Reportes de investigación
Análisis de las características sociodemográficas y factores académicos que inciden en el logro de la eficiencia terminal del TECNM/ITSLP
Analysis of the sociodemographic characteristics and academic factors that affect the completion efficiency of the TECNM/ITSLP
Análisis de las características sociodemográficas y factores académicos que inciden en el logro de la eficiencia terminal del TECNM/ITSLP
IE Revista de Investigación Educativa de la REDIECH, vol. 15, e1846, 2024
Red de Investigadores Educativos Chihuahua A. C.

Recepción: 13 Abril 2023
Aprobación: 20 Abril 2024
Publicación: 06 Mayo 2024
Resumen: La presente investigación tiene como objetivo analizar las características sociodemográficas y los factores académicos que resultan significativos para lograr la eficiencia terminal en el TecNM/ITSLP. El estudio es descriptivo, con un enfoque cuantitativo. Se estudiaron tres cohortes con datos obtenidos del Sistema Integral de Información. Se aplicó el test de Chi cuadrado para el análisis de independencia de las variables de estudio, con a = 0.05. Para determinar las características y factores significativos que inciden en el logro de la eficiencia terminal se empleó el análisis de regresión logística binaria multivariada, con 13 grados de libertad y a = 0.05; los resultados muestran que el sexo, la edad, el nivel educativo del padre, el promedio aritmético en el 1er año de carrera y el nombre de materias reprobadas son altamente significativos para lograr la eficiencia terminal. Para complementar este estudio se aplicó una encuesta a estudiantes del 7° al 12° semestre, de donde se obtuvo que los impedimentos que tienen para titularse al terminar su carrera, por orden de importancia, son: la certificación del segundo idioma (inglés), la asignación del proyecto de titulación y la constancia de servicio social, entre otros.
Palabras clave: Educación superior, eficiencia terminal, factores académicos, características sociodemográficas.
Abstract: The objective of this research is to analyze the sociodemographic characteristics and the academic factors that are significant to achieve terminal efficiency in the TecNM/ITSLP. The study is descriptive, with a quantitative approach. Three cohorts were studied with data obtained from the Integral Information System. The Chi square test was applied for the analysis of independence of the study variables, with a = 0.05. To determine the characteristics and significant factors that affect the achievement of terminal efficiency, the Multivariate Binary Logistic Regression analysis was used, with 13 degrees of freedom and a = 0.05; the results show that sex, age, educational level of the father, the arithmetic average in the 1st year of the degree and the number of failed subjects are highly significant to achieve terminal efficiency. To complement this study, a survey was applied to students from the 7th to the 12th semester, from which it was obtained that the impediments they have to graduate at the end of their career in order of importance are: the certification of the second language (English), the assignment of the titling project and the proof of social service, among others.
Keywords: Higher education, terminal efficiency, academic factors, sociodemographic characteristics.
Introducción
La capacidad que tienen los países para ofrecer una educación de calidad a sus futuros profesionistas se ha representado a través de la tasa de graduación o eficiencia terminal (ET) de los estudiantes que se espera que obtengan un título profesional. De acuerdo con la Organización de las Naciones Unidas para la Educación, la Ciencia y la Cultura (UNESCO, 2007), la eficiencia terminal es el grado en el cual un sistema educativo consigue mejorar la relación inversión-resultado en la educación. Las cifras reportadas por la UNESCO (2022) sobre la eficiencia terminal en educación superior en el año 2015 establecen que en México se obtuvo un 22.08%, cantidad por arriba de Colombia (20.62%) y por debajo de Panamá (24.09%). La Organización para la Cooperación y el Desarrollo Económicos (OCDE, 2018) muestra que en México el 17% de adultos (25-64 años) tiene un título de educación superior, porcentaje por debajo de Chile (23%), Colombia (23%), Costa Rica (23%) o Argentina (21%), y del promedio (37%) de los países de la OCDE. En el 2019 el 24% de los jóvenes de entre 25 a 34 años lograron un título de estudios superiores, cifra por debajo del promedio (45%) de los países de la OCDE (2019).
Después de revisar diferentes definiciones del concepto de eficiencia terminal –ET– (Camarena et al., 1985; Domínguez et al., 2016; López et al., 2008; Pérez, 2016; SEP, 2007), para este estudio se ha elegido la que presenta la OCDE, que la define como la proporción de alumnos de nuevo ingreso que completan con éxito un programa dado y se calcula dividiendo el número de estudiantes que se gradúan entre los que ingresaron n años antes, siendo n los años de estudio a tiempo completo necesarios para acabar el programa (OCDE, 2006). En el TecNM/ITSLP, se considera la duración de mínimo siete y máximo doce periodos semestrales (TecNM, 2021).
Este es un tema de gran importancia para las instituciones de educación superior (IES), ya que se relaciona con la inversión que hace el Estado para lograr que la población de estudiantes de nivel medio superior que ingresan a la universidad termine sus estudios, logre la titulación y con ello tenga la oportunidad de posicionarse en el mercado laboral en condiciones económicamente favorables, lo que además produce una afectación positiva en la agenda política del país, disminuyendo el nivel de pobreza, mejorando la calidad de vida y el cuidado de la salud propia y familiar. Contar con estudios sobre este tema permitiría redituar al Estado la inversión en la educación superior del país, así como disminuir la violencia y la economía informal y elevar el desarrollo del país, vinculados todos ellos a la deserción escolar y el bajo nivel educativo de la población.
El Tecnológico Nacional de México (TecNM), como institución mexicana de educación superior formada por 254 campus, entre los cuales se cuenta el Instituto Tecnológico de San Luis Potosí (TecNM/ITSLP), tiene como uno de sus indicadores de desempeño la mejora de la eficiencia terminal (TecNM, 2019).
El TecNM/ITSLP oferta ocho carreras de ingeniería –en Gestión Empresarial (IGE), Electricidad (ELI), Electrónica (ELO), Mecatrónica (MKT), Informática (INF), Mecánica (MEC), Industrial (IND), Industrial a distancia (IND-D), Sistemas Computacionales (SIST) y Sistemas Computacionales a distancia (SIST-D)– y dos licenciaturas –en Administración (ADM) y Turismo (TUR)–, y tiene una población estudiantil de 5,510 estudiantes en el periodo enero-junio 2023 (TecNM, 2023).
En el informe de autoevaluación de gestión del TecNM se menciona que en el primer semestre del 2021 egresaron 73,930 estudiantes de un total de 142,090 que ingresaron cinco años antes, por lo que la ET de licenciatura reportada es de 52.03% (TecNM, 2021).
En la revisión de información consultada sobre el tema de ET en las IES se encontraron diversas investigaciones que se han elaborado en este campo. Así se tiene que Martínez et al. (2018) realizó un estudio con 27,624 estudiantes de primer ingreso a licenciatura en la Universidad Nacional Autónoma de México (UNAM) para determinar si las calificaciones obtenidas en la aplicación de un examen diagnóstico realizado en el año 2010 estaban asociadas con un buen desempeño escolar. Compararon los resultados del examen diagnóstico con las calificaciones obtenidas al finalizar el segundo y el cuarto semestre y al egresar. Determinaron que si un estudiante obtiene un nivel de conocimientos alto en el examen diagnóstico o pertenece al género femenino tendrá una mayor probabilidad de éxito en su desempeño académico y de finalizar sus estudios universitarios en el tiempo establecido para ello.
El estudio de Chaín et al. (2003) parte también de la posibilidad de predecir el éxito académico, relacionándolo con la calificación obtenida en los exámenes de admisión. Se utilizaron los resultados del Examen Nacional de Ingreso a la Educación Superior (Exani-II) en 6,937 estudiantes de la Universidad Veracruzana en 1998, concluyendo que si un estudiante obtiene buenos resultados en las áreas de razonamiento verbal y español su probabilidad para una buena trayectoria en sus estudios universitarios se incrementa.
En el trabajo de Jiménez (2021) se presenta un estudio para determinar la probabilidad de éxito de los estudiantes de licenciatura y el logro de la eficiencia terminal. Las variables que se analizaron fueron: género, tipo de escuela de procedencia, promedio obtenido en la escuela de procedencia, promedio del examen de admisión y promedio obtenido en el examen TOEFL (Test Of English as a Foreign Language). Se concluyó que un mejor promedio en la escuela de procedencia y en el examen de admisión determinan una mayor probabilidad de éxito académico.
En el estudio de Ordaz y García (2018), el rendimiento académico es considerado como el indicador más relevante para que suceda el abandono, lo que afecta directamente a la eficiencia terminal. Realizaron un trabajo de revisión en el que identificaron que las variables que principalmente se relacionan con el rendimiento académico son: el promedio de calificaciones de bachillerato, las condiciones económicas, la preparación de los docentes, la situación laboral, la calificación del examen de admisión, las expectativas del estudiante, así como sus habilidades sociales, la edad y el apoyo familiar.
Por otro lado, en el trabajo realizado por Domínguez et al. (2016) se entrevistó a dos grupos de estudiantes del plan de estudios de Ingeniería Química, obteniendo que los factores académicos que afectan el desempeño escolar se relacionan con la escasa o nula formación docente, la selección de apropiadas estrategias de enseñanza, los inadecuados procesos de evaluación y los antecedentes académicos de los estudiantes.
Por su parte, Rico et al. (2019) diseñaron un modelo para predecir el rendimiento académico de alumnos de universidad, mediante una plataforma digital; se introducen los datos de un estudiante y se predice si el estudiante tendrá éxito académico. Las variables que considera el modelo para realizar las predicciones mencionadas son: la escolaridad del padre y de la madre, los ingresos familiares, el promedio de calificaciones anterior y actual, la cantidad de materias reprobadas, la preferencia para estudiar y para realizar actividades en clase y la frecuencia de estudio. El modelo acierta en su predicción un 70.4% de las veces.
En otro estudio realizado por Pacheco et al. (2019) identificaron que factores como el bajo rendimiento académico y el rezago de los estudiantes en el bachillerato tienen un impacto en los estudios superiores. El estudio se realizó con alumnos de psicología mediante un cuestionario para identificar la relación de la tendencia a reprobar asignaturas durante el bachillerato, el número de años en que cursó ese nivel educativo, y la reprobación durante la licenciatura.
Con la aplicación de técnicas de minería de datos Toscano et al. (2015) realizan la primera parte de un estudio para determinar los factores que influyen en el logro del indicador de eficiencia terminal del programa educativo de Tecnologías de la Información; los factores que estudiaron son: ingreso, egreso, estado civil, cinco rangos de edad, grado de marginación del bachillerato de procedencia, situación escolar, tiempo de egreso; concluyendo que un factor determinante es el bachillerato de procedencia.
Este es un tema de estudio pertinente en cualquier momento y situación académica en que se encuentren las instituciones de todos los niveles del sistema educativo de cualquier país por la trascendencia que tiene para un mejor desarrollo social, técnico, científico y laboral, que produce una afectación positiva en la agenda política del país al disminuir los niveles de pobreza y de violencia y mejorar la calidad de vida y el cuidado de la salud propia y familiar.
Al ser la ET un indicador relevante de la educación superior, los resultados de este estudio darán información importante a las autoridades de la institución para tomar acciones encaminadas a disminuir el abandono escolar e incrementar la tasa de eficiencia terminal.
Las preguntas que guiaron la investigación fueron: ¿Cuáles son las características sociodemográficas que más influyen en la eficiencia terminal de los estudiantes del TecNM/ITSLP? y ¿Qué factores académicos intervienen para lograr la eficiencia terminal de los estudiantes del TecNM/ITSLP?
Metodología
El estudio tiene un alcance descriptivo, ya que busca especificar las propiedades, las características y los perfiles de personas, grupos, procesos que se sometan a un análisis (Hernández et al., 2010), con un enfoque cuantitativo, debido a que los datos son producto de mediciones y se representan mediante números y son analizados por métodos estadísticos (Hernández et al., 2010). Se empleó la base de datos del Sistema Integral de la Institución (SII) para obtener datos demográficos, socioeconómicos y académicos, tomando como población de estudio tres cohortes generacionales –la primera (I) corresponde a los semestres de agosto-diciembre 2015 a enero-junio 2021; la segunda (II) de enero-junio 2016 a agosto-diciembre 2021, y la tercera (III) de agosto-diciembre 2016 a enero-junio 2022– para conocer los factores que inciden en el rendimiento escolar y el logro de la eficiencia terminal. Adicionalmente se aplicó a los estudiantes de 7° semestre en adelante, de todas las carreras, una encuesta breve a través de Google Forms para complementar la información cuantitativa.
Los sujetos de estudio son 2,389 estudiantes, 739 de la cohorte I, 638 de la cohorte II y 1,012 de la cohorte III. En la Tabla 1 se muestra la distribución de frecuencias por género y en la Tabla 2 la distribución de frecuencias por cohorte generacional de la población estudiada.
| Género | Frecuencia Cohorte I | Porcentaje Cohorte I | Frecuencia Cohorte II | Porcentaje Cohorte II | FrecuenciaCohorte III | Porcentaje Cohorte III |
| Femenino | 281 | 38.02 | 252 | 39.50 | 395 | 39.03 |
| Masculino | 452 | 61.98 | 386 | 60.50 | 617 | 60.97 |
| TOTAL | 739 | 100.00 | 638 | 100.00 | 1,012 | 100.00 |
| Frecuencia | Porcentaje | |
| Cohorte I | 739 | 30.93 |
| Cohorte II | 638 | 26.71 |
| Cohorte III | 1,012 | 42.36 |
| TOTAL | 2,389 | 100.00 |
En la Figura 1 se muestra la gráfica comparativa del estatus académico de los estudiantes de cada cohorte en porcentajes.

Para conocer por qué los egresados de cada generación no se titulan terminando sus estudios se aplicó una encuesta a los estudiantes que cursaban del 7° semestre en adelante, durante el periodo enero-junio 2023.
La relación de cada una de las variables independientes con la variable dependiente binomial (Sí terminó/No terminó estudios, o 1/0) de los estudiantes de cada generación se realizó mediante la aplicación del test Chi cuadrado con los valores de frecuencia de la tabla de contingencia.
Se empleó el análisis de regresión logística binaria (RLB) a través del complemento estadístico de Excel, empleando las herramientas de análisis de datos. Para tal efecto se consideró como variable dependiente binaria la eficiencia terminal, considerando los valores de 1 y 0 (1: sí se logra, 0: no se logra), con el propósito de explicar y obtener la relación que existe entre las variables de estudio con la variable dependiente, para identificar las que son significativas en el logro de la terminación de los estudios en el plazo reglamentario de 12 semestres en el TecNM/ITSLP.
Se consideraron tres dimensiones para el estudio de la variable dependiente binaria: sociodemográfica, socioeconómica y académica. Los valores de las variables explicativas (independientes) fueron obtenidos de la base de datos del SII.
Identificación de variables
Tomando como base el modelo de RLB y la información de la que se dispone, en la Tabla 3 se muestran: la variable dependiente eficiencia terminal binaria, con valores de 1 y 0, correspondientes a si terminó o no terminó los estudios, respectivamente; las dimensiones y los indicadores estudiados como variables independientes o explicativas Xi para determinar su incidencia en la eficiencia terminal para los estudiantes de las tres generaciones citadas.
| Variable dependiente | Variables independientes Xi | |
| Dimensión | Variable explicativa | |
| Eficiencia Terminal | Demográfica | Sexo Edad Estado civil |
| Socioeconómica | Ingreso familiar Nivel educativo de la madre Nivel educativo del padre Ocupación del padre | |
| Académica | Calificación promedio en bachillerato Escuela de procedencia Promedio aritmético del primer año de carrera Promedio primer año de carrera en certificado Nombre de materias reprobadas Número de materias reprobadas | |
En relación con las variables independientes o explicativas, se presentan aquellas que son de carácter cuantitativo (variables de intervalo), como la edad, el ingreso familiar (entendido como el importe del sustento del hogar reportado por el estudiante al momento de inscribirse en su carrera), el promedio de la educación media superior (la calificación promedio del certificado de bachillerato) y la calificación del primer año de educación superior (el promedio de sus notas durante el primer año de su carrera). El resto de las variables independientes son de carácter nominal y en las tablas 4, 5 y 6 se muestra la codificación operada en este estudio.
| Código | Sexo | Estado civil |
| 0 | Femenino | |
| 1 | Masculino | Soltero |
| 2 | No soltero |
| Código | Nivel educativo del padre | Nivel educativo de la madre | Ocupación del padre |
| 0 | No terminó la primaria | No terminó la primaria | |
| 1 | Terminó primaria | Terminó primaria | Campesino, peón, obrero |
| 2 | Terminó secundaria | Terminó secundaria | Burócrata, empleado, oficinista, vendedor |
| 3 | Terminó preparatoria o capacitación | Terminó preparatoria o capacitación | Funcionario público o privado |
| 4 | Terminó licenciatura | Terminó licenciatura | Ganadero, dueño, profesionista por su cuenta, Desempeña oficio con personal a cargo |
| 5 | Terminó posgrado | Terminó posgrado | Profesor-investigador |
| 6 | Otro | Otro | Jubilado |
| 7 | Otro |
| Código | Tipo de Institución media superior | Asignaturas Reprobadas |
| 0 | Ninguna | |
| 1 | Pública | Ciencias Básicas |
| 2 | Privada | Ciencias Sociales |
| 3 | Otra | Propia de la carrera |
Una vez definidas y clasificadas las variables independientes o explicativas, se aplicó la técnica RLB para conocer la relación entre una variable dependiente cualitativa dicotómica (terminación de estudios) y una o más variables independientes o explicativas.
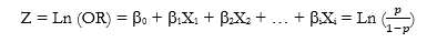
La RLB consiste en obtener una función lineal que, dados los valores de las variables independientes (Xi), estime la probabilidad de que se presente el evento de interés. El modelo permite una clasificación binaria, en la que las observaciones obtenidas pueden estar en uno de los dos grupos (Y = 1 o Y = 0). En este modelo de regresión se ajusta el logaritmo de la probabilidad de pertenecer a cada grupo (Fiuza y Rodríguez, 2000). Por lo tanto, el modelo se plantea de la siguiente forma:
(1)Z se define como el logaritmo natural (Ln) de las proporciones (odds ratio OR) definidas en la ecuación (2)
(2)Entonces:
(3)Con este modelo se puede conocer la probabilidad de que “Y” tome el valor de 1, dadas las variables Xi, es decir:
(4)
(5)Con las variables independientes o explicativas que caracterizan a la población de las tres cohortes se obtienen las variables significativas del estudio.
Las variables estudiadas son congruentes con lo mencionado en el marco conceptual en lo que se refiere a la eficiencia terminal en la educación superior, así como lo señalado en los modelos revisados respecto al análisis de este fenómeno.
Resultados
A partir del análisis efectuado para determinar la relación de cada una de las variables independientes (explicativas) con la variable dependiente binaria Y (eficiencia terminal) a través de la aplicación del test Chi cuadrado con los valores de frecuencia de las tablas de contingencia y a = 0.05, se obtuvo el valor de Chi cuadrado calculado, el nivel de significancia (p-value) y el factor de asociación V de Cramer de cada una de esas variables explicativas, con la variable dependiente estudiada (Levine et al., 2014). Para esta prueba se parte de las hipótesis siguientes:
H0: La variable explicativa y la variable eficiencia terminal son independientes.
Ha: La variable explicativa y la variable eficiencia terminal no son independientes.
Para tal estudio se utiliza un nivel de a = 0.05.
Con las tablas de contingencia de cada variable explicativa Xi se obtuvo el valor de Chi cuadrado calculado aplicando la ecuación:
Chi cuadrado calculado =
Siendo Oi la frecuencia observada de las variables, Ei la frecuencia esperada de las variables analizadas.
Oi se obtuvo de los datos del SII, Ei =
Ni es la suma de los elementos del renglón i.
Nj es la suma de los elementos de la columna j.
N es la suma total de elementos de la tabla de contingencia.
Si Chi cuadrado calculado < Chi cuadrado (a, gl): no se rechaza H0: las variables estudiadas son independientes. De lo contrario, las variables no son independientes.
gl = grados de libertad = (no. renglones r -1) * (no. columnas c -1)
Para medir el nivel de asociación de las variables se aplicó el factor de Cramer (V), con la ecuación:
V =
El valor de p-value muestra el nivel de significancia del test Chi cuadrado. Los resultados obtenidos se muestran en la Tabla 7.
| COHORTE I | COHORTE II | COHORTE III | |||||||
| Variable explicativa | Chi | Pvalue | V | Chi | V | Chi | V | ||
| cuadrada calculada | Cramer | cuadrada calculada | Pvalue | Cramer | cuadrada calculada | Pvalue | Cramer | ||
| Sexo | 54.64 | 1E-13 | 0.27 | 43 | 6.30E-11 | 0.259 | 31 | 2.91E-08 | 0.174 |
| Edad | 17.7 | 0.00051 | 0.155 | 11 | 0.13 | 0.01271 | 9 | 0.092 | 0.0344 |
| Estado civil | 0.333 | 0.564 | 0.021 | 0 | 0.8392 | 0.008 | 0 | 0.5174 | 0.02 |
| Ingreso familiar | 12.59 | 0.0134 | 0.131 | 18 | 0.0013 | 0.168 | 9 | 0.0506 | 0.097 |
| Nivel educativo del padre | 123.87 | 1.3E-25 | 0.42 | 73 | 2.756E-14 | 0.34 | 82 | 1.73E-15 | 0.28 |
| Nivel educativo de la madre | 123.87 | 4.8E-25 | 0.42 | 89 | 4.82E-17 | 0.374 | 82 | 1.3E-15 | 0.285 |
| Ocupación del padre | 13.496 | 0.036 | 0.135 | 9 | 0.152 | 0.121 | 3 | 0.755 | 0.058 |
| Promedio de bachillerato | 23.2 | 3.7E-05 | 0.18 | 20.72 | 0.0001203 | 0.18 | 36.64 | 5.49E-08 | 0.19 |
| Tipo de institución de bachillerato | 4.934 | 0.085 | 0.082 | 17.6 | 0.0001506 | 0.166 | 10.37 | 0.006 | 0.101 |
| Promedio en certificado primer año carrera | 125.89 | 4.2E-27 | 0.413 | 76.67 | 1.59E-16 | 0.347 | 122.09 | 2.73E-26 | 0.347 |
| Promedio aritmético primer año carrera | 208.92 | 5E-45 | 0.53 | 123.75 | 1.203E-26 | 0.44 | 309.51 | 8.68E-67 | 0.55 |
| Asignaturas reprobadas | 194.36 | 7E-42 | 0.51 | 122.66 | 2.064E-26 | 0.44 | 273.48 | 5.45E-59 | 0.52 |
Una vez que se analizó cada una de las trece variables independientes con la variable dependiente se aplicó la técnica de regresión logística binaria, como método inferencial multivariado (RLBM) para efecto de obtener un modelo relacionado con la eficiencia terminal de la población de estudio conformada por las cohortes I, II y III.
El resultado demuestra que el modelo es significativo al obtener un p-value 2.8939E-238, menor que a = 0.05, con una precisión del 77.5%, es decir, el 77.5% de los datos se ajustan al modelo de RLBM propuesto. En la Figura 2 se puede observar la curva de la característica operativa del receptor (Receiver Operating Characteristic, ROC por sus siglas en inglés).

En la Figura 2 se representa la tasa de verdaderos positivos (True Positive Rate), que se calcula dividiendo el número de registros predichos como “sí terminaron” (Y = 1) sus estudios entre el total de registros que realmente concluyeron sus estudios. La tasa de falsos positivos (False Positive Rate) es el número de registros predichos como “no terminaron” (Y = 0) sus estudios, con respecto al total de registros de estudiantes que realmente no los concluyeron en el periodo de 12 semestres. El área bajo la curva (AUC) mide el acierto en la predicción de eventos binarios, en este caso corresponde a 86.7% de la gráfica (Villalba, 2018).
En la Tabla 8 se muestran los valores de los coeficientes bi (coeff b) obtenidos de la aplicación de la técnica de RLBM con las 13 variables independientes mostradas en la primera columna de la izquierda. Las variables (remarcadas con cursivas) que resultaron con mayor significancia para el análisis de la eficiencia terminal resultaron ser: el sexo, la edad, el nivel educativo del padre, la escuela de procedencia, el promedio aritmético del primer año de la carrera y el nombre de materias reprobadas, las cuales presentan un nivel de significación p-value de 2.45E-04, 0.015, 0.018, 0.010, 6.46E-15 y 7.65E-06, respectivamente.
| coeff b | s.e. | Wald | Pvalue | exp(b)(OR) | |
| Intercept | -2.588 | 1.171 | 4.881 | 0.027 | 0.075 |
| Sexo | -0.414 | 0.113 | 13.448 | 2.45E-04 | 0.661 |
| Edad | -0.068 | 0.028 | 5.881 | 0.015 | 0.934 |
| Estado civil | -0.522 | 0.315 | 2.735 | 0.098 | 0.594 |
| Ingreso del hogar | 0.000 | 0.000 | 0.626 | 0.429 | 1.000 |
| Nivel educativo del padre | -0.127 | 0.054 | 5.588 | 0.018 | 0.881 |
| Nivel educativo de la madre | -0.012 | 0.054 | 0.047 | 0.828 | 0.988 |
| Ocupación del padre | 0.025 | 0.023 | 1.209 | 0.272 | 1.025 |
| Calificación promedio en bachillerato | 0.023 | 0.033 | 0.507 | 0.477 | 1.024 |
| Escuela de procedencia | -0.231 | 0.090 | 6.565 | 0.010 | 0.793 |
| Promedio aritmético en 1er año carrera | 0.077 | 0.010 | 60.756 | 6.46E-15 | 1.080 |
| Promedio 1er año carrera de certificado | -0.004 | 0.012 | 0.102 | 0.749 | 0.996 |
| Nombre de materias reprobadas | -4.529 | 1.012 | 20.024 | 7.65E-06 | 0.011 |
| Número de materias reprobadas | 0.133 | 0.098 | 1.851 | 0.174 | 1.142 |
En la Tabla 8 se muestra la relación que tienen los coeficientes de bi (coeff b) obtenidos, en la cuantificación de la variable dependiente a través del Odds Ratio (OR) de la columna exp(b). Cuando el coeficiente de la variable (coeff b) es positivo se obtiene un OR > 1 y los odds de Y se incrementan; por el contrario, si el coeficiente es negativo el OR < 1, los odds de Y disminuyen; para determinar los grados de disminución, en este caso, se calcula el inverso 1/OR; finalmente, el caso de OR = 1 representa que no hay asociación significativa de la variable independiente con la variable dependiente (García et al., 2010).
Analizando la Tabla 8, el único coeficiente positivo de las variables significativas es el promedio aritmético en 1er año de carrera, 0.077, con OR = 1.080, significa que la probabilidad de Y = 1 (sí terminar los estudios) se incrementa en 1.08 grados de su valor, al aumentar la calificación. En cambio, para el coeficiente de la variable sexo el coeficiente es -0.414, de acuerdo con la explicación anterior, se debe esperar que la columna de OR correspondiente sea menor que 1; efectivamente OR es 0.661, calculando el inverso 1/0.661 = 1.51, representa que la probabilidad de terminar los estudios disminuye 1.51 siendo mujer (cuyo código fue 0, en su clasificación). En el caso del ingreso en el hogar: OR = 1.0, esta variable no tiene asociación significativa con la variable dependiente (Y).
La clasificación de los resultados de la Tabla 8 obtenida de la RLBM se muestra en la Tabla 9, en la cual se puede observar la exactitud del análisis con 0.775 o 77.5% y las observaciones que fueron exitosas y fallidas para el cálculo de la exactitud del modelo obtenido, así como el punto de corte de los grupos de la variable binaria Y dependiente (0.5 de sí y 0.5 de no o Cut off = 0.5).
| Suc-Obs | Fail-Obs | Total | |
| Suc-Pred | 661 | 318 | 979 |
| Fail-Pred | 220 | 1190 | 1410 |
| Total | 881 | 1508 | 2389 |
| Accuracy | 0.75 | 0.79 | 0.775 |
| Cutoff | 0.5 |
El modelo de RLBM quedará representado por:
Z = b0 + b1X1 + b2X2 + … + biXi
Sustituyendo cada término:
Z = -2.588 - 0.414 * Sexo -0.068 * Edad -0.127 * Nivel educativo del padre - 0.231 * Escuela de procedencia + 0.077 * Promedio aritmético de 1er año de carrera - 4.529 * Nombre de materias reprobadas.
Calculando Z, se obtendrá la P (Y = 1|Xi) =
= 
, que representa la probabilidad de que un estudiante termine su carrera en los 12 semestres reglamentarios.
Al analizar las tres cohortes estudiadas por separado a través del método de RLBM se obtuvieron resultados diferentes en cada cohorte, como se muestra en la Tabla 10.
| Variables Independientes | Cohorte I | Cohorte II | Cohorte III | ||||||
| coeff b | Pvalue | exp(b) OR | coeff b | Pvalue | exp(b) OR | coeff b | Pvalue | exp(b) OR | |
| Intercept | -3.055 | 0.224 | 0.047 | -5.670 | 0.028 | 0.003 | -2.294 | 0.246 | 0.101 |
| Sexo | -0.623 | 0.004 | 0.536 | -0.472 | 0.034 | 0.624 | -0.232 | 0.189 | 0.793 |
| Edad | -0.176 | 0.001 | 0.838 | -0.044 | 0.332 | 0.957 | -0.095 | 0.066 | 0.910 |
| Estado civil | -0.467 | 0.395 | 0.627 | -0.730 | 0.241 | 0.482 | -0.313 | 0.552 | 0.731 |
| Ingreso del hogar | 6.8E-06 | 0.599 | 1.000 | 0.000 | 0.662 | 1.000 | 0.000 | 0.803 | 1.000 |
| Nivel educativo del padre | -0.235 | 0.045 | 0.791 | -0.159 | 0.088 | 0.853 | -0.030 | 0.736 | 0.970 |
| Nivel educativo madre | 0.057 | 0.640 | 1.059 | -0.048 | 0.593 | 0.953 | -0.015 | 0.865 | 0.985 |
| Ocupación del padre | -0.033 | 0.418 | 0.967 | 0.032 | 0.469 | 1.032 | 0.039 | 0.295 | 1.040 |
| Promedio bachillerato | -0.102 | 0.144 | 0.903 | 0.030 | 0.429 | 1.030 | 0.060 | 0.276 | 1.061 |
| Escuela de procedencia | 0.044 | 0.804 | 1.045 | -0.508 | 0.005 | 0.602 | -0.279 | 0.051 | 0.757 |
| Promedio aritmético del 1er año carrera | 0.164 | 0.0001 | 1.178 | 0.129 | 0.001 | 1.138 | 0.081 | 1.45E-07 | 1.084 |
| Promedio en certificado del 1er año carrera | -0.039 | 0.184 | 0.962 | -0.018 | 0.492 | 0.982 | -0.015 | 0.333 | 0.985 |
| Nombre de materias reprobadas | -19.250 | 0.994 | 0.000 | -3.934 | 0.001 | 0.020 | -18.527 | 0.993 | 9E-09 |
| Número de materias reprobadas | 0.899 | 0.009 | 2.456 | 0.676 | 0.024 | 1.966 | 0.051 | 0.853 | 1.052 |
Como se puede apreciar en la Tabla 10, cada cohorte generacional presenta diferentes variables explicativas que resultaron ser significativas en el logro de la ET: para la cohorte I sexo, edad, nivel educativo del padre, promedio aritmético del 1er año de carrera y número de materias reprobadas; en la cohorte II fueron significativas sexo, escuela de procedencia, promedio aritmético del 1er año de carrera, nombre de materias reprobadas y número de materias reprobadas; finalmente, para la cohorte III solo resultó significativa la variable promedio aritmético del 1er año de carrera.
La prueba de Chi cuadrado de ajuste de los modelos resultó ser significativa en las tres cohortes estudiadas con una precisión del 80% para I y de 79% para II y III, coincidiendo en una variable explicativa en los tres casos: el promedio aritmético del 1er año de carrera.
Para complementar la parte cuantitativa del presente trabajo se realizó una encuesta de cinco preguntas a estudiantes que cursaban los últimos semestres (7° al 12°) en el periodo enero-junio 2023, a través de Google Forms. La encuesta fue contestada por 483 alumnos de las diferentes carreras, las preguntas y los resultados obtenidos se muestran en las Figuras 3 y 4.


Para finalizar la batería de cinco preguntas se les cuestionó a los estudiantes sobre qué otros factores consideran que pudieran impedir titularse al terminar la carrera, al respecto mencionaron en orden de importancia lo siguiente: no alcanzar el puntaje exigido de inglés en la certificación TOEIC o TOEFL; la falta de un proyecto de titulación; la falta de la constancia de servicio social; no cubrir o pasar la residencia profesional; la falta de dinero para cubrir los gastos de titulación, y adeudar materias, entre otros.
Discusión y conclusiones
Con base en la población considerada para este estudio de 2,389 estudiantes de tres cohortes, 881 terminaron sus estudios (36.9%); de ellos se titularon 155 (6.5%), faltan por titularse 726 (30.4%). Los estudiantes que no terminaron en el periodo establecido de 12 semestres fueron 1,508 (63.1%); de ellos, abandonaron sus estudios 1,015 (42.5%) y en condiciones de rezago están 493 (20.6%). Como se puede observar, la eficiencia de titulación en estas tres generaciones fue del 6.5%, lo cual representa un nivel preocupante para la institución.
Para determinar qué factores tienen mayor incidencia en la eficiencia terminal, con la aplicación del método de RLBM se obtuvo que son significativos, en relación con la terminación de los estudios en 12 semestres reglamentarios, los siguientes: de los factores demográficos, el sexo y la edad, con p-value de 2.45E-04 y 0.015; de los factores socioeconómicos, el nivel educativo del padre con p-value de 0.018, y de los factores académicos: la escuela de procedencia, con p-value de 0.010; el promedio aritmético en el 1er año de carrera con 6.46E-15, y el nombre de las materias reprobadas con 7.65E-06 de valores de p-value, alcanzando niveles de significancia menores que 0.05.
Considerando que los estudiantes tienen la oportunidad de terminar sus créditos académicos en siete semestres mínimo, para titularse en el octavo; o en promedio en nueve semestres, titulándose en el décimo, o como máximo 12 semestres para concluir sus estudios. El décimo semestre de las tres generaciones estudiadas tuvo la característica de estar en pleno periodo de la COVID-19; para la cohorte I fue el semestre enero-junio 2020, para la cohorte II agosto-diciembre 2020 y para la cohorte III enero-junio 2021, este pudo haber sido un factor importante que haya impedido a los estudiantes cumplir con todos los requisitos para titularse, debido a que las empresas no recibían residentes en esas fechas; la economía del mundo se paralizó y muchos pequeños negocios de familiares de los estudiantes tuvieron que cerrar; a muchos jefes de familia se les redujo el salario o fueron despedidos de sus empleos; en otros casos murieron los padres o familiares cercanos; para otros fue difícil conseguir el equipo necesario y el servicio de internet para conectarse a sus clases a distancia; algunos estudiantes tuvieron que regresar a sus lugares de origen (municipios, poblados o estados) por no poder seguir pagando alojamiento y alimentos.
Aunque en el estudio cuantitativo se mostraron los factores que inciden en la eficiencia terminal en las tres cohortes estudiadas, las respuestas a la encuesta aplicada consideran en su mayoría (72%) que la certificación en inglés es un impedimento para titularse; el 71% no conocen los requisitos para este proceso; el 25% no tienen definido su proyecto integral a pesar de que la mayoría de las respuestas (86.75%) provienen de estudiantes de 7°, 8° y 9° semestres; otros aspectos señalados fueron: la falta de la constancia de servicio social; no cubrir o pasar la residencia profesional; la falta de dinero para cubrir los gastos de titulación, y adeudar materias.
El punto de vista de los estudiantes y los factores obtenidos en la aplicación del método de RLBM permitirá a las autoridades de la institución atender los aspectos mencionados para mejorar el indicador de eficiencia de titulación.
Referencias
Camarena C., R. M., Chávez G., A. M., y Gómez V., J. (1985). Reflexiones en torno al rendimiento escolar y a la eficiencia terminal. Revista de la Educación Superior (RESU), 14(53), 1-17. http://publicaciones.anuies.mx/revista/53/1/2/es/reflexiones-en-torno-al-rendimiento-escolar-y-a-la-eficiencia-terminal
Chaín Revuelta, R., Cruz Ramírez, N., Martínez Morales, M., y Jácome Ávila, N. (2003). Examen de selección y probabilidades de éxito escolar en estudios superiores. Estudio en una universidad pública estatal mexicana. Revista Electrónica de Investigación Educativa, 5(1), 1-17. http://redie.ens.uabc.mx/vol5no1/contenido-chain.html
Domínguez Pérez, D., Sandoval Caraveo, M. C., Cruz Cruz, F., y Pulido Téllez, A. (2016). Problemas relacionados con la eficiencia terminal desde la perspectiva de estudiantes universitarios. Revista Iberoamericana sobre Calidad, Eficacia y Cambio en Educación, 12(1), 25-34. https://doi.org/10.15366/reice2014.12.1.002
Fiuza, M. D., y Rodríguez, J. C. (2000). La regresión logística: una herramienta versátil. Nefrología, 20(6), 477-565. https://www.revistanefrologia.com/es-estadisticas-X0211699500035664
García Pérez, R., García Pino, G., González Ballester, D., y García Moreno, R. (2010). Modelo de regresión logística para estimar la dependencia según la escala de Lawton y Brody. Semergen, 36(7), 363-418. https://doi.org/10.1016/j.semerg.2010.03.004
Hernández, R., Fernández, C., y Baptista, P. (2010). Metodología de la investigación (5a. ed.). McGraw-Hill.
Jiménez, J. R. (2021). Análisis y propuesta de mejora para modelo de éxito académico del Tecnológico de Monterrey [Tesis de Maestría]. Instituto Tecnológico y de Estudios Superiores de Monterrey. https://hdl.handle.net/11285/645622
Levine, D. M., Krehbiel, T. C., y Berenson, M. L. (2014). Estadística para administración. Pearson.
López, A., Albíter, A., y Ramírez, L. (2008). Eficiencia terminal en la educación superior, la necesidad de un nuevo paradigma. Revista de la Educación Superior, 37(2),135-151. http://www.scielo.org.mx/scielo.php?script=sci_arttext&pid=S0185-27602008000200009&lng=es&tlng=es
Martínez, A., Manzano, A., García, M., Herrera, C., Buzo, E., y Sánchez, M. (2018). Grado de conocimientos de los estudiantes al ingreso a la licenciatura y su asociación con el desempeño escolar y la eficiencia terminal. Modelo multivariado. Revista de la Educación Superior, 47(188),57-85. http://www.scielo.org.mx/scielo.php?script=sci_arttext&pid=S0185-27602018000400057&lng=en&tlng=es
OCDE [Organización para la Cooperación y el Desarrollo Económicos] (2006). Panorama de la educación. Indicadores de la OCDE. https://www.oecd-ilibrary.org/education/education-at-a-glance-2006_eag-2006-en
OCDE (2018). Education at a glance 2018: OECD Indicators. OECD Publishing. https://doi.org/10.1787/eag-2018-en
OCDE (2019). Education at a glance 2019: OECD Indicators. OECD Publishing. https://dx.doi.org/10.1787/f8d7880d-en
Ordaz, A. A., y García, O. (2018). El estudio del rendimiento académico en nivel universitario. Aproximaciones al estado del conocimiento. Octava Conferencia Latinoamericana sobre el Abandono en la Educación Superior, Panamá. https://revistas.utp.ac.pa/index.php/clabes/article/view/1962
Pacheco Chávez, V., Cruz González, E., y Serrano Contreras, L. A. (2019). Rendimiento académico como factor de riesgo en estudiantes de licenciatura. Revista Electrónica de Psicología Iztacala, 22(2), 2318-2336. https://revistas.unam.mx/index.php/repi/article/view/70168
Pérez, M. d. L. (2016). Impacto de la eficiencia terminal de la educación superior en México en la economía educativa. Eseconomía, 11(45), 133-156. http://yuss.me/revistas/ese/ese2016v11n45a06p133_156.pdf
Rico Páez, A., Gaytán Ramírez, N. D., y Sánchez Guzmán, D. (2019). Construcción e implementación de un modelo para predecir el rendimiento académico de estudiantes universitarios mediante el algoritmo Naïve Bayes. Diálogos sobre Educación, 10(19), 1-18. https://doi.org/10.32870/dse.v0i19.509
SEP [Secretaría de Educación Pública] (2007). Programa sectorial de educación 2007-2012. Unidad de Planeación y Evaluación de Políticas Educativas (UPEPE). https://www.inee.edu.mx/wp-content/uploads/2019/04/AT02iA-2010.pdf
TecNM [Tecnológico Nacional de México] (2015) Manual de lineamientos académico-administrativos del Tecnológico Nacional de México. Planes de estudio para la formación y desarrollo de competencias profesionales. TecNM. https://www.tecnm.mx/?vista=Normateca
TecNM (2019). Programa de Desarrollo Institucional PDI 2019-2024. https://www.tecnm.mx/?vista=Programa_Institucional
TecNM (2021). Presentación por el Director General del TecNM del Informe de Autoevaluación de Gestión correspondiente al primer semestre del ejercicio fiscal 2021. https://www.tecnm.mx/menu/transparencia/informes_gestion_2021/Informe_Autoevaluacioon_1S-2021_3aSO_CIA-TecNM_2021.pdf
TecNM (2023). Sistema Integral de Información. http://sii.itslp.edu.mx
Toscano de la Torre, B. A., Ponce Gallegos, J. C., Gómez Meza, J. I., Olivares Granados, S. A. (2015). Análisis de la eficiencia terminal en un programa educativo de tecnologías de información. Caso: Universidad Autónoma de Nayarit. Revista Iberoamericana de Producción Académica y Gestión Educativa, 2(3), 1-27. https://www.pag.org.mx/index.php/PAG/article/view/535
UNESCO [Organización de las Naciones Unidas para la Educación, la Ciencia y la Cultura] (2007). Thesaurus, United Nations Education, Science and Culture Organization. http://databases.unesco.org/thesaurus/
UNESCO (2022). Educación. Datos por tema. Tasa bruta de graduación en la educación terciaria. http://data.uis.unesco.org/index.aspx?queryid=3622
Villalba, F. (2018). Regresión logística binaria. En Aprendizaje supervisado en R. https://fervilber.github.io/Aprendizaje-supervisado-en-R/glm.html
Notas de autor