puede apreciarse el aumento y la disminución de la misma. Además, la claridad u oscuridad del trazo en sí también es análoga a la presión ejercida; los trazos más claros corresponden a movimientos cerca de la superficie de registro. Tendería a ser menor que en el último grafema, donde se presentaría la máxima presión. En este sentido hay variabilidad de la presión a lo largo de la palabra. Segundo, que existe una gran variabilidad entre las presiones medidas para el mismo segmento en diferentes repeticiones, en especial, en los últimos segmentos que corresponden al pico de presión. Para estos análisis Kao 1983 usó la DESVIACIÓN ESTÁNDAR4 (DE) como medida de variabilidad. Indica cuánto los valores numéricos individuales de una serie se desvían del promedio de ésta, es decir, de la tendencia central de la serie. Una DE baja indica que los valores individuales tienden a estar cerca del promedio y, por consiguiente, que hay poca variabilidad. Una DE alta, por el contrario, indica que los valores individuales se desvían considerablemente del promedio y que hay alta variabilidad. Por ejemplo, el promedio de la serie de datos de la en langosta, mostrados en la Figura 2, es 281 y la DE 58; para la en umbral, el promedio es 341 y la DE 96.](../511966657023_gf3.png)
Una serie de investigaciones psicolingüísticas sobre la escritura ha aprovechado este avance tecnológico. La medida más usada en éstas es la duración de escribir grafemas y de las pausas entre grafemas –directamente relacionada con la velocidad de escritura (por ejemplo, Kandel & Valdois 2006, Álvarez et al. 2009, Gallo & Baquero 2010, Roux et al. 2013). Sin embargo, en investigaciones sobre la escritura en la enfermedad de Parkinson puede verse también la relevancia de la amplitud y la presión (Rodríguez-Riaño & Baquero Castellanos 2011, Rosenblum et al. 2013, Letanneux et al. 2014, Drotár et al. 2016).
Para aprovechar todo el potencial del registro de la escritura con medidas precisas, hace falta explorar sus características fundamentales. La presente investigación tiene el propósito de explorar en más detalle uno de los parámetros de la respuesta escrita, específicamente, la presión y el fenómeno de VARIABILIDAD DEL MOVIMIENTO PROGRESIVO (VMP; Progressive Motion variability, en inglés), que fue descubierto en un experimento realizado, en 1978, por el investigador Henry Kao de la Universidad de Hong Kong (Kao 1983) y confirmado en experimentos posteriores (Kao et al. 1983, 1986, Shek et al. 1986, van der Plaats & van Galen 1990, Wann & Nimmo-Smith 1991). Este fenómeno hace referencia a un patrón de variación en la presión que ejerce el ser humano con un instrumento de escritura sobre una superficie de escritura cuando se ejecutan tareas continuas y repetidas de escritura manual, como dibujar líneas o escribir manualmente una secuencia de caracteres. La VMP revela dos comportamientos de la presión en la escritura. Primero, que la presión a lo largo de la tarea de escritura y en sus correspondientes repeticiones tiende a un incremento progresivo desde el inicio hasta el fin de la tarea, con un pico localizado justo en el último segmento de la tarea de escritura manual. En una palabra, la presión en el primer grafema.
Cabe señalar que este fenómeno aparece en tareas de escritura, las cuales son entendidas en una forma general y no se refieren simplemente a la escritura de signos con propósito comunicativo, sino a la ejecución de movimientos que involucran el trazo sobre una superficie, como, por ejemplo, dibujar un círculo o dibujar líneas paralelas. Por otra parte, en lo que se refiere a escritura de signos lingüísticos, se pudo observar en el experimento de Kao 1986, que el fenómeno es visible tanto en la escritura cursiva del inglés (trazo continuo), como en la escritura de caracteres chinos (trazos no continuos). El fenómeno parece ser independiente también del sistema y lengua de escritura, ya que aparece tanto en inglés (Wann & Nimmo-Smith 1991), en neerlandés (van der Plaats & van Galen 1990) y en la escritura de caracteres chinos (Kao 1986); e independiente del tipo de estímulo que indica qué debería escribirse, ya sea visual (Kao et al. 1986) o acústico (van der Plaats & van Galen 1990). Actualmente no existen estudios sobre la VMP en lengua española, ni en escritura manual tipo imprenta. Esto es un vacío importante, dado que las investigaciones psicolingüísticas de la escritura manual han usado justamente el tipo imprenta (Kandel & Valdois 2006, Álvarez et al. 2009, Gallo & Baquero 2010, Roux et al. 2013).
Desde un enfoque lingüístico, existe una necesidad de observar cómo el fenómeno aparece en ciertas unidades lingüísticas de la escritura como el grafema. Debido a que los estudios anteriores se han realizado en letra cursiva, los límites entre las grafías no eran claros, y por tanto se ha hablado en términos de segmentos o trazos. Una característica que diferencia a la escritura imprenta (la cual no había sido analizada respecto a este fenómeno), de la escritura cursiva es que en teoría las grafías están separadas por espacios, lo cual permite diferenciar fácilmente a las grafías.
Debido a que el fenómeno de variabilidad progresiva de movimiento describe un pico de presión mayor hacia el final de la representación gráfica, cabría preguntarse desde una perspectiva lingüística si los grafemas a final de palabra tienen una presión promedio mayor que en inicio de palabra, en la escritura imprenta de un sistema alfabético como lo es el español. Esto sería una implicación específica del fenómeno, en la cual no importaría la complejidad del grafema, es decir, la cantidad de trazos que componen al grafema.
2. METODOLOGÍA
2.1. Participantes
Participaron en el experimento 40 personas, 21 hombres y 19 mujeres de entre 18 y 30 años (promedio de edad 21.58, desviación estándar 2.16), todos estudiantes universitarios, quienes aceptaron participar voluntariamente en el experimento y aseguraron que la escritura manual era una parte importante de su cotidianidad en especial, en su vida académica. Ninguno había participado en experimentos similares. Todos los sujetos eran hablantes nativos del español, sin impedimentos físicos o cognitivos relacionados con las habilidades necesarias para la realización de la tarea propuesta en el experimento.
2.2. Instrumentos
Los participantes realizaron las tareas de trazado usando un lápiz electrónico de tinta (Wacom Inking Pen kp1302) y una tableta digitalizadora (Wacom Intuos Pro Small) que estaba conectada a un computador personal (1.6 GHZ AMD E350, 2GB RAM). Se utilizó el programa Ductus 1.0 (Guinet & Kandel 2010) para desarrollar el experimento, registrar, almacenar y analizar los datos. Los datos fueron registrados a una frecuencia de muestreo de 200 Hz. Se sobrepusieron dos hojas de papel de 17 x 11.5 cm sobre la tableta, las cuales tenían una tabla del tamaño de la zona activa de la tableta (15.7 x 9.8 cm) dividida en 4 columnas de 16 filas.
2.3. Diseño de material
Se utilizó la base de datos léxica del español EsPal (Duchon et al. 2013) para seleccionar los estímulos del experimento. Con esta herramienta se buscaron palabras que fueran sustantivos, sin tildes y con una frecuencia léxica mayor a 1 por millón dentro del corpus. El conjunto de palabras resultantes fue analizado con el fin de encontrar los grafemas que aparecieran con mayor frecuencia tanto a inicio como a final de palabra, sin repetición al interior de las palabras. Los grafemas encontrados fueron <a>, <e>, <l> y <r>.
Con estos resultados, se observaron las longitudes de palabra, hallando que, con palabras españolas de seis, siete y ocho caracteres se podía agrupar la mayor cantidad de parejas que compartieran el mismo grafema en diferente posición (inicio y final de palabra). Se organizaron las palabras en cuatro grupos, uno por cada grafema (<a>, <e>, <l>, <r>), distribuidos a su vez en tres grupos de acuerdo con su longitud de carácter (seis, siete y ocho), los cuales estaban conformados por seis palabras: tres con el grafema de interés a inicio de palabra, y las otras tres con el grafema de interés al final de palabra. No hubo palabras repetidas.
2.4. Procedimiento
A los participantes se les pidió que escribieran las palabras, que aparecerían en la pantalla del monitor, usando el lápiz electrónico de tinta sobre la hoja con la tabla que estaba fijada a la tableta digitalizadora. Los participantes podían mover la tableta para escribir en la orientación que les resultara más cómoda. Se les solicitó que escribieran las palabras en minúscula, incluido el carácter inicial, y usando escritura tipo imprenta, es decir, sin conectar las grafías. Además, se les instruyó que debían escribir en cada celda una palabra, y que, en caso de error deberían repetir la palabra en la siguiente celda. La tabla sería llenada por columnas empezando por la primera columna de izquierda a derecha.
En total se presentaron 72 palabras las cuales aparecieron en un orden aleatorio, diferente para cada participante. Cada estímulo se presentaba individualmente y los participantes oprimían un botón en la tableta para cambiar de palabra. En la transición de palabras, la pantalla quedaba en blanco durante 1500 milisegundos. Posteriormente, aparecía la siguiente palabra de manera aleatoria en el monitor hasta agotarse las palabras.
2.5. Análisis de datos
Los datos fueron analizados usando el software Ductus (Guinet & Kandel 2010), que permitió segmentar las palabras en los grafemas individuales. El programa Ductus mide la presión de los segmentos seleccionados en unidades arbitrarias en un intervalo que va de 0 a 1024. Primero, se marcó el grafema de interés en cada palabra escrita y se calculó el promedio de la presión (véase Figura 2 y el texto que la acompaña). Para cada participante, estos valores se combinaron en un promedio correspondiente a la combinación de condiciones (posición, grafema y longitud); por ejemplo, el promedio para la posición inicial del grafema <l> en palabras con ocho grafemas etc. Esto resultó en 24 promedios por participante. Para cada uno de estos promedios también se computó la DE, como medida de variabilidad, siguiendo el procedimiento de Kao 1983.
Finalmente, para analizar si hubiese diferencias en la presión ejercida durante la escritura de los grafemas, según su posición, su identidad o la longitud de la palabra en que estaban insertos, se hizo un análisis de varianza (ANOVA) con tres factores intra-participante: Posición (inicio, fin) x Grafema (<a>, <e>, <l>, <r>) x Longitud (6, 7, 8 grafemas). Un análisis equivalente se ejecutó para los datos de variabilidad, es decir, la DE, con los mismos tres factores. Para los efectos con más de un grado de libertad numerador, se aplicó la corrección con el ε de Greenhouse-Geisser para controlar violaciones de esfericidad. El nivel alfa se fijó en el valor convencional de 0,05, es decir, si el valor p de una comparación fuera igual o menor a 0,05, se asumiría una diferencia estadísticamente significativa. El análisis se hizo con el software libre JASP (JASP Team 2018).
3. RESULTADOS
3.1. Amplitud promedio de la presión
El efecto principal de Posición fue significativo (F(1,39)=101.3, p< .001): El grafema inicial de la palabra mostró una menor presión promedio que el grafema final (402 vs 487; véase Gráfico 1).

También se encontraron diferencias significativas entre las cuatro grafemas (F(3,117)=13.4, p< .001, ε= .689): El promedio de <a> fue 429, el de <e> 425, el de <l> 470 y el de <r> 454. Un análisis post-hoc con pruebas t entre todos los diferentes pares de promedios (con corrección Bonferroni para comparaciones múltiples) arrojó que casi todas las diferencias fueron significativas (mínimo al nivel de .002, con una t mínima de 3.9): <a> vs. <l>, <a> vs. <r>, <e> vs. <l>, <e> vs. <r>. Las excepciones fueron la diferencia entre <a> y <e> (t(39) = 0.8, p= 1.0), y <l> y <r> (t(39)= 1.9, p= .413). De esta manera, <a> y <e> forman un grupo con menor presión promedio, mientras que <l> y <r> forman un grupo de mayor presión promedio.
El efecto principal de Longitud no fue significativo (F(2,78)= 0.2, p= .883, ε= .981); tampoco las interacciones Posición x Grafema (F(3,117)=2.7, p= .054, ε= .91), Posición x Longitud (F(2,78)=3.0, p= .056, ε= .976) y Grafema x Longitud (F(6,234)=2.0, p= .078, ε= .783).
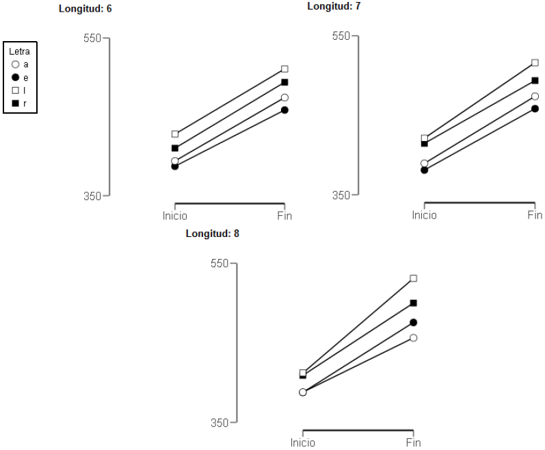
Finalmente, la interacción entre Posición x Grafema x Longitud sí se mostró significativa (F(6,234)= 2.3, p = .042, ε= .899); véase Gráfico 2. Una comparación con pruebas post-hoc no parece adecuada, porque el número de comparaciones sería muy alto y la corrección por comparaciones múltiples dejaría los valores . muy altos; sobre todo tomando en cuenta que el efecto parece ser pequeño, como se ve en el valor F. De manera especulativa, al revisar el Gráfico 1. Relación entre presión promedio del grafema (indicada como círculos) y su posición, con los bigotes indicando los intervalos de confianza a un nivel de confianza del 95 %.
En el Gráfico 2, se puede constar que la diferencia entre posición inicial y final parece ser constante. Sin embargo, las diferencias entre los cuatro grafemas, reportadas arriba, parecen depender de la posición y la longitud de la palabra. Mientras que en el análisis que comparaba solo los promedios de los cuatro grafemas, se veía una agrupación donde <a> y <e> forman un conjunto con menor presión promedio y <l> y <r> un conjunto con mayor presión promedio, esto solo parece ser el caso para la posición inicial; en la posición final, todos los grafemas parecen diferenciarse entre sí. Además, la similitud de presión promedio para <a> y <e> en la posición inicial no es muy clara en palabras con seis letras.

3.2. Variabilidad de la presión
La DE varió significativamente según la Posición (F(1,39)= 6.0, p< .019): El grafema inicial de la palabra se produjo con menor variabilidad que el grafema final (46 vs 51).
El factor Grafema también resultó en un efecto estadísticamente significativo (F(3,117)=2.8, p< .047, ε= .941). El promedio de la DE para el grafema <a> fue 47, el de la <e> 47, el de la <l> 53 y el de la <r> 48. Los pares de promedios se compararon en un análisis post-hoc con pruebas t (corrección por comparaciones múltiples según Bonferroni); no hubo diferencias significativas al nivel de alfa 0.05. En correspondencia con las diferencias entre promedios, todas las comparaciones con el grafema <l> fueron las que tenían los mayores valores t (encima de 2) y menores p (entre .082 y .286).
No hubo efecto estadísticamente significativo del factor Longitud (F(2,78)=0.5, p= .585, ε= .853). Ninguna interacción fue estadísticamente significativa: Posición x Grafema (F(3,117)=0.4, p= .699, ε= .885), Posición x Longitud (F(2,78)=1.0, p= .370, ε= .994), Grafema x Longitud (F(6,234)=2.2, p= .064, ε= .771), Posición x Grafema x Longitud (F(6,234)= 1.1, p = .363, ε= .819).
4. DISCUSIÓN
Los resultados principales revelan que existe una relación entre la presión del grafema y su posición en una palabra escrita en español, mostrando un aumento de la presión de la posición inicial hacia la final. Igualmente, la variabilidad de la presión aumenta, con una menor variabilidad en la posición inicial que en la final. Lo anterior se puede considerar como consecuencia del fenómeno general de la VMP. Se podría deducir, entonces, que el fenómeno de la VMP está presente en la escritura manual del español, así como ya se había encontrado en inglés (Wann & Nimmo-Smith 1991) y en neerlandés (van der Plaats & van Galen 1990). Sin embargo, debido a que en los trabajos de investigación anteriores se analizó solo el tipo de escritura manual cursivo o logográfico (Kao et al. 1986) no había claridad respecto a lo que sucedería en escritura manual tipo imprenta. Los resultados muestran que el fenómeno de VMP también estaría presente en este tipo de escritura.
Entre los resultados también se encontraron otros hallazgos que resultan de interés. En primer lugar, el hecho de que la presión sobre los grafemas a final de palabra no fuera significativamente distinta en relación con su posición absoluta, es decir, en relación a la longitud de palabra, revela que el fenómeno no correspondería simplemente a un incremento progresivo de la presión indefinido, sino a una distribución de la presión planificada a lo largo de la tarea. En segundo lugar, al comparar las presiones por grafema, se encontró que había diferencias significativas, especialmente al agrupar los grafemas con formas redondeadas en minúscula como <a> o <e> y contrastar su presión con grafemas cuyas formas son más lineales, como las minúsculas de <r> o <l>. Kao et al. (1986) encontraron resultados similares al comparar la presión de los logogramas chinos, caracterizados por su linealidad y formas angulares, con la letra cursiva del inglés, caracterizada por sus formas redondeadas. Este tema de las formas redondeadas versus formas angulares representa un reto para continuar trabajando en el futuro.
Debe recordarse en este punto que el fenómeno de la VPM está integrado por dos aspectos y en este artículo se ha investigado sólo el primero: la presión. Hacia el futuro debe explorarse el segundo aspecto, es decir, aumento de la variabilidad para dar cuenta completa del fenómeno VPM en español.
Finalmente, se observó que se podía analizar la VMP en unidades discretas diferentes al trazo, unidad usada, por ejemplo, en el análisis de logogramas chinos (Kao et al. 1986).
En este trabajo se tomó el grafema como unidad discreta constituida a partir de uno o más trazos y constituyente de unidades mayores como la palabra. Esta delimitación en unidades grafemáticas genera una inquietud interesante acerca de la escalabilidad, ya que se podrían hacer preguntas como, por ejemplo, ¿el fenómeno ocurre en unidades mayores como la oración o el párrafo? Esto debido a que estas unidades también pueden ser entendidas como secuencias complejas de grafemas. Este tema debe seguirse investigando, también.
Referencias
Álvarez, Carlos J., David Cottrell & Olivia Afonso. 2009. Writing dictated words and picture names: Syllabic boundaries affect execution in Spanish. Applied Psycholinguistics 30: 205-223.
Drotár, Peter, Jiří Mekyska, Irena Rektorová, Lucia Masarová, Zdeněk Smékal & Marcos Faundez-Zanuy. 2016. Evaluation of handwriting kinematics and pressure for differential diagnosis of Parkinson's disease. Artificial Intelligence in Medicine 67: 39-46.
Duchon, Andrew, Manuel Perea, Nuria Sebastián-Gallés, Antonia Martí & Manuel Carreiras. 2013. EsPal: One-stop shopping for Spanish word properties. Behavior Research Methods 45: 1246-1258.
Gallo, Alba & Silvia Baquero. 2010. Procesamiento de la palabra escrita en la vejez normal. Forma y Función 23: 71-87.
Guinet, Eric & Sonia Kandel. 2010. Ductus: A software package for the study of handwriting production. Behavior Research Methods 42: 326-332. DOI: 10.3758/BRM.42.1.326
JASP Team. 2018. JASP (Version 0.8.6) [software].
Kandel, Sonia & Sylviana Valdois. (2006). Syllables as functional units in a copying task: A visuo-othographic and graphomotor approach. Language and Cognitive Processes 21: 432-452.
Kao, Henry S. R. 1983. Progressive motion variability in handwriting tasks. Acta Psychologica 54, 1-3: 149-159.
Kao, Henry S. R., Mak Ping Hong & Lam Ping Wah. 1986. Handwriting pressure: Effects of task complexity, control mode and orthographic difference. Advances in Psychology 37: 47-66.
Kao, Henry S. R., Daniel T. L. Shek & Elbert S. P. Lee. 1983. Control modes and task complexity in tracing and handwriting performance. Acta Psychologica 54, 1: 69-77.
Letanneux, Alban, Jeremy Danna, Jena-Luc Velay, François Viallet & Serge Pinto. (2014). From micrographia to Parkinson’s disease dysgraphia. Movement Disorders 29: 1467-1475.
Neils-Strunjas, Jean, Kathy Groves-Wright, Pauline Mashima & Stacy Harnish. (2006). Dysgraphia in Alzheimer's disease: a review for clinical and research purposes. Journal of Speech, Language, and Hearing Research 49: 1313–1330.
Rodríguez-Riaño, Johanna y Silvia Baquero Castellanos. 2011. Escritura en enfermedad de Parkinson (EP): Revisión sistemática de literatura. Acta Colombiana de Psicología 14: 17-26.
Rogers, Henry. 2005. Writing systems: A linguistic approach. Malden, MA: Blackwell.
Rosenblum, Sara, Margalit Samuel, Sharon Zlotnik, Ilana Erikh & Ilana Schlesinger. 2013. Handwriting as an objective tool for Parkinson’s disease diagnosis. Journal of Neurology 260: 2357-2361.
Roux, Sébastien, Thomas J. McKeeff, Géraldine Grosjacques, Olivia Afonso & Silvia Kandel. 2013. The interaction between central and peripheral processes in handwriting production. Cognition 127: 235-241.
Shek, Daniel T. L., Henry S. R. Kao & Albert W. L. Chau. 1986. Attentional resource allocation process in different modes of handwriting control. Advances in Psychology 37: 289-303.
Van der Plaats, Rudolf E. & Gerard P. van Galen. 1990. Effects of spatial and motor demands in handwriting. Journal of Motor Behavior 22, 3: 361-385.
Wann, John & Ian Nimmo-Smith. 1991. The control of pen pressure in handwriting: A subtle point. Human Movement Science 10, 2: 223-246.
Notas
, donde . es el número de elementos de la serie, . un índice de 1 hasta n, xi un valor individual dentro de una serie, y el promedio aritmético de la serie. 5. * Este artículo es un producto que proviene de la tesis de pregrado de David Hoyos en el Programa de Lingüística de la Universidad Nacional bajo las directrices de los profesores Silvia Baquero (Dpto. de Lingüística. Universidad Nacional de Colombia) y Oliver Müller (Programa de Psicología, Escuela de Medicina y Ciencias de la Salud, Universidad del Rosario, Colombia).