Artículo
Influencia de un escáner de mesa, usado para digitalizar, en la determinación de dosis por película radiocrómica
Influence of a tabletop scanner, used for digitization, on the determination of dose by radiochromic film
Influencia de un escáner de mesa, usado para digitalizar, en la determinación de dosis por película radiocrómica
Cuadernos de Investigación UNED, vol. 15, no. 2, pp. 25-35, 2023
Universidad Estatal a Distancia de Costa Rica
Received: 31 March 2023
Revised document received: 13 July 2023
Accepted: 26 July 2023
Resumen: Introducción: La precisión en la determinación de la dosis utilizando películas radiocrómicas como dosímetro, se encuentra influenciada por: la capacidad del equipo emisor de radiación ionizante al dar la dosis deseada, la respuesta de la película al ser expuesta a la radiación y a la capacidad del escáner para digitalizar las películas y transformarlas en valores de intensidad. Este trabajo se enfoca en este último aspecto. Objetivo: Establecer una metodología para la evaluación de la variabilidad de la dosis debido a la repetibilidad de escaneos y a la posición de la película en el área de escaneo, en condiciones de calibración de las películas radiocrómicas para tres resoluciones distintas. Métodos: Irradiamos piezas de películas radiocrómicas EBT3 a 11 valores diferentes de dosis, las cuales escaneamos a tres resoluciones diferentes, creando una curva de calibración para cada resolución. Estas curvas se utilizan para determinar las variaciones en la dosis debido a la posición de la película en el área de escaneo y a la repetibilidad de escaneo; lo anterior, a partir de cinco valores de dosis medidos por película, para cada una de las nueve imágenes tomadas por resolución, siendo en total 27 imágenes. Resultados: Para las tres resoluciones estudiadas, determinamos: las curvas de calibración, incertidumbres por debajo del 1% debido a la variación de la posición de la película en el área de escaneo e incertidumbre por debajo del 2% para el caso de repetibilidad de escaneos. Conclusión: Los valores obtenidos de las fuentes de incertidumbre no fueron despreciables: deben incluirse en el presupuesto total de incertidumbre de la medición. Al usar valores de dosi,s y no intensidad o densidad óptica, se elimina la dependencia de la resolución.
Palabras clave: Película radiocrómica, incertidumbre, escáner, dosimetría por película, resolución, EBT3.
Abstract: Introduction: The precision in determination of the dose using radiochromic films as a dosimeter is influenced by three main aspects: the dose delivery capacity of the radiation unit, the response of the film when exposed to radiation, and the capacity of the scanner to digitize the films and transform them into intensity values. This work focuses on the last aspect. Objective: To establish a methodology for the evaluation of the variability of the dose due to the repeatability of scans and the position of the film in the scanning area, under calibration conditions of radiochromic films for three different resolutions. Methods: Pieces of EBT3 radiochromic films were irradiated at 11 different dose values, which were scanned at 3 different resolutions, creating a calibration curve for each resolution. These curves are used to determine dose variations due to film position in the scan area and scan repeatability; for this purpose, we measured 5 dose values per film, for each of 9 images by resolution, with a total of 27 images. Results: In the three resolutions studied, uncertainties below 1% were found due to variation in the position of the film in the scanning area and uncertainty below 2% in the case of scan repeatability. Conclusions: The values obtained from the sources of uncertainty studied were not negligible; therefore, they must be included in the total uncertainty budget of the radiochromic film dose measurement process. Working with dose values eliminates the dependence on the resolution.
Keywords: Radiochromic film, scanner, uncertainty, film dosimetry, resolution, EBT3.
El sistema dosimétrico conformado por las películas radiocrómicas y un escáner, ha sido objeto de múltiples estudios para determinar las fuentes de incertidumbre que influyen en el proceso de cuantificación de dosis. En este proceso se involucran: la capacidad del equipo emisor de radiación ionizante en dar la dosis deseada, la respuesta de las películas al ser expuestas a la radiación y la capacidad del escáner para poder transformar la densidad óptica de las películas en imágenes que permitan cuantificar sus cambios; siendo este último punto el de interés para este trabajo (Gluckman & Reinstein 2002; Devic et al., 2004; Bouchard et al., 2009; Matney et al., 2010; Alnawaf et al., 2012; Devic et al., 2016; León et al., 2016; Niroomand-Rad et al., 2020).
Para el caso del escáner de mesa, su contribución a la incertidumbre total se debe a la variación en la posición de la película en cada escaneo (homogeneidad del escáner), a la repetibilidad de escaneo y a la relación señal-ruido (Devic et al., 2005; Bouchard et al., 2009; Devic et al., 2016; León et al., 2016); este último se encuentra ligado a las variaciones por el cambio de la resolución en el proceso de escaneo (Williams & Metcalfe, 2011; Massillon-JL et al., 2012), pero la literatura no es clara en la forma en que estas variables son trasformadas a incertidumbre en dosis.
Un escáner de mesa como el Epson Expression 11000 XL o su anterior versión la 10000 XL, emplean una lámpara fluorescente de cátodo frío de gas Xenón, acoplada a una matriz lineal de sensores CCD. Poseen una gran área de escaneo, con la opción de usar tanto en modo reflectante como en modo transmisión. Este último modo es más empleado y descrito en la literatura para la calibración de las películas radiocrómicas, lo que proporciona más detalle para la evaluación de la dosis (Williams & Metcalfe, 2011; Lewis et al., 2012; Massillon-JL et al., 2012; Casanova et al., 2013; Aland et al., 2017; Lárraga-Gutiérrez et al., 2018).
El propósito de este estudio es la descripción de una metodología para la evaluación de la variabilidad de la dosis (no intensidad de píxel), debido a la repetibilidad de escaneos y a la posición de la película en el área de escaneo, en condiciones de calibración para tres distintas resoluciones, utilizando un escáner de mesa que forma parte del sistema de dosimetría por película radiocrómica.
Materiales y métodos
Preparación e irradiación de las películas radiocrómicas
En el proceso de irradiación utilizamos un acelerador lineal Varian CLINAC IX (Varian Medical System, Palo Alto, California, EUA), con una energía nominal de 6 MV. El acelerador fue calibrado mediante el TEC-DOC 398 (International Atomic Energy Agency (IAEA), 2000). Las películas radiocrómicas que utilizamos fueron las Gafchromic EBT3 (Ashland Inc., Wayne, NJ, EUA, Lot 05171701), la caja contiene 25 películas, cada una con dimensiones de 8” x 10” (20,32cm x 25,4cm), las cuales las tomamos de la caja en forma aleatoria y las cortamos en cuadros de 5cm x 5cm. Cada pieza de película las colocamos sobre cinco láminas de PMMA (polimetilmetacrilato), cada una con dimensiones de 30cm x 30cm x 1cm y sobre la película colocamos adicionalmente, tres láminas de PMMA de iguales dimensiones para garantizar el efecto de creación de carga. La distancia fuente película fue de 100 cm, quedando las películas a 3cm de profundidad, con una proyección de campo de 10 cm x 10 cm. Las dosis a las cuales irradiamos las películas fueron 0, 51,5, 100,2, 147,8, 205,2, 255,8, 307,3, 409,4, 511,5, 613,6 y 716,7 cGy, valores que fueron además determinados, como control cruzado, por medio de una cámara de ionización tipo Farmer marca PTW (PTW, Freiburg, Alemania) colocada en las mismas condiciones en que se irradiaron las películas, la incertidumbre en la determinación de la dosis fue del 2% a una desviación estándar.
Proceso de escaneo de las películas radiocrómicas
Utilizamos un escáner de mesa de la marca Epson 11000XL (Seiko Epson Corporation, Nagano, Japón), que posee un área total de escaneo de 419mm x 311mm. De acuerdo con el fabricante este dispositivo requiere un tiempo de calentamiento de 10 minutos, y adicionalmente se tomaron 10 imágenes de fondo (sin placa). El equipo lo configuramos en modo transmisión, RGB a 48 bits (16 bits por color), a las resoluciones de 72, 150 y 300 dpi, las películas irradiadas a las distintas dosis las colocamos en la región central del escáner, reduciendo el área de escaneo para este estudio a (254,80 x 154,91) mm2, no utilizamos herramientas de corrección y las imágenes fueron almacenadas en formato TIFF. Además, mantuvimos la orientación de las películas para evitar el efecto de polarización (Butson et al., 2003; Alnawaf et al., 2010). El escaneo de las películas lo realizamos 24 horas después de la irradiación, considerando el efecto de polimerización que genera el oscurecimiento en las películas (Devic et al., 2016).
Calibración de las películas radiocrómicas
Realizamos la medición de la intensidad en las películas mediante el programa ImageJ (National Institutes of Healt, EUA versión 1.51 del 23 de abril de 2018). El programa utiliza los tres canales (RGB) para la medida de intensidad de píxel, por el rango de dosis en que fueron irradiadas las películas, solo utilizamos el canal rojo (León et al., 2016). El programa permite definir una región de interés (ROI) sobre la imagen, mostrando el histograma de la distribución de los valores de intensidad en esa ROI y calculando el valor promedio de intensidad con su desviación estándar. Para este estudio utilizamos una ROI de 1cm x 1cm, y registramos 5 medidas en cada película colocando la ROI en 5 posiciones alrededor de la zona central de la película (Devic et al., 2016). Para cada valor de intensidad promedio medida en la película, calculamos densidad óptica neta (𝑂𝐷𝑛) mediante la ecuación (Devic et al., 2004):

Donde, 0 es la intensidad promedio de la película sin irradiar, e es la intensidad promedio de la película irradiada.
Determinamos la curva de calibración graficando ODn en función de la dosis en que fueron irradiadas las películas, y propusimos un ajuste polinomial (Shape & Miller, 2009). Al utilizar tres resoluciones en este proceso, obtuvimos las curvas para cada una de ellas. Además, comprobamos la normalidad de los residuos mediante el método Anderson-Darling.
Proceso de toma de imágenes con el escáner
Las películas irradiadas que utilizamos para generar las curvas de calibración las colocamos sobre la pantalla del escáner en una configuración de matriz 3 x 5, donde cada posición la identificamos bajo la nomenclatura (PFila Columna). En esta configuración usamos las posiciones: P11, P13, P15, P21, P23, P25, P31, P33, P35 (Fig. 1), para colocar una película irradiada a 307 cGy, valor escogido arbitrariamente y que sustituyó a la película que se encontraba en dicha posición (por ejemplo, en la Fig. 1 se aprecia que la película de 307 cGy se encuentra en la posición P15, que correspondía a una dosis de 0 cGy), con el fin de determinar la variación de la dosis medida en la película por su cambio de su posición en el escáner. En cada una de estas posiciones escaneamos las películas, tomando una por cada resolución, para un total de 27 imágenes. En este proceso, las películas que no están identificadas bajo la nomenclatura mostrada en la Fig. 1, las mantuvimos en sus posiciones, esto para evaluar la variación en la dosis únicamente por múltiples escaneos en las 27 imágenes realizadas.

Análisis de las imágenes
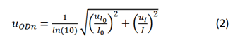
Tanto para la película que varía su posición como las que se mantienen fijas, en cada imagen obtenida y para cada resolución, tomamos 5 medidas de intensidad de igual forma que el proceso de calibración de las películas. La incertidumbre (desviación estándar) de cada calculada, la determinamos mediante propagación de incertidumbre, asumiendo que no hay correlación entre las variables (Bevington & Robinson, 2003) debido a que las películas fueron irradiadas de forma separada. La ecuación obtenida fue:

Donde, 𝑢𝐼0 𝑦 𝑢𝐼son las incertidumbres (desviaciones estándar) de las películas sin irradiar e irradiadas, respectivamente. La densidad óptica neta promedio es calculada mediante la media ponderada de las cinco medidas (N) realizadas en la película, obtenida mediante la ecuación (Devic et al., 2016):

Y la desviación estándar de esta densidad óptica promedio la calculamos mediante la ecuación (Devic et al., 2016):

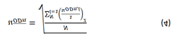
Hallados los valores de 𝑂𝐷𝑛 de cada una de las posiciones de la película en la matriz de 3 X 5, las transformamos a valores de dosis mediante la curva de calibración. Este procedimiento lo repetimos para las imágenes tomadas de las películas que se mantuvieron fijas en sus posiciones durante los escaneos. Por lo que, la dosis promedio registrada por el cambio de posición de la película en la matriz antes mencionada y por las películas que mantuvieron su posición fija, lo calculamos mediante la ecuación (Joint Committee for Guides in Metrology (JCGM), 2008):

Donde, es la dosis registrada en cada posición o por el número de escaneo realizado y es el número de escaneos realizados por resolución, que para este caso es igual a 9.
Las incertidumbres asociadas por la posición de la película en el escáner y por la repetibilidad de escaneos, se catalogaron como incertidumbre tipo A y su cálculo lo realizamos mediante la ecuación (JCGM, 2008):

Donde es la dosis registrada en la posición o en el número de escaneo, es la dosis
promedio calculada mediante la ecuación 5 y es la cantidad de datos.
Resultados
Obtuvimos las curvas de calibración por cada resolución con la información del proceso de escaneo de las películas irradiadas a diferentes dosis y realizamos un ajuste polinomial de tercer grado (Fig. 2). Además, del análisis estadístico obtuvimos que los residuos son normales en las tres gráficas (p-valor igual a 0,198, 0,216 y 0,234 para las resoluciones 72, 150 y 300 dpi, respectivamente). Los valores de incertidumbre en no superan el 3% (Fig. 3), por lo que para apreciarlo en las curvas de calibración utilizamos un factor de cobertura = 2. Asimismo, observamos que, para cada resolución, las curvas de calibración no presentan una diferencia cualitativa entre ellas.
La variación en la incertidumbre de la en cada película en función de la dosis recibida para cada resolución usando un factor de cobertura = 1 (Fig. 3), muestra una tendencia para las tres resoluciones en que los valores máximos de incertidumbre se presentan en la película irradiada a 51,5 cGy y que disminuye al aumentar la dosis; además, se observa que la incertidumbre aumenta al aumentar la resolución.
Para el caso de la película irradiada a 307,30 cGy que cambia de posición en el escáner, se aprecia que los resultados de incertidumbre por posición ( , ) están por debajo del 1% (72 dpi= 0,86, 150 dpi = 0,59 y 300 dpi= 0,41).


Para las películas expuestas a múltiples escaneos, los valores de incertidumbre ( , ) muestran incertidumbres menores al 1 %, excepto para la película irradiada a 51,5 cGy (Tabla 1).

Con la ayuda de las curvas de calibración determinamos los valores de dosis en cada ROI sobre las películas, lo que permitió analizar la variación de la dosis por el cambio de posición de la película en el escáner y por múltiples escaneos, determinando la incertidumbre en dosis de estos procesos mediante la ecuación 6. Para el caso del cambio de la posición de la película en el área de escaneo, observamos que las incertidumbres para las tres resoluciones estuvieron por debajo del 1%. Para el caso de múltiples escaneos se aprecia una tendencia como la mostrada en la variación de la incertidumbre de la , para las tres resoluciones, donde la incertidumbre es mayor a la dosis de 51,5 cGy y que disminuye al aumentar la dosis.
Discusión
La determinación del grado de precisión en la medida de la dosis en un sistema de dosimetría mediante película radiocrómica envuelve múltiples fuentes de incertidumbre (Niroomand-Rad et al., 2020). Este estudio se enfoca en el proceso de escaneo de las películas radiocrómicas, que involucra la homogeneidad del escáner, la repetibilidad de escaneo y a la relación señal-ruido.
La medida de la intensidad o de los valores de píxel mediante un histograma, permite observar la forma en que se distribuyen los datos en una ROI definida sobre la imagen de la película; que se asume, sigue una distribución normal (Rubira-Bullen et al., 2006; Devic et al., 2016; Méndez et al., 2016) y del cual se define al ruido como a la desviación estándar presentada en este histograma (Rubira-Bullen et al., 2006). La variación de esta intensidad transformada en es mayor a bajas dosis y que tiende a estabilizarse al aumentar la dosis. Este comportamiento también es observado en trabajos presentados por otros autores al analizar versiones anteriores de la película EBT3 (Saur & Frengen, 2008; Martišíková & Jäkel, 2010; Ramos & Pérez, 2013). Otro aspecto importante observado en la variación de , es que se obtiene una disminución de esta incertidumbre al disminuir la resolución; lo anterior, debido a que al disminuir la resolución se aumenta el tamaño de píxel, homogeneizando esta superficie al valor promedio de intensidad en esa área, disminuyendo la variabilidad en los valores de intensidad en la ROI (Grande, 2012); es decir, el ruido influye directamente en la 𝑂𝐷𝑛.
Al igual que Méndez et al (2016), en este trabajo también encontramos variaciones en la dosis, debido a la posición de la película en el escáner y por repetibilidad de escaneos. Tomando en cuenta que los trabajos no son comparables por el tipo de escáneres utilizados y la ROI definida en el escáner, en ambos estudios se observaron y determinaron valores de incertidumbre y que deben considerarse en el presupuesto de incertidumbre de la dosis. Además, el resultado obtenido en que la incertidumbre fue mayor para la dosis de 51,5 cGy, es consistente con otros estudios que muestran incertidumbres mayores en dosis menores a 100 cGy, con diferentes tipos de escáneres y versiones de las películas radiocrómicas EBT (Devic et al., 2005, 2016; León et al., 2016; Méndez et al., 2016; Aland et al., 2017; Lárraga-Gutiérrez et al., 2018).
La metodología que hemos propuesto en este documento permite evaluar las fuentes de incertidumbre estudiadas, relacionadas con el proceso de escaneo de las películas radiocrómicas utilizadas para la determinación de la dosis. Los resultados obtenidos muestran que estas fuentes de incertidumbre no son despreciables y que deben ser contempladas en el presupuesto total de incertidumbre. El aspecto más relevante de este estudio fue que, al trabajar con valores de dosis se elimina la dependencia con la resolución debido a la similitud que muestran las curvas de calibración obtenidas para cada resolución. Esta propuesta de análisis de incertidumbres en evaluaciones dosimétricas rutinarias permitirá caracterizar el sistema dosimétrico empleado, generando un procedimiento fácil de incluir en un programa de garantía de la calidad. Los valores de incertidumbres halladas en este estudio son válidos para el escáner utilizado, en las condiciones y de la metodología empleada. De acuerdo con los resultados relacionados con los valores de dosis a 51,5 cGy y lo encontrado en la literatura (Devic et al., 2005, 2016; León et al., 2016; Méndez et al., 2016; Aland et al., 2017; Lárraga-Gutiérrez et al., 2018), queda para un posterior trabajo hacer un análisis de la variación de la dosis en las películas radiocrómicas al ser irradiadas a dosis menores a 100 cGy, así como la determinación estadística de diferencias significativas entre las curvas de calibración.
Referencias
Aland, T., Jhala, E., Kairn, T., & Trapp, J. (2017). Film dosimetry using a smart device camera: a feasibility study for point dose measurements. Physics in Medicine & Biology, 62(20), 506-515. https://doi.org/10.1088/1361-6560/aa8b36
Alnawaf, H., Butson, M. J., Cheung, T., & Yu, P. (2010). Scanning orientation and polarization effects for XRQA radiochromic film. Physica Medica, 26(4), 216-219. https://doi.org/10.1016/j.ejmp.2010.01.003
Alnawaf, H., Yu, P., & Butson, M. (2012). Comparison of Epson scanner quality for radiochromic film evaluation. Journal of Applied Clinical Medical Physics, 13(5), 314-321. https://doi.org/10.1120/jacmp.v13i5.3957
Bevington, P. R., & Robinson, D. K. (2003). Data Reduction and Error Analysis for the Phisical Sciences (3a ed.). McGraw-Hill. http://hosting.astro.cornell.edu/academics/courses/astro3310/Books/Bevington_opt.pdf
Bouchard, H., Lacroix, F., Beaudoin, G., Carrier, J. F., & Kawrakow, I. (2009). On the characterization and uncertainty analysis of radiochromic film dosimetry. Medical Physics, 36(6), 1931-1946. https://doi.org/10.1118/1.3121488
Butson, M. J., Yu, P., Cheung, T., & Inwood, D. (2003). Polarization effects on a high-sensitivity radiochromic film. Physics in Medicine and Biology, 48(15), 207-211. https://doi.org/10.1088/0031-9155/48/15/401
Casanova, V., Pasquino, M., Russo, G., Grosso, P., Cante, D., Sciacero, P., Girelli, G., Porta, M. R., & Tofani, S. (2013). Dosimetric characterization and use of GAFCHROMIC EBT3 film for IMRT dose verification. Journal of Applied Clinical Medical Physics , 14(2), 158-171. https://doi.org/10.1120/jacmp.v14i2.4111
Devic, S., Seuntjens, J., Hegyi, G., Podgorsak, E. B., Soares, C. G., Kirov, A. S., Ali, I., Williamson, J. F., & Elizondo, A. (2004). Dosimetric properties of improved GafChromic films for seven different digitizers. Medical Physics , 31(9), 2392-2401. https://doi.org/10.1118/1.1776691
Devic, S., Seuntjens, J., Sham, E., Podgorsak, E. B., Schmidtlein, C. R., Kirov, A. S., & Soares, C. G. (2005). Precise radiochromic film dosimetry using a flat-bed document scanner. Medical Physics , 32(7), 2245-2253. https://doi.org/10.1118/1.1929253
Devic, S., Tomic, N., & Lewis, D. (2016). Reference radiochromic film dosimetry: Review of technical aspects. Physica Medica , 32(4), 541-556. https://doi.org/10.1016/j.ejmp.2016.02.008
Gluckman, G. R., & Reinstein, L. E. (2002). Comparison of three high-resolution digitizers for radiochromic film dosimetry. Medical Physics , 29(8), 1839-1846. https://doi.org/10.1118/1.1485056
Grande, J. C. (2012). Principles of Image Analysis. Metallography, Microstructure, and Analysis, 1(5), 227-243. https://doi.org/10.1007/s13632-012-0037-5
International Atomic Energy Agency (IAEA). (2000). Absorbed Dose Determination in External Beam Radiotheraphy (An Internationtal Code of Practice for Dosimetry Based in Standards of Absorbed Dose to Water). https://www-pub.iaea.org/MTCD/publications/PDF/TRS398_scr.pdf
Joint Committee for Guides in Metrology (JCGM). (2008). Evaluation of Measurement Data - Guide to the Expression of Uncertanty in Measurement. https://goo.by/SbzLx
Lárraga-Gutiérrez, J. M., García-Garduño, O. A., Treviño-Palacios, C., & Herrera-González, J. A. (2018). Evaluation of a LED-based flatbed document scanner for radiochromic film dosimetry in transmission mode. Physica Medica , 47, 86-91. https://doi.org/10.1016/j.ejmp.2018.02.010
León, E. Y., Herrera, J. A., Camacho, M. A., Villarreal, J. E., & García-Garduño, O. A. (2016). Evaluation of the uncertainty in an EBT3 film dosimetry system utilizing net optical density. Journal of Applied Clinical Medical Physics , 17(5), 466-481. https://doi.org/10.1120/jacmp.v17i5.6262
Lewis, D., Micke, A., Yu, X., & Chan, M. F. (2012). An efficient protocol for radiochromic film dosimetry combining calibration and measurement in a single scan. Medical Physics , 39(10), 6339-6350. https://doi.org/10.1118/1.4754797
Martišíková, M., & Jäkel, O. (2010). Study of Gafchromic® EBT film response over a large dose range. Physics in Medicine and Biology , 55(10), 281-290. https://doi.org/10.1088/0031-9155/55/10/n03
Massillon-JL, G., Chiu-Tsao, S. T., Domingo-Munoz, I., & Chan, M. F. (2012). Energy Dependence of the New Gafchromic EBT3 Film:Dose Response Curves for 50 KV, 6 and 15 MV X-Ray Beams. International Journal of Medical Physics , Clinical Engineering and Radiation Oncology, 1(2), 60-65. https://doi.org/10.4236/ijmpcero.2012.12008
Matney, J. E., Parker, B. C., Neck, D. W., Henkelmann, G., & Rosen, I. I. (2010). Evaluation of a commercial flatbed document scanner and radiographic film scanner for radiochromic EBT film dosimetry. Journal of Applied Clinical Medical Physics , 11(2), 198-208. https://doi.org/10.1120/jacmp.v11i2.3165
Méndez, I., Šljivić, Ž., Hudej, R., Jenko, A., & Casar, B. (2016). Grid patterns, spatial inter-scan variations and scanning reading repeatability in radiochromic film dosimetry. Physica Medica , 32(9), 1072-1081. https://doi.org/10.1016/j.ejmp.2016.08.003
Niroomand‐Rad, A., Chiu‐Tsao, S., Grams, M. P., Lewis, D. F., Soares, C. G., Van Battum, L. J., Das, I. J., Trichter, S., Kissick, M. W., Massillon‐JL, G., Alvarez, P. E., & Chan, M. F. (2020). Report of AAPM Task Group 235 Radiochromic Film Dosimetry: An Update to TG‐55. Medical Physics . https://doi.org/10.1002/mp.14497
Ramos, L. I., & Pérez, J. F. (2013). Improving the calibration of radiochromic films by the use of uncertainties in optical density and dose. Medical Physics , 40(7), 071726. https://doi.org/10.1118/1.4811238
Rubira-Bullen, I. R. F., Escarpinati, M. C., Schiabel, H., Vieira, M.A. d. C., Rubira, F., & Lauris, J. R. P. (2006). Evaluating noise in digitized radiographic images by means of histogram. Journal of Applied Oral Science, 14(6), 410-414. https://doi.org/10.1590/s1678-77572006000600005
Saur, S., & Frengen, J. (2008). GafChromic EBT film dosimetry with flatbed CCD scanner: A novel background correction method and full dose uncertainty analysis. Medical Physics , 35(7), 3094-3101. https://tinyurl.com/yurukbfm
Sharpe, P., & Miller, A. (2009). Guidelines for the Calibration of Routine Dosimetry Systems for use in Radiation Processing. National Physical laboratory. https://tinyurl.com/yrbumkpk
Williams, M., & Metcalfe, P. (2011). Radiochromic Film Dosimetry and its Applications in Radiotherapy. AIP Conference Proceeding, 1345(1), 1345. https://doi.org/10.1063/1.3576160
Ética, conflicto de intereses y declaración de financiamiento
El porcentaje total de contribución para la conceptualización, preparación y corrección de este artículo fue el siguiente: W.V.S. 33,4%, A.C.R. 33,3% y A.M.F. 33,3%.