articulo científico
Chlorophyll fluorescence and biomass partitioning within light and nitrogen deficiency: An example of the use of the R programming language for teaching
Fluorescencia de clorofila y la partición de biomasa en condiciones de deficiencia de luz y nitrógeno: un ejemplo del uso del lenguaje de programación R para la docencia
Chlorophyll fluorescence and biomass partitioning within light and nitrogen deficiency: An example of the use of the R programming language for teaching
UNED Research Journal / Cuadernos de Investigación UNED, vol. 12, no. 01, p. 2629, 2020
Universidad Estatal a Distancia

Received: 11 September 2019
Corrected: 27 January 2020
Accepted: 02 February 2020
Abstract: Introduction: Chlorophyll Fluorescence (Fv/Fm) detects damage in photosystem II (PSII) in plants exposed to stress (biotic and/or abiotic). Objective: In this context, Fv/Fm for the diagnosis of the effect of N deficiency and light in tomato plants (Solanum lycopersicum) was evaluated. Methods: We used the software R to analyze data from an experiment consisted of two light treatments (high and low) and two Hoagland nutritive solutions (N deficiency: (-)N; and complete solution: C). Twenty tomato plants within the two light treatments, with two nutrient levels ((-)N and C) were used. For four weeks, weekly measurements for height (H), leaf number (NL), and Fv/Fm were made. On the fourth week, the dry mass partitioning (root: RMR; stem: SMR; and leaves: LMR) and chlorophyll concentration (a, b, a/b, and total) was measured. Results: We found statistically significant differences between treatments for H, NL and Fv/Fm .KW> 14,5, g.l.= 3,76, P<0,01), but no differences for chlorophyll concentration (F<2,2; g.l.=1, 16, P>0,05). In both light conditions it was higher LMR in C treatment, but with lower RMR compared to (-)N. Statistically significant correlations (% Spearman, P<0,05) between Fv/Fm and LMR, RMR, and SMR (-76%, 69%, and 37%, respectively) were found. Conclusion: Overall, we can emphasize that the Fv/Fm is a sensitive variable to the stress caused by nitrogen and light deficiency, whose progress of stress time-course can assess. Finally, Fv/Fm proved to be an indicator of the dry mass partition of stress induced by . deficiency and could be implemented as diagnostic in breeding programs.
Keywords: Chlorophyll fluorescence, dry mass partitioning, nitrogen deficiency, light, tomato.
Resumen: “Fluorescencia de clorofila y la partición de biomasa en condiciones de deficiencia de luz y nitrógeno: un ejemplo del uso del lenguaje de programación R para la docencia”. Introducción: La fluorescencia de clorofila (Fv/Fm) detecta el daño en el fotosistema II (PSII) en plantas expuestas a algún tipo de estrés (biótico y/o abiótico). Objetivo: En este contexto, se evaluó la fluorescencia de la clorofila (Fv/Fm) para el diagnóstico del efecto de la deficiencia de N y la luz en Solanum lycopersicum. Métodos: El experimento consistió en dos tratamientos de luz (alta y baja) y dos soluciones de Hoagland (N deficiencia: (-)N; y solución completa: C). Durante cuatro semanas se realizó mediciones semanales de altura (H), número de hoja (NL) y Fv/Fm. En la cuarta semana se midió la partición de biomasa seca (raíz: RMR; tallo: SMR; y hojas: LMR) y concentración de clorofila. Resultados: Encontramos diferencia estadísticamente significativa entre los tratamientos para H, NL y Fv/Fm (P<0,01), con excepción de la concentración de clorofila (P>0,05). En ambas condiciones de luz fue mayor LMR en el tratamiento ., pero con menor RMR en comparación con (-)N. Se encontró correlación estadísticamente significativa (P<0,05) entre Fv/Fm y LMR, RMR y SMR (-76%, 69% y 37%, respectivamente). Conclusión: En general, podemos enfatizar que el Fv/Fm es una variable sensible al estrés causado por la deficiencia de nitrógeno y luz, cuyo progreso puede evaluarse a lo largo del tiempo. Finalmente, Fv/Fm demostró ser un indicador de la partición de la biomasa del estrés inducido por la deficiencia de N y podría implementarse en el diagnóstico en programas de mejoramiento.
Palabras clave: Fluorescencia de clorofila, partición de masa seca, deficiencia de nitrógeno, luz, tomate.
In recent years, chlorophyll fluorescence measurements applications have increased in the field of plant physiology research (Dong, Men, Li, Zou, & Ji, 2019; Küpper et al., 2019; Li, Song, Zhou, Xu, & Zhou, 2019; Madriaza, Saldaña, Salgado-Luarte, Escobedo, & Gianoli, 2019; Hussain et al., 2019). Chlorophyll fluorescence can be measured by non-destructive low-cost methods to detect photosystem II (PSII) damage in plants exposed to some type of stress (biotic and/or abiotic) (Baker, 2008; Murchie & Lawson, 2013). Chlorophyll fluorescence occurs in the first phase of photosynthesis processes where light is absorbed by photosynthetic pigments such as chlorophyll (Chl) and some accessory pigments in the open reaction centers of PSII (Liu et al., 2004). Structure and concentration pigments play an important role in the efficiency of light capture (Horton & Ruban, 2004). It is well documented that changes in the content of Chl a, b, and a/b ratio are closely related to the adaptation processes to maximize the uptake of light by chloroplasts (Björkman, 1981). In plants stress free conditions, the photosynthetic pigments absorb light energy to promote photosynthesis, a fraction of this dissipated as heat, and the rest is remitted as Chl fluorescence (Ruban, 2016). Chl fluorescence has a direct relationship to final process of assimilation of C, and could be used to measure plants photosynthetic apparatus efficiency to convert light into chemical energy (Enríquez & Borowitzka, 2010; Bettini et al., 2016).
Nitrogen (N) is one of the essential macronutrients required for plants growth and development as it is the main constituent of amino acids (Singh, Kumar, Singh, & Prasad, 2014; Singh, Singh, & Prasad, 2016), enzymes (e.g.: nitrate reductase, glutamine synthetase, glutamate dehydrogenase, etc.) (Singh et al., 2016), and core photosynthetic pigments, i.e. Chl a and b (both formed by a pyrrole ring structure of N with a Mg as central atom). N in plants also acts as a signaling element that affects the expression of numerous genes; these participate in the regulation of processes such as the rate assimilation of N and C, carbohydrates metabolism, and as defense antioxidant systems against biotic or abiotic stress, among others (Singh et al., 2014; Singh et al., 2016). Therefore, it is expected that a N deficiency results in the foliar level a decrease in soluble sugars, starch, proteins, nitrates, Chl (Cai et al., 2012; Hussain, Khan, Cao, Wu, & Geng, 2016), and an increased of reactive oxygen species (Lin, Chao, Huang, & Kao, 2011). Nitrogen availability of plays an important role in the synthesis of photosynthetic pigments, which is modulated by the availability of light. Here, we hypothesized that N deficiency conditions could be attenuated under low light conditions.
Relationships between Chl fluorescence and primary gross production has stimulated a flurry of research (Gu, Han, Wood, Chang, & Sun, 2019). To our knowledge, there is limited information about the link between chlorophyll fluorescence and dry mass partitioning of plants under nitrogen deficiency conditions. Nitrogen deficiency can affect the biosynthesis of enzymes (Bernard & Habash, 2009; Ortigosa, Valderrama‐Martín, Ávila, Cánovas, & Cañas, 2019) which are necessary to repair damage to the membrane of thylakoids in the reaction center of PSII; this damage causes a fall in Chl fluorescence, which manifests as a carbohydrate synthesis reduction and consequently alters the root-to-leaf ratio (root system increase in the search for N). We hypothesize that plants with N deficiency invest more growth in the radical system affecting the leaf.
Solanum lycopersicum L. (tomato) is among the most important and widely traded vegetable crops in the world and has a central position in the human diet as source of vitamins, carbohydrates, proteins, and mineral nutrients (Seddon et al., 1994; Szeto, Tomlinson, & Benzie, 2002). Tomato plants exhibit rapid growth and differential dry mass accumulation in response to changes to nitrogen supply (Ortigosa et al., 2019). Tomato was used as a model plant to study of Chl fluorescence application for diagnosis of effect N and light deficiency. We evaluated growth, dry mass partitioning, and Chl concentration of tomato grown in a greenhouse. Finally, due to the research project has been developed in the frame of a “Plant Anatomy and Physiology” course for students of the second year of Biology Degree in Universidad Nacional, Costa Rica, it was made a GitHub repository for access to . script, database, and statistical results. This can be used to elaborate scientific analysis reports, for teaching in order to aid students’ data interpretation and to increase scientific communication skills.
MATERIALS AND METHODS
Study area: The research was conducted between October and December 2018 in the greenhouse of the Laboratory of Functional Ecology and Tropical Ecosystems (LEFET), National University of Costa Rica, Heredia. According to IMN (2019), average monthly temperature, precipitation, and relative humidity of air during the study period were between 19,5-20°C, 184,2-441mm, and 83-88% (max.-min.), respectively.
Experimental design, plant material, and growth conditions: The experiment consisted of two light treatments in the greenhouse (onwards called as high and low, 439,8±12,1 standard error (SE) and 70,3±3,7 SEμmol m-2 s-1 PPFD, respectively) and two Hoagland solutions (N deficiency: (-)N; and complete solution: C). Solution C consisted of 20mL of KNO3, KH2PO4, MgSO4, and 30mL of Ca(NO3)2, and the (-)N solution in 20mL of KH2PO4, MgSO4, and KCl, and 30mL of CaCl2. In both cases, a complete solution of micronutrients (g L-1: 2,86 H3BO, 1,81 MnCl2(H2O)4, 0,22 ZnSO4(H2O)7, 0,08 CuSO4(H2O)5, 0,02 H2MoO4(H2O)) and distilled water was added to obtain a final volume of 10L. We used 80 healthy plants of S. lycopersicum (cv. Hay Slip) previously acclimated in the greenhouse for a week with a similar number of leaves and height (5-6 leaf and 6,5±0,3cm, respectively). Within the two light treatments, with two nutrient solution levels, 20 plants were randomly assigned for each light-deficiency treatment combination. Each plant was placed in a glass container with 100mL of the corresponding solution; periodically the solution was changed to avoid pH changes and contamination by algae and/or fungi. Weekly measurements of height (H, from first lateral root to apex meristem), number of leaf (NL, young leaf in the meristem apical and mature) and maximum photochemical efficiency (quantum yield, Fv/Fm) of open reaction centers II (RCIIs) (Cosgrove & Borowitzka, 2010), were measured.
where Fo is the minimum and Fm is the maximum fluorescence yield (Baker & Rosenqvist, 2004). Fv/Fm was measured using a photosynthesis yield analyzer (model MINI-PAM-II/R, Heinz Walz GmbH, 91090 Effeltrich, Germany) in plants that were 15 to 20min. in darkness on a leaf completely expanded by the plant, located in the first pair from the basal part of the plant. Mature leaves were selected on the rationale that N is a mobile macroelement that, under deficiency conditions, the plant can easily transfer N from the mature leaves to the young ones. After the fourth week of growth, dry mass of root (RDM), leaf (LDM), shoot (SDM) and total (TDM) of 15 plants were obtained for each combination of light-deficiency treatment (dry mass was obtained at 60°C for 72h). Dry mass partitioning as RDM-to-TDM ratio (RMR), LDM-to-TDM ratio (LMR), SDM-to-TDM ratio (SMR), RDM-to-LDM ratio (RLR), and RDM-to-aboveground dry mass ratio (RBA) were calculated. Finally, in the fourth week of growth, combinations of light-deficiency treatment, the concentration of leaf chlorophyll (Chl) a, b, a/b ratio, and total were measured for each of five plants. The concentration of leaf chlorophyll was measured by the spectrophotometry in a set of leaves per plant, for this each plants was macerated with 80% acetone (3mL), CaCO3 (one pinch), and then centrifuged for 30s. Chl a, b, and total concentration was calculated by the following equation (Eq. 1, 2, and 3, respectively) (Lichtenthaler, 1987), where A is the absorbance (646 and 663nm):
[Eq. 1]
[Eq. 2]
[Eq. 3]Data analysis: H, NL, and Fv/Fm were evaluated by Kruskal-Wallis analysis (KW) for each week (1 to 4 weeks) for all combinations of light-deficiency treatments (Light: high and low; and Deficiency: (-)N and C), and comparison a posteriori of Fisher's Least Significant Difference (LSD). Dry mass partitioning (RMR, LMR, SMR, RLR, and TDM) and concentration of leaf chlorophyll (a, b, a/b, and total) were evaluated by nested ANOVA for unbalanced samples with Light as main factor and nested deficiency within light factor (Deficiency/Light) and comparison a posteriori of Fisher's LSD. A ternary relationship between SMR, LMR, and RMR for all combinations of light-deficiency treatments, were made. In addition, Spearman (rs) correlations between RMR, LMR, SMR, and Fv/Fm for all combinations of light-deficiency treatments were performed, and fluorescence analysis between LMR and RMR was made. Multivariate associations among Fv/Fm and morphological traits were analyzed using a principal component analysis (PCA). Treatments that produced similar plant responses were clustered using a multivariate technique of grouping analysis according to the method of Tocher, which is based on Euclidean average distances (Rencher, 2003). PCA was performed using the . package factorextra (Kassambara & Mundt, 2017). All statistical analyses were performed using . programming language, version 3.4.0 (Crawley, 2002; RCoreTeam, 2017) with a significance level of α=0,05. Finally, a GitHub repository for access to . script, database, and statistical analyses results, was made (DOI: 10.5281/zenodo.3628072).
Ethical, conflict of interest and financial statements: the authors declare that they have fully complied with all pertinent ethical and legal requirements, both during the study and in the production of the manuscript; that there are no conflicts of interest of any kind; that all financial sources are fully and clearly stated in the acknowledgements section; and that they fully agree with the final edited version of the article. A signed document has been filed in the journal archives.
RESULTS
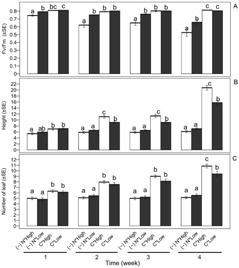
Chlorophyll fluorescence levels in nitrogen deficiency treatment indicated accumulation of stress in a time-course (reduction of Fv/Fm) with lower of Fv/Fm values on high light treatment (Fig. 1A), despite the fact that chlorophyll concentration levels were constant during the experiment (F<2,2; g.l.=1,16; P>0.05). In contrast, Chl fluorescence on the complete solution was not variable regardless of the light treatment. Also, H and NL (Fig. 1B and Fig. 1C, respectively) for the fourth week had significant difference between low and high light condition for . solution treatment (KW>14,5; g.l.= 3,76; P<0,01), contrary to (-)N treatment that showed no significant difference between light conditions, regarless the week on which measures were done.
Regarding dry mass partitioning, in both light conditions LMR in C treatment was higher respect to (-)N treatment, however, RMR was higher in (-)N treatment (Fig. 2). SMR was conservative, showing no significant differences between deficiency treatments for each light condition (Table 1).
The ternary relationship between SMR, RMR, and LMR, together with Fv/Fm levels (intensity of color) and TDM (size of the symbols), showed that a higher Fv/Fm, provoke higher LMR and TDM, and lower RMR, whereas SMR remained with low variability, this was with a range between 10-20% (Fig. 3A). The variability found by all combinations of light-deficiency treatments for LMR, RMR, TDM, and Fv/Fm were between 30-65%, 15-50%, 0,5-2g DM and 0,2-0,8, respectively. These variabilities were closely correlated (% rs) among all the pairs of variables, with the exception between SMR and LMR (Fig. 3B): RMR and LMR showed the highest correlation (91%), followed by Fv/Fm and RMR (-76%), Fv/Fm and LMR (68%), and finally SMR with Fv/Fm and RMR (36 and 37%, respectively).

High correlation between RMR and LMR was adjusted to a linear regression model (Fig. 4), here three important points are shown: (i) the slope of linear regression (0,875±0,044 SE, t=51,83, df=56, P<0,001) reflect the RDM-to-LDM ratio (RLR); (ii) the ellipsis at 95% interval confidence, shows separation between deficiency treatments (C or (-)N), except for (-)N*Low treatment, which showed greater dispersion range; and (iii) at higher Fv/Fm and LMR, this reflect lower RMR.

| Variable (Abbrev.) | Light | Deficiency/Light | High | Low | F | R2adj | P | ||
| (-)N | C | (-)N | C | ||||||
| Root-to-total dry mass (RMR) | *** | *** | * | * | 91,9 | 0,83 | *** | ||
| Leaf-to-total dry mass (LMR) | *** | *** | * | * | 81,4 | 0,81 | *** | ||
| Shoot-to-total dry mass (SMR) | n.s. | n.s. | n.s. | n.s. | 1,7 | 0,03 | n.s. | ||
| Root-to-leaf dry mass (RLR) | *** | *** | * | * | 97,1 | 0,84 | *** | ||
| Total dry mass (TDM) | *** | *** | * | * | 187,1 | 0,91 | *** | ||

Finally, the first two axes of a principal component (PC) analysis for all light-deficiency treatment combinations revealed the clear separation between deficiency treatment in the PC1 (65,2% variability explained, Fig. 5A). The PC2 (17,2%) did not showed any separation between groups. Separation between treatments was mainly explained by LMR, RMR, NL, H, and Fv/Fm (Fig. 5B). SMR and RBA showed no correlation to separation of treatment groups.


DISCUSSION
Nitrogen deficiency under high light conditions increased stress in tomato plant (lower Fv/Fm), due to the fact that this plant has high demands of light for growth (Pan et al., 2019), and if it is exposed to a condition of high demand of photochemical energy absorption, in the absence of N it can cause the increase of reactive oxygen species (ROS) which in turn damages the synthesis of photoassimilation, enzymes, and hormones requered for healthy growth and development of plants. Nevertheless, an important light condition in this experiment was not used (44% light saturation; according to Jiao, Song, Zhang, Du, and Li (2019) and Kaiser et al. (2019), in tomato the value of light saturation is 1 000μmol m-2 .-1PPFD approximately). Under these circumstances, we can infer that Chl fluorescence was a truly sensitive variable to the stress caused by the deficiency of nitrogen and light, whose progress of stress over time can be valued. We can conclude the role of nitrogen in a culture of full sun conditions, where its deficiency even under non-saturating light conditions can have negative effects in the tomato plants.
Respect to dry mass partitioning due to the effects of nitrogen deficiency, this was similar to those widely documented: (i) a reduction in leaf area (LMR) accompanied by a significant increase in root growth (RMR) (Ortigosa et al., 2019), this as a compensatory strategy to search for nitrogen by the radical system; (ii) a significant reduction in the overall growth of the plant as a result of the decrease in the synthesis of hormone, enzyme, and essential amino acid precursors for photosynthesis and/or plant growth; and finally, (iii) under prolonged conditions of nitrogen deficiency chlorosis occurs, followed by foliar necrosis, foliar abstention, and finally death of the plant. This last condition was not registered in the plants since the experiment was not prolonged with this objective. It is important to note that, in this investigation, the nitrogen deficiency the RMR under high light condition was 11% higher than in low light, and inversely and/or compensatory the LMR was 8% lower under high light compared to low light. While SMR was conserved as well as some studies (between 17,6% and 23,4% in Pan et al. (2019)), the plant will always direct the same proportion of resources to components air support structure component (in this investigation between 18% and 20%).
This study has succeeded on describing a link between chlorophyll fluorescence and dry mass partitioning of plants under nitrogen deficiency conditions. It is expected that plants in nitrogen deficiency invest more growth on the radical system (RMR) in the deterioration of the leaf area (LMR). Both LMR and RMR variables were clearly correlated with to levels of chlorophyll fluorescence. It was even possible to separate the nitrogen deficiency effects and complete solution, with the exception of (-)N*Low treatment, which potentially indicates that low light can reduce the effect of nitrogen deficiency. We hypothesize that nitrogen deficiency affects the integrity of the photosynthetic machinery in different ways (de Groot, van den Boogaard, Marcelis, Harbinson, & Lambers, 2003): (i) the absence of nitrogen affects the synthesis of enzymes required to repair the PSII reaction centers (RCs) in the thylakoid membrane (Ortigosa et al., 2019), (ii) at the same time as the damage in RCs increases, the accumulation of reactive oxygen species occurs (H., probably a product of photoinhibition stress) (Shin, Berg, & Schachtman, 2005), increasing the damage in the membrane of the thylakoids; therefore, this damage causes a fall in Fv/Fm, which then (iii) the reduced integrity of the photosynthetic machinery to generating photochemical energy (e.i. ATP+P and NAPH.-H.) required to carry out carbohydrate synthesis is interrupted, consequently possibly genes and/or specific hormones are activated for growth of the root system in the search for nitrogen (Ortigosa et al., 2019). Finally, the root/leaf ratio is altered. In this way, we conclude that Chl fluorescence can be an indicator for the biomass partition stress induced by N deficiency and low light can attenuate the effect of nitrogen deficiency.
As recommendations for future experiments, we emphasize the importance of studying the effect of nitrogen deficiency in Chl fluorescence under concentration gradient of nitrogen and light, in order to quantify the interaction between both. Likewise, to evaluate the dry mass partitioning variables at different growth stages of the plants, including the reproductive one, this could change the relevance of the allocation of resources among the different compartments of the plant (leaves, root, stem, and fruit). Finally, we know that this short investigation was done under experimental conditions of laboratory and hydroponic medium, which leaves us to questioning if the effects are similar in a soil substrate. We faithfully believe that Chl fluorescence as an effect of nutrient deficiency is still recent and that it deserves to be studied, with the purpose of being used deficiency diagnosis and crop improvement programs.
Educational implications (context and education level)
The present research project has been developed in the frame of a “Plant Anatomy and Physiology” course for students of the second year of Biology Degree. This course offers to students basic concepts of plant anatomy and physiology, with the aim that the student relates the plant structure to the wide variety of functions that plants must perform to live on different habitats and to understand the ecological relationships between them and their environment. The experience of the project has been coupled to university students as it requires advanced skills and basic knowledge of physiological processes in plants. In the laboratory, different experiments were carried out following the scientific method to demonstrate how to manipulate plants and changes on its morphology due to the influence of environmental factors on them. This project frames the role of nitrogen in plants and allows the development of research techniques (i.e. data collection, analysis, and visualization of results). The R programming commands of all the various packages used in this investigation can be applied to other experiments, plant species, variables and stress factors or treatments, also, a greater number of variables can be included. All this with simple modifications to the original R code provided in this investigation. This can be used to elaborate scientific analysis reports, for teaching in order to aid students’ data interpretation and to increase scientific communication skills. These knowledges are framed within the professional training needed for future biologists in Costa Rica.
ACKNOWLEDGEMENTS
We thank to the Escuela de Ciencias Biologicas of the Universidad Nacional, Costa Rica, for allowing us the development and conclusion of this investigation. Raúl Soto Rodriguez and Kaliana Vargas Corrales technicians of the Biopreparations of Teaching Laboratory for the preparation of hydroponic plant growth solutions; Narcy Villalobos Sandí of the Laboratorio de Biotecnología de Microalgas for the provision of fluorometer (MINI-PAM-II/R); Roberto A. Cordero Solórzano coordinator of the greenhouse of the LEFET for the space and equipment provided; Alejandra Pérez Enríquez and David Vargas for the technical help in handling and using the equipment; finally, but no less important to Deanna Sekulich and Stefany Solano Gonzalez for revising the English.
REFERENCES
Baker, N. R., & Rosenqvist, E. (2004). Applications of chlorophyll fluorescence can improve crop production strategies: an examination of future possibilities. Journal of Experimental Botany, 55(403), 1607–1621. DOI: 10.1093/jxb/erh196
Baker, N. R. (2008). Chlorophyll Fluorescence: A Probe of Photosynthesis In Vivo. Annual Review of Plant Biology, 59(1), 89–113. DOI: 10.1146/annurev.arplant.59.032607.092759
Bernard, S. M., & Habash, D. Z. (2009). The importance of cytosolic glutamine synthetase in nitrogen assimilation and recycling. New Phytologist, 182(3), 608-620. DOI: 10.1111/j.1469-8137.2009.02823.x
Bettini, P. P., Marvasi, M., Fani, F., Lazzara, L., Cosi, E., Melani, L., & Mauro, M. L. (2016). Agrobacterium rhizogenes rolB gene affects photosynthesis and chlorophyll content in transgenic tomato (Solanum lycopersicum L.) plants. Journal of Plant Physiology, 204, 27-35. DOI: 10.1016/j.jplph.2016.07.010
Björkman, O. (1981). Responses to different quantum flux densities In O. L. Lange P. S. Nobel C. B. Osmond, & H. Ziegler (Eds.), Physiological Plant Ecology I (pp. 57-107). Berlin, Germany: Springer. DOI: 10.1007/978-3-642-68090-8_4
Cai, J., Chen, L., Qu, H., Lian, J., Liu, W., Hu, Y., & Xu, G. (2012). Alteration of nutrient allocation and transporter genes expression in rice under N, P, K, and Mg deficiencies. Acta Physiologiae Plantarum, 34(3), 939-946. DOI: 10.1007/s11738-011-0890-x
Cosgrove, J., & Borowitzka, M. A. (2010). Chlorophyll Fluorescence Terminology: An Introduction. In D. J. Suggett, O. Prášil & M. A. Borowitzka (Eds.), Chlorophyll a Fluorescence in Aquatic Sciences: Methods and Applications (pp. 1-17). Dordrecht, Netherlands: Springer.
Crawley, M. (2002). The R Book (2nd ed.). Chichester, U.K.: John Wiley & Sons Ltd.
de Groot, C. C., van den Boogaard, R., Marcelis, L. F., Harbinson, J., & Lambers, H. (2003). Contrasting effects of N and P deprivation on the regulation of photosynthesis in tomato plants in relation to feedback limitation. Journal of Experimental Botany, 54(389), 1957-1967. DOI: 10.1093/jxb/erg193
Dong, Z., Men, Y., Li, Z., Zou, Q., & Ji, J. (2019). Chlorophyll fluorescence imaging as a tool for analyzing the effects of chilling injury on tomato seedlings. Scientia Horticulturae, 246, 490-497. DOI: 10.1016/j.scienta.2018.11.019
Enríquez, S., & Borowitzka, M. A. (2010). The use of the fluorescence signal in studies of seagrasses and macroalgae. In D. Suggett O. Prášil & M. Borowitzka (Eds.), Chlorophyll a fluorescence in aquatic sciences: methods and applications (pp. 187-208). Dordrecht, Netherlands: Springer. DOI: 10.1007/978-90-481-9268-7_9
Gu, L., Han, J., Wood, J. D., Chang, C. Y. Y., & Sun, Y. (2019). Sun‐induced Chl fluorescence and its importance for biophysical modeling of photosynthesis based on light reactions. New Phytologist, 223, 1179-1191. DOI: 10.1111/nph.15796
Horton, P., & Ruban, A. (2004). Molecular design of the photosystem II light-harvesting antenna: photosynthesis and photoprotection. Journal of Experimental Botany, 56(411), 365-373. DOI: 10.1093/jxb/eri023
Hussain, S., Iqbal, N., Brestic, M., Raza, M. A., Pang, T., Langham, D. R., . . . Gao, Y. (2019). Changes in morphology, chlorophyll fluorescence performance and Rubisco activity of soybean in response to foliar application of ionic titanium under normal light and shade environment. Science of the Total Environment, 658, 626-637. DOI: 10.1016/j.scitotenv.2018.12.182
Hussain, S., Khan, F., Cao, W., Wu, L., & Geng, M. (2016). Seed Priming Alters the Production and Detoxification of Reactive Oxygen Intermediates in Rice Seedlings Grown under Sub-optimal Temperature and Nutrient Supply. Frontiers in Plant Science, 7, 439. DOI:10.3389/fpls.2016.00439
IMN. (2019). Instituto Meteorológico Nacional de Costa Rica. Retreived from https://www.imn.ac.cr/en/web/imn/inicio
Jiao, X.-C., Song, X.-M., Zhang, D.-L., Du, Q.-J., & Li, J.-M. (2019). Coordination between vapor pressure deficit and CO2 on the regulation of photosynthesis and productivity in greenhouse tomato production. Scientific Reports, 9(1), 8700. DOI: 10.1038/s41598-019-45232-w
Kaiser, E., Ouzounis, T., Giday, H., Schipper, R., Heuvelink, E., & Marcelis, L. F. M. (2019). Adding Blue to Red Supplemental Light Increases Biomass and Yield of Greenhouse-Grown Tomatoes, but Only to an Optimum. Frontiers in Plant Science, 9(2002). DOI: 10.3389/fpls.2018.02002
Kassambara, A., & Mundt, F. (2017). factoextra: Extract and Visualize the Results of Multivariate Data Analyses. (R package version 1.0.4.999). Retrieved from https://rpkgs.datanovia.com/factoextra/index.html
Küpper, H., Benedikty, Z., Morina, F., Andresen, E., Mishra, A., & Trtilek, M. (2019). Analysis of OJIP Chlorophyll Fluorescence Kinetics and QA Reoxidation Kinetics by Direct Fast Imaging. Plant Physiology, 179(2), 369-381. DOI: 10.1104/pp.18.00953
Li, Y., Song, H., Zhou, L., Xu, Z., & Zhou, G. (2019). Tracking chlorophyll fluorescence as an indicator of drought and rewatering across the entire leaf lifespan in a maize field. Agricultural Water Management, 211, 190-201. DOI: 10.1016/j.agwat.2018.09.050
Lichtenthaler, H. K. (1987). Chlorophylls and carotenoids: pigments of photosynthetic biomembranes. In W. B. Jakoby, S. P. Colowick, & O. W. Griffith (Eds.), Methods in Enzymology (Vol. 148, pp. 350-382). U.S.A.: Academic Press. DOI: 10.1016/0076-6879(87)48036-1
Lin, Y.-L., Chao, Y.-Y., Huang, W.-D., & Kao, C. H. (2011). Effect of nitrogen deficiency on antioxidant status and Cd toxicity in rice seedlings. Plant Growth Regulation, 64(3), 263-273. DOI: 10.1007/s10725-011-9567-0
Liu, Z., Yan, H., Wang, K., Kuang, T., Zhang, J., Gui, L., … Chang, W. (2004). Crystal structure of spinach major light-harvesting complex at 2.72 Å resolution. Nature, 428(6980), 287. DOI: 10.1038/nature02373
Madriaza, K., Saldaña, A., Salgado-Luarte, C., Escobedo, V. M., & Gianoli, E. (2019). Chlorophyll Fluorescence May Predict Tolerance to Herbivory. International Journal of Plant Sciences, 180(1), 81-85. DOI: 10.1086/700583
Murchie, E. H., & Lawson, T. (2013). Chlorophyll fluorescence analysis: a guide to good practice and understanding some new applications. Journal of Experimental Botany, 64(13), 3983–3998. DOI: 10.1093/jxb/ert208
Ortigosa, F., Valderrama‐Martín, J. M., Ávila, C., Cánovas, F. M., & Cañas, R. A. (2019). Understanding plant nitrogen nutrition through a laboratory experiment. Biochemistry and Molecular Biology Education, 47(4), 450-458. DOI: 10.1002/bmb.21239
Pan, T., Wang, Y., Wang, L., Ding, J., Cao, Y., Qin, G., … Zou, Z. (2019). Increased CO2 and light intensity regulate growth and leaf gas exchange in tomato. Physiologia Plantarum. DOI: 10.1111/ppl.13015
RCoreTeam. (2017). R: A language and environment for statistical computing. Vienna: R Foundation for Statistical Computing.
Rencher, A. C. (2003). Methods of Multivariate Analysis (2nd ed.). New York, USA.: John Wiley & Sons, Inc. DOI: 10.1002/0471271357
Ruban, A. V. (2016). Nonphotochemical chlorophyll fluorescence quenching: mechanism and effectiveness in protecting plants from photodamage. Plant Physiology, 170(4), 1903-1916. DOI: 10.1104/pp.15.01935
Seddon, J., Ajani, U., Sperduto, R., Hiller, R., Blair, N., Burton, T., … Miller, D. (1994). Dietary carotenoids, vitamin-A, vitamin-C, and vitamin-E, and advanced age-related macular degeneration. Jama-Journal of the American Medical Association, 272(18), 1413-1420. DOI: 10.1001/jama.272.18.1413
Shin, R., Berg, R. H., & Schachtman, D. P. (2005). Reactive oxygen species and root hairs in Arabidopsis root response to nitrogen, phosphorus and potassium deficiency. Plant and Cell Physiology, 46(8), 1350-1357. DOI: 10.1093/pcp/pci145
Singh, M., Kumar, J., Singh, V., & Prasad, S. (2014). Plant tolerance mechanism against salt stress: the nutrient management approach. Biochemical Pharmacology, 3, e165. DOI: 10.4172/2167-0501.1000e165
Singh, M., Singh, V. P., & Prasad, S. M. (2016). Responses of photosynthesis, nitrogen and proline metabolism to salinity stress in Solanum lycopersicum under different levels of nitrogen supplementation. Plant Physiology and Biochemistry, 109, 72-83. DOI: 10.1016/j.plaphy.2016.08.021
Szeto, Y. T., Tomlinson, B., & Benzie, I. F. (2002). Total antioxidant and ascorbic acid content of fresh fruits and vegetables: implications for dietary planning and food preservation. British Journal of Nutrition, 87(1), 55-59. DOI: 10.1079/BJN2001483