Artículos
Industria automotriz argentina y sector externo (1983-2013)
Automotive industry argentina and external sector - 1983-2013
Indústria automotiva argentina e setor externo - 1983-2013
Industria automotriz argentina y sector externo (1983-2013)
Cuadernos de Economía Crítica, vol. 4, núm. 8, pp. 71-99, 2018
Sociedad de Economía Crítica

Recepción: 22 Noviembre 2017
Aprobación: 25 Abril 2018
Resumen: El sector automotor, conglomerado formado por terminales y autopartistas, históricamente usufructuó en la Argentina de regímenes especiales; sin embargo, el saldo negativo en divisas de su actividad ha sido una constante. Este artículo analiza el comercio exterior relacionado con este sector, tomando los ciclos ascendentes de las últimas tres décadas: 1984-1988, 1993-1998 y 2005-2012. En el período 1984-1988, en un contexto cerrado, el sector arrojó un déficit en divisas de cerca de 1.000 dólares por vehículo vendido en el mercado interno. En el ciclo siguiente (1993-1998), de apertura y reestructuración, este saldo negativo se cuadruplica (cerca de 4.000 dólares por vehículo). El período neodesarrollista (2005-2012) mejora ligeramente este resultado, al alcanzarse un déficit de 3.600 dólares por vehículo. Esta mejoría es producto de un incremento en la exportación de vehículos terminados y no de la sustitución de importaciones.
Palabras clave: industria automotriz argentina, comercio exterior automotor, industria automotriz y modelos de desarrollo.
Abstract: The automotive industry, a conglomerate of terminal and auto parts factories, has enjoyed historically in Argentina special protective regimes; nevertheless, its foreign trade balance has been negative time and again. This paper analyzes the external trade related to this industry, focusing on the growth cycles of the last thirty years: 1984-1988, 1993-1998 and 2005-2012. From 1984 to 1988, in a quite closed context, the industry run a deficit in its foreign trade as much as 1.000 dollars per vehicle delivered to the internal market. In the next stage (1993-1998), in an open economy, this negative balance grows 4-fold (some 4.000 dollars per vehicle). In the neo-developmentalist period (2005-2012), the negative balance diminishes slightly, reaching 3.600 dollars per vehicle. This improvement is due to an increase in the exports of finished vehicles, not to import substitution.
Keywords: argentine automotive industry, automotive foreign trade, automotive industry and development models.
Resumo: O setor automotivo na Argentina, formado por estabelecimentos terminais y fabricantes de autopeças, historicamente beneficiou-se de regimes especiais; no entanto, o saldo negativo em divisas de sua atividade tem sido constante. Este artigo analisa o comércio exterior relacionado a este setor, tomando os ciclos de expansão das últimas três décadas: 1984-1988, 1993-1998 e 2005-2012. No período de 1984 a 1988, num contexto essencialmente fechado em relação ao comércio exterior, o setor apresentou um déficit cambial de perto de 1.000 dólares por veículo vendido no mercado interno. No ciclo seguinte (1993-1998), caracterizado por considerável abertura e reestruturação, este saldo negativo vai se quadruplicar (ao redor de US $ 4.000 por veículo). No período neo-desenvolvimentista (2005-2012), o déficit diminui ligeiramente, atingindo 3.600 dólares por veículo. Esta melhoria deve-se principalmente a um aumento na exportação de veículos acabados, não à substituição de importações.
Palavras-chave: indústria automotiva argentina, comércio exterior de automotores, indústria automotiva e modelos de desenvolvimento.
Introducción
El sector automotor es un protagonista de la llamada Segunda Revolución Industrial, revolución caracterizada por una importante innovación de producto. El mismo conforma un patrón característico, caracterizado por los siguientes elementos:
· La complejidad de los productos.
· La permanente innovación de producto y de procesos.
· La fuerte concentración del diseño en algunos países.
La conformación de una cadena integrada por terminales que operan en línea de montaje, alimentadas por una extensa industria autopartista, no necesariamente integrada con la terminal, con implementación de procedimientos de tipo just in time. Dentro de las autopartes, se distinguen piezas relativamente sencillas y conjuntos ensamblados (motores, alternadores, etc.)
La separación entre industria terminal y carrocera, en el caso de ómnibus y camiones.
La presencia de economías de escala, que probablemente expliquen por qué la producción se concentra en relativamente pocos países: los 10 de mayor importancia para la producción comprenden cerca del 75% de las unidades producidas[1].
El comportamiento fuertemente pro cíclico, típico de una industria que provee bienes durables (cuya renovación puede postergarse), tanto de consumo como para inversión.
La relación entre autopartistas y terminales es muy estrecha, en función de las especializaciones de lo producido y lo demandado; pero, por lo general, las autopartistas se muestran fragmentadas, frente a terminales que han tendido a concentrarse. Por otro lado, existe un importante mercado de venta directa de autopartes para vehículos usados (reposición). Este mercado presenta diferencias en relación con las autopartes para vehículos nuevos, en la medida en que tiene menores requerimientos de calidad, a la vez que comercializa piezas usadas rectificadas. Es usual que la oferta de autopartes para vehículos nuevos y para repuestos se encuentre segmentada.
El desarrollo del comercio internacional masivo de unidades terminadas es relativamente reciente. A inicios de la década de 1960, la producción doméstica abastecía más de 90% de la demanda de los países desarrollados; esto fue el resultado del proteccionismo, y de la política de radicar plantas de ensamblado en todos los países (Williams et al., 1994: 80 y ss.). La liberalización del comercio de los países centrales y el progresivo auge de algunas economías emergentes –en primer término Japón y Corea del Sur, y luego India y China– modificarán gradualmente este panorama a partir de la década de 1970. Las exportaciones representan una creciente parte de la producción en los principales países europeos y Japón, si bien los mercados nacionales conservan importancia: entre 40 y 50% de la producción es hoy día exportado. Estos movimientos llevaron a una reconcentración territorial de la industria, luego de un período relativamente largo de la posguerra en el que se descentralizó la fabricación.
En la Argentina, el sector automotor argentino ha sido un importante protagonista, desde sus orígenes en la década de 1950, que atravesó varias etapas asociadas a los distintos patrones económicos que rigieron desde entonces. Fue además objeto de periódicas discusiones, por haber sido objeto de diferentes regímenes promocionales, ocasionando costos en términos de calidad de la producción y recursos fiscales. Se argumentó asimismo que esta protección llevó a la constitución de una industria con baja capacidad de exportación y, por ende, con un crónico déficit en sus cuentas externas por la demanda de importaciones de insumos y por las remesas al exterior de las empresas extranjeras, especialmente en el sector de las terminales (Pinazo, 2015: 107 y ss.).
Este trabajo aporta elementos de juicio sobre esta temática para contribuir al debate acerca de si es conveniente en términos del balance de divisas mantener el régimen actual para la industria automotriz (consideramos al efecto la evolución de los últimos 35 años).
El análisis considerará tres períodos. El primero será la década de 1980, una suerte de epílogo de la industrialización sustitutiva. El segundo corresponderá al “ciclo neoliberal” (1989-2002), mientras que el tercero hará referencia al “ciclo neodesarrollista” (2003-2012). Esta periodización –empleada con frecuencia– responde a diferentes contextos macroeconómicos y refleja diferentes etapas del propio sector. El hecho más relevante es el quiebre que ocurre entre las décadas de 1980 y 1990. La industria deja de atender exclusivamente al mercado interno mediante modelos muchas veces obsoletos para avanzar en un proceso de integración con Brasil, bajo una lógica más próxima a la de las cadenas globales de valor, reduciéndose fuertemente la participación de productores locales (Pinazo, Córdoba y Dinerstein, 2017).
En primer lugar, elaboramos un análisis referido al comercio exterior de vehículos y autopartes; emplearemos allí en forma extensiva información de comercio exterior, a precios corrientes y constantes. Por último, se esbozan algunas conclusiones.
1. Sinopsis histórica del sector automotor
Por razones de espacio, nos limitamos a señalar algunos tópicos históricos con fines referenciales, profundizando solamente en los períodos que serán retomados en nuestro análisis posterior (véase Barletta, Kataishi y Yoguel, 2013; Pinazo, 2015; Jabbaz et al., 2001; Schvarzer, Rojas Breu y Papa, 2003; para el caso de la industria de autopartes, ver Di Marzo Broggi, E. y Moldovan, P., 2017; Cantarella, J., Katz, L. y Monzón, N., 2017).
La industria automotriz nació en la década de 1950, al amparo de regímenes de promoción propios de la industrialización sustitutiva. Permaneció en este marco durante algo más de dos décadas; solo la liberalización del comercio y el breve episodio de revaluación cambiaria de 1980-1981 se tradujeron en una agresiva entrada de vehículos del exterior: entre 1979 y 1981 se importaron 139.766 unidades, un monto 15% mayor al total importado en los 22 años anteriores. Pero la crisis de 1982 interrumpe este trance y así es como la industria regresa a su patrón anterior, ahora ya totalmente extranjerizada, con un total de 7 terminales[2]. La década de 1980 es así una suerte de epílogo de la etapa volcada al mercado interno.
Tras la crisis hiperinflacionaria de 1989-1990, se inicia la etapa neoliberal. De la mano del Régimen de Convertibilidad, se produce una pronunciada apertura de la economía, por una fuerte revaluación cambiaria y la generalizada reducción de aranceles.
Pero el sector automotor, integrado en 1992 por 8 terminales (de las cuales una era nacional, dedicada a la fabricación de ómnibus), a diferencia de lo ocurrido durante la dictadura, se ve parcialmente preservado de los efectos de esta política. El comercio exterior es en buena medida pautado por acuerdos bilaterales entre Argentina y Brasil, en el marco del Mercosur. La viga maestra de este acuerdo es el establecimiento de un arancel externo común (35%) situado en el valor máximo que permiten los acuerdos internacionales sobre comercio (Barletta et al., 2013).
Bajo este régimen, se produce una significativa expansión de la producción, de la mano del aflojamiento de la restricción externa, lograda por la renegociación de la deuda, en el marco del llamado Plan Brady (1992). Pero si crece la exportación de vehículos y autopartes, la importación alcanzará valores aun superiores. La integración nacional de insumos cae cerca del 50%[3]; la contrapartida de esta protección es una pronunciada extranjerización, en favor principalmente de Brasil, en lo referido a la producción de autopartes. Una novedad que trae esta apertura es la proliferación de marcas y modelos, lo que da lugar a una variedad mucho mayor a la que existía durante el régimen cerrado. Esto refleja también una tendencia creciente del sector a nivel mundial a introducir diferenciaciones en los productos y a ensayar con más frecuencia cambios de modelos, todo esto sobre la base del concepto de cadenas globales de valor.
Con ajustes diversos, este régimen será el que regirá al sector en los dos ciclos bajo análisis (neoliberal y neodesarrollista); tales ajustes se referirán a los términos del intercambio compensado entre Argentina y Brasil. Esto constituye una notable excepción, dado que el conjunto de los sectores económicos se enfrentó a circunstancias muy diferentes en ambos ciclos, debido a que la fuerte revaluación cambiaria de los ’90 no se vio compensada por protección sectorial.
Es así como se arriba a una industria automotriz integrada a 2015 por 9 terminales[4]. El sector autopartista comprende por su lado cerca de 400 firmas (Castaño, 2012; para una caracterización del sector autopartista, ver Schvarztein, 2012).
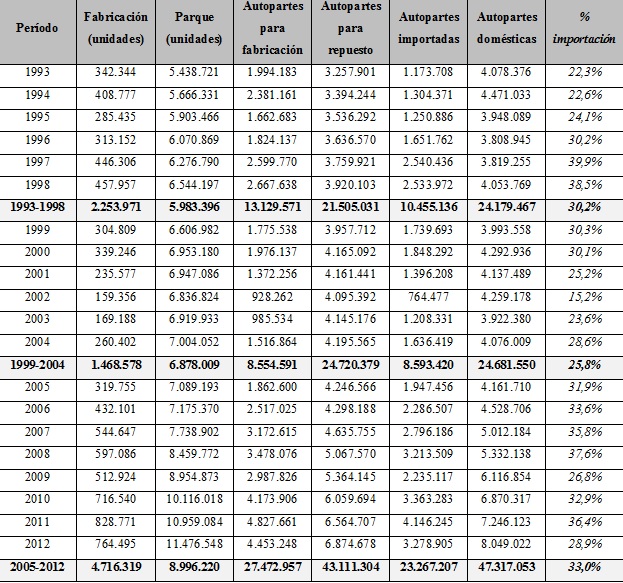
La tabla 1 resume la evolución de la producción automotriz argentina para el período bajo análisis, incluyendo algunos datos retrospectivos.
En cuanto a la periodización a adoptar para nuestro análisis, hemos identificado tres ciclos, el final de la etapa sustitutiva, el neoliberal y el neodesarrollista. De estos lapsos, consideraremos solamente las fases expansivas (sin incorporar períodos de recuperación luego de recesiones), a fin de detectar los aspectos relevantes en un período de operación relativamente “normal”. Las fases expansivas son determinadas a partir del análisis del comportamiento del PIB[5]. Los períodos adoptados en definitiva serán los siguientes:
Ciclo sustitutivo: 1984 a 1988[6].
Ciclo neoliberal: 1993 a 1998.
Ciclo neodesarrollista: 2005-2012.

Constatamos un crecimiento inicial importante, reflejo de la implantación de la industria, para luego ingresar en una meseta. Pero, a partir de la década de 1990, la producción se expande, aunque con altibajos. Entre 1993-1998 y 2010-2013, los volúmenes producidos en promedio se duplican: una tasa de crecimiento del 4,5% anual acumulativo, mientras que el PIB crece 3,7% anual. La producción de automóviles y utilitarios es notablemente más dinámica que la de ómnibus y camiones.
La tabla 2 detalla producción, importación y exportación de unidades.

Luego de tres décadas, en los años ’90, se produjo un fuerte cambio en la relación del sector con el comercio exterior; de un escenario cerrado al intercambio comercial pasamos a uno donde el comercio exterior sumado iguala o incluso supera a la producción local. Esto se ve acompañado por una pronunciada apertura en la provisión de autopartes. Crecimiento y pérdida de integración nacional son entonces dos fenómenos simultáneos, desencadenados a partir de la década de 1990, que persisten en lo fundamental en el ciclo neodesarrollista.
Esta apertura será un objeto central de nuestro análisis. El esquema de la industrialización sustitutiva aseguraba un razonable ahorro de divisas, en función de la elevada integración local de autopartes, aun sin existir exportación de unidades. Hoy día este panorama se ha tornado más complejo, al abrirse el comercio de unidades terminadas, y al disminuir el nivel de integración local de autopartes.
2. Caracterización del comercio exterior del sector automotor
Una descripción completa de las transacciones relacionadas con el sector automotor demanda identificar los sectores involucrados. Ellos son los siguientes:
Industria terminal, fabricante de unidades nuevas.
Industria autopartista, especializada en la fabricación de partes y ensamblados destinados a vehículos (nuevos o usados).
Otros sectores proveedores de insumos y equipo productivo.
Consumidores domésticos de vehículos y autopartes.
Resto del mundo.
A su vez, los productos que se transan son los siguientes:
Vehículos terminados
Autopartes
Otros insumos y bienes durables de uso difundido (esto es, no destinados solamente a la industria automotriz o a repuestos).
Las transacciones pueden caracterizarse a partir del siguiente esquema, análogo a un cuadro insumo-producto.

Señalemos que no incluimos transacciones por pago de regalías, como así tampoco flujos correspondientes a radicación y repatriación de capitales y remisión de utilidades.
A los fines del presente trabajo, interesan sobre todo los flujos relacionados con el Resto del Mundo (resaltados en el cuadro). En términos de saldo, el resultado de las transacciones internacionales referidas a comercio puede expresarse en los términos siguientes:

S: Saldo de transacciones de bienes y servicios
Xxx: exportaciones por el concepto xx
Mxx: importaciones por el concepto xx
ut: unidades terminadas
ap: autopartes para producción
re: autopartes para repuesto
id: insumos de uso difundido
Este saldo presenta algunas “asimetrías”. En principio, no resulta posible conocer el uso de las exportaciones de autopartes, en cuanto a si se dirigen a la producción o a repuestos, mientras que es posible identificar el uso en el caso de las importaciones. En sí, esto no afecta al saldo indicado, puesto que ambos usos intervienen en su determinación por igual.
En segundo lugar, pueden cuantificarse las importaciones de los insumos de uso difundido dirigidas al sector automotor; pero no hay manera de conocer las exportaciones de tales insumos a la industria automotriz del resto del mundo. Al incluir tales insumos en las importaciones solamente, el saldo se encuentra calculado con un sesgo. De todas formas, la inclusión de estos insumos torna más borrosa la delimitación de lo que podemos denominar “complejo automotor”.
Ahora bien, este saldo puede ser leído bajo dos perspectivas. La primera se concentra en la sostenibilidad externa del sector, es decir, en qué medida el sector puede compensar su requerimiento de importaciones mediante exportaciones. El segundo abordaje, en cambio, apunta a determinar cuál es el monto de divisa externa que implica sostener una industria automotriz en el país. Este segundo enfoque puede ser operado convenientemente planteando el saldo por unidad de vehículo vendido en el país, comparándolo con el valor medio de venta de los vehículos. Esto permite visualizar si la demanda neta de divisas es una porción muy significativa del valor del vehículo; si, por ejemplo, el saldo neto por vehículo representara más del 90% del valor de un vehículo importado, esto llevaría concluir a que no se justifica la existencia de la industria automotriz en las condiciones analizadas, por su costo promocional, vis-à-vis el exiguo saldo en divisas que genera. Este saldo no debería contabilizar las importaciones de autopartes para repuesto, toda vez que ellas son en principio independientes del lugar de producción de la unidad terminada: una vez que el vehículo integra el parque, demandará piezas de reposición cuyo origen en principio no tiene que ver con el país de fabricación del mismo.
No resulta posible completar este cuadro para la totalidad del período bajo análisis, por carencias de información. Puede, sin embargo, elaborarse una aproximación para el año 1997 a partir de los datos de la Matriz Insumo-Producto (MIP) de ese año, además de informaciones sobre comercio exterior[7]. El uso de este instrumento para fines de análisis sectorial no es recomendable, sobre todo por el procedimiento de prorrateo para asignar productos a actividades. Sin embargo, a falta de información más precisa, este procedimiento brinda una primera aproximación de interés.
El cuadro siguiente cuantifica, hasta dónde resulta posible, las transacciones definidas anteriormente. Se subraya que se trata de valores a precios básicos y no de mercado; esto lleva a que las transacciones internas no se encuentren valuadas a precios de mercado. Se indica en cada caso la fuente consultada o si se trata de guarismos calculados mediante un procedimiento ad hoc. Más allá de alguna diferencia en cuanto a presentación con relación al esquema anterior, este cuadro incluye una partida adicional: las autopartes vendidas por las terminales al mercado interno, para repuestos, un caso no previsto en el cuadro anterior, pero que la información estadística muestra como relevante.

Ahora bien, aplicando la fórmula indicada, se obtiene un saldo negativo de las transacciones así definidas y cuantificadas. El cuadro siguiente ofrece el detalle correspondiente.
| Exportaciones | Unidades terminadas | 2.232.971 | 2.901.583 |
| Autopartes | 668.612 | ||
| Importaciones | Unidades terminadas | 2.635.680 | 6.550.258 |
| Insumos difundidos | 1.374.142 | ||
| Autopartes para terminales | 1.620.177 | ||
| Autopartes para repuesto | 920.259 | ||
| Saldo | -3.648.675 |
El sector es entonces claramente deficitario en 1997; no aporta divisas externas en grado suficiente para compensar las importaciones que demanda.
Un aspecto que conviene destacar es que la venta de autopartes para repuestos al parque existente representa cerca de 2/3 de las ventas de la industria autopartista local (2.115 millones de dólares), al tiempo que las importaciones de autopartes a este propósito son bastante menores (920 millones de dólares). La presencia de la industria local en las ventas para repuestos es mucho mayor; es probable que tenga incidencia aquí la producción de piezas rectificadas.
Sería conveniente adicionar a este saldo el requerimiento de divisas del sector por otras transacciones de cuenta corriente asociadas al sector, como son las remisiones de utilidades, pago de regalías, etc. No disponemos de información detallada sobre estos rubros. Como una primera aproximación, podemos contabilizar las utilidades de las terminales, todas ellas de capital extranjero. Siempre en base a la información de MIP 1997, el excedente bruto de explotación fue de 751.391 miles de dólares. A este valor correspondería descontar un monto por amortizaciones, a fin de obtener las utilidades netas; pero desconocemos cualquier estimación de este concepto. De todas formas, el impacto sobre el saldo sería relativamente acotado; aun sin descontar amortizaciones, las utilidades incrementarían el saldo en un 20% aproximadamente[8].
A esto habría que agregar las utilidades de las autopartistas extranjeras, cuyo importe desconocemos. Las utilidades totales de este subsector, de acuerdo con la MIP 1997, son similares en monto a las de las terminales (760.101 miles de dólares), pero la incidencia de empresas extranjeras es seguramente menor al caso de las terminales.
Como ya se mencionó, es conveniente expresar este saldo en términos de vehículos puestos a disposición del mercado interno. Esto ofrece una indicación precisa acerca del costo en divisas de disponer de una industria automotriz, en lugar de proceder a la importación directa de los vehículos. Al efecto, deben descontarse las importaciones de autopartes para repuesto, puesto que ellos presumiblemente ocurrirían en igual medida con producción local o extranjera de vehículos. Esto significa que deberá adoptarse como saldo negativo la suma de 2.728.416 miles de dólares.
Las ventas en el año 1997 al mercado local (integradas por vehículos nacionales e importados) totalizaron 426.436 unidades (ADEFA, 1966-2016); esto conlleva una erogación de divisas de 6.400 dólares por vehículo[9]. La suma de las ventas de unidades al mercado interno es de 5.566 millones de dólares, lo que arroja un valor de cerca de 13.000 dólares por vehículo.
En definitiva, las transacciones con el resto del mundo arrojan un saldo negativo que representa 49% del valor de cada vehículo vendido al mercado interno.
3. Evolución del comercio exterior del sector automotor
La discusión llevada adelante en el apartado anterior sienta las bases para un análisis de la evolución del comercio exterior relacionado con el sector automotor.
Una primera aproximación consiste en comparar el saldo obtenido por estas transacciones, con relación tanto a los vehículos producidos como a los vehículos vendidos al mercado interno.
Esta comparación no permite discriminar entre autopartes destinadas a la producción y a repuestos; pero tiene la ventaja de ser fácilmente operable. Asimismo, se debe dejar de lado lo referido a importaciones de insumo de uso difundido, por cuanto no es posible realizar un seguimiento año a año. Los datos de comercio exterior no indican el sector que adquiere tales importaciones, de manera que no es posible saber si existió a lo largo del tiempo sustitución o de-sustitución.
En definitiva, trabajamos de aquí en más solamente con las importaciones y exportaciones de autopartes y vehículos terminados. Definiremos ahora como saldo al concepto siguiente.

siendo
S*: Saldo redefinido de transacciones de bienes y servicios
Xxx: exportaciones por el concepto xx
Mxx: importaciones por el concepto xx
ut: unidades terminadas
ar: autopartes para producción y para repuesto
Este análisis enfrenta un obstáculo importante que impide establecer continuidad para los tres ciclos bajo examen. Esto ocurre porque la fuente a consultar (la base de información COMTRADE) introduce en 1992 una redefinición profunda de la clasificación de las partidas; este año constituye así un corte que no permite elaborar series homogéneas que lo incluyan.
En consecuencia, nuestro análisis se desdoblará en dos partes. La primera hará referencia a las dos etapas postsustitutivas (1993-1998 y 2005-2012), mientras que la segunda comprende el período 1984-1988[10].
Como abordaje general, se ha dado centralidad a los dos períodos últimos, dado que es posible construir una serie homogénea, a partir de un clasificador unificado[11], identificando las partidas relacionadas con la actividad automotriz (flujos de automotores y autopartes); a este efecto, se ha utilizado como base la Matriz Insumo-Producto de 1997, cuya consistencia con los flujos comerciales ya ha sido destacada en el apartado anterior. Luego, se han identificado flujos comerciales asimilables al sector para el período 1983-1988, evaluándose su consistencia con las partidas identificadas para los dos períodos restantes. Como sería de esperar, las diferencias que se verifican corresponden sobre todo a las autopartes; los vehículos terminados constituyen un conjunto definido en forma homogénea.
Presentamos inicialmente lo ocurrido en el ciclo neoliberal y el neodesarrollista, para luego hacer referencia a lo ocurrido en la etapa sustitutiva.
3.1. Los ciclos neoliberal y neodesarrollista
El cuadro siguiente detalla los resultados alcanzados para los dos ciclos (se incluye a título referencial lo ocurrido durante el período intermedio 1999-2004).

El siguiente cuadro detalla la evolución de exportaciones e importaciones, por período, como complemento.

Estos cuadros permiten arribar a las siguientes conclusiones de interés:
Exportaciones e importaciones experimentan un fuerte incremento en el ciclo neodesarrollista, con relación al anterior, acompañando así el crecimiento que se observa en el nivel de actividad, según se vio en el apartado 2 de este trabajo. El saldo de las transacciones es negativo en ambos períodos, y aumenta un 65%.
La diferencia más importante entre ambos períodos reside en los saldos de unidades terminadas y autopartes. Mientras que el saldo referido a las primeras pasa de negativo a positivo (de menos de 4,5 a más de 1.100 millones de dólares), el de autopartes permanece negativo, incrementándose cerca de 3 veces en términos absolutos.
Pese a estos cambios, el saldo en términos de vehículos vendidos al mercado interno no varía sustancialmente en términos nominales, pasando de 4.325 a 3.638 dólares por unidad (una disminución de 16%). Debe recordarse que este saldo comprende también las autopartes destinadas al parque existente, y que no están relacionadas con la producción. Por otro lado, no se están contabilizando las importaciones de insumos de uso difundido, no identificables claramente como propios del sector automotor.
El período intermedio a ambos ciclos se caracteriza por una progresiva contracción del nivel de actividad del sector, que retoma un curso ascendente recién a partir de 2003. Las exportaciones de vehículos terminados y autopartes permanecen casi constantes, mientras caen las importaciones. Esto ocasiona una brusca caída del saldo en términos absolutos y por vehículo; de hecho, en dos años de ese período (2001 y 2002) el resultado de las transacciones con el resto del mundo es positivo.
Siempre con referencia al período intermedio, es interesante comparar lo ocurrido en 1999-2000 y 2003-2004, como años relativamente “normales” (esto es, previos y posteriores al derrumbe de 2001-2002). La producción en el primer bienio (como así también las ventas al mercado interno) es superior, pero el saldo de las transacciones externas es virtualmente igual en ambos. Llama la atención este resultado, considerando que había una gran diferencia en el valor del tipo de cambio entre ambos bienios, por obra de una devaluación nominal de 200%. Esto indica cierta insensibilidad en el comportamiento del sector, con relación al tipo de cambio real, por lo menos en el corto plazo.
El resultado central de este análisis es que, en primera aproximación, no habría habido cambios muy importantes en el saldo de las transacciones externas; las importantes variaciones que se observan en términos absolutos responderían antes que nada al fuerte incremento en la escala de actividad del sector. Hay en todo caso evidencia de algún cambio sectorial en el diferente saldo de unidades terminadas y autopartes, cuyo carácter habrá de estudiarse.
Esta aseveración sin embargo no puede ser tomada sin más, porque al tratarse de un análisis de largo plazo (entre extremos, estamos considerando un período de 20 años), inciden las variaciones de precios debido a la inflación que sufrió el dólar en este lapso.
El primer tópico puede ser evaluado a partir de algún índice de precios propio del sector. Disponemos para ello del índice de precios implícitos de las importaciones y exportaciones, obtenidos de la base COMTRADE, a partir de una estimación del volumen de comercio a precios constantes[12]. El cuadro siguiente consigna los precios implícitos para automotores.
| Período | Ind. Precios Exportación | Ind. Precios Importación | Promedio |
| Automóviles | 3,7% | -0,4% | 1,7% |
| Vehículos de carga | 4,7% | 3,3% | 4,0% |
Puede constatarse que entre ambos períodos los precios de los automotores crecieron entre 1,7% y 4% anual. Esto significa que la incidencia del saldo negativo por vehículo se habría reducido moderadamente[13].
Una pregunta interesante se refiere a si existió o no sustitución de importaciones en el período neodesarrollista y en qué medida esto explica la mejoría en el saldo de las transacciones del sector, en términos reales.
Para el análisis de este tópico, deben revaluarse los flujos a precios constantes. A este efecto, empleamos estimaciones a precios constantes de los flujos de vehículos terminados producidos localmente e importados, como así también para autopartes.
En cuanto a vehículos terminados, el cuadro siguiente compara importaciones y producción doméstica de vehículos, a precios constantes[14].

En términos agregados, ambos períodos muestran incidencias similares de importaciones. Corresponde sin embargo un análisis más detallado, habida cuenta de que a lo largo del ciclo neoliberal se observa una creciente incidencia de importaciones. El valor máximo, de hecho, se alcanza en 1998 (33,5%). En el ciclo siguiente, el valor máximo corresponde en cambio al año inicial (38,1%, en 2005); luego se observa un decrecimiento, con algunas oscilaciones. Habría un indicio de que la de-sustitución operada en el ciclo neoliberal se habría revertido en el ciclo siguiente, pero se trata de evidencia relativamente débil. Por otra parte, la mayor parte de los valores de incidencia se sitúa en un entorno acotado en ambos períodos (2/3 de los años muestran incidencias de entre 27% y 32%).
En definitiva, habría habido una limitada sustitución en unidades terminadas en el ciclo neodesarrollista, luego de la pronunciada de-sustitución del ciclo anterior. La mejoría en el saldo de transacciones de unidades terminadas que se observa en el ciclo neodesarrollista responde más al incremento de exportaciones que a la sustitución de importaciones.
¿Qué hay de las autopartes? El análisis en este caso se torna más complejo, por cuanto no se dispone de cifras referidas a la producción local de autopartes. Proponemos el procedimiento expeditivo siguiente para resolver esta carencia de información:
Se adopta como base los registros del año 1997, ya presentados anteriormente, extrapolándose los datos a partir de esta base.
Para el caso de las autopartes destinadas a la fabricación de vehículos, se extrapola el requerimiento en función del número de unidades fabricadas.
Para las autopartes destinadas a repuesto, se extrapola su demanda en función de la evolución del parque.
Se obtiene así el total de demanda de autopartes. Detrayendo de este total las autopartes importadas (valuadas a precios constantes[15]), se obtiene una estimación de las autopartes producidas localmente. Esta estimación no permite definir el destino de las autopartes importadas (esto es, si se destinan a repuesto o a fabricación).

Producción doméstica e importaciones de vehículos terminados y autopartes– 1993-98 y 2005-2012. Valores en $ (1993)
Fuente: elaboración propia en base a ADEFA (varios años), COMTRADE y MIP 1997.Este cálculo expeditivo sugiere, una vez más, un intenso proceso de de-sustitución de importaciones en los primeros años del ciclo neoliberal, que no se habría revertido en el ciclo posterior. No habría habido sustitución relevante de importaciones de autopartes.
En definitiva, la mejoría en el saldo de las transacciones con el resto del mundo responde más a un crecimiento de las exportaciones que a la sustitución de importaciones.
3.2. El ciclo sustitutivo
El análisis del período correspondiente al ciclo sustitutivo (1984-1988) comporta en principio transpolar el esquema aplicado a los períodos posteriores. Como dijimos, esto no es posible en términos precisos, por la introducción de cambios sustantivos en los criterios de clasificación de los flujos comerciales. Mientras que los datos anteriores a 1992 se encuentran clasificados de acuerdo al clasificador SITC2, los posteriores son agrupados de acuerdo al clasificador HS 92, siendo que este último presenta una desagregación mucho mayor.
Esto no presenta dificultades mayores para el caso de vehículos terminados, por cuanto se trata de un producto claramente identificable, pero sí se enfrenta a un problema importante para el caso de las autopartes. Como hemos visto, con la solitaria excepción del bienio 1979-1980, casi todo el comercio exterior anterior a la apertura del período de la convertibilidad consistía de autopartes.
A fin de lograr datos razonablemente comparables, se ha aprovechado que la clasificación antigua (SITC2) ha establecido una conciliación aproximada para los años posteriores a 1992. Esto permite encontrar un período de superposición entre ambas y, por lo tanto, definir agrupamientos similares para ambas clasificaciones.
Se identificaron para el período 1984-1988 las partidas de comercio susceptibles de ser identificadas como autopartes y se construyó una serie que abarca el período siguiente (1993-1998). Esto permite chequear consistencia, aun cuando la correspondencia entre las diversas partidas no está plenamente asegurada[16]. Esto se realiza constatando si el monto global de importaciones y exportaciones, identificados para ambas series, coinciden con alguna aproximación.
La tabla siguiente coteja los resultados obtenidos para ambas clasificaciones.
| Clasificador SITC2 | Clasificador HS 92 | |
| Exportaciones | 3.814.740 | 3.101.748 |
| Importaciones | 10.186.580 | 9.425.870 |
Las cifras muestran cierta discrepancia: 23% en el caso de exportaciones y 8% en el de importaciones; predominan de todas formas éstas últimas, por ser más de 2 veces superiores. Por otra parte, los signos inversos de las diferencias sugieren que, en términos de los bienes relevados en el clasificador HS 92, el saldo total para 1984-1988 será probablemente superior que el que arrojará el clasificador anterior.
Con estas limitaciones, comparamos en el cuadro siguiente el saldo de exportaciones e importaciones de vehículos terminados y autopartes para el período 1984-1988, comparándolo con el correspondiente a 1993-1998.
| Período | Exportaciones | Importaciones | Saldo | Vehículos Mercado interno | Saldo/ vehículo | ||
| Vehículos | Autopartes | Vehículos | Autopartes | ||||
| 1984-88 | 165.516 | 456.045 | 91.749 | 1.417.502 | -838.981 | 834.726 | -1.063 |
| 1993-98 | 7.158.750 | 3.814.740 | 11.488.677 | 10.186.580 | -10.396.291 | 2.514.825 | -4.255 |
El cuadro indica claramente que la reconversión operada a partir de la apertura económica fue negativa en términos de saldo de divisas. Esta conclusión parece robusta, más allá de que las comparaciones no sean precisas, tanto por los cambios en los criterios de clasificación como por efecto de la inflación. En otras palabras, la industria automotriz de los ‘80, heredera del “viejo” modelo sustitutivo volcado al mercado interno, comprometía por vehículo vendido una masa de divisas sustancialmente menor a lo que resultó ser a la postre la industria reconvertida de la década siguiente.
Este es el resultado de la pérdida de profundidad del sector, que pasa a convertirse en una suerte de “cuasi maquila” en la década de 1990, algo que no se revertirá en lo sustancial en el período neodesarrollista. Tal como lo señala Pinazo (2015, apartado 3.2.2), la reconversión automotriz de los años ‘90 conllevó no solo un cambio en la organización productiva de las terminales, sino antes que nada una profunda reestructuración del sector autopartista, que fue desplazado, en parte, por las importaciones y, en parte, por filiales de firmas multinacionales.
Conclusiones
El presente trabajo se ha centrado en el análisis del comportamiento del sector automotor, en sus transacciones con el resto del mundo, a partir de la década de 1980.
La etapa que se inicia con el Régimen de Convertibilidad conlleva un cambio muy importante, por cuanto se produce una fuerte apertura comercial; se reduce drásticamente la participación de proveedores nacionales, al tiempo que se incrementa la exportación de vehículos terminados y autopartes. El saldo de las transacciones del sector es negativo; para el único año para el que se dispone de información completa, se trata de un monto de 3.600 millones de dólares; si se descuentan las autopartes destinadas como repuesto, el saldo disminuye a 2.700 millones. Considerando el valor de los vehículos vendidos al mercado interno, este monto representa el 49%.
Para los años restantes, una aproximación menos detallada, que se limita a computar el saldo de transacciones de vehículos terminados y autopartes, arroja un saldo ligeramente decreciente entre ambos ciclos, en términos nominales, pasando de 4.300 a 3.600 dólares por vehículo incorporado al mercado local. La inflación verificada entre ambos períodos permite afirmar que la incidencia en términos reales ha disminuido algo más. Esto es el resultado no de la sustitución de importaciones, sino de un mejor desempeño de las exportaciones de vehículos terminados; esto hace que las transacciones por este concepto, que habían sido deficitarias durante la convertibilidad, pasen a ser superavitarias. En otras palabras, la visibilidad que ha adquirido el sector en los últimos años, en función de sus transacciones externas, no refleja tanto un empeoramiento de su desempeño externo, sino un fuerte incremento de escala entre ambos ciclos: la expansión de la producción y las ventas es del orden de 80%.
Un cómputo más completo debería incorporar también las utilidades, dividendos, pagos por patentes, etcétera, remitidos por las empresas extranjeras. No disponemos de esta información; la única referencia disponible, nuevamente para el año 1997, indica que las utilidades representan un monto relativamente moderado, dentro de los flujos externos del sector. Pero se trata con certeza de transacciones que reducen más aun el saldo de transacciones con el exterior.
El análisis del saldo en divisas del sector para la década de 1980, sin lugar a dudas, muestra que la reconversión operada por la posterior apertura económica fue regresiva en términos de las divisas involucradas. Puede estimarse conservadoramente que el saldo negativo por vehículo puesto en el mercado doméstico se triplicó; esto significó incrementar fuertemente la demanda de divisas, al compás de la expansión de dicho mercado. Paradójicamente, una industria más cerrada y menos competitiva era menos deficitaria que la posterior configuración resultante de una mayor apertura y supuestamente mayor competitividad.
¿Se justifica mantener este sector en el marco de políticas vigente? En términos del saldo de sus transacciones de bienes con el resto del mundo, el déficit que arroja no es tan elevado como para no justificarlo; la importación lisa y llana de vehículos arrojaría un saldo más desfavorable, a lo que probablemente debería sumarse la no exportación de autopartes producidas en el país. Esta afirmación debe, sin embargo, aquilatarse considerando las otras posibles fuentes de egreso de divisas, constituidas por el pago de dividendos y regalías.
Lograr que el sector automotor avance hacia un mayor equilibrio en sus transacciones externas es seguramente una meta legítima. Parece haber habido una leve mejoría en el ciclo neodesarrollista, tal vez por efecto del más elevado tipo de cambio; pero la fuerte de-sustitución de importaciones ocurrida en el ciclo de la convertibilidad, en particular en autopartes, daría asidero a la idea de que podría avanzarse más. Esto requiere desarrollar nuevos instrumentos de política, más allá del tipo de cambio, que en general parece haber tenido relativo impacto en términos de sustitución de importaciones.
Referencias bibliográficas
ADEFA (Asociación de Fabricantes de Automotores). (1966-2016) Anuario. Recuperado de: http://www.adefa.org.ar
Barletta, F., Kataishi, R. y Yoguel, G. (2013). “La trama automotriz argentina: dinámica reciente, capacidades tecnológicas y conducta innovativa”. En: Stumpo, G. y Rivas, D. (comp.) La industria argentina frente a los nuevos desafíos y oportunidades del siglo XXI. Buenos Aires: CEPAL.
Cantarella, J., Katz, L. y Monzón, N. (2017) “Argentina: factores que debilitan la integración de autopartes locales”. En: Panigo, P., Gárriz, A., Lavarello, P. y Schorr, M. La encrucijada del autopartismo en América Latina. Avellaneda: Undav Ediciones-APEL.
Castaño, A. (2012) “La situación de la industria automotriz y de autopartes en la” Argentina. Voces en el Fénix, n.° 16.
Di Marzo Broggi, E. y Moldvan, P. (2017) "La política automotriz común de Argentina y Brasil. Implicancias para el sector autopartista". En: Panigo, P., Gárriz, A., Lavarello, P. y Schorr, M. La encrucijada del autopartismo en América Latina. Avellaneda: Undav Ediciones-APEL.
Jabbaz, M., De Mendonça, A., Jaime, A., y González, N. (2001). “Industria automotriz: reconversión, crisis y cambios en la relación laboral”. V Congreso Nacional de Estudios del Trabajo. ASET.
Müller, A. y Chittaro, L. (2016). “Comercio exterior argentino: estimación de flujos a precios constantes 1993-2013”. Documento de Trabajo CESPA n.° 47. Recuperado de: http://www.blogdelcespa.blogspot.com
Pinazo, D. P. (2015). El desarrollismo argentino: una mirada crítica desde la industria automotriz. Los Polvorines: Ediciones UNGS.
Pinazo, G., Córdoba, G. y Dinerstein, N. (2017). “Un aporte a la discusión sobre la productividad laboral en la industria argentina”. Cuadernos de Economía Crítica, v. 3, n.° 6.
Schvarzer, J., Rojas Breu, M. y Papa, J. (2003). “La industria automotriz argentina en perspectiva. La reconversión de la década del noventa como prólogo a la crisis actual”. Documentos de Trabajo CESPA n.° 5.
Schvarztein, D. E. (2012). “Desarrollo industrial automotriz local: un estudio de las empresas de autopartes en la Argentina”. Realidad Económica, n° 271.
Williams, K., Haslam, C., Johal, S. y Williams, J. (1994) Cars: Analysis, History, Cases. Berghahn Books.
Notas