Resumen: Este trabajo de investigación explora los significados que le otorgan los estudiantes de los niveles secundaria y superior de ingeniería y licenciatura en matemáticas a las literales en el desarrollo de una tarea. Se indaga en la problemática de diferenciación de roles de la literal como constante, número general o el de incógnita, y los significados de acuerdo con la clasificación de Küchemann (1980), así como su posible incidencia en los errores que cometen los estudiantes al resolver un ítem algebraico. El instrumento utilizado hace parte de un examen estandarizado en el que, a partir de un contexto geométrico, se debe realizar un proceso de transformación para obtener una escritura algebraica. El objetivo es identificar los significados que otorgan los estudiantes a las literales en la resolución de una tarea, como etapa previa de propuestas de enseñanza o indicaciones que permita redireccionar el trabajo matemático que se realiza. Los resultados evidencian que en los estudiantes de secundaria predomina el significado a la literal como objeto y como incógnita, a diferencia de los estudiantes de matemáticas, para quienes el significado adoptado es como número general. El análisis y discusión de esta clasificación permite revelar que la acepción del signo semiótico de la literal es lo que direcciona el trabajo matemático del estudiante, influenciando de esta manera las representaciones semióticas a las que acude en el desarrollo de la tarea.
Palabras clave: Literal, representaciones semióticas, significados, transformación.
Abstract: This research work explores the meanings that high school and engineering and bachelor's degree in Mathematics students give to literals in the development of a task. The problem of differentiating the roles of the literal as constant, general number or unknown quantity, and the meanings according to Küchemann’s (1980) classification, as well as its possible incidence in the errors made by the students when solving an algebraic item, is investigated. The instrument used is part of a standardized test in which, starting from a geometric context, a transformation process must be carried out to obtain an algebraic writing. The objective is to identify the meanings given by the students to the literals in the resolution of a task, as a previous phase of didactic proposals or indications that allow redirecting the mathematical work carried out. The results show that the meaning of the literal as an object and as unknown quantity predominates among high school students, in contrast with Mathematics students, for whom the meaning adopted is as a general number. The analysis and discussion of this classification reveals that the meaning of the semiotic sign of the literal is the one that directs the student’s mathematical work, thus influencing the semiotic representations to which they turn to in the development of the task.
Keywords: Literal, semiotic representations, meaning, transformation.
Reportes de investigación
Significados otorgados a las literales por estudiantes de secundaria y universitarios de nuevo ingreso
Meanings given to the literals by high school and incoming college students

Received: 24 January 2023
Accepted: 14 August 2023
Published: 13 September 2023
En investigaciones como la de García et al. (2014) y la de Bolaños-Gónzalez y Lupiañez-Gómez (2021) se reportan diferentes significados que le otorgan los estudiantes a las literales, de acuerdo con la clasificación de Küchemann (Küchemann, 1980). La importancia de estos estudios radica en lo mencionado por Bolaños-Barquero y Segovia (2021), “los estudiantes son conscientes de que el álgebra involucra letras, pero en investigaciones se evidencia que muchos tienen muy poco conocimiento de lo que significan las letras y la razón por la cual se usan” (p. 154). En esta investigación se toma como referencia la clasificación de Küchemann (1980), en la cual se identifican seis sentidos que los estudiantes pueden asignarle a la literal. El significado propio que le otorga el estudiante a la literal en su trabajo matemático al desarrollar la tarea dependerá de la diferenciación del rol de esta, ya sea como incógnita, número general o variable (Ursini y Trigueros, 2006). De allí la importancia de estudiar los significados que los estudiantes le otorgan a un signo semiótico como la literal.
Los estudios relacionados con el desarrollo del pensamiento algebraico y los errores que cometen los estudiantes desde el nivel de secundaria hasta el nivel superior son numerosos. Investigaciones como las de Kieran (2007, 2018), Asquith et al. (2007), Bolaños-Gónzalez y Lupiañez-Gómez (2021), García (2015), García et al. (2014), Pérez et al. (2019), Socas (1997), Ursini y Trigueros (2006) y Larios et al. (2017) dan evidencia de ello, así como también investigaciones realizadas con estudiantes de licenciatura en formación para profesores de primaria (Aké, 2019) reafirman que esta problemática subsiste.
Las hipótesis de dificultades presentes en el desarrollo del pensamiento algebraico son variadas. Algunas describen cómo los estudiantes priorizan el pensamiento aritmético sobre el algebraico debido a que se resisten a operar con algo desconocido (Rojano, 2010; Larios et al., 2017). Además los estudiantes no encuentran sentido al lenguaje algebraico, dado que las letras no tienen significado para ellos (Ruano et al., 2008), o bien que no existe una comprensión de la noción de variable y sus diferentes usos (Ursini y Trigueros, 2006). En todos ellos el papel de las literales se hace presente asumiendo diferentes significados, como los seis identificados por Küchemann (1980) y que se presentan en el marco teórico de esta investigación, siendo el enfoque adoptado en la misma.
Por tal motivo, el interés de este trabajo de investigación corresponde a explorar los significados que le otorgan los estudiantes a las literales. Para ello se utiliza una tarea que hace parte de un examen estandarizado, en cuya resolución se han evidenciado dificultades. El objetivo es identificar los significados que le otorgan tres grupos de estudiantes de dos niveles educativos a las literales en el contexto de una tarea que hace parte de un examen estandarizado. La pregunta de investigación es: ¿Qué significados, en términos de la clasificación de Küchemann (1980), le otorga el estudiante a la literal? Como parte de la exploración con la intención de alcanzar el objetivo de la presente investigación y responder la pregunta planteada, el artículo se divide de la siguiente manera:
• Una mirada breve de la evolución sobre los usos de las literales en el desarrollo histórico del álgebra.
• Un análisis del encuentro de los estudiantes con las literales a través de sus años escolares, tomando como fuente los programas curriculares en México.
• La sección del enfoque teórico se centra en la clasificación propuesta por Kücheman (1980), estableciendo seis significados que pueden ser atribuidos a las literales, algunos de ellos asociados a una comprensión incompleta por parte de los estudiantes.
• El marco metodológico establece la elección de la tarea y su alcance, la descripción de la población y los procesos para el levantamiento y la extracción de la información.
• Los resultados son desagregados por nivel educativo y carrera, presentando al final un comparativo donde se evidencian los significados potenciados en los tres grupos estudiados.
• La discusión pretende establecer algunas premisas sobre cómo el significado adoptado a la literal direcciona el trabajo matemático que realiza el estudiante.
• Finalmente, en la conclusión de la investigación se muestran las aportaciones más relevantes al campo de la matemática escolar, la matemática educativa y sus posibles implicaciones a la docencia.
El surgimiento y desarrollo histórico del álgebra se caracteriza por tres etapas: retórica (o primitiva), sincopada (o intermedia) y simbólica (o actual), las cuales fueron diferenciadas por Nesselman (citado en Gavilán-Bouzas, 2011). En la primera no aparece el uso de literales ni simbología, el lenguaje natural es el recurso principal para comunicar las ideas matemáticas. En la etapa sincopada se inicia con el uso de letras y símbolos que provenían de abreviaturas de cantidades desconocidas, con la finalidad de simplificar el uso del lenguaje natural. En la tercera etapa se hace un uso sistemático de las letras para denotar cantidades, resolver ecuaciones o demostrar reglas generales, o para el estudio de la relación de dependencia entre las variables . y .. Aquí las literales no solo correspondían a abreviaturas del lenguaje natural, sino para representar potencias. Con este cambio de perspectiva se logra que las letras y símbolos ya no solo sean utilizadas para representar algo, sino como un lenguaje simbólico autosuficiente.
En este breve recorrido por las etapas de desarrollo del álgebra se identifica que los significados de las literales se han ido ampliando, en el sentido de que las letras pueden ser usadas para denotar: una cantidad específica, un valor que se desconoce, la abreviatura de un objeto declarado, un rango de valores que se modifica dependiendo de los valores de otra literal, o bien como una letra que puede tomar varios valores. Algunos de estos significados se hacen evidentes en definiciones que se proponen para el álgebra, sin embargo, en estas se potencian solo algunas de las interpretaciones que puede tener una literal.
Al respecto, García (2015, p. 13) considera que una “idea extendida es que el álgebra es la ciencia que se encarga de resolver ecuaciones, graficar funciones en el plano de coordenadas, y muchos otros algoritmos que se realiza con las omnipresentes letras . e .”. Esta idea extendida puede traer consigo diferentes dificultades en la enseñanza del álgebra, como potenciar una idea centrada solo en la resolución de ecuaciones y en el uso de letras específicas como la . o la .. Además se privilegia el significado de la literal como incógnita representada generalmente por la letra .. Esto dificulta el reconocimiento de otros significados de las literales y su alcance al desarrollar un mayor nivel de entendimiento algebraico.
En la revisión del documento de la Secretaría de Educación Pública (SEP) en el que presenta el plan y programa de estudio para la educación básica, Aprendizajes claves para la educación integral (SEP, 2017), el cual atiende a estudiantes de 5 a 14 años, se identifica que el primer contacto con las literales es en el contexto geométrico, en el eje “Forma, espacio y medida”, dentro del tema de “Magnitudes y medidas”. De manera implícita, se inicia con un significado de las letras como etiquetas (objetos, de acuerdo a Küchemann, 1980) para referirse a los objetos geométricos, es decir, para nombrar un punto o un segmento, asimismo para especificar el perímetro o el área de una figura geométrica con longitudes conocidas, o para abreviar las unidades de medidas, como . de litro, . de metro. Es un significado que proviene, como en la etapa sincopada, de una abreviatura. Este significado de las literales como etiqueta se desarrolla en el segundo ciclo de primaria, es decir, en tercero y cuarto de primaria (con estudiantes de entre 8 y 10 años). En quinto y sexto de primaria (tercer ciclo, con estudiantes de entre 10 y 12 años) se introducen las literales presentes en fórmulas como la del perímetro del círculo o la de área del triángulo o rectángulo. El significado de número general es a través de símbolos institucionales, los cuales se pueden reemplazar con valores específicos; esto es, las letras se evalúan de acuerdo a la información proporcionada en contextos específicos.
Este doble significado (como número general o letra evaluada) continúa en el nivel secundaria (que atiende a estudiantes de 12 a 14 años) con el manejo de fórmulas para áreas y volúmenes de cuerpos geométricos, y en tercero de secundaria (estudiantes de 14 años) con la fórmula del teorema de Pitágoras. En esta última fórmula las literales expresan de manera general la relación existente entre los lados de un triángulo rectángulo, que pueden tener valores conocidos o desconocidos; es decir, en este eje, las literales potencian significados como etiquetas, número general y como letras que tienen valor conocido o desconocido.
En el eje de “Número, álgebra y variación”, en el tema de “Proporcionalidad”, el cual se incluye a partir de quinto de primaria, las letras establecen relaciones de proporcionalidad directa, esto es, las literales en contextos de variación. Es a partir de primero de secundaria en donde se podría quizás integrar tres significados: como el de número general, de relación funcional (dado que se inicia formalmente el trabajo con situaciones de variación lineal) y de incógnita con la introducción de las ecuaciones lineales. En términos de la clasificación propuesta por Küchemann (1980) y que se describe en el siguiente apartado, esto se traduce a tres significados: el de número generalizado, como variable y como letra con un valor desconocido, respectivamente.
En este breve recorrido por el programa académico de Matemáticas en educación básica se identifica que el estudiante inicia en el nivel primaria su contacto con las literales otorgándole un significado de etiqueta, seguido de número general con las fórmulas en un contexto geométrico, que a su vez reemplaza con valores específicos y a través del tema de “Proporcionalidad” se introduce el significado de la literal como variable; sin embargo, estos significados no se pueden integrar en este nivel educativo. Durante el nivel de secundaria se continúa con relación funcional a través de la proporcionalidad directa y situaciones de variación lineal, incluyendo finalmente a la incógnita con las ecuaciones lineales.
En esta variedad de significados de las literales en el currículo mexicano, desde el punto de vista didáctico y tal como lo señala la SEP (2017), es importante la integración y diferenciación de estos, es decir, integrar y diferenciar los significados de la literales como “números generales, incógnitas y variables en expresiones algebraicas, ecuaciones y situaciones de variación” (SEP, 2017, p. 304).
En esta investigación la hipótesis corresponde a que los estudiantes tienen dificultades en el reconocimiento de los diferentes significados de las literales en el álgebra (Kieran, 2007, 2018; Asquith et al., 2007; Aké, 2019; Larios et al., 2017; García et al., 2014; Bolaños-Gónzalez y Lupiañez-Gómez, 2021). De ahí el interés de analizar el trabajo matemático de estudiantes del nivel secundaria y de nuevo ingreso de universidad respecto a los significados de las literales en una tarea planteada en contexto geométrico y en el que se les solicita una expresión algebraica. En Aké (2019) se establece la clasificación propuesta por Kücheman (1980) como un referente para los estudios en torno a los significados de las literales y su asociación a las dificultades que presentan los estudiantes. Así pues, se adopta dicha clasificación sobre los diferentes significados que puede tener una literal, de acuerdo al trabajo matemático que realiza el estudiante en la resolución de la tarea, como:
• Letra evaluada. Se asigna a la letra un valor numérico. Por ejemplo, cuando al área del rectángulo de medidas e + 2 y 5, los estudiantes calculan el área como 35 (es decir, le otorgan el valor de 5 a la literal e, dado que es el número que tiene de acuerdo al orden alfabético). Esto aplica también cuando los estudiantes calculan un valor numérico cuando no es necesario.
• Letra ignorada. Aquí los estudiantes ignoran la literal, o en el mejor de los casos reconocen su existencia, pero no le dotan de significado. Un caso posible es cuando los estudiantes suman 4 y 3n y escriben 7n o solo el 7, en lugar de 4 + 3n.
• Letra como objeto. Se considera la letra como una forma abreviada de un objeto o como objeto en sí mismo con valor propio; es decir, el estudiante asocia una expresión 2m + 5m a 2 manzanas y 5 manzanas, que en algunas ocasiones se pueden simplificar con éxito como 7 manzanas (7m), pero en otras ocasiones es inapropiado, como cuando la letra está destinada a representar el número de manzanas y no a la manzana en sí.
• Letra como un valor desconocido (incógnita específica). Se considera una letra como un número único pero desconocido, y que puede operar directamente sobre ella. Por ejemplo, multiplicar n + 5 por 4 y los estudiantes solo operan sobre el 5, obteniendo n + 20.
• Letra como número generalizado. La letra representa, o al menos puede tomar, varios valores como se requiera. Por ejemplo: c + d = 10, c < d, c = …
• Letra como variable. Las letras son la representación de un rango de valores no especificados donde existe una relación sistemática entre dos conjuntos de valores. Un ejemplo al respecto es a = b + 3, ¿qué sucede con a cuando b es aumentado en 2?
En la presentación de los significados de Küchemann (1980), y de acuerdo a la forma en que los significados de las literales se promueven en el desarrollo del currículo escolar mexicano, el primer significado de la letra evaluada se puede explicar en relación a la situación que se presenta con la introducción de las fórmulas en la que su uso es como número general, pero que en primaria es usual que cada letra se reemplace por un valor específico. Es decir, dentro de la enseñanza de las matemáticas, en un primer acercamiento en el nivel primaria, el significado de letra evaluada se promueve a tal punto que, para algunos estudiantes, en el paso a los siguientes años se puede convertir en un obstáculo, tal como lo afirman Bolaños-Gónzalez y Lupiañez-Gómez (2021, p. 11): “existe por parte de los estudiantes una fuerte tendencia a relacionar las letras como etiquetas en las que sustituyen el significado abstracto de las letras por algo más concreto”.
Así, el punto de partida para analizar los resultados de esta investigación corresponde a identificar en la población de estudios la presencia o no de alguno de los seis significados de la literal presentados por Kücheman (1980).
La tarea fue tomada de la investigación de Castro y Hernández (2018), donde se evidencian los errores de estudiantes de tercero de secundaria al responder diferentes ítems del examen estandarizado Planea (Plan Nacional para las Evaluaciones de los Aprendizajes) del 2016 (INEE, 2016b), específicamente en el eje de “Sentido numérico y pensamiento algebraico” (SNyPA). Aunado a lo anterior, el Manual para la aplicación, calificación, análisis y uso de los resultados de la prueba Planea (INEE, 2016a) presenta la clasificación de este tipo de ítems ubicándolos en la unidad de análisis que evalúa los aprendizajes matemáticos relacionados con los significados y usos de las literales y como uno de sus descriptores “identificar expresiones algebraicas a partir de un modelo geométrico”. Por tal motivo se eligió el ítem que era acorde a la problemática de interés, relativa al significado de las literales que el estudiante otorga a su resolución. Este ítem es de opción múltiple, y su enunciado se muestra en la Figura 1.
Para el caso de la investigación, esta tarea se modificó, no se proporcionaron respuestas, es decir, se cambió la modalidad de opción múltiple a un tipo de pregunta abierta, igualmente se utilizaron diferentes literales para representar la longitud desconocida de la alfombra, con la intención de explorar sobre el signo semiótico que se utiliza en la tarea y la repercusión en la categorización de los significados de las literales establecidos por Küchemann (1980).
Es así que, en la aplicación al grupo de estudiantes de secundaria, la literal puesta en juego fue la x y el significado otorgado correspondió en su mayoría al de incógnita específica en vez de a un número generalizado, resultado clásico en el que la visualización de una . direcciona el trabajo matemático que realizan los estudiantes (Nikolantonakis y Vivier, 2014; Montoya-Delgadillo et al., 2016).
De esta manera, en la aplicación al grupo de estudiantes de primer año de universidad se incluyó el uso de ciertas literales que podrían normar las respuestas de los estudiantes, sobre todo si esas letras son usadas en el ámbito escolar para denotar algún objeto matemático. Por ejemplo, x que habitualmente se utiliza para representar un valor desconocido o una variable, h que se utiliza para denotar la altura de un cuerpo geométrico, L que se usa para representar la medida de un lado, o a que corresponde a la base de un polígono o el valor de una constante.
El ítem fue aplicado a tres grupos de estudiantes. El primero corresponde a estudiantes de tercero de secundaria y los dos restantes a estudiantes de reciente ingreso a la universidad (por lo tanto, su conocimiento corresponde a su último nivel educativo que es de tercer año de bachillerato). Los estudiantes de reciente ingreso corresponden a ingeniería y a la licenciatura de Matemáticas. Ambos grupos son de universidades públicas en diferentes estados. Para el caso del grupo de ingeniería, están realizando un semestre correspondiente a un programa de integración en el que se les apoya para que solidifiquen conocimientos básicos que se requieren en el desarrollo universitario. La razón de selección de estos niveles educativos es que el examen Planea se aplica a estudiantes de tercero de secundaria y tercer año de bachillerato, por lo que contar con estos dos referentes nos permite identificar el posible avance realizado durante un nivel educativo completo. La muestra fue obtenida por conveniencia, considerando que la aplicación se realizó para el caso de secundaria en la última semana de actividades (en el mes de julio del 2018) y para el caso de los estudiantes de nuevo ingreso de universidad se hizo en agosto del 2021, dado que en julio los estudiantes de tercero de bachillerato ya se encontraban en periodo vacacional. El grupo de secundaria constó de 14 estudiantes (9 hombres y 5 mujeres) y el ítem fue aplicado en un ambiente presencial. El segundo grupo constó de 42 estudiantes de nuevo ingreso de una licenciatura en Ingeniería, de los cuales 22 son hombres y 20 son mujeres; en este grupo el ítem fue parte de un cuestionario diagnóstico. El tercer grupo constó de 17 estudiantes (10 mujeres y 7 hombres) de nuevo ingreso a la universidad que inician una licenciatura en Matemáticas. Para los grupos de nuevo ingreso de universidad la aplicación fue no-presencial por el contexto de pandemia que se atravesaba en el año 2021. Esto significa que el estudiante desarrolló su trabajo en autonomía y con la posibilidad de consultar y utilizar herramientas tecnológicas para la resolución de la tarea. El estudiante tomó foto de su trabajo y lo regresó en un determinado tiempo. Los grupos principiantes del nivel universitario corresponden a dos licenciaturas en diferentes universidades públicas. En este nivel fue un total 59 estudiantes, de los cuales 30 son mujeres y 29 hombres.
Esta investigación corresponde a un estudio exploratorio de carácter cualitativo. Según Kothari (2004), los objetivos de estas investigaciones tienen el interés de familiarizarse con un fenómeno, que en este caso corresponde a la indagación de significados dados a la literal dentro de una tarea diseñada para un examen estandarizado y modificada para el fin específico de esta investigación. De esta manera, el sistema de categorías que permite clasificar los significados de las literales está asociado al modelo de Küchemann (1980), como se muestra en la Tabla 1.

Estas categorías cumplen con las características establecidas por Bernete (2013) para corresponderse con los objetivos y el enfoque teórico aplicado en la presente investigación; es decir, son homogéneas, pues todas corresponden a un posible significado de las literales; son mutuamente excluyentes, dado que cada significado está claramente diferenciado en el modelo de Küchemann (1980), y son exhaustivas, considerando que los significados de las literales cubren todas las posibilidades que podrían aparecer en las respuestas esperadas en el ítem aplicado.
La presentación de los resultados se realiza por grupos participantes de acuerdo al nivel de educación. Para identificar los estudiantes se utiliza una letra inicial (H de hombre y M de mujer) acompañada de un número y finalizando con una letra que indica el nivel educativo (S de secundaria, I para los estudiantes de nuevo ingreso a la universidad que inician la licenciatura en Ingeniería, y M para los estudiantes de nuevo ingreso a la universidad que inician la licenciatura en Matemáticas).
De los 14 estudiantes, solo 8 responden. Dos estudiantes (H1S y H6S) le otorgan el significado de letra ignorada. Ellos pasan por alto la x, y en su lugar realizan una aproximación del valor del área utilizando métodos aprendidos en los primeros años de estudio. En el análisis del trabajo matemático de H1S, que se muestra en la Figura 2, se evidencia que en la transformación que realiza la unidad significante que tiene peso corresponde a la figura geométrica del cuadrado y los valores numéricos que en la representación geométrica del ítem se muestran. Extiende la forma geométrica del cuadrado que corresponde a la alfombra a toda la habitación; es decir, no hay un reconocimiento de la figura que corresponde al piso de la habitación como un rectángulo. La actividad matemática de los dos estudiantes es muy similar y su punto de partida corresponde a dividir el rectángulo en partes iguales, suponiendo que corresponde a un cuadrado, basándose para ello en la unidad establecida en uno de los lados (longitud 1). Estos dos estudiantes dividen en 16 secciones el piso de la habitación. Luego establecen tres razones matemáticas principales para ello. La primera razón (16/16) representa el área total de la habitación. La segunda razón (6/10) representa el área de la alfombra, y la última razón (10/16) representa el área del piso que no se cubre. Lo anterior a través de procesos aritméticos de cálculo de áreas mediante el proceso de cuadricular. Este trabajo de “aproximación” a través de una longitud conocida, es una estrategia que quizás hubiera podido funcionar en otras situaciones. Lo relevante de esta estrategia es que establece proporciones con las razones planteadas, mostrando así carencias conceptuales en relación a proporcionalidad, álgebra y geometría.

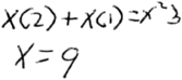
Los estudiantes H2S y M2S le otorgan el significado de letra como objeto. Los estudiantes tratan la . como la etiqueta del lado del cuadrado; es decir, para ellos . representa una medida específica que pueden simplificar, a veces con éxito o, como en el caso de H2S, sin éxito. En este caso el estudiante escribe una primera expresión como “x1 + 1 + 1 + 1 + 1 + x2”, la cual también coloca en evidencia dificultades de índole conceptual entre área y perímetro. Luego simplifica la expresión así: “x + 2x + 2x = 8x2”. De esta actividad matemática se evidencia que para este estudiante la literal x tiene un valor propio, con el que puede operar y simplificar. En ese proceso de manipulación con la literal se evidencian dificultades de corte algebraico.
Tres estudiantes (H5S, M4S y M5S) le otorgan el significado de letra como incógnita especifica. En este caso los estudiantes utilizan la literal x como un número único pero desconocido. Ellos establecen una ecuación y encuentran el valor de la incógnita. Un ejemplo de ello está en el trabajo matemático desarrollado por el estudiante M4S que se muestra en la Figura 3.

Para el estudiante M4S, como para H2S, sumar los dos términos es un indicador de la confusión conceptual que tienen de área y la simplificación de términos corresponde a dificultades de manejo algebraico. La actividad matemática del M4S evidencia dificultades como las mencionadas pero que en suma están direccionadas por el significado de la literal.
Finalmente, el estudiante H4S le otorga el significado de letra como número generalizadosin que su trabajo sea del todo exitoso. El estudiante identifica la x como longitud de la alfombra y representa el área relacionada proporcionando la expresión “x2 + 2x + x”. Su trabajo muestra que descompone en áreas; sin embargo, no logra asociarlas de manera correcta.
En síntesis, los significados identificados en el trabajo de los estudiantes a la letra . son cuatro, letra ignorada, objeto, número general e incógnita específica, siendo este último significado el de mayor frecuencia, tal vez porque las ecuaciones se conforman en un pilar para la construcción de otras nociones matemáticas en el nivel secundaria (Pérez et al., 2019), por lo que puede constituirse en el significado de las literales más potenciado dentro del currículo matemático mexicano, presente también en resultados con docentes en formación (Aké, 2019).
De un grupo de 42 estudiantes, 26 estudiantes le otorgan a la literal el significado de número generalizado, el cual es el requerido para el éxito en el desarrollo de la tarea. Son 16 estudiantes los que no le otorgan el significado de número generalizado y que exhiben dificultades conceptuales en la transformación que se solicita en la tarea.
En el grupo de los 16 estudiantes, M8I le otorga el significado de letra evaluada; esto es, en el proceso de trasformación solo toma en cuenta la figura geométrica del cuadrado, hace referencia a los signos institucionales para calcular el área de esta figura y finalmente le asigna un valor específico (ver Figura 4).

Los estudiantes M3I y H8I se ubican en el significado de letra ignorada ya que solo se quedan en el uso de símbolos institucionales para referenciar el área del rectángulo como “A = b*h”, sin prestar atención en las unidades que hacen referencia a las longitudes de la figura geométrica. Son doce los estudiantes (H2I, M4I, H5I, H6I, M6I, M10I, H9I, M11I, H10I, H18I, H20I, H22I) identificados dentro de la clasificación de letra como objeto. Por ejemplo, en la Figura 5, los estudiantes H2I y H20I consideran la literal como el nombre del lado de la alfombra.

Finalmente, el estudiante H3I le otorga el significado de letra como un valor desconocido (incógnita). Este significado se evidencia cuando el estudiante plantea la ecuación “a * a = 0”. Dado está que el cuestionamiento sería: ¿Por qué el área de la alfombra para este estudiante es cero?
De los 26 estudiantes de nuevo ingreso a la universidad, licenciatura de Ingeniería, que le otorgaron el significado esperado para el éxito de la tarea, es decir, el de número generalizado, se puede identificar dos posibles rutas cognitivas. La primera ruta, la cual fue seguida por la mayoría de estos estudiantes, corresponde a identificar las longitudes del rectángulo que determinan el área de la habitación. Esta actividad de transformación entre la figura geométrica y la escritura algebraica va acompañada o no por un trabajo algebraico que transforma la escritura solicitada. Para ello acudieron a algoritmos o al reconocimiento de un sentido estructural, entendiéndose esto como la habilidad para hacer un uso eficiente de técnicas algebraicas aprendidas (Vega et al., 2012). En este caso corresponde a la manera en que desarrolla el producto notable; es decir, si para desarrollar el producto notable utiliza el patrón conocido (x + a)(x + b). La segunda ruta corresponde a encontrar el área a través de la descomposición en pequeñas áreas, es decir, el área de la alfombra, más las áreas que no se alcanzaron a cubrir con la alfombra.
En relación al sentido estructural mencionado, de los 26 estudiantes, 8 estudiantes (H1I, M1I, H4I, M5I, M9I, H13I, H17I, y M13I) realizan transformaciones en la escritura algebraica, pero mostrando ausencia del sentido estructural; es decir, para el desarrollo del producto notable no reconocen el patrón conocido de (x + a)(x + b) y hacen la multiplicación término a término. Tres estudiantes (H14I, M12I y H16I) realizan la transformación evidenciando una presencia de sentido estructural o posible ayuda de herramienta tecnológica. Vega et al. (2012, p. 239) manifiestan que la posesión de un sentido estructural es una forma de enfatizar la “posesión” del conocimiento que se “manifiesta a través de unos signos externos cuando el sujeto trabaja con expresiones aritméticas y sobre todo algebraicas”. Para este trabajo se hace referencia de la posesión o no de este sentido estructural, sin hacer énfasis, dado que factores como la forma en que se aplicó el instrumento (de manera no presencial y en plena autonomía) influyen en la respuesta dada. Además en la tarea no hay una especificación directa de cómo debe el estudiante proporcionar la expresión algebraica, es decir, de una manera desarrollada o no, afectando esto último en la forma como los estudiantes proporcionen las respuestas.
En términos generales, para el grupo de los 26 estudiantes la letra no representa el nombre del lado de la alfombra, sino que representa un número en general; aunque en el trabajo matemático que muestran alguno de ellos es necesario analizar algunas situaciones en relación al uso de signos matemáticos y de habilidades algebraicas. Por ejemplo, en este grupo de respuestas se encuentra que, para expresar el producto notable, hay ausencia de los signos de agrupación (uso de paréntesis), errores algebraicos, como por ejemplo el de M18I, en el que olvida colocar el término lineal de la literal. Ella escribe “h2 + 3 + 2”. Omite colocar 3h.
Así mismo, tres estudiantes (M14I, M18I y M19I) usan una literal diferente a la proporcionada. Quizás esto último tuviera alguna explicación cuando una literal diferente se cambia por x, dado que es la literal más utilizada en el aula escolar, así como también cuando se hace uso de la tecnología (aplicaciones como GeoGebra, Photomath y la calculadora científica hiper, solamente ofrece la oportunidad de utilizar la literal x), pero no es precisamente la situación que se evidencia con los tres estudiantes mencionados.
Finalmente, solo el estudiante M19I utilizó la segunda ruta cognitiva ya mencionada; es decir, la descomposición de las áreas no es una ruta que usen de manera natural los estudiantes.
En este caso, de los 17 estudiantes que participaron en la solución de la tarea, un solo estudiante le asignó el significado de la letra como incógnita. Esto es, 16 estudiantes obtienen éxito en la tarea asignando el significado a la literal como número general y realizando la transformación de manera exitosa. En relación al tratamiento que realizan en la escritura algebraica, 8 estudiantes (M1M, M2M, M3M, M5M, M6M, M7M, M10M y H1M) no muestran la presencia del sentido estructural y dos (H4M y H5M) presentan conocimiento de este sentido estructural o bien de apoyo de una herramienta tecnológica.
Con respecto a la visualización de las unidades significantes que dirigen la ruta cognitiva, de los 17 estudiantes, 14 eligen la primera ruta cognitiva en donde la unidad significante en la representación geométrica es el rectángulo. Tres estudiantes (M8M, M9M y H7M) se inclinan por la segunda ruta cognitiva en donde se realiza la descomposición del rectángulo en cuatro áreas. En este proceso hay una visualización de cada unidad significativa que corresponde a la base y a la altura de los cuatro cuadriláteros, proceso que se evidencia en el trabajo matemático realizado por el estudiante H7M que se muestra en la Figura 6.

De acuerdo con la clasificación de Kücheman (1980), en la Figura 7 se presentan los resultados obtenidos de acuerdo a los significados otorgados a la literal utilizada en la tarea propuesta, en las tres poblaciones de estudio.

De manera general, se puede evidenciar que en los tres grupos que hacen parte de este estudio se presenta el significado asociado con la resolución de la tarea planteada, que es la de número generalizado, solo que la frecuencia con la que se presenta y el éxito de las respuestas guardan grandes diferencias. Los resultados muestran que el significado de la literal como número general no es un significado que los estudiantes de secundaria hayan integrado a los diferentes significados que puede tener una literal. Requieren aún un trabajo que tiene que ser direccionado en el aula de clase para que se pueda dar la integración que menciona el plan de estudio. Por otro lado, en los estudiantes que ingresan en la universidad se evidencia que una gran parte sí integra el significado requerido para el éxito de la tarea, pero también hay evidencias de que algunos no han superado el significado con el que se inicia en la primaria, que corresponde al de letra evaluada.
Con base en los resultados presentados en la sección anterior, se identifica que el significado que se le atribuye a la literal puede condicionar el trabajo matemático. Lo anterior permite establecer conexiones entre los significados que los estudiantes le asignan a las literales y cómo estos llegan a normar y direccionar sus procesos de resolución.
En particular daremos evidencia de aquello que realiza el estudiante con las representaciones semióticas (en el sentido de Duval, 1999; Hitt, 2003). Por ejemplo, en algunos casos, el significado otorgado a la literal los direccionó a obtener respuestas erróneas o utilizar procedimientos no convencionales, que si bien no tienen sentido con base en lo esperado en la tarea, como fue el caso con el trabajo matemático realizado por el estudiante H1S (Figura 2), sí tiene sentido considerando el significado que adoptó para la literal. De esta manera, los estudiantes que le atribuyen a la literal el significado como un valor desconocido (incógnita), como fue la situación con la estudiante M4S (Figura 3) o la estudiante M4M (Figura 8), determinan que la actividad matemática que desarrollan está en función de que se debe encontrar el valor de una incógnita específica. Así, utilizarán representaciones semióticas auxiliares asociadas a la ecuación o fragmentos de la misma, donde se evidencian procedimientos para su solución como la factorización o la ecuación general para resolver ecuaciones de segundo grado. Por consiguiente, si el estudiante asume un significado de la literal diferente al esperado en la tarea, el trabajo matemático realizado por el mismo tal vez no sea acorde a las estructuras y procedimientos matemáticos correctos.

En el caso de la tarea que se analiza en esta investigación, el significado asociado es el de número general, sin embargo, si el estudiante no lo identifica, esto dificultará o evitará que en su trabajo matemático se evidencien representaciones semióticas asociadas a la construcción de una expresión algebraica. De esta manera, se coincide con lo que expresan Larios et al. (2017),
…los objetos matemáticos los “manipulamos” por medio de representaciones que pertenecen a registros de representaciones semióticas (en el sentido de Duval, 1998), pero los significados que un individuo les atribuye a estas representaciones no necesariamente coinciden con las esperadas. Es por ello que lo que escriben los alumnos carecen de sentido para el lector experto, pero bien podrían tener sentido para el alumno [p. 65].
Extendiendo la idea anterior, el ampliar la mirada de los significados de las literales al trabajo matemático realizado por los estudiantes y su relación con las representaciones semióticas utilizadas, es un campo de evidencia que requiere de más análisis. La posibilidad de establecer relaciones entre los significados asociados a las literales, las representaciones espontáneas (desde la perspectiva de Hitt, 2003; 2013) y las dificultades de conversión entre registros de representación (en el sentido de Duval, 1999; 2006) ofrecen información sobre los significados propios que le atribuyen los estudiantes a los signos semióticos que utilizan en el trabajo matemático desarrollado.
De esta manera, en el proceso de transformación que se solicita en la tarea, explicado en términos de la teoría de representaciones semióticas (Duval, 1999), hacer congruentes los registros de representación (esto es, que exista correspondencia semántica entre las unidades significativas de cada registro, un mismo orden de aprehensión y una relación biunívoca entre ellas), los estudiantes acuden a representaciones semióticas a las que Duval clasifica como representaciones auxiliares transitorias (Duval, 2006). Esto último es objetado por Hitt (2013), especificando que precisamente el rol de las representaciones espontáneas a la que acuden los estudiantes juega un papel importante en el éxito de su trabajo matemático. De acuerdo con lo que manifiesta Hitt, este rol de las representaciones semióticas se puede evidenciar en el trabajo de la estudiante M5I (ver Figura 9), en donde, asociado al significado que le otorga a la literal, tiene la necesidad de colocar el signo de suma y los paréntesis en la representación geométrica para conciliar la representación dada en la escritura algebraica; es decir, en el registro geométrico indica la representación (a + 1) y (a + 2) incluyendo el signo “+” y los “( )”. Es como lo manifiesta Hitt (2003), las representaciones que moviliza esta estudiante tienen una característica funcional y son elementos esenciales para otorgar una coherencia entre la escritura algebraica y la figura geométrica. Para acentuar la característica funcional de las representaciones espontáneas se señala el contraste que se puede evidenciar en la actividad matemática de los estudiantes H2I y H20I (ver Figura 5). Al igual que la estudiante M51, el estudiante H2I incluye el signo “+” en la representación geométrica para expresar algebraicamente la longitud del rectángulo, situación que no sucede con el estudiante H20I.

En la tarea utilizada, la ausencia de un signo de operación en el registro geométrico, el cual hicieron evidente la estudiante M5I y el estudiante H2I, muestra que la conversión aquí solicitada aunada con el significado de la literal se hace una operación difícil y, como menciona Duval (1999), en ocasiones imposible. El nivel de congruencia entre las unidades significativas que se requieren del registro de partida al registro de llegada es un elemento fundamental en el desarrollo de la tarea. Por ejemplo, establecer la correspondencia entre las longitudes del rectángulo desde el punto de vista geométrico, como la suma de la literal y el número correspondiente en la escritura algebraica, es una acción problemática o imposible para algunos de los estudiantes. Dado que en la representación geométrica hay una ausencia de un signo de operación entre las longitudes, la correspondencia término a término que establecen cuatro estudiantes de secundaria y nueve de reciente ingreso a ingeniería es x(2) y x(1) (ver Figura 5). De esta manera ellos establecen una coherencia entre los dos registros que se utilizan en esta tarea, produciendo a su vez un error en su respuesta. Para ellos la conversión no es ni evidente ni espontánea, ni la literal representa un número general. En palabras de Duval (2006): “¡La conversión de representación semiótica aparece a menudo como un truco que no puede ser bien aprendido y que no es enseñado!” (p. 149). Ni tampoco la letra representa un número sino un objeto.
Duval (2006) afirma que en la enseñanza de las matemáticas se convierte en declaración fundamental que los estudiantes comprendan que las letras significan números, no objetos. Es decir, que en términos de Küchemann (1980), le otorgan el significado de número generalizado. En esta investigación, en la que se ha utilizado una tarea en donde a la literal se tendría que asignarle el significado de número generalizado, se ha encontrado dificultad en algunos de los estudiantes para otorgarle este significado, específicamente en el nivel de secundaria, en el que los estudiantes no han integrado dentro de sus conocimientos el significado de la literal como número generalizado. Esto toma relevancia si se considera que el currículo de matemáticas de este nivel educativo propone que deben ser capaces de identificar y diferenciar los significados de las literales al finalizar la educación secundaria.
Por otro lado, Duval propone ir un paso más allá, en el que se debe cuestionar sobre qué números representa esta literal, interrogante que no se planteó ninguno de los estudiantes que sí le otorgaron el significado de número generalizado. Es decir, ninguno de ellos se planteó la situación de que la literal tiene que ser mayor o igual que cero; quizás esto sea debido a que no se solicita en la tarea.
En relación a la espontaneidad de la transformación entre registros, la dificultad se pudiera explicar en términos de la congruencia entre los registros de representación en que se propone la tarea y el registro que debe utilizar para resolverla. Pero son los resultados obtenidos los que evidencian que es el significado otorgado a la literal el que direcciona el trabajo matemático de los estudiantes y es el que influye en las representaciones semióticas que proponen los estudiantes.
No obstante, es evidente que la transformación propuesta en la tarea no es fácil. La ausencia de signos de operación en el registro geométrico conlleva a dificultades de conciliación al expresar la escritura algebraica. Al respecto, Duval (2006) especifica la necesidad de “codificar las representaciones visuales con letras o marcas ayuda a explicitar los puntos de anclaje del discurso matemático entre varias posibles organizaciones de forma” (p. 148); por lo que existe el cuestionamiento de si introducir marcas en el registro geométrico que indiquen dónde comienzan y terminan las longitudes pudiera ayudar en este proceso de trasformación que debe realizar el estudiante para tener éxito en esta tarea.
Proporcionar el análisis de cómo el significado otorgado a las literales direcciona el trabajo matemático de estudiantes de distintos niveles educativos, así como el significado que más predomina en cada uno de los niveles, beneficia tanto a docentes como a investigadores en diferentes sentidos. Por ejemplo, el diseño de tareas y a su vez el uso de representaciones semióticas dentro de este planteamiento, que permitan emerger las nociones de los estudiantes en el aula de clase, para si es el caso refinarlas, así como también potenciar el análisis del rol de las representaciones semióticas que se usan en las tareas, en el aula de clase y las representaciones espontáneas que utilizan los estudiantes. Entender el significado propio que le otorgan los estudiantes a sus representaciones semióticas puede beneficiar en la orientación del proceso de enseñanza-aprendizaje. Se trata de comprender e interpretar la funcionalidad de los signos semióticos que usan los estudiantes en la construcción de conceptos matemáticos para identificar los obstáculos alrededor del aprendizaje e intentar hacer propuestas didácticas alrededor de las problemáticas identificadas.
Es así que la perspectiva de este trabajo está enfocada al diseño e implementación de actividades didácticas en las que se promueva, si es el caso, la remoción de significados de las literales que no deben hacer parte del conocimiento de los estudiantes, o que se promueva la integración de los significados mencionados dentro del currículo mexicano. En este sentido, es importante que en el aula de clase se propongan tareas y se propicien debates científicos (Legrand, 2001) en los que el estudiante se enfrente con su conocimiento de tal manera que la confrontación le genere un conflicto cognitivo (Artigue, 2001).
El diseño de la tarea en esta investigación correspondió a proporcionarle al estudiante tanto el registro del lenguaje natural como el geométrico para hacer una transformación a la escritura algebraica. El siguiente paso corresponde a experimentar si el proceso de transformación se hace de una manera espontánea, si solo se le otorga el registro del lenguaje natural y es el estudiante quien propone sus representaciones funcionales (Hitt, 2003; 2013). Esto podría propiciar una coordinación y armonización entre sus representaciones espontáneas y las institucionales, en el interés de que contribuya a que el proceso de conversión no sea un truco, tal como lo menciona Duval (2006).
redalyc-journal-id: 5216








