Resumen: Introducción: El punto crioscópico se usa para evaluar la calidad de la leche cruda entera y sus productos. Objetivo: Determinar el efecto de agregar agua sobre el punto crioscópico, composición bromatológica, contenido de urea, conteo de células somáticas y contenido de bacterias de la leche cruda. Métodos: Durante la primera etapa, tomamos 35 muestras de leche (80mL) de las localidades de Turrialba en Cartago y Zarcero, en Alajuela (abril y octubre del 2018). Agregamos agua (5, 10, 15, 20, 25 y 30% p/p) y una muestra sin adulterar como control (5 repeticiones de cada uno). Resultados: La adición de 5% de agua (p/p) fue suficiente para alterar todos los parámetros. En una segunda etapa, evaluamos concentraciones más bajas (1, 2, 3, 4 y 5% p/p). Conclusión: La adición de 1% p/p produce cambios significativos en tres parámetros: punto crioscópico, contenidos bromatológicos y conteo de células somáticas.
Palabras clave:Proteína en lecheProteína en leche,sólidos totalessólidos totales,adulteración con aguaadulteración con agua,urea en lecheurea en leche,lactosa en lechelactosa en leche,grasa en lechegrasa en leche.
Abstract: “Effect of water addition on freezing point and components of raw milk of Jersey and Holstein cows”. Introduction: The freezing point is used to assess the quality of raw whole milk and its byproducts. Objective: To determine the effect of water addition on freezing point, bromatological composition, urea content, somatic cell content and bacterial content in raw milk. Methods: During the first stage, we took 35 samples of milk (80mL) from the towns of Turrialba in Cartago, and Zarcero in Alajuela (April and October 2018). We added water (5, 10, 15, 20, 25, and 30% w/w) and kept an unadulterated sample as control (five repetitions each). Results: The addition of 5% water (w/w) was enough to alter all parameters. On a second stage, we tested lower concentrations (1, 2, 3, 4, and 5% w/w). Conclusion: The addition of 1% water (w/w) produced significant changes only on three parameters: freezing point, bromatological contents, and somatic cell count.
Keywords: Milk protein, milk solids, water adulterations, milk urea nitrogen, milk lactose, milk fat.
articulos
Efecto de agregar agua sobre el punto crioscópico y componentes de la leche cruda de vacas Jersey y Holstein

Recepción: 15 Febrero 2019
Corregido: 22 Abril 2019
Aprobación: 28 Abril 2019
La leche cruda de vaca es valorada en la industria por sus características físicas, químicas y microbiológicas (WingChing-Jones & Mora-Chaves, 2013). Está compuesta por agua, grasa, proteína, lactosa y minerales (Walstra, Wouters, & Geurts, 2006). Estos componentes varían según el patrón racial de los animales (DePeters, Medrano, & Reed, 1995), las condiciones climáticas en donde se desarrolla el sistema de producción (WingChing-Jones & Mora-Chaves, 2015), el estado sanitario de la ubre (Alhussien & Dang, 2018), el número de lactancia (Bohlouli, Alijani, & Varposhti, 2015), el contenido de almidones (Gao & Oba, 2016), el balance catión anión (Iwaniuk & Erdman, 2015) y el contenido de proteína en la dieta (Sinclair, Garnsworthy, Mann, & Sinclair, 2014); la edad del animal (Bohlouli et al., 2015), el estado de lactancia (Bohlouli et al., 2015) y los litros producidos al día (Feltes et al., 2016) entre otras variables.
En los sistemas donde el valor del litro de leche comercializado contempla estos componentes, es de importancia conocer los rangos de fluctuación de estos, control que permite al productor como al industrial detectar alteraciones que afecten la calidad de la leche. Alteraciones que podrían relacionarse a factores propios y de manejo del animal, como también a la adición de agua para aumentar el volumen de leche entregado; con azúcar, sal, bicarbonato de sodio, hidróxido de sodio, formaldehido o leche en polvo para incrementar la concentración de sólidos (Nascimento et al., 2017) o el mal funcionamiento del equipo de enfriamiento, el cual provoca que la leche se congele, se separen sus componentes, lo que afecta la calidad bromatológica.
Dentro de los indicadores utilizados en los sistemas de industrialización de la leche para determinar alteraciones se cita el punto de congelación, índice de refracción, el peso específico y la conductividad eléctrica (Abernethy, Bendall, & Holroyd, 2016). En el caso del punto crioscópico de la leche, corresponde a la temperatura en la cual la parte líquida y los solutos se encuentran en equilibrio, los valores normales de este indicador fluctúan entre -0,510 y -0,530°H, debido a que se encuentran en equilibrio con la presión osmótica de la sangre (Juárez-Barrientos et al., 2014). En el caso de Costa Rica, la Cooperativa de Productores de Leche Dos Pinos R.L., permite un rango de fluctuación del punto crioscópico de la leche entre -0,525 y -0,560°H (Dos Pinos, 2016).
Este indicador varía según el país de origen, -0,530°H en Checoslovaquia, -0,505°H en Holanda, -0,500°H Noruega, 0,515°H en Alemania, Austria y Suiza, y -0,520°H en Dinamarca, Gran Bretaña, y Suiza (Hanuš et al., 2011). Según la raza del animal se encuentran valores de -0,516 para cruces entre Holsteins y Arshire, -0,535 para animales Holstein y -0,532 en animales Arshyre (Senevirathne, Mangalika, Adikari, & Nayananjalie, 2016), -0,544 para animales Jersey, -0,535 animales Simental, -0,536 en Holstein rojo y -0,537 en Holstein negro (Kedzierska-Matysek, Litwinczuk, Florek, & Balowska, 2011). Por lo antes expuesto, el objetivo de esta propuesta fue el de determinar los cambios en el punto de congelación, la composición bromatológica de la leche, el contenido de urea, los conteos de células somáticas y contenido de bacterias de la leche cruda, relacionados a la adición de niveles crecientes de agua en muestras de leche provenientes de sistemas de producción de animales Holstein y Jersey.
Ubicación de los sistemas productivos. Las muestras se tomaron en las localidades de Turrialba, provincia de Cartago (9°54´13,05”N – 83°40´09,02”O) y en Zarcero, provincia de Alajuela Costa Rica (10°11´47,18”N – 84°26´19,75”O), durante los meses de Abril y Octubre del año 2018. En la primera zona, se encontraba un hato de animales Jersey con un promedio de producción de 16L animal/día, mientras que los semovientes de la raza Holstein presentaron un promedio de 25L animal/día, se ubicaron en la segunda localidad. Ambos sistemas de producción se caracterizan por tener un pastoreo rotacional y una suplementación energética y proteica, que se ofrece en la canoa. Además, le entregan la totalidad de la producción a una cooperativa que agremia a la mayoría de los productores de leche en Costa Rica.
Toma de la muestra: En ambas etapas, se procedió a agitar por diez minutos el tanque de enfriamiento de la leche, el cuál contenía como mínimo dos ordeños completos. Pasado el tiempo de agitación, con ayuda de un recolector con capacidad de 20mL, se tomaron muestras de 80mL de leche las cuales se colocaban en bolsas de plástico con cierre hermético con capacidad de 100mL.
Adulteración de la leche: En una primera etapa se trabajó con seis niveles de adulteración de la leche con adición de agua (5, 10, 15, 20, 25 y 30% p/p). Niveles que se determinaron por la suposición de que por error el agua contenida en la tina de lavado de las pezoneras fuera succionada y depositada en el tanque de enfriamiento. Cada nivel de adulteración fue repetido cinco veces, para un total de 30 bolsas de leche. Para comparar los resultados, se tomaron cinco muestras de leche, las cuales no se adulteraron. Estas 35 muestras, recolectadas en cada sistema productivo, fueron colocadas en una hielera con hielo y trasladas al laboratorio de calidad de leche de la Cooperativa de Productores de Leche Dos Pinos R.L., donde se analizó el porcentaje de grasa, proteína, lactosa y sólidos totales; el valor de urea en leche y el punto crioscópico. Para la caracterización bromatológica de la leche se procedió como lo indican WingChing-Jones y Mora-Chaves (2013) donde se utilizó 8mL de leche para la determinación automática de las variables con ayuda del equipo MilkoScanTM FT 120 Type 71200 de FOSS Electric A/S. En el caso de la determinación de la urea en leche se utilizó el equipo ChemSpec 150 de Bentley Instruments y un kit a base de la enzima ureasa. En una segunda etapa y apoyados en los resultados obtenidos en la primera etapa, se pasó de rangos de adulteración de cinco unidades porcentuales a rangos unitarios, con niveles de adulteración de 0, 1, 2, 3, 4 y 5% de agua, para así determinar el mínimo porcentaje de agua adicionada que provoca en la leche entera un cambio significativo en su composición bromatológica (grasa, lactosa, sólidos totales), conteo bacterial y contenido de células somáticas, el valor de urea en leche y el punto crioscópico. Para alcanzar este objetivo, se tomaron cinco muestras de 80mL de leche para cada nivel de adulteración en cada sistema de producción, para un total de 30 bolsas. De igual manera que en la primera etapa, las muestras fueron trasladadas en hielera con hielo, al Laboratorio de Calidad de Leche. El conteo de células somáticas se determinó mediante la metodología descrita para el equipo Fossomatic Serie 400 descrita por WingChing-Jones y Mora-Chaves (2013) donde se inyectan 10ml de leche cruda al equipo para el análisis. Para el conteo bacterial, se utilizó el equipo BactoCount IBC 50/ IBC 100 que por medio de la citometría de flujo realiza de forma automática el recuento de bacterias de forma individual (Bentley Instruments Inc). En este caso, se inyectan 6ml de la muestra de leche que es preparada con la adición de una solución buffer (pH=9,40), un colorante y reactivo de incubación específico del equipo. Mientras que el punto crioscópico fue determinado de forma automático con ayuda de un crióscopo (Modelo 4D3/4250-Advanced Instrumnets Inc), donde, 2,5ml de leche cruda presentan una disminución por debajo del punto de congelación hasta la cristalización, registrando la temperatura donde se da un balance entre la parte sólida y líquida de la muestra.
Análisis de la información: En ambas etapas, se utilizó un diseño irrestricto al azar para cuantificar el efecto de las adiciones crecientes de agua (p/p%) sobre la concentración de grasa, proteína, lactosa, sólidos totales, el valor de punto crioscópico, contenido de urea en leche, conteo de células somáticas y conteo bacterial que presentó la leche cruda entera de animales Jersey y Holstein. Cuando se determinaron efectos significativos en cada variable dentro de una misma raza, se utilizó la prueba de Duncan (p<0,05) para separar las medias de cada población. Además, se realizó una comparación entre razas según el comando PROC GLM de SAS, para determinar el efecto de raza sobre las variables bromatológicas de la leche, el contenido de urea y el punto crioscópico, para tal fin, se utilizaron las muestras de leche en cada raza que no fueron alteradas con agua.
Para determinar el porcentaje de cambio en cada componente de la leche cruda analizada en la primera y segunda etapa de esta investigación, se utilizó la siguiente ecuación para su determinación; el resultado obtenido se graficó de forma creciente según el porcentaje de adición de agua para cada componente bromatológico y de calidad de la leche analizado.
Porcentaje de cambio del componente T de la leche cruda = [(Valor del componente X de la leche cruda – Valor del componente X de leche de cruda con Y porcentaje de adición de agua) / Valor del componente X en la leche cruda] * 100.
Ética, conflicto de intereses y declaración de financiamiento: Los autores declaran haber cumplido con todos los requisitos éticos y legales pertinentes, tanto durante el estudio como en el manuscrito; que no hay conflictos de interés de ningún tipo, y que todas las fuentes financieras se detallan plena y claramente en la sección de agradecimientos. Asimismo, están de acuerdo con la versión editada final del documento. El respectivo documento legal firmado se encuentra en los archivos de la revista.
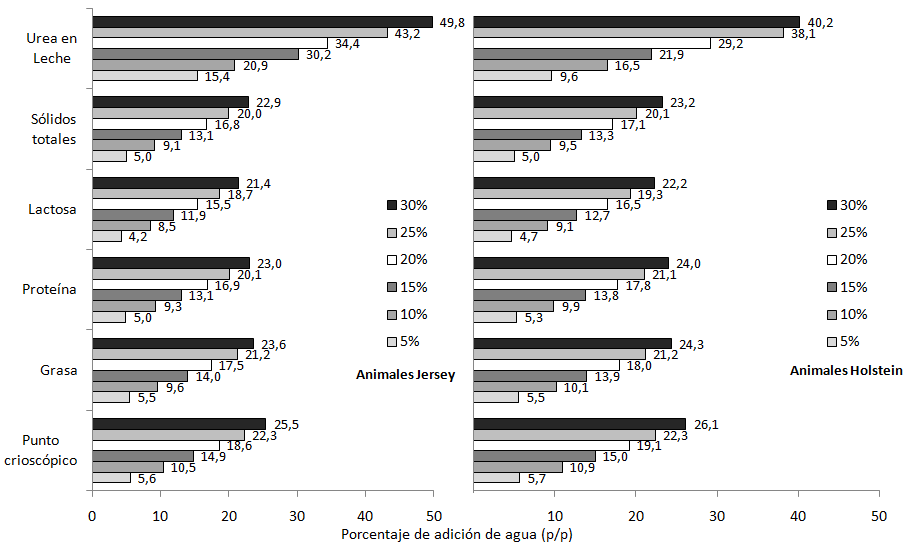
En la primera etapa del trabajo se demuestra que las muestras de leche provenientes de animales Jersey y Holstein en lactancia, varían significativamente (p<0,05) la lectura del punto crioscópico, el porcentaje de grasa, proteína, lactosa, sólidos totales y el valor de urea en la leche, debida a la adición de 5% de agua (p/p) (Cuadro 1). El punto crioscópico y componentes de la leche se nota una proporcionalidad en el porcentaje de cambio según el volumen de agua adicionada hasta un valor de 15%, no así por encima de este porcentaje, donde el cambio en la respuesta no es proporcional (Fig. 1).
De igual manera en la segunda de esta prueba, al utilizar adulteraciones de 1, 2, 3, 4 y 5% de agua (p/p), la leche entera de estos animales en producción refleja cambios significativos (p<0,05) en su punto crioscópico, contenidos bromatológicos y conteo de células somáticas debidas a la adición de 1% de agua en las muestras analizadas (Cuadro 2, Fig. 2).
En el caso de la urea en leche, en ambas razas se observa una capacidad amortiguadora de hasta 4% de adulteración con agua, para que se note un cambio significativo. En el caso del contenido de grasa, solo en las muestras de animales Jersey, se cuantifico un cambio significativo por encima de 2%(p/p) de adicción de agua.
Al analizar la respuesta porcentual en los cambios por adulteración con agua, el punto crioscópico, el porcentaje de grasa, proteína, lactosa y sólidos totales de la leche, se nota un patrón similar a la cantidad adicionada, mientras que el valor de urea en leche y el conteo de células somáticas, no presenta una tendencia clara.
En el caso de las razas estudiadas, se nota que la raza Holstein presenta un valor mayor de punto crioscópico que los animales Jersey (Cuadro 3). De igual manera, el porcentaje de lactosa y los valores de urea en leche. En cambio, los porcentajes de grasa, proteína y sólidos totales favorecen a la raza Jersey sobre los animales Holstein analizados.




*Letras minúsculas diferentes en una misma fila para la raza Jersey, indican diferencias significativas entre medias según la prueba de Duncan (p<0,05)
+ Letras mayúsculas diferentes en una misma fila para la raza Holstein, indican diferencias significativas entre medias según la prueba de Duncan (p<0,05)

La leche obtenida de los animales Holstein y Jersey en esta investigación presenta un contenido de agua de 87,99 y 86,86% respectivamente. La adición mínima de 1% de agua a un volumen conocido de leche cruda entera diluye los componentes de esta, lo que genera una disminución significativa en los valores promedio para cada raza evaluada. Comportamiento que permite establecer un valor de referencia para cada raza, por el cual, lecturas debajo del mismo, se asocian a adulteraciones con agua. La diferencia obtenida entre razas para el punto crioscópico puede relacionarse a factores ambientales, de manejo y de la raza (Henno et al., 2008). En el caso de la raza, esta se relaciona a la composición de la leche, donde el contenido de lactosa, sales de cloro y otros constituyentes solubles (calcio, magnesio y potasio) de la leche influyen en 55, 25 y 20% en el punto crioscópico, respectivamente (Henno et al., 2008). De igual manera, otros autores indican que el contenido de lactosa influye en 53,2% el valor del punto crioscópico de la muestra de leche analizada (Senevirathne, Maugalika, Adikari, & Nayananjalie, 2016). Mientras que, el contenido de potasio, cloro, sodio, citrato y urea se le atribuye un efecto a este punto de 12,7; 10,5; 7,2; 4,3 y 1,9% respectivamente (Zagorska & Ciprovica, 2013).
Además de estos factores, la composición de la leche y por consiguiente el punto crioscópico es afectada por la ocurrencia de mastitis subclinica, consumo de agua, estrés calórico, presencia de CO. en la leche (Janštová, Dračková, Navrátilová, Hadra, & Vorlová, 2007) el periodo del año, condiciones ambientales, edad y tipo de alimentación del animal, periodo de lactancia, nivel de producción (Dabija, Mironeasa, Orojan, & Sion, 2018) y el ciclo estral de la vaca (Toledo-Alvarado et al., 2018). En este trabajo, ambos sitios presentan condiciones climáticas diferentes, lo que propicia condiciones de estrés calórico en los animales Jersey (Conejo, 2017), que afectan el consumo de materia seca por consiguiente el aporte de nutrimentos para la producción de leche, lo cual, se asocia a los nutrimentos presentes en el torrente sanguíneo y los alveolos de la ubre, durante la síntesis de la leche (Strucken, Laurenson, & Brockmann, 2015). Argumento que se fortalece, al analizar el contenido de urea en leche presente en las muestras analizadas, donde se determina una diferencia de 2,82mg/dL que favorece a los animales Holstein, valor asociado a una mayor cantidad de proteína degradable en la ración que reciben los animales durante el día y que indica que los animales Jersey, no alcanzan el rango óptimo de 12 a 16mg/dL de urea en leche (Gonzáles & WingChing-Jones, 2016).
En el caso de la grasa de la leche, la cual favorece en 0,89% a los animales Jersey, no se asocia como un agente modificador del punto crioscópico, comportamiento que relaciona al tamaño de la partícula y a la composición de la molécula de grasa, donde el 97 al 98% de esta, es una mezcla de triacilgliceroles (acilgliceridos de tres moléculas de ácido graso) y de vitaminas liposolubles, ceras, esteroles, pigmentos y lípidos neutros (Gantner et al., 2015).
Al comparar ambas razas, es importante considerar que al transformar estos porcentajes a kilogramos de grasa, proteína, lactosa y sólidos totales, los animales Holstein (25L/animal/día) superan en 180 (900 contra 720g/animal/d), 210 (750 contra 540g/animal/d), 460 (1 180 contra 720g/animal/d) y 900 (3.000 contra 2 100g/animal/d) g/animal/d a los animales Jersey (16L/animal/d) respectivamente, lo que genera un mayor ingreso por animal relacionado a la venta de la leche, sin considerar los gastos en que se incurre en el manejo nutricional, sanitario y vida productiva de cada semoviente.
En el caso de los conteos bacteriales y conteos de células somáticas, el comportamiento obtenido se asocia a una respuesta a la dilución de la muestra analizada por incrementar el volumen de agua. Pero en el caso de animales Holstein, relacionado al conteo bacterial de las muestras, se podría relacionar a un problema de contaminación no visible del agua utilizada para la adulteración, que afecto la tendencia obtenida en esta variable, que se obtuvo en las siete variables analizadas, la cual fue hacia la baja.
Se agradece a la Unidad de Calidad de la Leche de la Cooperativa Productores de Leche Dos Pinos R.L y a los sistemas de producción que permitieron la toma de la muestra en los sistemas productivos.




