Reportes de investigación
Competencia autopercibida docente y enfoques de enseñanza en educación primaria
Teacher self-perceived competence and teaching approaches in primary education
Competencia autopercibida docente y enfoques de enseñanza en educación primaria
IE Revista de Investigación Educativa de la REDIECH, vol. 14, e1591, 2023
Red de Investigadores Educativos Chihuahua A. C.

Recepción: 31 Mayo 2022
Aprobación: 12 Abril 2023
Publicación: 19 Abril 2023
Resumen: La presente investigación tuvo como propósito analizar la relación entre los factores de la competencia autopercibida docente y los enfoques de enseñanza en el profesorado de educación primaria. La muestra fue de tipo incidental bajo el enfoque cuantitativo, con un diseño no experimental, transversal y de alcance relacional. La muestra estuvo conformada por 158 docentes de un municipio del sur del estado de Sonora. Se aplicó la Escala de Evaluación de la Competencia Autopercibida del Docente en Educación Primaria [ECAD-EP] y el Cuestionario Enfoques de Enseñanza [CEE]. Se utilizó SPSS Versión 25 para el análisis de los datos. Como hallazgo principal se destaca que cuanto mayor sea el enfoque centrado en el alumno, mayor será la competencia autopercibida docente. Se concluye que existen relaciones significativas entre los factores de la competencia autopercibida docente (socioemocional, comunicativo-relacional e instruccional) y los enfoques de enseñanza (enfoque centrado en el profesor y en el alumno).
Palabras clave: Competencia autopercibida docente, educación primaria, enfoques de enseñanza, México, profesorado.
Abstract: The purpose of this research was to analyze the relationship between the factors of self-perceived teaching competence and teaching approaches in elementary school teachers. The sample was incidental under a quantitative approach, with a non-experimental, cross-sectional and relational design. The sample consisted of 158 teachers from a municipality in the southern part of the state of Sonora. The Self-Perceived Competence Evaluation Scale for Teachers in Primary Education [in Spanish: ECAD-EP] and the Teaching Approaches Questionnaire [CEE] were applied. SPSS Version 25 was used for data analysis. The main finding is that the higher the student-centered approach, the higher the self-perceived teaching competence. It is concluded that there are significant relationships between the factors of self-perceived teaching competence (socioemotional, communicative-relational, and instructional) and teaching approaches (teacher-centered and student-centered approach).
Keywords: Teacher self-perceived competence, primary education, teaching approaches, Mexico, teachers.
Introducción
En el marco de los procesos de formación del profesorado, durante los años recientes se ha centrado la mirada hacia el desarrollo de las competencias y enfoques de enseñanza como factores determinantes de la práctica docente y los resultados educativos (Gómez, 2008). En este sentido, se han vislumbrado como competentes y reconocidos aquellos profesionales que utilizan estrategias de enseñanza diversificadas, de vanguardia y promueven espacios propicios para una convivencia sana y pacífica que, en consecuencia, mejoran no solo a nivel individual sino colectivo los resultados de aprendizaje (Valdivieso et al., 2012).
Respecto a lo anterior, resulta necesario conocer las competencias que el profesorado considera relevantes en su actuar educativo. Ello implica tener conocimiento de aquello que guía y da sentido a las prácticas pedagógicas. Si bien en educación básica el Consejo Técnico Escolar resulta el espacio ideal para realizar ejercicios de reflexión en torno a las prácticas educativas exitosas, se suelen enmarcar en agendas educativas nacionales que poco aportan, a diferencia del trabajo colegiado en academias realizado en educación superior, donde el marco de referencia son las prácticas que encaminan a buenos resultados educativos (Valenzuela et al., 2022). En este sentido, la literatura apunta que la búsqueda de prácticas educativas asociadas a mejores resultados en el aula favorece al centro y la comunidad escolar, así como los procesos de formación, capacitación e instrucción del profesorado (Colomo y Gabarda, 2021; Gutiérrez et al., 2017; Larraín y León, 2020).
Específicamente, el sistema educativo mexicano advierte una fuerte preocupación en educación primaria a causa de una formación inicial poco pertinente del docente que se desempeña en este nivel educativo (Cuevas-Cajiga y Moreno-Olivos, 2022; Gómez y Rodríguez, 2020), por lo que ha incrementado en los años recientes la profesionalización del gremio a través de universidades e instituciones formadoras de docentes (centros de maestros y escuelas Normales) (Espinosa, 2014). A nivel regional (estado de Sonora), la literatura científica se ha centrado en indagar la vocación y liderazgo del docente, valorando su desempeño en el aula (Juraz y Campa-Álvarez, 2022). Asimismo, a raíz de la pandemia por COVID-19 se han detonado exploraciones hacia los principales retos del docente (sus limitantes y continuidades) (Campa, 2021; Castellanos et al., 2022), el grado de preparación (Zamora-Betancourt et al., 2021) y satisfacción de la práctica docente (Reynoso et al., 2020).
Respecto a la competencia autopercibida, Valenzuela et al. (2022) han caracterizado al profesorado en función de su autopercepción sobre sus competencias docentes, dejando en evidencia que la competencia instruccional, que tradicionalmente ha sido considerada de mayor valor, hoy en día presenta un proceso de transición hacia el componente social y emocional como las competencias mayormente valoradas tanto por el profesorado como por el alumnado.
Si bien los programas educativos colocan al estudiante al centro del sistema educativo, es el docente quien debe adaptar su práctica y hacer uso de sus competencias para atender las individualidades, las construcciones sociales y otras situaciones que emergen de la modernidad. Por tanto, la tarea no solo debe situar el foco de atención en el alumnado, sino debe redireccionar la mirada al profesorado, que debe reconfigurar sus conocimientos, habilidades, actitudes y valores. En este sentido, “al definir la profesionalidad del profesorado hay que tener en cuenta el ámbito de actuación, el contexto donde se realiza la acción docente y el desarrollo profesional” (Valdivieso, 2011, p. 4).
Marco conceptual
Resulta imprescindible que el profesorado conozca que diferentes modos de enseñar implican diferentes modos de aprender, que existen diferentes tipos de enseñanza para diferentes tipos de aprendizaje y que el trabajo docente (de enseñanza) se refleja en las actividades, la motivación y el aprendizaje del estudiante (Carbonero et al., 2009). Por tanto, se requiere que el profesorado realice la autoevaluación de su práctica como una tarea de manera permanente (Ramos et al., 2013).
Competencias docentes
Martínez y Acosta (2013) añaden la idea de que existen otras habilidades presentes en la actividad diaria del maestro, tales como la organización de los materiales de estudio, la recolección de información emanada de las prácticas de los alumnos, la comunicación en el aula, entre otras, que en su conjunto se visualizan los modos de actuar docente y, en consecuencia, permiten realizar valoraciones sobre si su práctica es o no competente. En este sentido, Cuba (2016) muestra la necesidad de abordar desde una visión crítica el constructo competencia; para ello realiza un análisis de la evolución histórica del término explicando su origen y sus significados, llegando a la conclusión de que el principio de eficiencia representa el fundamento del concepto en cuanto a la programación y organización del proceso educativo. El resultado evidencia los límites intrínsecos que oculta el modelo educativo por competencias, poniendo en cuestión su conformidad a los propósitos de la educación integral.
Por su parte Ribes (2011) relaciona el término competencia con otros términos cotidianos (habilidad, aptitud, conocimiento y otros más), situándolo como un concepto útil en los campos de la educación y la psicología. De manera agregada, Rebollo et al. (2013) destacan que las competencias relacionadas con atención a la diversidad son consideradas como adquiridas y desarrolladas, así como de suma relevancia para el futuro profesional.
En este sentido, tener un conocimiento de las competencias y habilidades del profesorado que desarrollan la motivación y el aprendizaje en el alumnado resulta imprescindible para la mejora de los resultados educativos, los cuales en la actualidad no son muy favorables, situación que deviene de reformas y cambios en la política educativa y la implementación de nuevas estrategias didácticas para mantener la atención e interés del alumnado (Escribano, 2018). Ello requiere la identificación de habilidades y competencias docentes que le permitan lograr dicho objetivo.
Cabe destacar la contribución de Delors (1996) a través del Informe a la UNESCO de la Comisión Internacional sobre Educación para el Siglo XXI, en el cual denota los cuatro pilares de la educación: aprender a conocer, aprender a hacer, aprender a vivir juntos (aprender a vivir con los demás) y aprender a ser, enmarcados todos como aprendizajes fundamentales para el transcurso de la vida. De manera agregada, en el plano específico del docente, Perrenoud (2004) aborda el concepto de competencia desde una perspectiva profesional para su promoción en el plano de la enseñanza sugiriendo diez dominios: organizar y animar situaciones de aprendizaje, gestionar la progresión de los aprendizajes, elaborar y hacer evolucionar dispositivos de diferenciación, implicar a los alumnos en sus aprendizajes y en su trabajo, trabajar en equipo, participar en la gestión de la escuela, informar e implicar a los padres, utilizar las nuevas tecnologías, afrontar los deberes y los dilemas éticos de la profesión y organizar la propia formación continua.
Por lo tanto, se requiere de un proceso de reflexión permanente en el que se busque fortalecer aquellas pautas que permitan mantener espacios de comunicación y aprendizaje con el alumnado. A saber, Carbonero et al. (2009) indican que para ser buen profesor no basta con poseer determinados conocimientos, sino se ha de saber ayudar a los alumnos a que los aprendan, a mejorar las relaciones interpersonales y tener un mayor aprendizaje. Por ello, se integra el concepto de competencia como “la capacidad de movilizar varios recursos cognitivos para hacer frente a un tipo de situaciones” (Perrenoud, 2004, p. 11).
Competencia autopercibida docente
Al remitirse a los procesos de competencia profesional docente se requiere de un proceso de introspección y autoevaluación del profesorado desde una perspectiva integral hacia los procesos de enseñanza-aprendizaje (Gutiérrez-Ruiz et al., 2020). Para ello se alude a la competencia autopercibida docente, propuesta por Valdivieso (2011), quien la visualiza como la percepción que tiene el profesor de sí mismo y la identificación de aquellos elementos que le permiten determinar su eficacia al realizar la función docente.
Valdivieso (2011) propone tres dimensiones para analizar la competencia autopercibida docente, las cuales reconoce que influyen en el estilo de enseñanza: 1. Factor socioemocional (S-E): formado por variables relacionadas con la cualidad socioemocional del docente. 2. Factor comunicativo-relacional (C-R): compuesto por variables vinculadas directamente con la gestión de la interacción y la dinamización comunicativa. 3. Factor instruccional (I): constituido por variables intrínsecamente referidas a la promoción de habilidades instruccionales.
Respecto al factor socioemocional, García (2012), al momento de abordar las emociones, explica que son un constructo extremadamente difícil y complicado de definir. No obstante, en los años recientes ha aumentado de manera paulatina el interés a nivel investigativo (Díaz, 2014). De entrada, son esenciales para el desarrollo personal y vinculadas al aspecto social, permiten interactuar de manera correcta en múltiples situaciones de la vida cotidiana. A nivel escolar, el desarrollo de las emociones permite no solo al estudiantado sino también al profesorado reconocer sus propios dominios a nivel individual y social. Tiene su origen en la denominada inteligencia social de Thorndike (1920) y la teoría de las inteligencias múltiples de Howard Gardner (1983), específicamente lo relacionado a la inteligencia intra e inter personal, y las aproximaciones de las inteligencias personales de Salovey y Mayer (1990).
A saber, la literatura coloca a Thorndike (1920) como el principal precursor de la inteligencia emocional, al reconocer la inteligencia social como aquella que permite comprender y dirigir a los seres humanos de cualquier edad y género, así como permitir que los sujetos actúen de manera sabia en las relaciones interpersonales. Por otra parte, aunque Gardner (1983) no tuvo un interés específico en el aspecto emocional, su teoría de las inteligencias múltiples integra siete dominios independientes para explicar la inteligencia, dentro de estos se incluyen específicamente las inteligencias intra e inter personal que consolidan las bases para comprender la inteligencia emocional; la inteligencia intrapersonal asociada a la competencia emocional y la interpersonal vinculada a la competencia social respectivamente. Así, la primera tendría que ver con centrar la atención hacia uno mismo y la segunda con centrar la atención en la interacción social y en el manejo de conflictos, distinguiendo y armonizando las diferencias entre personas (Vásquez, 2005).
Por su parte, Salovey y Mayer (1990) se aproximan a través de las inteligencias personales, las cuales se enfocan en conocer y controlar las propias emociones y tener la capacidad de automotivación, así como reconocer las emociones ajenas y el control de las relaciones con los demás. De manera agregada, fueron los primeros en iniciar a estudiar el constructo de la inteligencia emocional (Vásquez, 2007). Otros autores que han estudiado el concepto de las emociones son Fernández y Extremera (2005), quienes parten de la percepción emocional, entendida como la “habilidad para identificar y reconocer tanto los propios sentimientos como los de aquellos de las personas que le rodean […] implica prestar atención y decodificar con precisión las señales emocionales de la expresión facial, movimientos corporales y tono de voz” (p. 69).
En este sentido, González (2019) distingue la competencia socioemocional en el docente como aquella que puede dar un nuevo significado a las funciones tradicionales del rol profesional que ocupa la docencia, apoyada del reconocimiento de las emociones y las relaciones interpersonales durante el proceso de enseñanza. En palabras de Garrido y Gaeta (2016), “los educadores deben ser más que transmisores de conocimientos, tienen que desempeñar papeles más complejos para desarrollar la creatividad, la curiosidad intelectual, las habilidades del pensamiento, salud física y emocional” (p. 110).
Respecto al currículo escolar, el componente socioemocional ha sido considerado como una dimensión transversal (García y Ferreira, 2005; Gutiérrez-Torres y Buitrago-Velandia, 2019) que se ha integrado desde los primeros años escolares por considerar que el desarrollo de la inteligencia social y emocional incrementan el mejor manejo de las circunstancias (Angarita y Cabrera, 2000), constituyéndose como un aspecto fundamental que se debe trabajar durante toda la vida (Fernández-Martínez y Montero-García, 2016; Mikulic et al., 2016).
En cuanto al factor comunicativo-relacional, Del Barrio et al. (2009) expresan que la capacidad comunicativa del profesor es una de las principales características de los buenos profesores. De ahí la idea de que los procesos comunicativos que se mantienen en el aula facilitan o impiden el aprendizaje, sobre todo cuando se trata de vincular la relación profesor-estudiante, la cual, según Covarrubias y Piña (2004), representa un factor determinante que condiciona e influye en el aprendizaje. Por ejemplo, Villalta-Paucar y Martinic-Valencia (2020), desde una perspectiva sociocultural, prestan atención a las interacciones comunicativas en el aula, ya que consideran que la conversación profesor-alumno es determinante tanto para el aprendizaje como para la conformación del clima del aula.
Por su parte, Solórzano (2018), al abordar el impacto de la comunicación asertiva entre docentes y estudiantes, reconoce que este ejercicio dialógico puede facilitar la adquisición de los aprendizajes significativos por parte de los estudiantes, quienes se ubican como el centro del sistema educativo. Lo anterior consiste en ir más allá de la mera transmisión de información, es decir, debe tener certeza de que el alumno aprenda y de la mejor forma posible los contenidos de la asignatura (Del Barrio et al., 2009).
Referente al tipo de intervenciones que realiza el profesorado en el aula, Villalta-Paucar y Martinic-Valencia (2020) aluden a dos tipos de intercambios: simples o complejos, siendo los primeros aquellos en que los diálogos son simples y se produce una satisfacción interaccional, a saber, el profesor pregunta, el estudiante responde el contenido esperado y el profesor evalúa positivamente la respuesta. Para el caso de los intercambios de tipo complejo existe una mayor cantidad de intervenciones en las que se tiene que llegar a una negociación y acuerdo, por ejemplo, cuando los profesores evalúan en forma negativa la respuesta a una pregunta y construyen la respuesta correcta con intervenciones sucesivas.
En este sentido, Solórzano (2018) propone que el profesorado a través de la comunicación asertiva promueva el desarrollo de la criticidad de los aprendices, para fortalecer su personalidad y fomentar hábitos de proactividad, cuestión a la que hay que prestar especial atención ya que, como mencionan Covarrubias y Piña (2004), los estudiantes se encuentran pendientes de la capacidad de enseñar por parte del profesor, esperando que se desempeñe como un asesor y no como un mero transmisor de información.
En el caso del factor instruccional, no hay que perder de vista que gran parte del aprendizaje de los alumnos “depende de la actitud del docente, de su preparación académica y de la forma como organiza las actividades pedagógicas” (Peley et al., 2007, p. 62). En este sentido, la competencia instruccional está orientada a facilitar el proceso de aprendizaje de los estudiantes (Guerrero et al., 2009). Respecto a lo anterior, el profesorado debe hacer llegar al estudiantado actividades lo suficientemente desafiantes, que propicien un reto académico. Ello representa que las actividades no deben ser sumamente fáciles que el estudiante las pueda resolver sin esfuerzo, ya que se corre el riesgo de provocar aburrimiento, y que a la vez no sean tan difíciles que el estudiante no las pueda resolver por sí mismo y abandone la actividad.
En este sentido, se requiere que el profesorado tenga conocimiento de la composición del grupo con el que trabaja, sus características, estilos y ritmos de aprendizaje, así como condiciones específicas e individuales de cada uno de los estudiantes y las dinámicas de trabajo dentro y fuera del aula, para plantear de mejor manera las actividades, tareas y proyectos (Pegalajar y López, 1999).
Enfoques de enseñanza
Por otra parte, se encuentran los enfoques de enseñanza, los cuales describen cómo enseñan los profesores con base en las intenciones y estrategias que utilizan, así como las concepciones sobre la enseñanza, que aluden a las creencias que los profesores tienen acerca de la misma y a las que subyacen también propósitos y estrategias que ponen en funcionamiento cuando enseñan (Hernández et al., 2012). A saber, se debe disponer de una serie de competencias profesionales que permitan al profesorado atender las demandas de la sociedad en cuanto a necesidades educativas emergentes, de tal forma que “el equilibrio entre la competencia en la disciplina enseñada y la competencia pedagógica habrá [de] orientar lo que enseña y cómo lo enseña” (Monroy, 2013, p. 23).
Soler et al. (2018, p. 1001), con relación a las intenciones y estrategias de enseñanza de los docentes, identifican dos tipos de enfoques de enseñanza:
• Transmisión de información/enseñanza centrada en el profesor. Los profesores se enfocan en los contenidos a ser enseñados, en cómo estructurarlos y organizarlos para que al ser transmitidos se facilite su aprendizaje por parte de los estudiantes. Los conocimientos previos no tienen mayor relevancia en el contexto de este enfoque.
• Cambio conceptual/enseñanza centrada en el alumno. Los profesores son el apoyo que necesitan los estudiantes en su proceso de construcción del conocimiento, los orientan a desarrollar procesos de autorregulación; los conocimientos previos son parte fundamental para generar el cambio conceptual deseado.
Referente al enfoque de enseñanza centrado en el profesor, la figura del maestro en el ámbito escolar siempre ha resultado imprescindible, ya que por excelencia tiene un papel protagónico en el aula. Tal como lo menciona González (1993), en la enseñanza tradicional el maestro marca el ritmo escolar: dirige, organiza, ordena y prepara todo el saber.
Bajo este enfoque la forma de aprender se basa en la repetición, el dictado de lecciones y la memorización de textos. Con lo anterior se daba por aprendido un tema o contenido. En consecuencia, Monroy (2013) expresa que durante muchos años la investigación educativa había explicado el bajo rendimiento académico de los estudiantes desde la perspectiva de los profesores, y así se tendía a atribuir la responsabilidad de dicho rendimiento negativo a los estudiantes y sus malas prácticas, sin pensar que las instituciones y profesorado también podían tener responsabilidad.
Por otra parte, en el enfoque de enseñanza centrado en el alumno, tal como señala Valbuena (2008), las actividades educativas deben ofrecer respuestas a las necesidades y requerimientos del entorno del alumno, por lo que el docente debe estar preparado para organizar actividades que atiendan a dicho fin. En este sentido, el profesorado debe despertar la curiosidad del estudiantado como factor clave en la promoción y construcción del aprendizaje. A saber, Rojas (2019) indica que el objetivo es que el estudiante se motive, se integre a la clase y mejore su desempeño académico; con ello toma un rol primordial dentro de los ambientes educativos para convertir el aula en un espacio activo y productivo, generador de nuevas ideas y aprendizajes. Asimismo el docente debe captar la atención y el interés del estudiantado y dar oportunidad para que construya su propio conocimiento.
De la presente investigación se desprenden las siguientes preguntas central y específica que orientan la indagación: ¿Cómo se relaciona a nivel general la competencia autopercibida docente con los enfoques de enseñanza en educación primaria? y ¿Existen relaciones significativas entre los factores de la competencia autopercibida docente y los enfoques de enseñanza?, para dar respuesta al objetivo de analizar la relación existente entre factores de la competencia autopercibida docente y los enfoques de enseñanza en educación primaria. En este sentido, como hipótesis de investigación se estipuló la existencia de una correlación estadísticamente significativa entre las variables. Tanto para el enfoque centrado en el estudiante como en el del profesor, la asociación será de tipo positivo. No obstante, la fuerza de asociación de estas con la competencia autopercibida será más fuerte en el enfoque centrado en el estudiante.
Método
En el presente estudio participaron docentes de educación primaria de un municipio del sur del estado de Sonora, México. Se trabajó con una muestra de tipo incidental bajo el enfoque cuantitativo, con un diseño no experimental, transversal y de alcance relacional (Hernández et al., 2014). La distribución de la muestra se compone por 158 profesoras (61.3%) y 98 profesores (38.7%), con un promedio de edad de 37 años (DE = 9.92), siendo en su mayoría trabajadores de nombramiento base/definitivo (90.2%); con respecto al nivel de preparación, la mayoría cuenta con nivel licenciatura (61.7%), seguido de quienes cuentan con grado de maestría (29.3%), doctorado (7.8%) y especialidad (1.2%); en relación al nivel de experiencia docente, el 21.1% cuenta con menos de cinco años de servicio, el 30.9% entre seis y diez años, el 26.6% entre 11 y 20 años y el 21.5% cuenta con más de 21 años de antigüedad. El 55.5% labora en el contexto urbano, mientras que el 45.5% en el contexto rural.
Instrumentos
El grado de fiabilidad de la escala ECAD-EP es significativamente alto al presentar consistencias de .852 para el factor socioemocional, .788 para el factor comunicativo-relacional y .752 para el factor instruccional. Además, presenta índices adecuados en distintas investigaciones en cada una de las dimensiones (Carbonero et al., 2016; Carbonero et al., 2014; Di Loreto et al., 2014; Valdivieso et al., 2013) así como en su puntuación total (Gutiérrez-Ruiz et al., 2020).
• Cuestionario Enfoques de Enseñanza [CEE] (traducido y adaptado al español por Hernández et al., 2012). Consta de 16 ítems en escalamiento Likert con cinco opciones de respuesta (de total desacuerdo a total acuerdo). Constituido por dos factores: cambio conceptual/enseñanza centrada en el alumno (CCCE) (p. ej. “Creo que la evaluación de esta asignatura debe suponer una oportunidad para que los estudiantes muestren cómo ha cambiado su comprensión conceptual de la misma”) y transmisión de la información/enseñanza centrada en el profesor (TICP) (p. ej. “En esta asignatura me limito a facilitar sólo la información [estrictamente] necesaria para que los estudiantes superen la evaluación”), cada uno conformado por ocho ítems. De manera agregada, cada factor presenta dos subfactores: intención y estrategia. Con la aplicación del CEE cada participante obtiene dos puntuaciones, una referida al enfoque basado en la enseñanza (EBE) (donde la diferencia entre puntuaciones marca si el profesorado centra su enseñanza en el estudiante, en el profesor, o bien se considera indefinido) y otra referida a la intensidad del enfoque, categorizado como débil, moderado o fuerte. El nivel de fiabilidad del CEE presenta niveles moderados al mostrar coeficientes de .549 para el factor CCCE y .610 para el factor TICP. Además presenta índices adecuados en ambos factores en distintas investigaciones (Monroy-Hernández, 2013; Montenegro-Maggio y González-Ugaldeb, 2013; Soler-Contreras, 2013) y en la puntuación total (Fernández-Castillo et al., 2015; Soler-Contreras, 2015).
• Escala de Evaluación de la Competencia Autopercibida del Docente en Educación Primaria [ECAD-EP]. Desarrollada por Valdivieso (2011), permite evaluar la competencia autopercibida docente desde tres factores: socioemocional (p. ej. “Si percibo que un/a alumno/a está triste me intereso por lo que pueda pasarle”), comunicativo-relacional (p. ej. “En clase tengo en cuenta sugerencias y aportaciones del alumnado”) e instruccional (p. ej. “Planifico los contenidos con las metas a conseguir”). Está compuesta por 58 afirmaciones en escalamiento Likert con cinco opciones de respuesta (de mínimo grado de acuerdo a máximo grado de acuerdo). A su vez, cada factor está compuesto de una serie de subfactores; a la dimensión socioemocional la componen: convivencia, mediación, dinamización grupal, implicación afectiva, adaptación comunicativa, sensibilidad comunicativa, empatía y autoeficacia; a la dimensión comunicativo-relacional la integran: asertividad, liderazgo afectivo, liderazgo ejecutivo, resolución de conflictos, comunicación no verbal y comunicación paraverbal, y por último, la dimensión instruccional está conformada por adaptación a nuevas situaciones, control instruccional y planificación.
El grado de fiabilidad de la escala ECAD-EP es significativamente alto al presentar consistencias de .852 para el factor socioemocional, .788 para el factor comunicativo-relacional y .752 para el factor instruccional. Además, presenta índices adecuados en distintas investigaciones en cada una de las dimensiones (Carbonero et al., 2016; Carbonero et al., 2014; Di Loreto et al., 2014; Valdivieso et al., 2013) así como en su puntuación total (Gutiérrez-Ruiz et al., 2020).
• Cuestionario Enfoques de Enseñanza [CEE] (traducido y adaptado al español por Hernández et al., 2012). Consta de 16 ítems en escalamiento Likert con cinco opciones de respuesta (de total desacuerdo a total acuerdo). Constituido por dos factores: cambio conceptual/enseñanza centrada en el alumno (CCCE) (p. ej. “Creo que la evaluación de esta asignatura debe suponer una oportunidad para que los estudiantes muestren cómo ha cambiado su comprensión conceptual de la misma”) y transmisión de la información/enseñanza centrada en el profesor (TICP) (p. ej. “En esta asignatura me limito a facilitar sólo la información [estrictamente] necesaria para que los estudiantes superen la evaluación”), cada uno conformado por ocho ítems. De manera agregada, cada factor presenta dos subfactores: intención y estrategia. Con la aplicación del CEE cada participante obtiene dos puntuaciones, una referida al enfoque basado en la enseñanza (EBE) (donde la diferencia entre puntuaciones marca si el profesorado centra su enseñanza en el estudiante, en el profesor, o bien se considera indefinido) y otra referida a la intensidad del enfoque, categorizado como débil, moderado o fuerte. El nivel de fiabilidad del CEE presenta niveles moderados al mostrar coeficientes de .549 para el factor CCCE y .610 para el factor TICP. Además presenta índices adecuados en ambos factores en distintas investigaciones (Monroy-Hernández, 2013; Montenegro-Maggio y González-Ugaldeb, 2013; Soler-Contreras, 2013) y en la puntuación total (Fernández-Castillo et al., 2015; Soler-Contreras, 2015).
Procedimiento
La recogida de información se realizó a través de la herramienta Formularios de Google para su difusión y respuesta. Para el acceso y respuesta al formulario se estableció un periodo de 90 días. El proceso de respuesta estimado fue de 20 minutos.
Consideraciones éticas
Previo a la contestación, se solicitó el consentimiento informado de uso de datos con fines exclusivamente académicos, garantizando los principios de participación anónima y sin compensación a cambio.
Análisis de datos
Posterior al trabajo de campo se procesó la base de datos y se ejecutaron análisis atendiendo a la distribución de las variables, constatando la ausencia de normalidad (p < .05 en la prueba de Kolmogorov), por lo que el análisis bivariado se desarrolló con pruebas no paramétricas (Rho de Spearman). Se utilizó el programa SPSS v.25 para el análisis estadístico.
Resultados
Para abordar la relación entre la competencia autopercibida docente (factor socioemocional, comunicativo-relacional e instruccional) y los enfoques de enseñanza (centrado en el alumno y centrado en el profesor) fue necesario, primeramente, obtener por separado las puntuaciones que corresponden a cada enfoque, bajo el supuesto de que el profesorado puede mantener elementos de ambos (centrado en el alumno y centrado en el profesor). Por ejemplo, un profesor que obtiene una puntuación total de 85 puntos en el instrumento distribuye el puntaje otorgando 35 puntos al enfoque centrado en el profesor y 50 puntos al enfoque centrado en el alumno, obteniendo como resultado una tendencia hacia el enfoque mayor valorado, en este caso centrado en el alumno. En este sentido, se valora la relación existente entre cada componente de la competencia autopercibida docente y la puntuación que otorga el profesorado a cada enfoque de enseñanza.
Segundo, para elegir correctamente la prueba de hipótesis se analizó la distribución de ambas variables. Dada la falta del supuesto de normalidad, se usó la prueba estadística rho de Spearman para medir la fuerza de asociación entre los factores de la competencia autopercibida docente y los enfoques de enseñanza. La prueba rho de Spearman, o coeficiente de relación de Spearman, es la versión no-paramétrica de la prueba de correlación de Pearson, esta es usada cuando se tienen variables de tipo ordinal o cuando se usan variables numéricas pero que no cuentan con el atributo de normalidad. La Tabla 1 muestra la correlación entre variables.
| Factores | Trasmisión de la información/ Enseñanza centrada en el profesor | Cambio conceptual/ Enseñanza centrada en el alumno |
| Factor socioemocional | .348** | .497** |
| Convivencia | -.027 | -.024 |
| Empatía | .149* | .290** |
| Adaptación comunitaria | .365** | .393** |
| Sensibilidad comunicativa | .185** | .295** |
| Mediación | .256** | .454** |
| Implicación afectiva | .214** | .286** |
| Dinamización grupal | .148* | .303** |
| Autoeficacia | .266** | .292** |
| Factor comunicativo-relacional | .282** | .422** |
| Comunicación no verbal | .242** | .316** |
| Asertividad | .262** | .298** |
| Liderazgo ejecutivo | .148* | .235** |
| Resolución de conflictos | .128* | .373** |
| Comunicación paraverbal | -.002 | .236** |
| Liderazgo afectivo | .228** | .321** |
| Factor instruccional | .319** | .505** |
| Control instruccional | .302** | .445** |
| Planificación | .228** | .416** |
| Adaptación a nuevas situaciones | .265** | .379** |
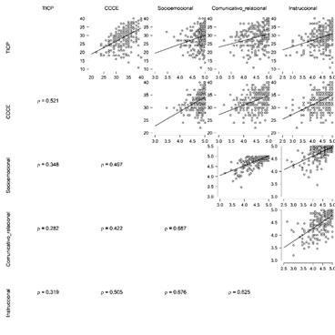
Lo primero que llama la atención es que existe correlación en la gran mayoría de los factores y subescalas. De hecho, solo en la subescala de Convivencia, dentro del factor socioemocional, no se presentó una asociación significativa con ambos enfoques de enseñanza, ya que en el resto de los casos la correlación fue positiva y la fuerza fluctuó entre baja y media. Podría ser algo confuso observar que existe una correlación positiva en ambos enfoques de enseñanza, sin embargo, la interpretación en este caso es que, mientras más pronunciado sea el enfoque de enseñanza, tanto centrado en el profesor como centrado en el estudiante, mayor será la competencia autopercibida; en cambio, si el docente no se identifica con al menos uno de los enfoques, tendrá una menor competencia autopercibida.
A pesar de esto, también fue notorio que los coeficientes de correlación fueron más altos en el caso del enfoque centrado en el estudiante. Particularmente, cuando el profesorado se autopercibe con una orientación hacia el cambio conceptual del estudiante presenta mejores valoraciones en los factores de la competencia autopercibida (instruccional . = .505, socioemocional . = .497 y comunicativo-relacional . = .422). A saber, las subescalas que se vinculan en mayor medida a dicho enfoque corresponden a Mediación r = .454 (ayudando al alumnado a reflexionar sobre las distintas opciones que existen para solucionar sus problemas), Control instruccional r = .445 (proponiendo un plan de trabajo y adaptando las metodologías a las circunstancias que presenta el estudiantado) y Planificación r = .416 (preparando los contenidos con base en las adecuaciones al plan de trabajo). A partir de lo anterior, en la medida en que el profesorado adapta su práctica a las necesidades, ritmo de trabajo, estilos de aprendizaje e intereses del estudiantado, existe una tendencia positiva hacia autopercibirse mayormente competente.
Respecto al enfoque centrado en el profesor, cuando el profesorado se autopercibe con una orientación hacia la transmisión de información, solamente sobresalen los factores socioemocional (. = .497) e instruccional (. = .348) de la competencia autopercibida docente. A saber, las subescalas que se vinculan en mayor medida a dicho enfoque corresponden a la Adaptación comunicativa r = .365 (usando un lenguaje claro y al nivel de comprensión del estudiantado) y Control instruccional r = .302 (iniciando con un resumen de lo que se va a hacer). De lo anterior se infiere que el profesorado busca mantener el control de la clase, tanto de la instrucción como del ambiente de trabajo en el aula. En la Figura 1 se muestra la matriz de correlación y la distribución de las subescalas de la competencia autopercibida y los enfoques de enseñanza centrados en el estudiante y el profesor.

Discusión y conclusiones
Referente a los vínculos existentes entre los factores de la competencia autopercibida docente (socioemocional, comunicativo-relacional e instruccional) y los enfoques de enseñanza (enfoque centrado en el profesor y en el alumno), uno de los hallazgos principales es que existen mejores correlaciones entre los factores de la competencia autopercibida docente y el factor Cambio conceptual/enseñanza centrada en el alumno. Ello es indicativo de que cuanto mayor sea el enfoque centrado en el alumno, mayor será la competencia autopercibida, si bien la competencia autopercibida correlaciona con el enfoque centrado en el profesor, la fuerza de relación es menor.
Algo que resulta sumamente relevante son las relaciones que presentan las subescalas con los enfoques de enseñanza. Para el caso del factor socioemocional, la mediación y la adaptación comunitaria resultan trascendentales al momento de autopercibirse mayormente preparado para brindar apoyo social y emocional al estudiantado. Al respecto, Ferreiro y Calderón (2005) expresan que “la mediación pedagógica es una exigencia clave en los procesos educativos que posibilita el desarrollo de las capacidades distintivas del ser humano: pensar, sentir, crear, innovar, descubrir, y transformar” (p. 69), mientras que Ramírez (2017) precisa que resulta necesario conocer el entorno en el que se desarrollan los procesos educativos y se establece la interacción con los diversos actores para la implementación de proyectos que permitan consolidar conocimientos, habilidades y actitudes. En este sentido, el profesorado, además de potenciar habilidades sociales y emocionales en el estudiantado y regular las propias, habrá de desarrollar una visión acerca de hacer y formar parte de la comunidad.
En el caso del factor comunicativo relacional, la resolución de conflictos es la que mejor se asocia con una enseñanza centrada en el estudiante, mientras que para el factor instruccional lo son las subescalas de control instruccional y planificación. Lo anterior obedece a que el profesorado se encuentra atento a las necesidades e intereses del alumnado y sus problemáticas, mantiene el orden a través de actividades que resultan atractivas para ellos y mantiene su motivación en clase. Ello no planeando solo un contenido, sino adaptando la clase a situaciones prácticas de manera contextualizada. Al respecto, Valdivieso (2011) menciona que el aspecto más importante en el aula son los procesos de socialización, por lo que los hábitos de comportamiento son los máximos responsables de la forma en que el profesorado actúa e interacciona en el espacio del aula. En este sentido, una atmosfera de trabajo y una dinámica agradable en el aula potenciarán los resultados educativos a nivel individual y grupal.
Por lo anterior, se concluye que existen relaciones significativas entre los factores de la competencia autopercibida docente (socioemocional, comunicativo-relacional e instruccional) y los enfoques de enseñanza (enfoque centrado en el profesor y en el alumno).
Referencias
Angarita, C., y Cabrera, K. (2000). El corazón del rendimiento académico. Psicología desde el Caribe, (5), 1-29. http://www.redalyc.org/articulo.oa?id=21300502
Campa, R. (2021). Estrategias y retos para el seguimiento educativo en primarias ante la contingencia covid-19 en Sonora, México. RIDE Revista Iberoamericana para la Investigación y el Desarrollo Educativo, 11(22). https://doi.org/10.23913/ride.v11i22.951
Carbonero, M., Martín-Antón, L. J., y Valdivieso, J. (2016). Variables instruccionales del docente de educación primaria. Revista de Psicología y Educación, 11(1), 7-24. http://www.revistadepsicologiayeducacion.es/pdf/133.pdf
Carbonero, M., Román, J. M., Martín-Antón, L., y Reoyo, N. (2009). Efecto del programa de habilidades docentes motivadoras en el profesorado de secundaria. Revista de Psicodidáctica, 14 (2), 229-243. http://www.redalyc.org/articulo.oa?id=17512724005
Carbonero, M., Román, J., Martín, L., Valdivieso, J., Reoyo, N., y Freitas, A. (2014). Habilidades docentes y estilos de afrontamiento en profesores de educación primaria. Revista Internacional de Psicología del Desarrollo y la Educación, 5(1), 215-226. http://revista.infad.eu/index.php/IJODAEP/article/view/670/612
Castellanos, L., Portillo, S., Reynoso, O., y Gavotto, O. (2022). La continuidad educativa en México en tiempos de pandemia: principales desafíos y aprendizajes de docentes y padres de familia. Rexe- Revista de Estudios y Experiencias en Educación, 21(45), 30-50. https://doi.org/10.21703/0718-5162.v21.n45.2022.002
Colomo, E., y Gabarda, V. (2021). Prácticas escolares y docentes en formación: un análisis axiológico a través de los diarios de prácticas. Profesorado, Revista de Currículum y Formación del Profesorado, 25(1), 271-295. http://doi.org/10.30827/profesorado.v25i1.8518
Covarrubias, P., y Piña, M. (2004). La interacción maestro-alumno y su relación con el aprendizaje. Revista Latinoamericana de Estudios Educativos (México), 34(1), 47-84. https://www.redalyc.org/articulo.oa?id=27034103
Cuba, A. (2016). Constructo competencia: síntesis histórico-epistemológica. Educación, 25(48), 7-27. https://doi.org/10.18800/educacion.201601.001
Cuevas-Cajiga, Y., y Moreno-Olivos, T. (2022). Estado actual de la formación inicial docente en educación primaria: un acercamiento al caso mexicano. Archivos Analíticos de Políticas Educativas, 30(112). https://doi.org/10.14507/epaa.30.6792
Del Barrio, J., Castro, A., Ibáñez, A., y Borragán, A. (2009). El proceso de comunicación en la enseñanza. International Journal of Developmental and Educational Psychology, 2(1), 387-395. https://www.redalyc.org/articulo.oa?id=349832321042
Delors, J. (1996). La educación encierra un tesoro. Informe a la UNESCO de la Comisión Internacional sobre la Educación para el Siglo XXI. Santillana.
Di Loreto, M., Caggiano, V., y Carbonero, M. (2014). Enseñanza en la educación primaria y valores: diferencias entre España e Italia. Revista Internacional de Psicología del Desarrollo y la Educación, 1(1), 55-68. https://revista.infad.eu/index.php/IJODAEP/article/view/349/287
Díaz, T. (2014). El desarrollo de competencias socioemocionales y su evaluación como elementos clave en los planes de formación docente. Algunas conclusiones derivadas de la evaluación SIMCE 2011. Revista Iberoamericana de Educación, 64, 73-98. https://doi.org/10.35362/rie640407
Escribano, E. (2018). El desempeño del docente como factor asociado a la calidad educativa en América Latina. Revista Educación, 42(2), 738-752. https://doi.org/10.15517/revedu.v42i2.27033
Espinosa, J. (2014). La constitución de las prácticas de profesionalización de formación de docentes en México. Perfiles Educativos, 36(143), 163-179. https://doi.org/10.22201/iisue.24486167e.2014.143.44028
Fernández, P., y Extremera, N. (2005). La inteligencia emocional y la educación de las emociones desde el modelo de Mayer y Salovey. Revista Interuniversitaria de Formación del Profesorado, 19(3), 63-93. https://www.redalyc.org/articulo.oa?id=27411927005
Fernández, E., García, Y., y Torres, R. (2015). Análisis factorial y confiabilidad del cuestionario de enfoques de enseñanza. Edumecentro, 7(4), 146-161. https://revedumecentro.sld.cu/index.php/edumc/article/view/491/pdf_111
Fernández-Martínez, A., y Montero-García, I. (2016). Aportes para la educación de la inteligencia emocional desde la educación infantil. Revista Latinoamericana de Ciencias Sociales, Niñez y Juventud, 14(1), 53-66. https://doi.org/10.11600/1692715x.1412120415
Ferreiro, R., y Calderón, E. (2005). ABC del aprendizaje cooperativo. Trabajo en equipo para enseñar y aprender. Trillas.
García, J. (2012). La educación emocional, su importancia en el proceso de aprendizaje. Revista Educación, 36(1), 1-24. https://www.redalyc.org/articulo.oa?id=44023984007
García, A., y Ferreira, G. (2005). La convivencia escolar en las aulas. International Journal of Developmental and Educational Psychology, 2(1), 163-183. https://www.redalyc.org/articulo.oa?id=349832309012
Gardner, H. (1983). Frames of mind: The theory of multiple intelligences. Basic Books.
Garrido, P., y Gaeta, M. (2016). La competencia socioemocional docente en el logro del aprendizaje de las competencias genéricas del perfil de egreso de educación media superior. Vivat Academia, (137), 108-122. https://doi.org/10.15178/va.2016.137.108-123
Gómez, S., y Rodríguez, J. (2020). Las competencias instrumentales en los futuros maestros de educación primaria: autopercepción y satisfacción con la formación recibida en estudiantes de la UCM. Profesorado, Revista de Currículum y Formación del Profesorado, 24(3), 309-333. https://doi.org/10.30827/profesorado.v24i3.8158
Gómez, L. (2008). Los determinantes de la práctica educativa. Universidades, (38), 29-39. https://www.redalyc.org/articulo.oa?id=37303804
González, T. (1993). La figura del maestro en la historia del pensamiento pedagógico. Revista Interuniversitaria de Formación del Profesorado, (16), 135-144.
González, M. (2019) La competencia socioemocional en el docente para la mejora de los ambientes de aprendizaje. Revista Acta Educativa, 5(2), 1-21. https://revista.universidadabierta.edu.mx/2019/07/30/la-competencia-socioemocional-en-el-docente-para-la-mejora-de-los-ambientes-de-aprendizaje/
Guerrero, Z., Tivisay, M., Flores, H., y Hazel, C. (2009). Teorías del aprendizaje y la instrucción en el diseño de materiales didácticos informáticos. Educere, 13(45), 317-329. https://www.redalyc.org/articulo.oa?id=35614572008
Gutiérrez-Ruiz, N., Carboneros, M., Deliautaité, K., Vegara, J., y López-Gullón, J. (2020). Evaluación de la competencia autopercibida del maestro de educación física en centros educativos de la región de Murcia. Trances: Transmisión del Conocimiento Educativo y de la Salud, 12(ext. 5), 792-814.
Gutiérrez, G., Chaparro, A., y Azpillaga, V. (2017). La organización escolar como variable asociada al logro educativo. Innovación Educativa, 17(74), 41-59. http://www.redalyc.org/articulo.oa?id=179452787004
Gutiérrez-Torres, A., y Buitrago-Velandia, S. (2019). Las habilidades socioemocionales de los docentes, herramientas de paz en la escuela. Praxis & Saber, 10(24), 167-192. https://doi.org/10.19053/22160159.v10.n25.2019.9819
Hernández, R., Fernández, C. y Baptista, P. (2014). Metodología de la investigación. McGraw-Hill.
Hernández, F., Maquilón, J., y Monroy, F. (2012). Estudio de los enfoques de enseñanza en profesorado de educación primaria. Profesorado: Revista de Currículum y Formación del Profesorado, 16(1) 61-77. https://recyt.fecyt.es/index.php/profesorado/article/view/42789
Juraz, N., y Campa-Álvarez, R. (2022). Vocación y liderazgo docente ante los efectos de la pandemia en educación secundaria. IE Revista de Investigación Educativa de la REDIECH, 13, e1583. https://doi.org/10.33010/ie_rie_rediech.v13i0.1583
Larraín, F., y León, J. (2020). Prácticas directivas que favorecen el rol de los padres en la educación de sus hijos. Revista Panamericana de Pedagogía, (30), 19-35. https://doi.org/10.21555/rpp.v0i30.2019
Martínez, D., y Acosta, A. (2013). Las habilidades como configuración didáctica de la formación de docentes en la educación primaria. Mendive. Revista de Educación, 11(3), 315-321. http://mendive.upr.edu.cu/index.php/MendiveUPR/article/view/610
Mikulic, I., Caballero, R., Vizioli, N., y Hurtado, G. (2016). Estudio de las competencias socioemocionales en diferentes etapas vitales. Anuario de Investigaciones de la Facultad de Psicología, 3(1), 374-382. https://revistas.unc.edu.ar/index.php/aifp/article/view/18112/18517
Montenegro, H., y González, C. (2013). Análisis factorial confirmatorio del cuestionario: “Enfoques de docencia universitaria” (Approaches to Teaching Inventory, ATI-R). Estudios Pedagógicos (Valdivia), 39(2), 213-230. https://dx.doi.org/10.4067/S0718-07052013000200014
Monroy, F. (2013) Enfoques de enseñanza y de aprendizaje de los estudiantes del máster universitario en Formación del Profesorado de Educación Secundaria [Tesis de Doctorado]. Universidad de Murcia.
Pegalajar, M., y López, R. (1999). Actuaciones del profesor para la construcción del conocimiento durante los procesos de enseñanza-aprendizaje en el aula. Revista de Investigación Educativa, 17(1), 187-213. https://revistas.um.es/rie/article/view/122361
Peley, R., Morillo, R., y Castro, E. (2007). Las estrategias instruccionales y el logro de aprendizajes significativos. Omnia, 13(2), 56-75. https://www.redalyc.org/articulo.oa?id=73713204
Perrenoud, P. (2004) Diez nuevas competencias para enseñar. Invitación al viaje. Graó.
Ramírez, A. (2017). La educación con sentido comunitario: reflexiones en torno a la formación del profesorado. Educación, 26(51), 79-94. https://dx.doi.org/10.18800/educacion.201702.004
Ramos, G., Ponce, B., y Orozco, A. (2013). Autoevaluación de la práctica docente para profesores de educación primaria. En Manual para la aplicación del cuestionario. Dirección de Evaluación de Escuelas del INEE. https://www.inee.edu.mx/wp-content/uploads/2019/04/P1D424.pdf
Rebollo, N., Muñoz, J., y Espiñeira, E. (2013). Identificación y valoración de competencias para la atención a la diversidad en el grado de educación primaria. En M. Cardona, E. Chiner y A. Giner (eds.), Actas del XVI Congreso Nacional/II Internacional Modelos de Investigación Educativa de la Asociación Interuniversitaria de Investigación Pedagógica (AIDIPE) (pp. 1318-1326). Universidad de Alicante. http://www.uv.es/aidipe/congresos/Actas_XVI_Congreso.pdf
Ribes, E. (2011). El concepto de competencia: su pertinencia en el desarrollo psicológico y la educación. Bordón. Revista de Pedagogía, 63(1), 33-45. https://recyt.fecyt.es/index.php/BORDON/article/view/28902
Reynoso, O., Portillo, S., y Castellanos, L. (2020). Explanatory model of teacher satisfaction in the remote teaching period. IJERI: International Journal of Educational Research and Innovation, (15), 229-247. https://doi.org/10.46661/ijeri.5236
Rojas, L. (2019). Elevar el rendimiento académico con estrategias educativas. Revista Scientific, 4(12), 127-140. https://doi.org/10.29394/Scientific.issn.2542-2987.2019.4.12.6.127-140
Salovey, P., y Mayer, J. (1990). Emotional intelligence. Imagination, Cognition, and Personality, 9(3), 185-211. https://doi.org/10.2190/DUGG-P24E-52WK-6CDG
Soler, M. (2013) Validación de los instrumentos “Cuestionario de Enfoques de Aprendizaje y Cuestionario de Enfoques de Enseñanza” traducidos y adaptados para caracterizar los enfoques en estudiantes y profesores de ciencias en el contexto colombiano. Ponencia presentada en el IX Congreso Internacional sobre Investigación en Didáctica de las Ciencias, Girona, España.
Soler, M. (2015) Enfoques de enseñanza y enfoques de aprendizaje: posibles relaciones entre sí y con el logro académico de los estudiantes en evaluaciones externas [Tesis de Doctorado]. Universidad Pedagógica Nacional, Bogotá, Colombia.
Soler, M., Cárdenas, F., y Hernández-Piña, F. (2018). Enfoques de enseñanza y enfoques de aprendizaje: perspectivas teóricas promisorias para el desarrollo de investigaciones en educación en ciencias. Ciência & Educação, 24(4), 993-1012. https://dx.doi.org/10.1590/1516-731320180040012
Solórzano, R. (2018). El impacto de la comunicación asertiva docente en el aprendizaje autodirigido de los estudiantes. Revista Universidad y Sociedad, 10(1), 187-194. https://rus.ucf.edu.cu/index.php/rus/article/view/780
Thorndike, L. (1920). Intelligence and its uses. Harper’s Magazine, 140, 227-235.
Valbuena, V. (2008). Desarrollo de actividades en el aula y el proceso de construcción del conocimiento en alumnos de educación básica. Omnia, 14(3), 9-31. https://www.redalyc.org/articulo.oa?id=73711121001
Valdivieso, J. (2011) Construcción y validación de la escala de evaluación de la competencia autopercibida docente de educación primaria (ECAD-EP) [Tesis de Doctorado]. Universidad de Valladolid, España.
Valdivieso, J., Carbonero, M., Martín, L., y Freitas, A. (2012). Estrategias docentes exitosas: aproximación conceptual desde planteamientos emergentes de la psicología de la instrucción. International Journal of Development and Educational Psychology, 2(1), 105-115. https://www.redalyc.org/articulo.oa?id=349832339010
Valdivieso, J., Carbonero, M., y Martín, L. (2013). La competencia docente autopercibidadel profesorado de educación primaria: un nuevo cuestionario para su medida. Revista de Psicodidáctica, 18(1), 47-80. https://ojs.ehu.eus/index.php/psicodidactica/article/view/5622
Valenzuela, A., Espinoza, L., Reynoso, O., Portillo, S., y Valenzuela, M. (2022). Relevancia de la competencia autopercibida en el profesorado de educación primaria en el estado de Sonora, México. Revista Universidad y Sociedad, 14(5), 60-67. https://rus.ucf.edu.cu/index.php/rus/article/view/3201/3141
Vásquez, F. (2005). La inteligencia emocional: un campo incipiente en la investigación psicológica. Psicogente, 6(11), 17-34. http://revistas.unisimon.edu.co/index.php/psicogente/article/view/1529
Vásquez, F. (2007). Inteligencia emocional en las organizaciones educativas. Psicogente, 10(17), 42-59. https://revistas.unisimon.edu.co/index.php/psicogente/article/view/1573/1532
Villalta, M., y Martinic, S. (2020). Intercambios comunicativos y práctica pedagógica en el aula de los docentes en formación. Revista Electrónica de Investigación Educativa, 22, e21. https://doi.org/10.24320/redie.2020.22.e21.2513
Zamora-Betancourt, M., Portillo-Peñuelas, S., Reynoso-González, O., y Caldera-Montes, J. (2021). Autopercepción de la preparación docente ante el COVID-19 en México. Educación y Humanismo, 23(41), 1-26. https://doi.org/10.17081/eduhum.23.41.4594
Notas de autor