Electrónica
Control Robusto de un Doble Péndulo Invertido
Robust control of a Double Inverted Pendulum
Control Robusto de un Doble Péndulo Invertido
ReCIBE. Revista electrónica de Computación, Informática, Biomédica y Electrónica, vol. 7, núm. 1, pp. 65-81, 2018
Universidad de Guadalajara

Recepción: 05 Febrero 2018
Aprobación: 21 Febrero 2018
Resumen: Este trabajo presenta el diseño de un controlador robusto H∞ para la estabilización de un Doble Péndulo Invertido (DPI). El modelo matemático del DPI es obtenido vía linealización del sistema diseñado en la Toolbox de simulación virtual SimscapeTM MultibodyTM de MathWorksÒ . Se realiza una comparación de la ejecución entre el controlador incluido por defecto en la Toolbox mencionada y el controlador propuesto. La experimentación virtual demuestra que el algoritmo de control robusto H∞ exhibe un mejor desempeño en escenarios donde existen variaciones paramétricas como era de esperarse. En este sentido, la aportación de este trabajo es mostrar la síntesis del controlador y resaltar la importancia de la Toolbox que proporciona un entorno de simulación 3D para múltiples sistemas de ingeniería mecánica y robótica. De igual manera, resulta ser una excelente herramienta didáctica para el aprendizaje de los sistemas de control retroalimentado. Palabras clave: control robusto, doble péndulo invertido, SimscapeTM MultibodyTM.
Palabras clave: control robusto, doble péndulo invertido, SimscapeTM, MultibodyTM.
Abstract: This paper presents the design of a robust H∞ controller for the stabilization of a Double Inverted Pendulum (DIP). The mathematical model of the DIP is obtained via linearization of the system designed in the virtual simulation toolbox SimscapeTM MultibodyTM of MathWorksÒ. A comparison of the execution is made between the controller included by default in the aforementioned Toolbox and the proposed controller. Virtual experimentation shows that the H∞ robust control algorithm exhibits better performance in scenarios where there are parametric variations as expected. In this sense, the contribution of this work is to show the synthesis of the controller and highlight the importance of the Toolbox that provides a 3D simulation environment for multiple mechanical and robotic engineering systems. In the same way, it turns out to be an excellent didactic tool for the learning of feedback control systems.
Keywords: robust control, double inverted pendulum, SimscapeTM, MultibodyTM.
1. Introducción
El péndulo invertido es uno de
los problemas más interesantes en la teoría de control moderno y que ha sido
abordado por la comunidad científica desde diversos enfoques como en los
trabajos de (Patil, M. & Kurode, S. 2017), (Raj, S. 2016), (Bettayeb, M.,
Boussalem, C., Mansouri, R., & Al-Saggaf, U.M. 2014), (Aoustin, Y. &
Formal, A. 2011), (Glück, T., Eder, A., & Kugi, A. 2013),(Park, M., &
Chwa, D. 2009). El Doble Péndulo Invertido (DPI) es la combinación de dos
péndulos individuales para crear un sistema altamente no-lineal que presenta un
comportamiento caótico (Li-jie, Chen 2011). El control de este tipo de
El péndulo invertido es uno de los problemas más interesantes en la teoría de control moderno y que ha sido abordado por la comunidad científica desde diversos enfoques como en los trabajos de (Patil, M. & Kurode, S. 2017), (Raj, S. 2016), (Bettayeb, M., Boussalem, C., Mansouri, R., & Al-Saggaf, U.M. 2014), (Aoustin, Y. & Formal, A. 2011), (Glück, T., Eder, A., & Kugi, A. 2013),(Park, M., & Chwa, D. 2009). El Doble Péndulo Invertido (DPI) es la combinación de dos péndulos individuales para crear un sistema altamente no-lineal que presenta un comportamiento caótico (Li-jie, Chen 2011). El control de este tipo de sistemas, llamados subactuados, es actualmente un área de investigación muy relevante por sus aplicaciones en robótica, sistemas aeroespaciales y vehículos marinos como en (Hyla, Paweł 2012), (Giua, A., Seatzu C., & Usai G. 1999), (Tomofumi Okada, Kenji Tahara 2014), (Bogdanov, Alexander 2004). Desde el punto de vista de los sistemas dinámicos, el DPI montado sobre un carro que puede desplazarse en un eje tiene un punto de operación inestable. De esta manera, es un buen punto de partida para evaluar el desempeño en lazo cerrado de algoritmos de control.
Los métodos newtonianos, leyes de energía cinética y potencial permiten modelar este problema clásico de ingeniería. El modelo matemático del DPI consiste en un sistema no-lineal de seis ecuaciones diferenciales. Estas ecuaciones relacionan la evolución de la posición y velocidad angular tanto del péndulo inferior como las del superior. Así mismo, se relaciona la posición y velocidad lineales del carro sobre el eje. La complejidad matemática, la gran cantidad de parámetros e incertidumbres en éstos, permiten que las técnicas de control robusto sean factibles para la experimentación con el DPI. Particularmente el diseño de controladores robustos por H∞ pueden tratar con sistemas de tales características. Por otra parte, la Toolbox SimscapeTM MultibodyTM de Mathworks proporciona un entorno de simulación 3D para múltiples sistemas de ingeniería mecánica y robótica (Simscape Multibody, 2016). Los cuales pueden ser modelados por bloques que representan cuerpos, articulaciones, restricciones, elementos de fuerza y sensores. La programación y solución de todas las ecuaciones del modelo no-lineal del DPI se encuentran integradas en el software. Además, es posible obtener las matrices A, B, C y D de la notación en espacio de estados para el modelo lineal del DPI.
En esta aportación se presenta la comparación de la ejecución de dos controladores. El primero es diseñado usando la conocida fórmula de Ackerman o también conocida como ubicación de polos. Esta técnica, se utiliza para la enseñanza de técnicas introductorias de control moderno en cursos de pregrado. Cabe destacar que este controlador es provisto en SimscapeTM MultibodyTM y 68 está disponible para mostrar la efectividad de la realización del DPI en ese ambiente de simulación y de su control en lazo cerrado. El segundo controlador, que es el que se presenta en este trabajo es diseñado usando la técnica de control H∞. Para ésto, el diseño del controlador es presentado en dos secciones: un controlador nominal y otro robusto. En el primero se incluye solamente el valor nominal de todos los parámetros del DPI para el planteamiento generalizado de control. En el segundo se incluyen funciones de transferencia de peso para caracterizar las incertidumbres paramétricas de la planta y obtener un controlador robusto en el sentido de la norma H∞. La evaluación del lazo cerrado demuestra que el algoritmo robusto presenta mejoras significativas cuando hay variaciones en los parámetros del modelo
2. Formulación del problema
Este trabajo aborda el diseño de un controlador robusto H∞ para la estabilización de un DPI que está montado en un carro y se desplaza en un eje. Cuando se trata con problemas de ingeniería desde el punto de vista de la teoría de control H∞ pueden definirse márgenes de variación en el sistema debido a errores de modelado o variaciones de los parámetros del sistema. Por lo tanto, la idea del control robusto es que el sistema en lazo cerrado permanezca estable a pesar de tales variaciones.
Además, en este tipo de enfoque también se engloban las perturbaciones externas, las cuales pueden afectar directamente a la entrada, salida o estados del sistema. Por otra parte, el único actuador al cual se tiene acceso para estabilizar ambos péndulos es el torque que desplaza el carro sobre el eje. Este desplazamiento se efectúa de forma minuciosa para que ambos péndulos se mantengan en posición vertical para todo el tiempo de ejecución. Es importante mencionar que la longitud del eje es acotada. Por lo tanto, la acción de control debería ser lo suficientemente suave para que el desplazamiento no sobrepase ese margen.
Las técnicas tradicionales de control clásico no son capaces de exhibir un desempeño aceptable en este tipo de problemas con dinámicas complejas y no lineales. Generalmente requieren del conocimiento de muchas variables del sistema para efectuar control. Por ejemplo, el control por retroalimentación de estados requiere que las posiciones como velocidades angulares de los péndulos sean medibles. De igual manera, la posición y velocidad lineal del carro. Si las variables no están disponibles, pueden ser determinadas por un observador de estados. Sin embargo, algunas variables pudieran ser no observables o que los sensores fueran de un costo elevado. Cabe mencionar, que el control por retroalimentación de estados no es robusto ante variaciones en los parámetros (Zhou, K., & Doyle, J.C. 1998). Por lo tanto, cualquier dinámica 69 no modelada, variación paramétrica o incertidumbre puede desestabilizar el sistema.
Las metodologías de control clásico Proporcional-Integral-Derivativo (PID), tiene únicamente una salida para la retroalimentación. Para el problema del DPI, la salida consta de dos partes: La posición angular del péndulo superior y la posición del carro dentro de su eje. Por lo tanto, el control PID es limitado para el presente problema. Los controladores no-lineales pueden ser excelentes herramientas cuando se desea tratar con problemas de control sofisticados como el del DPI. Sin embargo, la realización puede convertirse en una tarea muy desafiante para el diseñador debido a que involucra una gran complejidad matemática y experiencia en la implementación de lazo cerrado.
Por otro lado, la presente propuesta muestra que modelar el DPI mediante un esquema en SimscapeTM MultibodyTM permite obtener un modelo matemático lo bastante adecuado para el diseño del controlador sin pasar por la tarea del modelado. El diseño por la técnica de control H∞ permite considerar algunas condiciones de desempeño tales como la forma de la acción de control e incluso contemplar incertidumbres del tipo no-estructuradas. Esto se logra con la inclusión de funciones de transferencia de peso integradas en el diseño del controlador.
3. Diseño de control por H∞
3.1 Preliminares
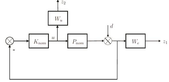
Considere que la planta G y el controlador K del sistema descrito en el diagrama a bloques de la Figura 1 poseen funciones de transferencia propias y racionales reales.

Es posible asumir que se tiene acceso a los modelos en espacio de estados que representan a G y K. También se asume que estas realizaciones son estabilizables y detectables. Con el fin de desarrollar la síntesis de control, es necesario que exista una Y > 0 tal que un controlador subóptimo K, si existe, 70 debe satisfacer que || Tzw ||∞ < Y (Zhou, K., & Doyle, J.C., 1998). La función de transferencia a minimizar está dada por:
(1)en su representación mediante una Transformación Lineal Fraccional (TLF). Donde G(s) se conoce denomina matriz de transferencia generalizada.
3.2 Diseño del controlador nominal H∞
Para realizar la síntesis de un controlador nominal por H∞ es necesario linealizar el modelo en un punto de equilibrio. Para este problema el equilibrio está situado en el origen, es decir, se busca que el carro se encuentre en la parte central del riel. Además que ambos péndulos tengan un ángulo de cero grados con respecto a su vertical. La linealizacion es llevada a cabo con el comando linmod de Matlab. Este comando linealiza cada bloque de manera individual empleando un método basado en la obtención de matrices Jacobianas para dichos bloques. Así, las matrices A, B, C, D para la representación en espacios de estado son obtenidas. Es importante señalar que las salidas del sistema son: la posición de carro y el ángulo del péndulo superior.
La planta nominal generalizada G representada en la Figura 1 se obtiene mediante su representación por TLF del diagrama a bloques de la Figura 2. Donde Pnom es la matriz de transferencia de la planta con valores nominales, la cual relaciona las salidas con la entrada de control. El vector de salida [z1, z2, y]’ se debe minimizar respecto al vector de entrada [d,u]’ en el sentido de la norma H∞, como en la Ecuación 1. Por lo tanto, la planta generalizada se describe de la siguiente manera:
(2)

La matriz de transferencia de peso We contiene funciones de transferencia de primer orden y su objetivo es incluir los requisitos de desempeño deseados para la estabilización del DPI. Wu es la función de peso que da forma a la señal de control. Las funciones de transferencia están dadas por las siguientes ecuaciones:
(3)
(4)donde estas dos últimas ecuaciones son elementos de la matriz de transferencia Pnom. Por último se tienen:
(5)
(6)Se utilizó la función hinfsyn del ToolboxTM Robust Control de Matlab con la finalidad de llevar a cabo la síntesis del controlador H∞. El controlador resultante es de orden 8 con un valor y = 0.033$. Previo a la implementacion, se realiza un análisis de los valores singulares de Hankel con el propósito de reducir el orden del controlador. La instrucción reduce de Matlab reduce el orden del controlador a 6. La matriz de transferencia del controlador se muestra a continuación:
(7)3.3 Diseño de controlador robusto en H∞
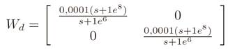
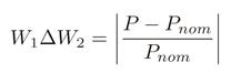
El controlador de la sección anterior considera que todos los parámetros del DPI son nominales. El diseño de un controlador robusto implica tomar en cuenta los parámetros que presentan incertidumbres, e.g. por errores de modelado. En esta aportación se consideran incertidumbres del tipo no estructuradas y que deben ser representadas por matrices de transferencia como funciones de peso. Una familia de plantas se obtuvo al variar todos los parámetros del modelo nominal linealizado del DPI. Esta familia de plantas puede ser representada utilizando incertidumbres de tipo multiplicativas,
(8)con ||/\||∞ < 1 (Zhou, K., & Doyle, J.C., 1998). Pnom es la planta nominal. W1 en y W2 son matrices de funciones de peso cuya respuesta en frecuencia simboliza la familia de plantas con incertidumbres. Por lo tanto, se puede tener la siguiente representación:
(9)Así, para cada frecuencia se tiene que
(10)De esta forma, W1 y W2 son la máxima respuesta en frecuencia de la familia de plantas con variación paramétrica. Se identifican las siguientes de funciones de transferencia con el comando fitmag de Matlab:
(11)
(12)La ecuaciones 11 Y 12 representan la incertidumbre paramétrica no modelada de la planta P. Por lo tanto, el planteamiento del problema de control robusto se modifica como se observa en la Figura 3. Finalmente, para la síntesis de este controlador se agregó la función Wd de peso que limita la magnitud de las perturbaciones externas dentro del rango de frecuencias de interés. La función de transferencia que la representa es:
(13)La planta generalizada para el caso robusto se plantea a continuación:
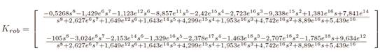
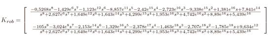
(14)Se realiza la síntesis H∞ y se obtiene un controlador de orden 13 con Y = 0.0461. El análisis de los valores singulares de Hankel permite una reducción a orden 8. La matriz de transferencia del controlador reducido se muestra a continuación:
(15)4. Simulaciones Numéricas
La representación en diagrama de bloques de Simulink y de SimscapeTM MultibodyTM que representa al modelado del DPI puede apreciarse en la Figura 4. El software permite la visualización del sistema en 3 dimensiones y simula su comportamiento con respecto al tiempo, como puede verse en la Figura 5. En esta sección se muestran 3 pruebas con diferentes perturbaciones a la posición angular del segundo péndulo. De la misma forma, se realizan variaciones paramétricas para probar la robustez del controlador. En cada uno de los experimentos se compara el desempeño del control robusto H∞ con el controlador incluido por defecto en el simulador.

Cabe mencionar que el controlador por ubicación de polos requiere la retroalimentación de todos los estados, es decir, las posiciones y velocidades angulares de ambos péndulos. Esto puede verse en la Figura 5.

El controlador por ubicación de polos fue diseñado eligiendo polos de lazo cerrado estables por supuesto y que la estabilización del DPI se obtuviera con poco sobreimpuslo en un tiempo corto. El vector de ganancias para este controlador es presentado a continuación:
(16)La implementación de los controladores nominal y robusto H∞ se llevó acabo al sustituir el bloque naranja de la retroalimentación de estados por un bloque de función de transferencia en la Figura 5. Recordando que a esta función de transferencia únicamente se lo proporciona el ángulo del péndulo superior así como la posición del carro.
4.1 Experimentación con parámetros nominales
En esta prueba se considera como perturbación al ruido de magnitud 5e -6 en el ángulo del péndulo superior. Las longitudes nominales de ambos péndulos son las siguientes:
Longitud del péndulo inferior: 18cm.
Longitud del péndulo superior: 14cm.
Las condiciones iniciales fueron:
Ángulo del péndulo superior: 5°.
Posición del carro: -1cm.
Restantes: 0.
En la Figura 6 se presentan las respuestas del controlador nominal, robusto y por ubicación de polos con parámetros nominales en el DPI. Aquí se puede apreciar que el controlador incluido por defecto en la Toolbox exhibe un mejor desempeño que los controladores diseñados por H∞. El ángulo del péndulo superior es similar para los tres controladores pero la posición del carro exhibe un comportamiento mejor para el diseñado con la fórmula de Ackerman. Sin embargo hay que recordar que para este controlador se está suponiendo que se cuenta con todo el estado para la retroalimentación.

4.2 Prueba con péndulos de longitud mayor a la nominal
La variación parámetrica se lleva a cabo al sustituir ambos péndulos por otros con longitud mayor a la nominal. Se considera un ruido de perturbación igual al caso anterior. Se compara únicamente el controlador robusto con el de Ackerman
Longitud del péndulo inferior: 37cm.
Longitud del péndulo superior: 30cm.
Ángulo del péndulo superior: 5°
Posición del carro: -1cm.
Restantes: 0.
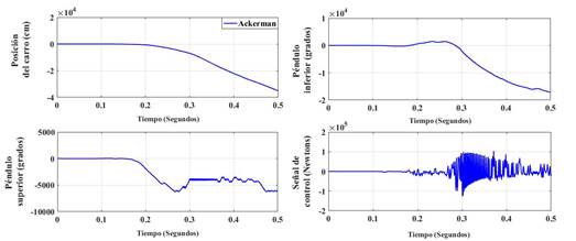
La Figura 7 muestra el desempeño del controlador robusto. Se aprecia que existe un transitorio de aproximadamente 10 segundos para que el péndulo superior se estabilice alrededor de los cero grados. Por otra parte, en la Figura 8 se puede observar que el controlador incluido por defecto no puede estabilizar al DPI e incluso la respuesta diverge por lo que el lazo cerrado se vuelve inestable.


4.3 Prueba con péndulos de longitud menor a la nominal
Similar a la situación anterior, ahora se plantea que ambos péndulos sean sustituidos por otros de longitud menor a la nominal. Se considera el mismo ruido de perturbación que en los dos caso anteriores.
Longitud del péndulo inferior: 10cm.
Longitud del péndulo superior: 10cm.
Ángulo del péndulo superior: 5°.
Posición del carro: -1cm.
Restantes: 0.
Similar al desempeño mostrado cuando los péndulos aumentan de su longitud nominal, cuando se disminuyen, el controlador robusto puede estabilizar al péndulo superior con buena precisión (Figura 9). Por otro lado, el controlador por Ackerman no puede estabilizar al DPI y de esta manera el sistema de lazo cerrado se vuelve inestable en poco tiempo de iniciada la simulación (Figura 10).


5. Conclusiones
En el presente trabajo se muestra el diseño de dos controladores por H∞ para la estabilización de un sistema de doble péndulo invertido DPI montado en un carro. El primer controlador se diseñó considerando valores nominales en el modelo del DPI. El segundo, denominado robusto, se obtuvo considerando variaciones paramétricas, incertidumbres no estructuradas, en los parámetros del DPI. Estos controladores fueron comparados con un controlador diseñado por la técnica de ubicación de polos, que viene acompañada con la demostración del modelado del DPI en el ambiente Simulink y de SimscapeTM MultibodyTM. Es conocido de la literatura que el controlador diseñado por el método de ubicación de polos no tiene la capacidad de manejar incertidumbres en los modelos de la plantas a controlar. De esta manera, el presente trabajo tiene como objetivo demostrar ese conocimiento previo con este ejemplo y, además ilustrar que el modelado de sistemas físicos por medio de la herramienta de simulación mencionada es una alternativa de gran utilidad. Esto último refiere a que es posible obtener modelos matemáticos aproximados de sistemas físicos de manera directa sin pasar por la tarea de aplicar leyes físicas que los gobiernan.
Referencias
Aoustin, Y. & Formal, A. (2011) Pendubot: combining of energy and intuitive approaches to swing up , stabilization in erected pose. Myltibody Syst. Dyn., 25: 65–80.
Bettayeb, M., Boussalem, C., Mansouri, R., & Al-Saggaf, U.M. (2014) Stabilization of an inverted pendulum-cart system by fractional PI-state feedback, ISA Trans. 53, 508–516.
Bogdanov, Alexander (2004) Optimal Control of a Double Inverted Pendulum on a Cart. Department of Computer Science and Electrical Engineering, OGI School of Science and Engineering, OHSU, Technical Report CSE 04-006.
Giua, A., Seatzu C., & Usai G. (1999) Observer-controller design for cranes via Lyapunov equivalence. Automatica, vol. 35, no 4, pp. 669-678.
Glück, T., Eder, A., & Kugi, A. (2013) Swing-up control of a triple pendulum on a cart with experimental validation. Automatica. 49, 801–808.
Hyla, Paweł (2012) The crane control systems: A survey. 2012 17th International Conference on Methods and Models in Automation and Robotics (MMAR).
Li-jie, Chen (2011) Research on the nonlinear dynamical behavior of double pendulum. 2011 International Conference on Mechatronic Science, Electric Engineering and Computer (MEC), 1637 - 1640.
Park, M., & Chwa, D. (2009) Swing-Up and Stabilization Control of Inverted-Pendulum Systems via Coupled Sliding-Mode Control Method. IEEE Trans. Industrial Electronics, Vol. 56, No. 9, 3541–3555.
Patil, M. & Kurode, S. (2017) Stabilization of Rotary Double Inverted Pendulum using Higher Order Sliding Modes. Asian Control conference (ASCC), 1818–1823.
Raj, S. (2016) Reinforcement Learning based Controller for Stabilization of Double Inverted Pendulum. IEEE International Conference on Power Electronics, Intelligent Control and Energy Systems (ICPEICES-2016), 1–5.
Simscape Multibody (2016), The Mathworks Inc., 2016a.
Tomofumi Okada, Kenji Tahara (2014) Development of a two-link planar manipulator with continuously variable transmission mechanism. 2014 IEEE/ASME International Conference on Advanced Intelligent Mechatronics (AIM).
Zhou, K., & Doyle, J.C. (1998) Essentials of Robust Control. Prentice-Hall, Upper Saddle River, NJ, 1998
Notas de autor
Enlace alternativo
http://recibe.cucei.udg.mx/revista/vol7-no1/electronica01.pdf (pdf)