Reportes de investigación
Resolução de problemas na formação inicial do professor de Matemática: um contributo da Teoria das Situações Didáticas e do software GeoGebra
Problem solving in the initial Mathematics teacher training: A contribution of the Theory of Didactic Situations and GeoGebra software
Resolução de problemas na formação inicial do professor de Matemática: um contributo da Teoria das Situações Didáticas e do software GeoGebra
IE Revista de Investigación Educativa de la REDIECH, vol. 13, e1400, 2022
Red de Investigadores Educativos Chihuahua A. C.

Recepción: 28 Agosto 2021
Aprobación: 06 Junio 2022
Publicación: 23 Julio 2022
Resumo: Este artigo trata-se de um recorte de uma pesquisa de mestrado, que aborda o uso de resolução de problemas na formação inicial do professor de Matemática. Tem como objetivo apresentar os resultados referente à observação dos conceitos epistêmicos dos professores em formação inicial no contexto da resolução de situações didáticas que abordam o conteúdo de Sequências Numéricas, segundo os pressupostos da Teoria das Situações Didáticas com amparo GeoGebra. A metodologia seguiu as etapas da Engenharia Didática, que foi utilizada no planejamento das situações didáticas e na análise dos dados, criando um ambiente de ensino e formação com a participação direta na resolução de problemas e na construção do conhecimento. A partir da análise de uma aplicação, encontrou-se como resultado a manifestação de outras habilidades de compreensão sobre o assunto de Sequências Numéricas que não eram esperadas na análise a priori. Outra descoberta foi a satisfação em usar o aplicativo do GeoGebra no celular como forma de resolver problemas. Conclui-se que trabalhar com problemas de olimpíadas de matemática ajudou na formação inicial dos professores de Matemática na elaboração de conjecturas, no aprofundamento dos conteúdos e no desenvolvimento de estratégias durante a ação de resolver problemas.
Palavras-chave: Conceitos epistêmicos, formação de professor, sequências numéricas, software dinâmico, teoria de ensino.
Abstract: This article is a summary of an academic master’s research that addresses the use of problem solving in initial mathematics teacher training. This work aims to present the results regarding the observation of the epistemic concepts of teachers in initial training in the context of solving didactic situations, which address the content of Number Sequences, according to the assumptions of the Theory of Didactical Situations supported by GeoGebra software. The methodology followed the stages of Didactic Engineering that was used in the planning of didactic situations and data analysis, creating a teaching and training environment with direct participation in problem-solving and knowledge construction. From the analysis of an application, it was found as a result the manifestation of other comprehension skills of understanding the subject of Number Sequences that were not expected in the a priori analysis, as well as another discovery was the satisfaction of using the GeoGebra application on the cell phone to solve problems. It is concluded that working with problems from the Mathematics Olympics helped in the initial training of mathematics teachers, either in the elaboration of conjectures, in the deepening of the contents, and the development of strategies during the problem-solving action.
Keywords: Epistemic concepts, teacher training, numerical sequences, dynamic software, teaching theory.
Introdução
A Olimpíada Brasileira de Matemática das Escolas Públicas (OBMEP) teve sua primeira edição em 2005, por iniciativa dos órgãos Instituto de Matemática Pura e Aplicada (IMPA), Sociedade Brasileira de Matemática (SBM), Ministério da Educação (MEC) e Ministério de Ciência e Tecnologia (MCT). Foi criada a partir da necessidade de melhoria do ensino de Matemática no país, pois segundo um levantamento feito pelo Programa Todos pela Educação, “apenas 10,3% dos alunos aprenderam o suficiente sobre Matemática ao terminar o Ensino Médio” (Fidelis, 2014, p. 10).
Fidelis (2014) revelou em seu trabalho que as escolas participantes da OBMEP tiveram melhora em seus resultados na área da Matemática na Prova Brasil de 2007. Assim, de acordo com este autor, há indícios de que participar de sucessivas edições da OBMEP pode influenciar o desempenho dos alunos. Para a OBMEP (2017), o resultado no exame de Matemática do Pisa (Programa Internacional de Avaliação de Estudantes) registrou melhora significativa de 2000 a 2012. Este foi considerado pelos organizadores da OBMEP um resultado satisfatório, pelo menos em parte, graças à sua ação.
A OBMEP tornou-se um programa nacional, com o objetivo de estimular o estudo da Matemática e o interesse dos alunos e professores por meio da resolução de problemas, contribuindo para a melhora no ensino da escola pública. “Fica evidente que a Olimpíada não apenas detecta talentos, mas também identifica e motiva grupos organizados de professores e alunos, que mostram ser possível, com estudo e dedicação, alcançar as mais elevadas posições nessa competição nacional” (OBMEP, 2017, p. 5).
A partir das influências positivas que a OBMEP tem proporcionado nos resultados dessas avaliações e, consequentemente, no aprendizado de Matemática dos alunos, consideramos que isso ocorre, em “grande parte pela disponibilização de um vasto material didático, baseado em problemas interessantes, que ajudam, não apenas a se preparar para a competição, mas principalmente a aprender o conteúdo” (Fidelis, 2014, p. 10). Levando em conta tais aspectos presentes na prova da OBMEP, surgiu o interesse de se trabalhar com resolução de problemas, visando a criação de um ambiente de construção do conhecimento juntamente com os professores em formação. Segundo Costa e Allevato (2013), a resolução de problemas possibilita a mobilização de conhecimento de forma mais aperfeiçoada e pode desenvolver a autoconfiança dos participantes.
Tendo em vista esses elementos, damos ênfase em problemas de olimpíadas que, no geral, são diferentes das questões propostas nos livros didáticos. Para Polya (1985) existem problemas do tipo rotineiro que, em geral, não exploram a criatividade do aluno, podendo ser apenas um problema de aplicação de regras matemáticas, e existem problemas não rotineiros, que incluem investigações e pesquisas para resolvê-los.
Neste trabalho, baseamo-nos em problemas não rotineiros propostos por Polya (1985), relacionados com problemas presentes em provas de competições olímpicas. Estes problemas podem ser encontrados em diversos materiais disponibilizados pela própria OBMEP, com intuito de fortalecer o estudo e o apoio aos alunos e professores que desenvolvem atividades de preparação para a competição em suas instituições de ensino. Este artigo apresenta os resultados referentes a observação dos conceitos epistêmicos dos professores em formação inicial no contexto de resolução de situações didáticas, que abordam o conteúdo de Sequências Numéricas, segundo os pressupostos da Teoria das Situações Didáticas com amparo do software GeoGebra.
A escolha deste conteúdo matemático deve-se ao fato deste tema ter o início de seu ensino nos anos iniciais do ensino fundamental, estendendo-se até a educação superior, além de estar presente nos três níveis da prova da OBMEP. A proposta de inserir o GeoGebra nas resoluções verifica-se por este software promover novas formas de produção do conhecimento matemático (Diaz-Urdaneta et al., 2019).
A referida pesquisa foi estruturada a partir da metodologia Engenharia Didática (ED), que nos permitiu a concepção, aplicação, observação e análise das situações didáticas. Além disso, baseamo-nos na Teoria das Situações Didática (TSD) para o planejamento da sequência didática, por intermédio de problemas selecionados de provas anteriores da OBMEP, criando um ambiente de ensino capaz de proporcionar ao professor em formação a participação direta na resolução de problemas presentes nesta competição. Os critérios para as análises das ações dos sujeitos seguiu as fases da TSD, que são ação, formulação, validação e institucionalização.
Teoria das Situações Didáticas
A Teoria das Situações Didáticas (TSD) faz uma relação entre três elementos fundamentais: professor, aluno e saber. As relações entre professor-saber, saber-aluno e aluno-professor são definidas como dinâmicas e complexas, ficando a relação entre professor-aluno ou aluno-professor vista como uma relação assimétrica quando relacionada ao saber.
Almouloud (2007) apresenta que os docentes e discentes são personagens indispensáveis na relação de ensino e aprendizagem, bem como o meio (milieu) em que a situação didática se faz presente. Ainda, segundo Almouloud (2007), a Teoria das Situações se apoia em três hipóteses, esclarecidas a seguir:
1. O aluno aprende adaptando-se a um milieu, que é fator de dificuldades, de contradições, de desequilíbrio. Esse conhecimento, fruto da adaptação dos alunos, manifesta-se pelas novas descobertas, que são a prova da aprendizagem.
2. O professor deve criar e organizar um milieu que seja suficiente para desenvolver situações suscetíveis de promover uma aprendizagem mais significativa.
3. O milieu, juntamente com as situações didáticas, deve engajar os conhecimentos matemáticos envolvidos durante o processo de ensino e aprendizagem [p. 32].
Um fato muito importante que deve ser observado na TSD é a questão da escolha ou elaboração de uma situação didática, seja ela na forma de resolução de problema ou jogo. A situação didática deve ser bem escolhida (ou elaborada), sempre com a intencionalidade de ensino e aprendizagem não revelada pelo professor. As situações propostas podem ensejar a emergência dos conhecimentos prévios dos alunos em suas respostas, sendo corretas ou não, porém sem declarar para o aluno diretamente sua intenção didática.
Já quanto à situação didática, Brousseau (2008) tem como ideia tornar o aluno um pesquisador, testando conjecturas, formando hipóteses, provando, construindo modelos, conceitos, teorias e socializando os resultados, cabendo grande responsabilidade ao professor em promover situações favoráveis, para que o aluno transforme essa sabedoria em conhecimento. Para que tudo isso aconteça, a situação adidática precisa acontecer de forma satisfatória e, que fique claro, é uma parte essencial da situação didática.
A TSD decompõe o processo de aprendizagem em quatro etapas, sendo que, nessas etapas, o aluno apresenta relações diferenciadas com o saber. Essa teoria de ensino pode ser modelada em fases ou situações de ação, formulação, validação e institucionalização. Tais fases são descritas, a seguir, conforme as ideias de Brousseau (2008).
Situação de ação: nessa etapa, acontece o primeiro contato do aluno com a situação-problema, cabendo a ele buscar em seus conhecimentos elementos necessários à solução, ao mesmo tempo, interagindo com o milieu na obtenção de uma estratégia de resolução.
Situação de formulação: caracterizada pela troca de informações (escrita ou oral) entre o aluno e o milieu, permitindo uma linguagem adequada, mas sem exacerbada preocupação com uma linguagem matemática formal.
Situação de validação: nessa etapa faz-se necessário o uso de uma linguagem matemática mais cuidadosa, pois é aqui que os alunos devem apresentar, individualmente ou em grupo, suas soluções. Deve existir cuidado na comunicação, para que ela seja suficientemente clara para o restante da turma, já que são eles, seus pares, que irão julgar a certeza/pertinência/precisão das afirmações feitas.
Situação de institucionalização: última etapa, em que o professor revela sua verdadeira intenção através do problema proposto. Ele faz uma análise e síntese das respostas e soluções dos alunos, apresentando a formalização matemática esperada para o assunto escolhido, levando em conta as soluções e concepções apresentadas pelos alunos, situando-as dentro da teoria matemática que se deseja abordar.
As três primeiras fases caracterizam a situação adidática, que, segundo Brousseau (1986, citado em Teixeira e Passos, 2013), é representada pelo esforço independente do aluno em certos momentos de aprendizagem. Já para o professor, cabe a função de mediar todo o processo. Porém, quando o aluno apresenta dificuldade na resolução da situação adidática, “o professor deve expressar intenção de orientá-lo no encaminhamento da resolução, caracterizando, assim, uma situação didática. Portanto, toda situação adidática pode tornar-se um tipo de situação didática” (Teixeira e Passos, 2013, p. 164).
Na última fase, Brousseau (2008, p. 21) pondera que o papel da institucionalização é “prover sentido de um saber”. Seguindo essas quatro fases, o professor não fornece a resposta ao aluno, fazendo com que o educando participe efetivamente da construção do seu saber, com base em suas experiências e em sua interação com o meio.
Análises preliminares
Na etapa inicial da ED, realizamos um estudo bibliográfico sobre o tema proposto, com intenção de fundamentarmos, cientificamente, a etapa subsequente, a análise a priori. Diante deste aspecto, um dos objetivos dessa fase foi “identificar os problemas do ensino e aprendizagem do objeto de estudo e delinear de modo fundamentado questão(ões), a(s) hipótese (s) os fundamentos teóricos metodológicos da pesquisa” (Almouloud, 2007, p. 170).
Partindo desse pressuposto, quando nos referimos ao trabalho com resolução de problemas em sala de aula, não podemos deixar de citar as ideias de Alves (2012), Allevato e Onuchic (2009), Romanatto (2012) e Costa e Allevato (2013), que apontam que a resolução de problemas desenvolve a compreensão matemática dos alunos. Sendo assim,
A resolução de problemas [...] no ensino da Matemática, pode fazer com que os conceitos e princípios matemáticos fiquem mais compreensivos para os estudantes uma vez que eles serão elaborados, adquiridos, investigados de maneira ativa e significativa. É a apropriação compreensiva do conteúdo, pois é uma Matemática mais qualitativa em destaque [Romanatto, 2012, p. 303].
Para Allevato e Onuchic (2009), um problema é ponto de partida e orientação a aprendizagem, pois a partir de sua solução surge-se um novo conhecimento. As autoras destacam que a parceria do trabalho entre professor e aluno possibilita uma aprendizagem de forma colaborativa em sala de aula. Já Alves (2012) destaca que a resolução de problemas em Matemática estimula o raciocínio na busca da solução.
Dando continuidade à pesquisa bibliográfica, agora voltada para o conteúdo matemático “Sequências numéricas” no currículo, analisamos que este tópico é contemplado na Base Nacional Comum Curricular (BNCC), na área de conhecimento de Álgebra, desde o 2° ano dos anos iniciais do ensino fundamental. Já quando analisamos este conteúdo nas provas da OBMEP, verificamos que este aparece em todos os níveis dessa olimpíada (Nível A – alunos do 4º e 5° anos do ensino fundamental, Nível 1 – alunos do 6° e 7° do ensino fundamental, Nível 2 - alunos do 8° e 9° do ensino fundamental e Nível 3 - alunos do ensino médio).
Com isso, verificamos que o conteúdo de Sequências Numéricas está presente no currículo do aluno e é abordado na OBMEP. O estudo de sequências ou padrões tem por finalidade envolver o aluno com a disciplina de Matemática, tornando a aprendizagem mais significativa devido a sua relação com experiências e realidades vivenciadas por eles (Jungbluth et al., 2019). Logo, considera-se que as situações propostas nos problemas de olimpíadas são um artifício que os professores do ensino fundamental e do ensino médio podem aderir nas suas práticas pedagógicas para trabalhar esse conteúdo.
Diante desse contexto, propõe-se o uso de situações didáticas aos professores em formação inicial, com o intuito de proporcionar a eles uma experiência em resolver problemas de olimpíadas sobre o conteúdo de Sequências Numéricas, oferecendo uma diversificação em seu planejamento no decorrer de sua atuação profissional.
Análise a priori
Nesta fase, o pesquisador deve elaborar, construir e analisar uma sequência de situações-problema, com o objetivo de responder às questões e validar as hipóteses determinadas na fase anterior. A partir do estudo realizado nos trabalhos acadêmicos, na fase anterior, este trabalho buscou abordar o assunto Sequências Numéricas, tópico bastante presente nas provas da OBMEP. Com isso, decidimos não elaborar situações-problema, mas selecionar e/ou adaptar problemas oriundos da OBMEP que abordassem este assunto.
Esperávamos que os professores em formação mobilizassem seus conhecimentos ao desenvolver o raciocínio algébrico e geométrico, em um ambiente dinâmico de trocas e discussões engajadas em uma situação de investigação matemática. O GeoGebra foi usado como ferramenta didática, com intenção de ampliar as possibilidades de visualização e construção do conhecimento no momento de elaborar conjecturas para solucionar o problema.
A seguir, apresentamos a descrição de uma situação didática selecionada e planejada segundo as dialéticas da TSD. Recordamos que essa descrição do planejamento é de grande relevância, pois os detalhes de cada momento podem levar à previsão dos possíveis comportamentos, conhecimentos prévios e levantamento dos conceitos epistêmicos dos futuros professores no momento em que estiverem em situação de ação, formulação e validação.
Situação Didática proposta
Problema da OBMEP 2008 – 1ª fase – Nível 3 – questão 04.

O objetivo desta situação é levar o futuro professor a perceber a existência de um padrão matemático para o aumento dos quadradinhos de cada retângulo, observando o crescimento na linha e na coluna para, assim, encontrar o perímetro do 100° retângulo. Para este problema são exigidos como conhecimentos prévios o perímetro de figuras e o termo geral de uma Progressão Aritmética (P.A.).
Acreditávamos que os sujeitos da pesquisa tivessem conhecimento destes conteúdos matemáticos, por isso nosso intuito foi de analisar as ações referentes às suas estratégias de resolução para encontrar a solução, além de verificar o desempenho destes professores em formação nessa situação completamente nova, pois eles não têm o hábito de resolver problemas típicos de olimpíadas. Além disso, não informamos que esse problema foi retirado da prova da OBMEP e nem que foi direcionado aos alunos do Ensino Médio.
Expomos, a seguir, a resolução do problema a partir de uma previsão de ações referentes ao conhecimento do assunto e estratégias de solução. Usamos o software GeoGebra como recurso digital para uma melhor compreensão, visualização e validação do problema na medida do necessário.
Para dividir as fases da solução e o acompanhamento do novo conhecimento dos sujeitos, usamos as quatro dialéticas da Teoria das Situações Didáticas. Entendemos que, no momento da resolução do problema, estas dialéticas podem acontecer simultaneamente, separadamente ou deixar de acontecer alguma fase, pois não é, de modo imperativo, necessário que em todas as situações didáticas sejam identificadas todas as fases da TSD. Contudo, para esse problema, buscamos prever ações para cada uma delas, como proposto a seguir:
Dialética da Ação
Nessa fase, esperamos que os futuros professores, após lerem o problema, percebessem que as alturas dos retângulos, no decorrer de cada etapa, aumentam 1 cm, visto que, no primeiro retângulo, a altura mede 1 cm, no segundo, 2 cm e, no terceiro, 3 cm e, assim, sucessivamente, já que os lados de cada quadradinho que compõem os retângulos medem 1 cm. Em seguida, esperamos que eles observassem que a base do primeiro retângulo é 1 cm, do segundo retângulo, 3 cm e, do terceiro retângulo, 5 cm, como já exposto na imagem do problema (Figura 1).

Assim, o professor em formação poderia começar a observar o padrão existente para a base dos retângulos, analisando a diferença que há entre a medida das bases do primeiro e do segundo retângulos, do segundo e do terceiro, bem como em quaisquer dois retângulos consecutivos da sequência, percebendo que essa diferença é de 2 cm.
Os sujeitos notariam que, para a base do retângulo, há um padrão diferente do padrão da altura. Sendo assim, tenderão a tomar suas primeiras decisões acerca do problema. Concordando com as ideias de Almouloud (2007, p. 38), “as interações estão centralizadas na tomada de decisões”, ou seja, essa fase permite que o professor em formação estabeleça ações de como resolver esse problema.
Agora, almejando o manuseio de um recurso digital que possibilite a exploração visual da sequência, apresentamos para os professores a construção já pronta desse problema no software GeoGebra.[1] A partir do software, eles devem observar o aumento da base e da altura de cada retângulo da sequência de forma mais didática e concreta.
Nas Figuras 2 e 3, observamos um exemplo de como pode ser feita essa exploração e manipulação a partir da ferramenta controle deslizante. Para esta construção, buscamos fazer emergir os conceitos de Sequência Numérica a partir desse problema olímpico, usando o controle deslizante, pois acreditamos que, ao dinamizar a construção, pode ser facilitada a transposição didática do conteúdo.


Observe que na Figura 2 o controle deslizante (n) se encontra na posição 1. Ao movermos para a posição 2, encontramos a Figura 3, sendo esta figura o segundo retângulo da sequência proposta nesse problema. Então, esperamos que os professores em formação manipulem essa ferramenta com o intuito de desenvolver e identificar o padrão de crescimento da figura.
Na Figura 4, por exemplo, o futuro professor deve se deparar com o controle deslizante na posição 4, percebendo que a altura do retângulo (em vermelho) está relacionada à posição de n, necessitando agora que ele identifique o padrão para a base do retângulo e estabeleça a generalização.

Dialética da Formulação
Nesta fase, Almouloud (2007, p. 38) afirma que “o aluno troca informações com uma ou várias pessoas, que serão os emissores e receptores, trocando mensagens escritas ou orais”. Com esta troca de informações, o professor poda concluir que, como a sequência prevalecerá para o enésimo retângulo, essa diferença será a razão de uma Progressão Aritmética. Ainda, segundo o autor, “essa dialética permite criar um modelo explícito que pode ser formulado com sinais e regras comuns, já conhecidas ou novas” (Almouloud, 2007, p. 38).
Com isso, os participantes podem estabelecer um padrão matemático, através do qual seja possível calcular a medida da base de qualquer figura que esteja nessa sequência, para depois calcular o perímetro do 100° retângulo. A partir de seus conhecimentos prévios sobre Progressão Aritmética (PA) e compreensão do conceito e aplicação do termo geral da PA, os professores podem perceber que, para calcular a medida da base do enésimo retângulo, é válida a lei de formação:

Sabendo que o termo an corresponde à quantidade de quadradinhos da base do retângulo que está na posição n, o modelo matemático para a base do enésimo retângulo é:

Realizando a operação distributiva, este modelo também pode ser escrito como: an = 1 + 2n – 2, que resulta em an = 2n – 1.
Contudo, de acordo com a lei de formação apresentada no problema, a sequência de retângulos, escrita como altura x base, é da forma:
1 · 2, 2 · 3, 3 · 5, 4 · 7, ... , n · (2n – 1).
Logo, o 100º retângulo, isto é, quando n = 100 é da forma:
100 · (2 · 100 – 1) = 100 · 199.
Com efeito, espera-se que os sujeitos concluam que há 100 quadradinhos de altura e 199 de base. Assim, o seu perímetro, é:
2 · (100 + 199) = 596 cm.
Dialética da Validação
Nessa fase, os professores em formação devem provar e validar suas ideias e estratégias destinadas a levá-los a chegar na solução (correta ou não). Podem ser realizados debates, argumentações e apresentações da(s) maneira(s) pelas quais encontraram aquela resposta, pois, para um único problema, podemos encontrar diversos modos de solução.
Para esse problema, os futuros professores podem apresentar suas soluções, com uso do quadro branco ou não, explicando os caminhos que os levaram à tal resposta. Se necessário, podem usar o software GeoGebra como amparo para a comprovação da solução. Assim, concretizamos a validação do problema e as estratégias de solução encontradas pelos professores, ou seja, podemos analisar as respostas que utilizaram mais raciocínios, lógicas ou exploração de conceitos matemáticos.
Dialética da Institucionalização
Nessa fase, a professora (pesquisadora) deve retomar a responsabilidade da situação e generalizar os resultados a partir das ações, formulações e validações observadas no momento da resolução. A professora pesquisadora institucionalizou a noção de progressão aritmética por meio do seguinte teorema.[2]

Experimentação
Este estudo teve como participantes da pesquisa cinco estudantes do curso de licenciatura em Matemática do Instituto Federal de Educação, Ciência e Tecnologia do Ceará (IFCE) – campus Fortaleza, que participavam do programa da Residência Pedagógica.
A aplicação desta pesquisa aconteceu durante quatro encontros presenciais, em abril de 2019, cujo intuito foi observar e analisar as ações dos professores em formação inicial ao resolverem problemas oriundos de olimpíadas de Matemática, acerca do conteúdo Sequências Numéricas, verificando a manifestação de estratégias no ato de resolver problemas.
Os materiais necessários para cada encontro foram lápis, papel, projetor multimídia, computador, celular e o software GeoGebra. Este software foi utilizado em todos os encontros de formação, com o propósito de ajudar no processo de visualização, exploração e construção dos conceitos nas situações didáticas.
Antes da realização do primeiro encontro, foi realizada uma reunião com os participantes e estes foram submetidos a um questionário, em que obtivemos informações sobre suas experiências em sala de aula e seus conhecimentos referentes ao software GeoGebra. Todos responderam que conheciam comandos básicos a partir de uma disciplina que cursaram no decorrer da licenciatura.
A coleta de dados aconteceu a partir de instrumentais como registros fotográficos, gravação de áudios, questionários, produções escritas dos participantes, observações e entrevista. Para resolver a situação didática, avisamos aos participantes que eles deveriam limitar-se ao uso de assuntos da educação básica, focando em uma abordagem compreensível (didática) para o nível em que o problema está proposto. Nesse sentido, firmamos o contrato didático com os participantes da pesquisa e analisamos as concepções dos futuros professores de Matemática a partir da resolução dos Problemas Olímpicos. Destacamos, também, que a situação de devolução se encontra em todo o processo dessa aplicação.
A seguir, descrevemos o experimento a partir da apresentação da situação didática.
Análise a posteriori e validação
No início desta situação didática, todos os participantes começaram de forma individual e depois discutiram em grupo, trocaram ideais, expuseram seus conhecimentos prévios e realizaram as ações, formulações e validações para solucionar a situação, como tínhamos pressuposto na análise a priori.
Para resolver o problema, avisamos que os professores estavam limitados a usarem apenas assuntos da educação básica, focando em uma abordagem compreensível (didática) para o nível em que o problema foi proposto. Firmamos o contrato didático com os participantes da pesquisa e situamos o plano (i) professor – sala de aula, apresentado anteriormente, para analisar a competência do professor de Matemática considerando situações de trabalho.
No início dessa situação didática, todos os sujeitos da pesquisa (professores em formação) leram o enunciado do problema e começaram a trabalhar, inicialmente, de forma individual (Figura 5). Após alguns minutos, começaram a trocar ideias entre si, realizando as dialéticas de ações e formulações para dar solução à situação, como previsto na análise a priori.

No momento da formulação, cabe a troca de informações orais ou escritas referentes ao objetivo do problema. Então, nesse momento, observamos os diálogos entre os participantes sobre o aumento de linha e coluna dos retângulos como foi previsto.
P4: Linha sempre vai aumentar uma. Na primeira figura, tem uma coluna e uma linha. Concorda comigo? Na segunda, ele tem três colunas e duas linhas. Na terceira, cinco colunas e três linhas. Na quarta, ele vai ter dois elevado a três que dar que vai dar oito, então ele vai ter nove colunas, porque sempre tem uma base.
P1: Na quarta, vai ter sete colunas e quatro linhas ..., aí o problema pergunta: Qual o perímetro do 100º retângulo desta sequência? Na parte de cima, temos n+1, não, n+2, ....
P4: Eu errei, não vai ser potência.
Em seguida, os futuros professores buscaram apresentar um modelo matemático para a solução. Neste caso, recorreram à álgebra para padronizar uma fórmula (Figura 6), ao mesmo tempo que continuavam verbalizando suas estratégias e possíveis formas de solução. Aqui, observamos a troca de informação dos conhecimentos epistêmicos e pragmáticos entre os futuros professores, à medida que analisamos também o aparecimento da transposição profissional.

Após esse momento de troca de informações com os colegas e tentativas de estabelecer um padrão para resolver o problema, o software GeoGebra foi utilizado como auxílio na visualização do padrão de crescimento dos quadradinhos, conforme solicitado no problema. Com a construção no GeoGebra, os participantes observaram o aumento de quadradinhos na linha e na coluna dos retângulos (Figura 7) ao moverem a ferramenta controle deslizante. Em seguida, iniciaram a criação de um modelo matemático que representava aquela sequência (Figura 8).


Lembramos que a construção no GeoGebra já foi apresentada pronta. Assim, os futuros professores movimentaram a ferramenta controle deslizante para observarem as mudanças na construção (aumento e/ou redução) dos quadradinhos dos retângulos, por meio da alteração do valor n. Com essa alteração, o retângulo apresentava mudanças automaticamente no valor de seu perímetro, promovendo dinamismo na resolução do problema e proporcionando melhor interação entre sujeito e problema.
Na sequência, analisamos, com mais detalhes, as ações e estratégias de soluções encontradas pelos participantes (P1 e P3) e seus respectivos desenvolvimentos profissionais ao lidarem com essa situação nova, ou seja, resolver um problema de olimpíada. Selecionamos os participantes P1 e P3, visto que realizaram outras ações que não tínhamos previsto na análise a priori.
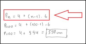
O participante P1, na fase de formulação, apresenta-nos sua solução (Figura 9) registrada no ambiente lápis e papel. Averiguamos que esse professor realizou primeiro a organização das linhas e colunas, para, assim, identificar as quantidades de cada uma delas ou padronizar um modelo matemático da sequência.

A partir da figura, percebemos que o participante P1 relacionou que a 100ª figura teria a mesma quantidade de linhas da figura do 100º retângulo da sequência. Já as colunas foram calculadas por: n,n + 1, n + 2, n + 3, n + 4 ..., identificando que o número de colunas sempre será um valor ímpar, fazendo uma relação com assuntos que envolvem a sequência numérica do tipo Progressão Aritmética. Tal fato não havia sido pressuposto na nossa análise a priori. Depois dessa descoberta, ele encontrou que o número de colunas é igual a 199.
Então, encerrou calculando o perímetro do 100º retângulo da sequência, isto é, fazendo apenas uma soma básica das quantidades de quadradinhos dos quatro lados do retângulo, resultando em: 100 + 100 + 199 + 199 = 598 cm.
No momento da validação, esse professor expôs para todos os presentes seu pensamento estratégico e suas dificuldades no decorrer do processo de solução, sendo tais dificuldades relacionadas à falta de habilidade em resolver problemas de olimpíadas, pois, de acordo com o participante P1, no curso de licenciatura em Matemática não há disciplinas ou momentos voltados para a resolução de problemas de olimpíadas. Nesse instante, percebemos um vestígio do obstáculo profissional que poderá ser vivenciado no ambiente de trabalho.
Na Figura 10, visualizamos o esboço da solução do participante P1 a partir da generalização do número de colunas da 100ª figura, nesse caso, sendo n + 99.

A interação das fases da ação, formulação e validação (situação adidática), para o professor P1, mobilizou seus conhecimentos (epistêmicos) sobre o assunto. Ao mesmo tempo, ele, como professor em formação, criou e/ou despertou estratégias de solução (conhecimentos pragmáticos) que pudessem ser usados em sala de aula, contribuindo assim com a formação desse professor quando este se encontrar no ambiente profissional, seguindo a proposta da DP.
Já o participante P3 realizou ações diferentes, visto que conseguiu generalizar um padrão matemático que, ao aplicar um certo valor n, foi possível encontrar diretamente o perímetro do retângulo desejado, conforme a Figura 11. Neste caso, verificamos claramente a manifestação dos conhecimentos epistêmicos desse futuro professor, pois, nesse momento, ele busca manifestar a matemática do saber.

Observemos que, na representação algébrica para esse problema, a descoberta do modelo matemático, criando uma fórmula específica para calcular diretamente o valor do perímetro, é própria do participante P3. Sendo assim, identificamos que esse professor já tem certa habilidade nos assuntos matemáticos da educação básica ao resolver problemas de olimpíadas ou até tenha mais experiência em sala de aula com esses tipos de situações.
Ao questionarmos sobre a descoberta do participante P3, perguntamos sobre sua experiência em resolver problemas. Ele respondeu que auxilia um grupo de preparação para as Olimpíadas de Matemática na instituição em que estuda[3]e afirmou que gosta de resolver problemas provocantes e desafiadores (devolução). Com isso, percebemos a diferença entre o professor que já trabalha com resolução de problemas de olimpíadas e as habilidades que são desenvolvidas no decorrer do processo de formação.
Continuando a análise das ações do participante P3, na Figura 12 mostramos como ele apresentou seu conhecimento epistêmico e pragmático durante a dialética da validação, ou seja, como explorou seu conhecimento teórico e prático sobre o assunto, para desenvolver uma estratégia de solução do problema de forma didática e compreensível a todos.

A partir do relato em áudio, coletado no ambiente de aplicação, o participante P3 afirmou que resolveu esse problema fazendo observações nas figuras do problema. Ele disse:
P3: Eu observei que no primeiro quadradinho como mede 1 cm de lado, então tem 4 cm de perímetro, pro segundo com seis quadradinhos, seriam 10 cm. Pro terceiro seria 16 cm, aí fui fazer o desenho do quarto só para ter certeza e cheguei a 22 cm, aí com essa observação eu cheguei a essa fórmula que seria o perímetro da primeira figura, que seria o termo inicial, mais n -1 vezes 6.
O que foi relatado, anteriormente, dá-nos suporte na compreensão do raciocínio desenvolvido pelo futuro professor e de como ele trabalha com suas habilidades profissionais já adquiridas, mesmo com o curto tempo de experiência. Na Figura 13, trazemos a solução realizada por este participante no momento da sua exposição/validação na lousa e deixando clara a sua resposta para os demais colegas, que ainda apresentavam dúvidas na definição da forma generalizada.

Assim, o objetivo dessa situação foi atingido, já que os participantes conseguiram resolver o problema e apresentaram diferentes estratégias de solução, enriquecendo mais ainda o ambiente de formação e de preparação desses futuros professores para a sala de aula.
Na institucionalização, a pesquisadora fez um levantamento de todas as estratégias de solução apresentada naquele único problema, discutindo as variáveis didáticas e obstáculos que surgiram no decorrer da resolução. Além disso, questionou a importância de os professores em formação valorizarem os diferentes caminhos que seus alunos encontrarão nas suas respostas, pois, poderão deparar-se com situações desse tipo quando estiverem em sala de aula.
Considerações finais
Este trabalho buscou apresentar os resultados parciais de uma pesquisa de mestrado em Ensino de Ciências e Matemática a partir de problemas selecionados de provas de olimpíadas, com futuros professores de um curso de licenciatura em Matemática. O principal objetivo foi apresentar os resultados referentes a observação dos conceitos epistêmicos dos professores em formação inicial no contexto de resolução de situações didáticas, abordando o conteúdo de Sequências Numéricas, segundo os pressupostos da Teoria das Situações Didáticas (TSD) com amparo do software GeoGebra.
A partir da TSD, foi possível estruturar um modelo de aprendizagem que incentivasse a participação ativa dos sujeitos na construção do conhecimento e a investigação matemática como forma de ampliar a aprendizagem de certos conceitos. Como a pesquisa foi organizada na metodologia Engenharia Didática, buscamos trazer as quatro etapas, de forma sucinta, e apenas uma situação didática aplicada com os participantes, por razões de espaço. Nossa intenção foi apresentar a relação entre TSD, problemas de olimpíadas e GeoGebra como elementos capazes de contribuir para a formação do professor de matemática.
Durante a situação adidática foi possível observar os momentos de troca de informações entre os participantes e tentativas de estabelecer padrões para resolver o problema. Foram momentos significativos para analisar a manifestação dos conhecimentos epistêmicos destes futuros professores sobre o assunto proposto e suas estratégias de solução.
Referente ao processo de utilização do GeoGebra como recurso didático, os participantes afirmaram que o programa contribuiu na visualização de um número maior da sequência, mas que não foi fundamental para solucioná-lo. Porém, afirmaram que, para um grupo de alunos da educação básica, esse recurso pode ser de fundamental importância no momento da solução e validação.
Por fim, concluímos que trabalhar com problemas de Olimpíadas de Matemática auxilia a formação inicial dos professores de Matemática, seja na elaboração de conjecturas, no aprofundamento dos conteúdos e no desenvolvimento de estratégias durante a ação de resolver problemas. Ainda assim, julgamos que o acervo de estudos e pesquisas que envolvam essas temáticas são pouco explorados no Brasil pelos professores da educação básica, cabendo maior divulgação e desenvolvimento de ações de formação inicial e continuada que permitam a inserção de problemas olímpicos na formação do professor e, consequentemente, em sua prática de ensino.
Referências
Allevato, N., y Onuchic, L. (2009). Ensinando matemática na sala de aula através da resolução de problemas. Boletim Gepem, (55), 133-154.
Almouloud, S. (2007). Fundamentos da didática da Matemática. Editora da Universidade Federal de Paraná.
Alves, F. R. V. (2012). Insight: descrição e possibilidades de seu uso no ensino do cálculo. Vidya, 32(2), 149-161. https://doi.org/10.24193/adn.12.2.8
Brousseau, G. (2008). Introdução ao estudo da teoria das situações didáticas: conteúdos e métodos de ensino. Ática.
Costa, M., y Allevato, N. (2013). Resolução de problemas como metodologia de ensino: um caminho para ensinar, aprender e avaliar os conteúdos matemáticos. In VII CIBEM. Anais... Montevideo (3274-3281).
Díaz-Urdanetta, S., Kalinke, M., y Motta, M. (2019). A transposição didática na elaboração de um objeto de aprendizagem no GeoGebra. Revista de Educação, Ciência e Tecnologia, 8(2), 1-12. https://doi.org/10.35819/tear.v8.n2.a3503
Fidelis, E. (2014). A OBMEP sob uma perspectiva de resolução de problemas [Dissertação de Mestrado Profissional em Matemática em rede nacional- PROFMAT-Universidade de Brasília–UnB, Brasília]. https://www.repositorio.unb.br/handle/10482/17049
Jungbluth, A., Silveira, E., y Grando, R. (2019). O estudo de sequências na educação algébrica nos anos iniciais do ensino fundamental. Educação Matemática Pesquisa, São Paulo, 21(3), 96-118.
Lima, M. (2019). Situações didáticas olímpicas (SDO) para o ensino de sequências numéricas: um contributo da engenharia didática [Dissertação de Mestrado Profissional em Matemática-Programa de Pós-Graduação em Ensino de Ciências e Matemática (ENCIMA), Universidade Federal do Ceará]. http://www.repositorio.ufc.br/handle/riufc/44173
Morgado, A., Wagner, E., y Zani, S. (2015). Progressões e Matemática Financeira (6a. ed). SBM.
OBMEP (2017). OBMEP 12 anos. IMPA. http://www.obmep.org.br/images/Revista_OBMEP_12_anos.pdf
Polya, G. (1985). O Ensino por meio problemas. Revista do professor de Matemática, (7).
Romanatto, M. (2012). Resolução de problemas nas aulas de Matemática. Revista Eletrônica de Educação, 6(1), 299-311.
Teixeira, P., y Passos, C. (2013). Um pouco da teoria das situações didáticas (TSD) de Guy Brousseau. Zetetiké, 21(39), 155-168. https://doi.org/10.20396/zet.v21i39.8646602
Notas
Notas de autor