Análisis hidrológico e hidráulico de la cuenca del Río Frío, municipios de Ciénaga y zona bananera, departamento del Magdalena.
Hydrologic and hydraulic analysis of the Frio river basin, municipality of Cienaga and zona bananera, Magdalena´s Department
Análise hidrológica e hidráulica da cuenca do rio Frio, municípios de Ciénaga e zona bananera, departamento do Magdalena
Análisis hidrológico e hidráulico de la cuenca del Río Frío, municipios de Ciénaga y zona bananera, departamento del Magdalena.
Revista Logos, Ciencia & Tecnología, vol. 9, núm. 1, pp. 156-178, 2017
Policía Nacional de Colombia

Recepción: 24 Enero 2016
Aprobación: 01 Junio 2017
Resumen:
Los modelos hidrológicos e hidráulicos han permitido grandes avances en los estudios de las cuencas hidrográficas, la utilización de modelos como HEC RAS y HEC HMS los cuales han recibido una gran acogida por la comunidad mundial de ingenieros que se desempeñan en el área de la meteorología, hidrología, hidráulica y otras áreas relacionadas con el manejo del recurso hídrico. Gracias a sus grandes aproximaciones los modelos de HEC RAS y HEC HMS fueron seleccionados para realizar las modelaciones para determinar el comportamiento hidrológico e hidráulico de la cuenca del río Frío ubicada en el municipio de Zona Bananera, departamento del Magdalena como producto de las inundaciones que se han presentado en los últimos años. En este artículo se expone una cantidad de análisis cuantitativos y cualitativos que posibilitan la obtención de la información de entrada de los modelos de simulación, posteriormente, dicha información fue introducida a los modelos para lograr determinar el comportamiento bajo escenarios extremos a los que la cuenca del río Frío puede ser sometida. De acuerdo con los resultados obtenidos las áreas donde se presentan los principales inconvenientes de carácter hidráulico e hidrológico, se deben principalmente a la configuración geométrica de la batimetría del río y al desarrollo de actividades agrícolas y ganaderas que han generado cambios en el uso del suelo, modificando los números de curva y aumentando la escorrentía hacia los afluentes y finalmente hacia el río principal. Frente a esta situación se relacionan una serie de recomendaciones que buscan corregir el régimen hidrológico y comportamiento hidrodinámico para evitar nuevas inundaciones que pongan en riesgo a la población que se encuentra en las inmediaciones del río Frío en el municipio de la Zona Bananera Departamento del Magdalena.
Palabras clave: Modelos, HEC RAS, HEC HSM, cuenca, hidrología, hidráulica.
Abstract:
The hydrologic and hydraulic models has allowed major advancements in the study of watersheds; the usage of models such as HEC RAS and HEC HMS has had a great reception from the global community of engineers who work at the areas of meteorology, hydrology, hydraulics, and other areas related with management of water resources. Thanks to their large approximations, the models HEC RAS and HEC HMS were selected to do the modeling in this work, having in mind, this degree work seeks to determine the hydrologic and hydraulic behavior of the basin of Rio Frio in the municipality of the “Zona Bananera Departamento del Magdalena” as a result of the floods that have occurred in the last few years. In this article we show an amount of quantitative and qualitative analysis that makes the obtaining of the input of simulation models possible. Subsequently, that information was introduced to the models to determine the behavior under the extreme scenarios to which the basin Río Frio can be exposed. According to the obtained results, the areas where the major disadvantages of hydraulic and hydrological character is present, is mainly due to the geometric configuration of the river bathymetry and the development of farming activities. These attributes have generated changes in the land use, modifying the curve numbers and increasing the runoff toward the tributaries and finally toward the main river. Faced with this situation a number of recommendations that seek to correct the hydrological regime and hydrodynamic behavior to prevent new floods that can put in risk the population that is found at the vicinity of the Rio Frio basin in the town of Zona Bananera Departamento del Magdalena.
Keywords: Models, HEC RAS, HEC HSM, basin, hydrology, hydraulics.
Resumo:
Os modelos hidrológicos e hidráulicos permitiram grandes avanços no estudo das bacias hidrográficas; O uso de modelos como HEC RAS e HEC HMS recebeu uma ótima recepção da comunidade global de engenheiros que trabalham nas áreas de meteorologia, hidrologia, hidráulica e outras áreas relacionadas à gestão de recursos hídricos. Graças às suas grandes aproximações, os modelos HEC RAS e HEC HMS foram selecionados para fazer a modelagem neste trabalho, tendo em mente que este trabalho de licenciamento busca determinar o comportamento hidrológico e hidráulico da bacia de Rio Frio no município do " Zona Bananera Departamento del Magdalena "como resultado das inundações ocorridas nos últimos anos. Neste artigo, mostramos uma quantidade de análise quantitativa e qualitativa que possibilita a obtenção da entrada de modelos de simulação. Posteriormente, essa informação foi introduzida nos modelos para determinar o comportamento sob os cenários extremos aos quais a bacia do Rio Frio pode ser exposta. De acordo com os resultados obtidos, as áreas em que as principais desvantagens do caráter hidráulico e hidrológico estão presentes, deve-se principalmente à configuração geométrica da batimetria do rio e ao desenvolvimento de atividades agrícolas. Esses atributos geraram mudanças no uso da terra, modificando os números das curvas e aumentando o escoamento em direção aos afluentes e, finalmente, para o rio principal. Diante dessa situação, uma série de recomendações que buscam corrigir o regime hidrológico e o comportamento hidrodinâmico para evitar novas inundações que possam arriscar a população que se encontra nas imediações da bacia do Rio Frio na cidade da Zona Bananera Departamento del Magdalena.
Palavras-chave: Modelos, HEC RAS, HEC HSM, bacia, hidrologia, hidráulica.
Introducción
Colombia se enfrenta a una situación de riesgo a tener desastres naturales que podrían afectar su desarrollo. Factores como la migración de la población de zonas rurales a sectores urbanos, la degradación ambiental y el cambio acelerado de uso del suelo agravan más la situación actual (Campos, et al., 2012). Estos factores contribuyen a fomentar la ocurrencia de anomalías naturales como sismos, deslizamientos e inundaciones; esta última anomalía ha cobrado mayor relevancia en los últimos años debido a que provoca millonarias pérdidas al país y perjudica la calidad de vida de sus habitantes. Uno de los hechos más históricos que sufrió el territorio colombiano fue la emergencia invernal como consecuencias del fenómeno de La Niña en el periodo 2010 – 2011, cuando 3’219.239 personas (cerca del 7% de la población nacional) se vieron damnificadas o afectadas por las inundaciones (CEPAL, 2012).
La cuenca hidrográfica del río Frío es uno de los principales recursos hídricos del Departamento del Magdalena y una importante fuente de abastecimiento de agua para el desarrollo de las actividades económicas y domésticas de las comunidades de la región que se ven beneficiadas a través de su red de drenajes (CORPAMAG, 2014).
En los municipios del departamento de Magdalena los desastres producidos por el fenómeno de La Niña, hicieron que el 29% de la población quedara afectada por las fuertes lluvias (UNGRD, 2012). Precisamente en el corregimiento de Río Frío en el municipio de Zona Bananera el cauce del río Frío al aumentar su nivel de agua como consecuencia de estas precipitaciones dejó a 533 adultos y 278 niños damnificados por la ola invernal (Alcaldía Zona Bananera, 2010). Ante esta emergencia, las autoridades administrativas y ambientales del departamento han manifestado la necesidad de implementar medidas de control frente a la situación para poder mitigar o evitar las inundaciones del río Frío en el municipio de Zona Bananera.
Sin embargo, las prácticas agropecuarias intensivas en la parte alta y media de la cuenca hidrográfica del río Frío, la reducción de la ronda hídrica y otras actividades han provocado desbordamientos del río Frío que afectan a las zonas de riego y disminuyen los recursos naturales perjudicando la calidad de vida de los pobladores del municipio de Zona Bananera. Igualmente la alta sedimentación por arrastre de depósitos aluviales en la desembocadura del río (Ciénaga Grande de Santa Marta) agrava aún más la situación ya que este fenómeno potencia las inundaciones por los procesos de colmatación (Universidad de Cartagena, 2012, pág. 178).
Como alternativas a la problemática de la Cuenca del rio Frio se ha dispuesto la implementación de modelos de simulación hidráulicos e hidrológicos (HEC HMS y HEC RAS) que admitan alcanzar un análisis detallado de los escenarios propensos a sufrir en las cuencas hidrográficas y en los cauces que componen las mismas. Las herramientas computacionales son utilizadas mundialmente gracias a su eficacia en el análisis de alternativas de corto y largo plazo permiten la ejecución y planeación de obras de control de inundaciones (Bustamante R. 2008).
Metodología
Para el desarrollo de la modelación de la cuenca del rio Frio se desarrollaron varios procedimientos que se describen a continuación:
Recopilación de información
CORPAMAG (mapas de topografía y drenajes, de tipos y usos del suelo y de geología de la Cuenca). Batimetría del cauce del río Frío que cuenta con 24 km medidos con secciones cada 50 metros.
IGAC - Bogotá (cartografía básica - planchas 18 y 19) escala 1: 100000.
IDEAM - Bogotá (series históricas de las estaciones climatológicas y mapa de cobertura vegetal de la zona de estudio).
Caracterización de la zona de estudio
Visita de campo a los tramos del cauce del río Frío para lograr identificar ciertas condiciones hidrológicas e hidráulicas importantes a la hora de ejecutar las modelaciones respectivas.
Caracterización y modelación hidrológica
Hidrografía de la cuenca, identificando la cantidad de subcuencas pertenecientes al área de estudio.
Determinación de las características físicas de la cuenca del río Frio a través del software ArcGIS.
Estimación y cálculo de las precipitaciones de diseño por el método de las curvas de intensidad, duración y frecuencia (Curvas IDF) de las estaciones relevantes para la zona, para obtener los hietogramas de precipitación y la aplicación del modelo HEC HMS.
Determinación del flujo base en cada una de las subcuencas, el procedimiento se realizó a través de la estación hidrometeorológica San Isidro del IDEAM, única activa en la zona estudio, aplicando la técnica de un ajuste por rendimientos para poder obtener los flujos bases para cada una de las subcuencas.
Evaluación de los tránsitos a lo largo del cauce principal de la cuenca del río Frío, tomando la batimetría suministrada por CORPAMAG la cual fue modificada por un canal antrópico para el cálculo del transporte de la escorrentía.
Caracterización y modelación hidráulica
Obtención de las hidrógrafas de salida de HEC HMS se procedió a obtener los parámetros hidráulicos a través del software HEC RAS.
Información batimétrica del río Frío y curva de granulometría de CORPAMAG, se obtiene el número de Manning, la longitud del cauce aguas abajo, los bordes de las secciones, entre otros valores relevantes para la modelación del régimen de flujo permanente.
Determinación de los aportes de sedimentos que el río Frío hace a la Ciénaga Grande de Santa Marta a través del módulo de sedimentos que HEC RAS.
Resultados y discusión
La cuenca del río Frío se localiza entre los municipios de Ciénaga y Zona Bananera, departamento del Magdalena, que nace en la vertiente occidental de la Sierra Nevada de Santa Marta, entre las coordenadas 10°50’N, 74°16’W y 11°1’N, 73°51’W y vierte sus aguas en la Ciénaga Grande de Santa Marta entre las coordenadas 10°52'6.28"N, 74°19'17.98"W y 10°52'7.21"N, 74°19'26.85"W. La cuenca limita con las cuencas del río Córdoba y río Guachaca por el norte, con las cuencas de los ríos Buritaca y Don Diego por el este, al sur con las cuencas del río Sevilla y Orihueca y por el oeste con la cuenca de La Ciénaga del Chino que hace parte del complejo de la Ciénaga Grande de Santa Marta (CORPAMAG, 2010). La cuenca del río Frío cuenta con una red hidrográfica de varios afluentes (Figura 1).

Para la caracterización hidrológica del estudio se requirió dividir la cuenca del río Frío en subcuencas, este procedimiento se logró a través del sistema de información geográfico ArcGIS tomando como referencia la cartografía básica de las planchas 18 y 19 del IGAC a escala 1:100000, generando veintidos (22) subcuencas (Figura 2).

En la Tabla 1 y Figura 2 se presentan los parámetros morfométricos obtenidos de las subcuencas del rio Frío

En la evaluación de la precipitación se tomaron siete (7) estaciones climatolcercanas al área de estudio o dentro de ella, estas estaciones pertenecen al IDEAM (Tabla 2). Cada estación posee registros históricos de la precipitación total mensual y precipitación máxima en 24 horas expresadas en mm, las series de datos históricos fueron utilizados en los diferentes procedimientos antes de ser ingresados a la plataforma del software HEC HMS, para el cálculo del modelo lluvia-escorrentía.

Distribución de la precipitación
La distribución de la precipitación se hizo para la totalidad del área de estudio, teniendo en cuenta que las estaciones no presentan una distribución uniforme que permitan trazar curvas de igual precipitación sobre la Cuenca, por lo tanto se utiliza el método de polígonos de Thiessen (Bateman, 2007). De acuerdo a lo anterior se construyen los polígonos de Thiessen mediante la herramienta de ArcGIS y respecto a las siete (7) estaciones del IDEAM correspondientes a la zona de influencia de la Cuenca del rio Frio (Tabla 2 y Figura 3).

Con base a los polígonos de Thiessen obtenidos, se procede a determinar el porcentaje del área que ocupa cada estación sobre las subcuencas del río Frío nuevamente utilizando ArcGIS; las estaciones de Sevillano (29060310) y Apto Simón Bolívar (15015050) no se les asigna ningún área dentro de la cuenca por lo cual estas no serán relevantes en la asignación de los pluviómetros.
Curvas de intensidad, duración y frecuencia (IDF)
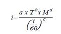
Las curvas de intensidad, duración y frecuencia de cada una de las estaciones seleccionadas se obtuvieron por el método de Curvas sintéticas regionalizadas de IDF para Colombia o también llamado método simplificado; este procedimiento se puede llevar a cabo siempre y cuando no se disponga en el área de estudio de datos históricos de corta duración es decir de datos pluviográficos (Instituto Nacional de Vías, 2009). La expresión que se utiliza para esta metodología es la siguiente:
(1)donde:
i: Intensidad de precipitación (mm/h)
T: Periodo de retorno (años)
t: Duración de la lluvia (min)
M: Precipitación máxima promedio anual en 24 h a nivel multianual
a, b, c, d: Parámetros de ajuste, que dependen de la ubicación geográfica de la zona de interés en Colombia.
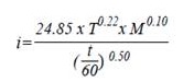
Respecto a la zona de estudio en la que se ubica la cuenca del río Frío los parámetros de ajuste a, b, c y d corresponden a 24.85, 0.22, 0.50 y 0.10 respectivamente; por lo que la ecuación adquiere de la siguiente forma:
(2)A partir de ecuación anterior se determina las curvas de intensidad, duración y frecuencia de la estación San Isidro como la más importante en la zona dde estudio la cual se presenta en la Tabla 3 y Figura 4.


Curvas de masa de precipitación (curvas de lluvia acumuladas)
Los hietogramas son registros pluviográficos que dan como resultado una curva de masas de precipitación, o una curva de lluvias acumuladas, o la cantidad de agua que ha caído desde que se inició el aguacero (Monsalve, 1995). A partir de las curvas de IDF determinadas para cada periodo de retorno de la estación representativa para este estudio, se calculan las curvas de masas de aguaceros puntuales para intervalos de tiempo de 10 minutos y hasta 3 horas de duración, este criterio se tomó con base a que duraciones mayores a estos valores no afectan el hidrograma de escorrentía superficial; posterior a este procedimiento se obtiene los incrementos de lluvias puntuales de los hietogramas de precipitación; por último se ajustan los incrementos de lluvias puntuales para generar un escenario más crítico del aguacero como generalmente se aplica en este tipo de análisis, por medio del método del Bloque Alterno, los incrementos de lluvias de los hietogramas se deben previamente arreglar de manera que el valor más bajo se colocará en primer lugar, el segundo valor más bajo se colocará en el último lugar, ese orden el tercer valor se colocará en el segundo lugar, el cuarto valor se ubicará en el penúltimo lugar y así sucesivamente hasta completar la serie de datos del hietograma (Ramos A. 2012). Este resultado se le denomina como los incrementos arreglados de lluvias puntuales de los hietogramas de precipitación (Instituto Nacional de Vías, 2009). Los resultados de los procedimientos anteriormente mencionados se muestran en las Tabla 4 y 5 con la estación San Isidro, que es la más relevante para la zona de estudio.


Una vez determinado el hietograma de la estación relevante (Tabla 5), es necesario asignar la precipitación a cada una de las subcuencas teniendo en cuenta la distribución de la precipitación obtenida por los polígonos de Thiessen. Considerando lo anterior se presenta detalladamente la precipitación adoptada para la subcuenca S2 (Quebrada Cimarrona) que es la representativa para la zona de estudio. A continuación se presenta los resultados obtenidos del hietograma de precipitación de la subcuenca S2, presentando valores altos en el intervalo 90 -100 minutos (Tabla 6):

Coberturas vegetales y suelos
La información del tipo de suelo en la cuenca del río Frío se obtuvo de la cartografía de la Corporación Autónoma Regional del Magdalena (CORPAMAG) y Ramos, 2012, mientras que las coberturas vegetales y usos del suelo que conforman el área de estudio fueron suministradas por el IDEAM en convenio con las entidades de la Corporación Autónoma Regional del Río Grande de la Magdalena (CORMAGDALENA) y el IGAC quienes desarrollaron los mapas de las coberturas vegetales a escala 1:100.000 a través de la metodología Corine Land Cover (CLC), este método permite describir, caracterizar, clasificar y comparar las características de la cobertura de la tierra, a partir de imágenes satelitales de resolución media (LANDSAT) para elaborar los mapas de las coberturas (Valencia & Anaya, 2009).
Con base en la información obtenida de los mapas del IGAC, elaboró el mapa de coberturas vegetales en la cuenca del río Frío a escala 1:100.000 (Figura 5), este proceso se desarrolló satisfactoriamente por medio del software ArcGIS. Adicionalmente, se tomó como criterio de clasificación de la cobertura vegetal presente en la zona de estudio, la adopción de unos nombres los cuales se pueden observar en la Tabla 7 para la definición de trece (13) coberturas vegetales.


Aplicando la metodología de clasificación de suelos definida por IGAC y a través de la herramienta de ArcGIS se logró elaborar el mapa de tipos de suelo (Figura 6), donde se definieron tres (3) unidades cartográficas de suelos (Ramos A. 2012, adaptado de IGAC 2009), para un total de dieciséis (16) tipos de suelos para la cuenca de río Frio (ver tabla 8).


Flujo base y tránsito de caudales
El flujo base se calculó como medida de ajuste dentro de las corriente principales de cada subcuencas a partir del rendimiento, debido a que se cuenta con una sola estación hidrométrica, el flujo base se toma como el promedio mensual multianual de la estación hidrométrica mes a mes (considerando que el flujo base en una corriente que varía en cada uno de los meses del año) multiplicado por el área de la subcuenca y divido en el área total de la cuenca. Los flujos bases mensuales obtenidas para cada subcuenca se detallan en la tabla 9.

El tránsito de caudales del rio Frío se calculó para evaluar el transporte del caudal producido en la Cuenca a partir de la simulación en el software HEC HMS que opera a través de la metodología de la onda cinemática y se requirió de una información morfométrica de las corrientes de la Cuenca considerado como un canal antrópico, para el caso puntual de este proyecto se consideró a través de la batimetría del cauce que las corrientes se comportaban de manera trapezoidal (Tabla 9).

Características hidráulicas
Las características hidráulicas se definen a partir del registro de batimetría del río Frío que suministró CORPAMAG se aplicó el modelo HEC RAS que nos muestra los resultados obtenidos en forma tabular y grafica (Perfiles 2D y 3D) de las condiciones hidráulicas del río Frío (Figuras 7, 8 y 9) que son críticas entre los 8000 a 10000 metros de distancia del canal y el resto presentan niveles uniformes en diferentes períodos de retorno.



Características hidrológicas
La simulación del transporte de sedimentos realizadas en el software HEC RAS, se definieron las secciones socavadas y sedimentadas del rio Frio, para un regimen de flujo permanente.
En los tramos iniciales (parte alta de la Cuenca) hasta los 5000 metros, se reporta una socavación alta, pero en los tramos de 10000 a 25000 metros se aprecian la acumulacion de sedimentos que reporta el rio Frio en la parte media y final de la cuenca. (Figuras 10 y 11). Los menores aportes de escorrentía directa se encuentran en la parte alta de la cuenca, debido a que la cobertura vegetal no ha sufrido cambios considerables por ser zona de protección, luego los cambios del uso del suelo en estas áreas son mínimos provocando bajos números de curva y por ende bajas contribuciones de caudal hacia el afluente principal de la cuenca del río Frío.
Con el desarrollo del modelo HEC RAS que la subcuenca S20 (Q. Calabacito) es la que mayor caudal por escorrentía directa aporta a la cuenca para cada uno de los 6 periodos de retornos que se utilizaron en la corrida del modelo. Respecto a los caudales picos generados se aprecian que en la totalidad de las simulaciones realizadas, este valor se manifiesta aproximadamente a las 2 horas de iniciado el proceso de lluvia-escorrentía.


Además, se aprecian que las abstracciones de precipitación que se dan tanto en la parte media como baja de la cuenca son insuficientes, ya que se producen caudales excesivos que alimentan al tramo principal de la cuenca. Esta consecuencia está causada básicamente por el desarrollo de actividades de la ganadería, la agricultura y la deforestación, que provocan cambios en los números de curva e incrementos de la escorrentía aguas abajo de la cuenca del río Frío.
Como también, en la figura 11, se evidencian las cantidades excesivas de caudal que son transportadas desde las subcuencas hasta el afluente principal del río Frío, estos caudales elevados pueden favorecer en el proceso de las inundaciones que se presentan en el área de estudio, provocando a su paso destrucción de la zonas aledañas y posibles alteraciones en la hidrodinámica del río, como el presentado en el año 2010 a causa del fenómeno de la Niña, sin embargo se debe de corroborar que las condiciones hidráulicas son afectadas como producto de este cambio en las condiciones del uso del suelo para ratificar que la subcuenca se encuentra susceptible a sufrir inundaciones.
Conclusiones
Los resultados obtenidos en la aplicación del programa HEC RAS es una aproximación, por lo tanto serían más acertados, si dentro de la cuenca del río Frío se ubicaran más estaciones hidrometeorológicas; permitiendo reducir la incertidumbre de los datos de entrada ingresados al modelo tales como hietogramas y caudales bases, brindando mayor confiabilidad de la información y resultados más cercanos a la realidad que sufre la cuenca del río Frío particularmente en los municipios de Cienaga y Zona Bananera.
Con relación a la modelación hidráulica realizada en HEC RAS para un régimen de flujo permanente esclarece que las condiciones hidráulicas del río para las situaciones proyectadas no son las mejores, teniendo en cuenta que los niveles de lámina de agua superan los bordes de las secciones transversales incluso para el primer periodo de retorno diseñado (2 años). Esto se debe principalmente a los aportes de caudales que las subcuencas realizan desde la cuenca media hasta la parte baja de la cuenca del río Frío. Otro factor preocupante son los perfiles de flujo obtenidos, ya que estos muestran que el río tiene velocidades altas tanto en las márgenes izquierda y derecha.
Considerando los resultados obtenidos de la modelación del módulo de transporte de sedimentos se puede precisar que las secciones sedimentadas superan los tres metros de altura, mientras que la socavación máxima supera los cuatro (4) metros de profundidad, particularmente estos valores máximos se encuentran aguas abajo del tramo del río Frío ingresado, lo que permite establecer que las condiciones hidrodinámica del río varían considerablemente por acción del caudal y la curva granulométrica asociada al modelo. Las secciones socavadas en el río Frío son: 17, 29, 330, 348 y 369 los valores en los cuales se presenta las máximas socavaciones son entre los 2 a 5 metros aproximadamente. Por otro lado las secciones donde mayor sedimentación se presenta en el río
El desarrollo del método de la onda cinemática es favorablemente para el desarrollo de la modelación del rio Frio, ya que los errores obtenidos no superan el 4% para las 6 modelaciones realizadas, lo que infiere que la modelación hidrológica de los tránsitos utilizados con el programa HEC HMS fueron muy acertados.
La evaluación hidráulica del rio Frío incorporando el componente de movilidad del sedimento, proporciona resultados que se aproximan a la realidad. Por otra parte permite determinar los tramos del río que son sensibles a erosión y que pudiesen poner en riesgo las estructuras hidráulicas proyectadas en el río, más aún cuando los ríos son de régimen mixto. Para el rio Frío que presenta cambios constantes en el régimen del flujo, este tipo de análisis permitió determinar que en estas condiciones se pueden presentar procesos tanto de agradación como de degradación del cauce. Esta información resulta importante puesto que permite predecir los cambios morfológicos que pudiera tener un río ante la incorporación de una estructura hidráulica como este puente.
Referencias
Acosta, M. (2006). Aplicación de un modelo hidrológico conceptual NAM precipitación- escorrentía en la cuenca del río de Oro. (Trabajo grado). Bucaramanga, Colombia: Universidad Industrial de Santander, Pregrado en Ingeniería Civil.
Alcaldía Zona Bananera. (16 de 09 de 2010). Fuertes lluvias dejaron a 143 casas afectadas en el corregimiento de Río Frío. Obtenido de http://www.zonabananera-magdalena.gov.co/apc-aa/view.php3?vid=1090&cmd%5B1090%5D=x-1090-1779572
Aparicio, F. (2006). Fundamentos de Hidrología de Superficie. Distrito Ferderal, México: Ed. limusa.
Bastidas, C. (2012). Instituto Nacional de Meteorología e Hidrología (INAMEH). Recuperado el 29 de 06 de 2015, de http://www.inameh.gob.ve/documentos/MANUAL_HECHMS.pdf
Bateman, A. (2007). Hidrología Básica y Aplicada. Barcelona, España: Grupo de Investigación de Transporte de Sedimentos - GITS.
Bocco, g., mendoza, M., & Masera, o. (2000). La dinámica del cambio del uso del suelo en Michoacán una propuesta metodológica para el estudio de los procesos de deforestación. Morelia, México: Instituto de Ecología UNAM.
Bustamante, Y. A. (2013). Modelamiento númerico de una onda de avenida generada por la rotura de una presa de tierra y su estimación de riesgo (Trabajo de grado). Lima, Perú: Universidad Nacional Mayor de San Marcos, Pregrado en Ingeniería Mecánica de Fluidos.
Bustamante, R. (2008). Calibración y validación del modelo HEC HMS en la cuenca de Huechún región metropolitana (Trabajo de grado). Talca, Chile: Univerisdad de Talca, Pregrado en Ingeniería Forestal.
Bustos, J. C. (2011). Cálculo de flujo gradualmente variado con HEC RAS (Tesis de maestría). México D.F., México: Universidad Nacional Autónoma de México, Maestría en Ingeniería Civil - Hidráulica.
Cadavid, J. (2006). Hidráulica de canales: fundamentos. En J. Cadavid. Introducción a la hidráulica de canales (págs. 8 - 30). Medellín, Colombia: Universidad EAFIT.
Campos, A., Holm-Nielsen, N., Díaz, C., Rubiano, D., Costa, C., Ramírez, F., & Dickson, E. (2012). Análisis de la gestión del riesgo de desastres en Colombia: un aporte para la construcción de políticas públicas. Bogotá, Colombia: Banco Mundial.
Cardona, O. (2001). La necesidad de repensar de manera holítica los conceptos de vulnerabilidad y riesgo. Bogotá, Colombia: Universidad de Los Andes.
Carrillo, L. R. (2013). Simulación de Lahares del volcán Cotopaxi en sus drenajes del lado norte con el uso del programa HEC RAS (Trabajo de grado). Sangolquí, Ecuador: Escuela Politécnica del Ejército, Pregrado en Ingeniería Civil.
CEPAL. (2012). Valoración de daños y pérdidas: Ola invernal en Colombia 2010 - 2011. Bogotá, Colombia: Banco Interamericano de Desarrollo - BID.
Chow, v., Maidment, D. R., & Mays, L. W. (1994). Hidrología Aplicada. Bogotá, Colombia: McGraw-Hill Interamericana, S.A.
CORPAMAG. (2010). Plan de ordenamiento y manejo de la cuenca del hidrográfica del río Frío. Santa Marta, Colombia: Corpamag.
CORPAMAG. (2014). Recuperación de la capacidad hidráulica del río Frio como estrategia para la mitigación del riesgo por inundación en el municipio de Zona Bananera, departamento del Magdalena. Santa Marta, Colombia: Corporación Autónoma Regional del Magdalena.
CVC. (2008). Caracterización del río Cauca tramo Salvajina - La Virginia. Cali, Colombia: Corporación autónoma regional del Valle del Cauca - Subdirección de gestión ambiental, grupo de recursos hídricos.
Díaz, J. (01 de 08 de 2008). Hidráulica Aplicada - HEC RAS. Recuperado el 12 de 08 de 2015, de https://jeffreydiaz.files.wordpress.com/2008/08/1-hidraulica-aplicada-hec-ras-flujo-uniforme.pdf
Estrada, v., & Pacheco, R. (2011). Modelación hidrológica con HEC HMS en cuencas montañosas de la región oriental de Cuba (Tesis de maestría). Santiago de Cuba, Cuba: Universidad de Oriente, Maestría en Ingeniería Hidráulica.
García, R. (2012). Análisis y evaluación del transporte de sedimentos en cuencas mediterráneas, (Trabajo de Grado). Murcia, España: Universidad Politécnica de Cartagena, Pregrado de Ingeniería Civil.
Gómez, E., & Castillo, H. (2005). Aplicación del modelo computacional HEC HMS en la estimación de caudales máximos en la cuenca del río Frío Cundinamarca (Trabajo de grado). Bogotá, Colombia: Universidad Cátolica de Colombia, Pregrado en ingeniería Civil.
Henao, J. (1988). Introducción al manejo de cuencas hidrográficas. Bogotá, Colombia: Universidad Santo Tomás.
Instituto Geográfico Agustín Codazzi – IGAC. (2009). Subdirección de agrología. Estudio General de Suelos y Zonificación de Tierras. Departamento del Magdalena. Escala 1: 100.000. Bogotá D.C.
Instituto Nacional de Vías. (2009). Manual de drenaje para carreteras. Bogotá, Colombia: Ministerio de Transporte.
Kuroiwa, J. (2010). Introducción al uso de HEC RAS. Lima, Perú: Universidad Nacional de Ingeniería.
Martín, J. P. (2002). Ingeniería de ríos. Barcelona, España: Universidad politécnica de Cataluña.
Ministerio del Medio Ambiente. (2004). Decreto 1729. Bogotá, Colombia: Ministerio del Medio Ambiente.
Monsalve, G. (1995). Hidrología en la Ingniería. Bogotá, Colombia: Escuela Colombiana de Ingeniería.
Ocampo, O. (2012). Análisis de Vulnerabilidad de la cuenca del río Chinchiná para condiciones estacionarias y de cambio climático (Tesis de maestría). Manizales, Colombia: Universidad Nacional de Colombia, Maestría en Ingeniería Química.
Ponce, H. E. (2008). Comportamiento hidráulico y sedimentológico de la bocatoma independiente de Aguas Andinas en el río Maipo (Trabajo de grado). Santiago de Chile, Chile: Universidad de Chile, Pregrado en Ingenieria Civil.
Ramos, M. A. (2012). Actualización de agrológica de los distritos de riego Prado Sevilla, Rio Frio y Tucurinca. INCODER. Adaptado de IGAC 2009. Bogotá D.C.
Ramos, M. A. (2012). Analisis de climático e hidrologico de los distritos de riego Prado Sevilla, Rio Frio y Tucurinca. INCODER.
Reyes, A., Barroso, F., & Carvajal, Y. (2010). Guía básica para la caracterización morfométrica de cuencas hidrgráficas. Santiago de Cali, Colombia: Universidad del Valler.
Rocha, A. (2009). Morfología fluvial y su incidencia en la estabilidad de las obras viales. Lima, Perú: VIII Congreso internacional obras de infraestructura vial.
Sánchez, J. (2012). Hidrología e Hidrogeología - Universidad de Salamanca (España). Recuperado el 26 de 06 de 2015, de http://hidrologia.usal.es/temas/Hid_sup_3.pdf
Solis, H., & Cuevas, J. (1995). Modelación hidrológica e hidráulica en la cuenca del río Caldera. Cuidad de Panáma, Panamá: IRHE.
U.S. Army Corps of Engineers. (2013). Hydrologic Modeling System HEC HMS user's manual version 4.0. Davis, USA: Hydrologic Engineering Center.
UNGRD. (2012). Plan departamental de gestión del riesgo Magdalena. Bogotá, Colombia: Panamericana.
UNIVERSIDAD DE CARTAGENA. (2012). Plan De Ordenamiento Y Manejo De La Cuenca Hidrográfica Del Río Frío (Pomca) VERSIÓN 4. Cartagena de Indias, Colombia: Instituto de Hidráulica y Saneamiento Ambiental de la Universidad de Cartagena.
UNIVERSIDAD DEL CAUCA. (2007). Transporte de sedimentos. Popayán, Colombia: Facultad de Ingeniería Civil - Departamento de hidráulica.
Valencia, G., & Anaya, J. (2009). Implementación de la metodología Corine Land Cover con Imagenes Ikonos. Medellín, Colombia: Universidad de Medellín.
Zapata, A., & Manzano, F. (2010). Aplicación de la teoría de la onda cinemática al estudio de hidrogramas generados mediante simulador de lluvias sobre suelos permeables. Agrociencia, 873-884. Recuperado el 2015 de 05 de 10, de http://www.redalyc.org/articulo.oa?id=302197360