
Recepción: 04 Marzo 2016
Aprobación: 21 Abril 2016
Publicación: 01 Agosto 2016
Resumen: En esta investigación se estudió la interacción, desde un punto de vista matemático, de las células T del sistema inmunológico humano: naive y electoras, con aquellas de leucemia mielógena crónica (LMC). Mediante un sistema de ecuación diferenciales ordinarias no lineales que describen la variación instantánea de éstas tres poblaciones de células se conoció esta interacción. Se pone énfasis en hallar soluciones de equilibrio analítica y numéricamente usando el software matlab, y estudiar la estabilidad de las mismas, para esto se han utilizó datos obtenidos de trabajos similares y datos de enfermedades en cuya patología intervienen las células T como mecanismo de defensa, tal es el caso del virus de inmune deficiencia humana. Se examina 12 parámetros y se concluyó que para la estabilidad, son importantes dos parámetros, la tasa de crecimiento y la tasa de muerte de células con LMC.
Palabras clave: Células T, leucemia mielógena.
Abstract: In this research was studied the interaction from a mathematical point of the human immune system T cells: naive and voters, with chronic myelogenous leukemia cells. (CML). This interaction was known through a system of nonlinear ordinary differential equations that describe the instantaneous variation of these three populations of cells. Emphasis is placed on finding solutions of analytical balance and numerically using the matlab software, and study their stability, for this purpose it has been used data obtained from similar studies and data from diseases whose pathology involves T cells as a defense mechanism, such is the case of the human immune deficiency virus. 12 parameters are examined and it has concluded that for stability, two parameters are important, the growth rate and the death rate of chronic myelogenous leukemica cells.
Keywords: T cells, myelogenous leukemia.
Introducción
La leucemia Mielógena crónica (LMC) es un cáncer que afecta a las células que circulan en el sistema sanguíneo, constituye aproximadamente un 15% de todas las leucemias en adultos. Las investigaciones mas importantes relacionadas con el presente trabajo son las desarrolladas por Neiman, Brent titul840 A Mathematical Model of Chromc Myelogenous Leukemia, en esta investigación se formula un modelo matemático de la LMC, que ayuda a entender el mecanismo por el cual la fase crónica de la enfermedad se vuelve inestable y llega a la fase aguda, y la investigación desarrollada por Sirijampa, Aebabut titulado A Mathematical Model of Periodic Chronic Myelogenous Leukemia with Delay Differential Equations, donde se formula un modelo matemático de tres ecuaciones diferenciales con retardo de la célula madre, así como la concentración de leucocitos y plaquetas.
En la presente investigación se propone un sistema de ecuaciones diferenciales ordinarias no lineales para la respuesta del sistema inmune humano ante la LMC en un paciente hipotético. Este sistema consta de tres ecuaciones, que son la variación instantánea de las poblaciones de células T naive y efectoras, componentes del sistema inmunológico humano adquirido, así como la variación instantánea de las células de LMC.
El estudio se hace en la fase crónica, que es la más larga (en promedio de 3 a 6 años) y cuando la cantidad de células crece en forma constante.
Así, la población de células cancerosas es la suficientemente grande durante la fase crónica de manera que la Ley de Acción de Masas es válida para la interacción de células en la sangre.
Los valores de los parámetros se obtienen de los datos experimentales disponibles, es de nuestro interés los coeficientes del crecimiento de las células de LMC y de la muerte de las mismas, se hace uso de estos parámetros para ver la estabilidad del segundo punto de equilibrio usando el software Matlab.
Método
El trabajo se organiza de la siguiente manera:
Preliminares matemáticas, biológicos y LMC.
Ecuaciones diferenciales especiales y cinética enzimática.
Finalmente se analiza desde un punto de vista matemático, la interacción de células T y células con LMC.
Nociones Matemáticas
1.1. Ecuaciones Diferenciales Ordinarias Lineales
Definición 1.1. Una ecuación diferencial ordinaria EDO en forma (observada) es una identidad de la forma:
(1.1)Donde t es la variable independiente e x (t) es la función desconocida (dependiente).
La función F representa la relación que liga las derivadas de x.. Se dice que la ecuación es ordinaria pues se deriva con respecto a una sola variable independiente.
F en (1.1) es una función de (n + 2) Variables
Definición 1.2. Una EDO de orden n se expresa en forma normal si se puede despejar x(n) de la expresión (1.1), es decir, si se puede escribir así:
(1.2)f depende de n + 1 variables.
Definición 1.3. Una EDO lineal de orden n es de la forma:
(1.3)Con ai (t), i = 1, n llamados coeficientes.
Si b (t) = 0 la EDO lineal se llama homogenea.
Si b (t) _ = 0, la EDO lineal se llama nohomogénea.
Si los coeficientes ai (t) no depende de t, decimos que la EDO lineal es de coeficientes constantes. De lo contrario se afirma que es cocientes variables.
Observación 1.1. En una EDO lineal de orden n sólo puede aparecer la primera potencia de la variable x y de sus diversas derivadas. No pueden aparecer productos de dichas variables con sus derivadas o de las derivadas entre sí, ni funciones transcendentales de x, ni de sus derivadas. Si se diera de estas situaciones se pierde la linealidad.
1.1.1. Solución de una Ecuación Diferencial Ordinaria
Definición 1.4. Se dice que una función u: I → R es solución de la EDO (1.1) en el Intervalo I si u Є Cn (I) y además F (t, u, u'_, · · ·, u(n)) =0.
1.1.2. Solución General
Definición 1.5. Se llama solución general de una EDO al conjunto de todas las funciones que verifican dicha ecuación. En general, son familias n-paramétricas de curvas, siendo n el orden de la ecuación. Cuando existe alguna solución que no pertenece a dicha familia, entonces esta función recibe el nombre de solución Singular.
1.1.3. Solución Particular
Definición 1.6. Se llama solución particular de una EDO a cualquier función que la satisfaga. Puede obtenerse fijando el valor de las constantes en la familia de funciones solución de la ecuación.
1.1.4. Ecuaciones Diferenciales Autónomas:
Las ecuaciones autónomas son ecuaciones diferenciales de la forma = f(x)
Esto es, la razón de cambio de la variable dependiente puede expresarse como una función sólo de la variable dependiente del tiempo (x (t)).
Las ecuaciones autónomas aparecen con frecuencia como modelos por dos razones. Primero; muchos sistemas físicos funcionan igual todo el tiempo.
Así por ejemplo, un resorte comprimido proporciona la misma fuerza a las 11: 00 y a las 16:00, fijando la medida de su compresión. Segundo; para muchos sistemas, la dependencia del tiempo "se promedia" sobre las escalas de tiempo considerado.
Así por ejemplo, se estudia cómo interactúan los galgos y las liebres, se podría encontrar que los galgos comen mucho más liebres durante el día que durante la noche. Sin embargo, se desea saber cómo se comportan ambas poblaciones en un periodo de años o décadas, entonces promediamos el número de liebres comidas por cada galgo por semana. Ignoramos las fluctuaciones diarias.
Definición 1. 7. Se llama ecuación autónoma, a aquella en la que no aparece la variable independiente. En este trabajo la variable independiente es t.
1.2. Problemas de Valor Inicial y Problemas de Contorno.
Definición 1.8. Un problema de valor inicial (PVI) consiste en:
Resolver:
F (t, x, x'_, · · · x(n)) = 0
Sujeto a:
X (t0)= X0,
X (t0)= X1, · · ·, Xn-1 (t0)= Xn-1
Dónde: t0 Є I; x0, x1, x2, · · ·, xn-1 constantes dadas.
Definición 1.9. Si las condiciones dadas en la definición (1.8) se refieren a valores diferentes para t (Variable independiente), se denomina problema con condiciones de contorno.
1.3. Ecuaciones Diferenciales Lineales de Primer Orden
Una EDO lineal de primer orden la podemos escribir así:
(1.4)Se supone que a0(t), a1(t) y b(t) están definidas y son continuas en un intervalo 1, además a0( t) no se anula en ningún punto del Intervalo. Luego es posible dividir (1.4) por a0 (t), tenemos las siguientes definiciones
Definición 1.10. Una EDO lineal de primer orden en su forma canónica es de la forma:
(1.5)Donde p (t) y g (t) son funciones continuas en un intervalo I.
La solución general de (1.5) es:
(1.6)Donde μ (t) = exp (ʃp (t) dt) es el factor integrante.
En (1.5) si g(t) = O, la ecuación x_ + p(t) = O homogénea tiene como solución a:
(1.7)1.4. Métodos Cualitativos en Ecuaciones Diferenciales
En ecuaciones diferenciales no lineales, más que cálculos cuantitativos puntuales, es de interés el comportamiento cualitativo de la solución.
Este nuevo enfoque se debe a dos razones fundamentales, primero: son difíciles de resolver y segundo: aunque se pudiera calcular sus soluciones, a veces no es necesario determinarlas explícitamente, pues solo se pretende conocer el comportamiento de las mismas.
Saber que una solución es creciente, que es cóncava o que tiene un límite en el infinito, puede ser de ayuda en el entendimiento de un hecho real. Ocurre que bajo algunas circunstancias, podemos obtener tal información sin resolver explícitamente la ecuación diferencial.
Mientras la teoría cualitativa de las ecuaciones diferenciales iba desarrollándose los matemáticos comprendieron gradualmente que lo esencial de esta nueva teoría encajaba en un marco más grande, el de los sistemas dinámicos.
De manera simple se puede describir a un sistema dinámico como aquel que evoluciona con el tiempo. Un sistema dinámico se representa como una ecuación diferencial o como un sistema de ecuaciones diferenciales
En el presente trabajo se considera solamente sistemas dinámicos autónomos, pues el estudio cualitativo de las soluciones de las ecuaciones diferenciales se simplifica sustancialmente cuando son autónomas.
Se indica que en esta parte del estudio cualitativo de las ecuaciones diferenciales y sistemas de ecuaciones diferenciales (que generalmente son no lineales), aparecen los conceptos de puntos de equilibrio, estabilidad, estabilidad asintótica, diagrama de fase.
La importancia del estudio de los puntos de equilibrio radica en que para entender el comportamiento global del sistema dinámico se empieza por estudiar lo que pasa localmente en estos puntos.
Una ecuación diferencial autónoma se escribe de la forma: x'_ = f(x) (1.8)
Donde f: R → R es continua y su derivada también es continua.
La propiedad fundamental de las ecuaciones diferenciales autónomas es que si trasladamos alguna solución de dicha ecuación a lo largo del eje t produce otra solución.
Teorema l. l. Si x es una solución de la ecuación diferencial autónoma (1.8) en un intervalo (a, b), entonces para alguna constante C, la función y definida por y (t) =X (t - C) para t Є(a+ c, b + c) es una solución de (1.8) en (a + c, b + c).
Demostración. Se asume que x es una solución de (1.8) en el intervalo a, b), entonces x es continuamente diferenciable en (a, b) además:
x' (t) = f(x (t)), para t Є(a, b)
Reemplazamos t por t - c en esta 'ultima ecuación, tenemos:

DEFINICION 1.11. Si f(x0) =0 se dice que x0 es un punto de equilibrio para la ecuación diferencial (1.8).
Si, además, existe un δ_ > 0 tal que f(x) _≠0 para │x – x0│ <δ_, x_ x0, entonces Se dice que x0 es un punto de equilibrio aislado.
Note que si x0 es un punto de equilibrio para la ecuación diferencial (1.8), entonces la función constante x (t) = x0 o (x (t) = c), t Є R es una solución de (1.8), llamada solución de equilibrio o simplemente equilibrio.
Definición 1.12. Se afirma que un punto de equilibrio x* de la ecuación diferencial (1.8) es estable si para todo є > 0 existe δ > 0, _δ = δ_ (є_) tal que: │x0 – x*│ < δ_ implica │u (t, x0) – x*│ <є, siendo x0 el valor que toma la solución u (t) en un instante t0.
Esto es
x'_ = f(x), u (t0)= X0
En otras palabras el punto de equilibrio x* de (1.8) es estable si toda solución u(t) de (1.8) que en el instante t0 toma un valor x0 suficientemente cercano a x*, permanece próximo a x* para todo t >t0.
Si además li1m u (t, x0) = x*, t-∞
Decimos que el equilibrio es asintóticamente estable. Los equilibrios que no son estables se llaman equilibrios inestables.
Esto es, un punto de equilibrio es estable si cuando una solución comienza cerca de este equilibrio, permanecerá siempre cerca de 'el.
De la misma manera, este equilibrio es asintóticamente estable si cuando una solución comienza cerca de este, entonces convergerá al equilibrio.
Determinar la estabilidad de un punto de equilibrio mediante esta definición puede ser complicado. Por ejemplo, puede ser que no sea posible hallar las soluciones explícitamente.
Definición 1.13. (Criterio de estabilidad para sistemas autónomos unidimensional). Sea x* un punto de equilibrio de 1 · 10. Entonces:

Si f_(x*) < 0, entonces x* es asintóticamente estable.
Si f_(x*) > 0, entonces x* es inestable.
Si f_(x*) = 0, el criterio no permite decidir.
1.5. Sistema de Ecuaciones Diferenciales Lineales De Primer Orden
Se estudia brevemente ecuaciones diferenciales simultáneas de primer orden en varias variables, es decir ecuaciones de la forma:

o también se puede escribir así:

Definición 1.14. Una solución de (1.9) consiste en n funciones xl(t), x2(t), · · ·, xn (t), tales que:

(1.9) se puede escribir así:

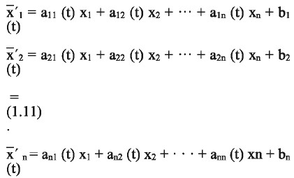
Donde las funciones aij (t), 1 ≤ i, j ≤ n; bi, 1≤i≤n, son continuas en un intervalo I.
En notación vectorial (1.11) se puede escribir como: x'_ =A (t) x + b (t)
Definición 1.15. Una solución del sistema (1.12) en un intervalo 1 es una función vectorial X (t) = (xl(t), x2(t), · · ·, xn (t)) T, definida y continuamente diferenciable en I, tal que para todo t Є I, satisface al sistema. x' _=A (t) x + b (t)
Definición 1.16. Si en x_ =A (t) x la función matricial A (t) es constante, entonces tenemos el sistema homogéneo con coeficientes constantes
(1.13)Teorema 1.2. Si λ0 es un valor propio de la matriz A y x0 es el vector propio asociado a λ0, entonces x (t) = eλ0tx0, t Є R, define una solución de (1.13)
Teorema 1.3. Si x =u+ iv es solución compleja de x' _ = A (t) x, donde u, v son funciones de valores reales, entonces u, v son soluciones de valores reales de x' _=A (t) x
1.5.1. Matriz Exponencial
Definición 1.17. Se denomina matriz fundamental del sistema lineal homogéneo x'_ = A (t) x a una matriz _ϕ (t) cuyas columnas son n soluciones linealmente independientes de x' _=A (t) x.
Definición 1.18. Para toda matriz A nxn, tomas las serie convergente.

1.6. Estabilidad de los Sistemas Lineales
Se reformula la definición (1·12), si x = ϕ (t) es una solución de la ecuación autónoma x' = f(x), x = ϕ (t) es estable si cualquier solución u(t) de dicha ecuación que comienza suficientemente cerca de ϕ( t) en t = 0 permanece cerca de ϕ(t) para todo momento t ≥ 0. Se tiene la siguiente definición.
Definición 1.19. Una solución ϕ (t) de la ecuación autónoma x'_ = f(x) es estable si dado є_ > 0 existe _δ > 0 tal que si u es otra solución para la cual se verifica ǁu (0) - ϕ(0)ǁ_<δ; entonces ǁ u (t) - ϕ(t)ǁ_ < є, para todo t.
En otras palabras, ϕ (t) es estable si cualquier otra solución u (t) que empieza suficientemente cerca de ϕ (O) en t = O, permanece cerca de ϕ (t), para todo instante posterior t.
Teorema 1.4.
a) Toda solución x = ϕ (t) de (1.16) es estable si todos
Los valores propios de A tienen parte real negativa.
b) Toda solución x = ϕ (t) de (1.16) es inestable si al menos un valor propio de A tienen parte real positiva.
1.7. Ecuaciones Diferenciales Ordinarias No Lineales
Definición 1.20. Una EDO no lineal de orden n se puede escribir así:
(1.20)Donde ai (x, y), i = 1, 2, · · ·, k son funciones reales.
Cualquier situación que se da en la Observación (1 · 1), hacen que una ecuación diferencial sea no lineal.
La siguiente ecuación es no lineal de primer orden

1.8. Sistema de Ecuaciones Diferenciales Ordinarias No Lineales
Definición 1.21. Un sistema de EDO no lineal es aquel que está compuesto por EDO no lineales.
El siguiente es un sistema no lineal.

En esta parte se verá brevemente los sistemas no lineales autónomos.
Se muestra cómo puede aproximarse un sistema no lineal en un punto de equilibrio por medio de un sistema lineal.
Estudiando la aproximación lineal, se puede predecir el comportamiento de las soluciones del sistema no lineal.
1.8.1. Linealizacion de un Sistema No Lineal
Consideramos la forma general de un sistema no lineal autónomo
(1.21)Se supone que (x0, y0) es un punto de equilibrio para este sistema. Nuestra preocupación es entender que sucede con las soluciones cerca de (x0, y0), para ello se tiene que lineal izar el sistema cerca de (x0, y0).
En (1.21) f y g son funciones continuas y diferenciables. Como (x0, y0) es un punto de equilibrio se tiene que:

El conjunto de puntos de equilibrio del sistema lo denotamos por C = {(x0, y0) Є R2/f(x0, y0)= g(x0, y0)= 0}
Nociones Biológicas
1.9. Sistema Inmunológico Humano
El sistema inmunológico es una red muy compleja de órganos, tejidos, células y sustancias químicas que nos protegen de las agresiones de bacterias, hongos, virus y parásitos
Además, es capaz de reconocer estos microorganismos y para ello debe coordinar muchos tipos de células y centenares de sustancias químicas. Por ello es muy complejo y, de hecho, todavía quedan muchos aspectos por descubrir acerca de su funcionamiento.
Entonces, las células y las moléculas responsables de la inmunidad forman el sistema inmune y la respuesta colectiva frente a sustancias extrañas se denominan respuesta inmune.
El sistema inmune puede subdividirse en dos grandes subsistemas: el sistema inmune innato y el sistema inmune adaptativo o adquirido.
1.9.1. El Sistema Inmune Innato
Comprende los mecanismos de defensa bioquímicos y celulares presentes incluso antes que se produzca la infección.
La inmunidad innata proporciona las primeras líneas de defensa frente a los microorganismos. Está compuesto por:
Barreras Físicas y Químicas: Como los epitelios y sustancias antimicrobianas producidas en su superficie.
Células Fagocitadas: (polimorfo nuclear neutrófilo, macrofrago) y células NK (natural killer).
Proteínas Sanguíneas: Como componentes del complemento y otros mediadores de inflamación.
Citoquinas: Proteínas que regulan y coordinan numerosas actividades de las células de la inmunidad innata.
1.9.2. El Sistema Inmune Adaptativo
Este tipo de inmunidad es estimulada por la exposición a agentes infecciosos y que aumentan en magnitud y capacidad de defensa con cada exposición sucesiva a un microorganismo determinado. Se produce como respuesta a la infección y se adapta a esta.
Las características que definen la inmunidad adaptativa son:
*) Una especificidad precisa.
*) Capacidad de recordar y responder con más intensidad a la exposición repetida a un mismo microorganismo.
*) Capacidad de reconocer y reaccionar frente a una gran número de sustancias microbianas y no microbianas.
Los componentes de la inmunidad adaptativa son los linfocitos y sus productos.
Las sustancias extrañas, que desencadenan respuestas inmunes, se llaman antígenas.
Las respuestas inmunes innata y adaptativa son componentes de un sistema integrado de defensa del huésped en el que numerosas células y moléculas funcionan en forma cooperativa. Los mecanismos de la inmunidad innata proporcionan una defensa eficaz frente a las infecciones. Sin embargo, muchos microorganismos patógenos han evolucionado hacia una resistencia a la inmunidad innata, de modo que su eliminación requiere los potentes mecanismos de la inmunidad adaptativa.
Existen dos tipos de respuestas inmunes adaptativas:
Inmunidad adaptativa humoral e inmunidad adaptativa celular
Inmunidad Humoral: Está formada por las células B, que producen anticuerpos. La inmunidad humoral es el principal mecanismo de defensa contra los microorganismos extracelulares y sus toxinas, ya que los anticuerpos sintetizados se unen a los microorganismos y sus toxinas y ayudan a eliminarlas.
Inmunidad Celular: Está formada por las células T. Los microorganismos intracelulares, como virus y algunas bacterias, sobreviven y proliferan en el interior de los fagocitos y otras células del huésped, donde no son alcanzados por los anticuerpos circulantes. La defensa frente a dichas infecciones es una función de la inmunidad celular.
Las células T efectoras son células T activadas, que quiere decir que han reconocido el antígeno de algún microorganismo, cuya función es eliminar el antígeno.
El inicio y el desarrollo de las respuestas inmunitarias adaptativas requieren que los antígenos sean capturados y expuestos a las células específicas
Las células que desempeñan esta función se llaman células presentadoras de antígenos (CPA).
Las CP A más especializadas son las células dendríticas, que capturan los antígenos microbianos que proceden del medio externo, los transportan a los órganos linfáticos y los presentan a las células T naive para iniciar las respuestas inmunes.
Las proteínas especializadas, también actúan presentando antígenos a las células T, estas proteínas especializadas son codificadas por genes presentes en un locus denominado complejo principal de histocompatibilidad (CPH).
Sabemos que la función fisiológica de las moléculas del CPH es la presentación de los péptidos a los linfocitos T.
1.10. Leucemia Mielógena Crónica.
La mayoría de los glóbulos de la sangre se forman a partir de células llamadas células madre en la médula ósea. La médula ósea es el material blando que está en el centro de la mayoría de los huesos.
Al madurar, las células madre se convierten en diferentes tipos de células sanguíneas. Cada tipo tiene una función especial.
Los glóbulos blancos, glóbulos rojos y plaquetas se forman de las células madre a medida que el cuerpo los necesita. Cuando las células envejecen o se dañan o mueren, células nuevas las reemplazan.
La figura 1 ·2 muestra como las células madre pueden madurar convirtiéndose en distintos tipos de glóbulos blancos.
Primero, una célula madre madura hasta convertirse en una célula madre mieloide o una célula madre linfoide.
*) Una célula madre mieloide se convierte en blastocito mieloide. El blastocito puede formar un glóbulo rojo, una plaqueta o uno de los varios tipos de glóbulos blancos, (neutrófilos, monocitos, basófilos, eosenofilos ).
*) Una célula madre linfoide se convierte en blastocito linfoide. El blastocito puede formar uno de los varios tipos de glóbulos blancos, como las células B (linfocitos B) o las células T (linfocitos T).

La mayoría de las células sanguíneas maduran en la médula ósea y luego pasan a los vasos sanguíneos. La sangre que fluye por los vasos sanguíneos y el corazón se llama sangre periférica.
1.10.1. Leucemia Mielógena Crónica (LMC)
Es un cáncer a la sangre. Se llama mielógena porque afecta a un tipo particular de célula madre llamado mieloblasto.
La leucemia crónica avanza lentamente y permite la proliferación de mayores cantidades de células desarrolladas. En la figura 1 ·5 se muestra la progresión en el tiempo de la LMC a través de tres fases: crónica, acelerada y aguda. Se indica que la figura 1 · 5 solamente es una ilustración del progreso de la LMC.
Las personas con LMC tal vez no tengan síntomas en la fase crónica, o los síntomas pueden presentarse antes del tratamiento debido a los cambios en los conteos de células sanguíneas o el aumento del tamaño del bazo.
No obstante, los síntomas de la fase crónica se resuelven rápidamente cuando las personas reciben el tratamiento. La terapia disminuye el conteo total de glóbulos blancos de las personas hasta niveles casi normales. La LMC, se produce por un cambio en el ADN de una célula madre en la médula.
El ADN modificado de la célula madre proporciona a la célula maligna (cancerosa) una ventaja en cuanto a la proliferación y supervivencia sobre la célula madre normal.
Esto es una mutación genética durante la producción de glóbulos blancos donde los cromosomas 9 y 22 se intercambian en un proceso llamado translocación
Uno de los cromosomas anormales (el 22) se le llama cromosoma Filadelfia y es la característica definitoria de la LMC, (hace la diferencia con las otras leucemias).
La ruptura en el cromosoma 9 fragmenta un gen denominado "ABL" (por Abelson, el primer científico que describió este gen).
La ruptura del cromosoma 22 involucra un gen denominado de región de fractura (BCR, por sus siglas de inglés). El gen ABL humano mutado se transloca al cromosoma 22 y se fusiona con la parte restante del gen BCR. Esta fusión entre BCR y ABL conduce a un gen de fusión anormal, denominado "BCR-ABL".
La función de un gen es dirigir la producción de una proteína en la célula. En la LMC, el gen ABL se fusiona al gen BCR, lo que provoca la producción de una proteína enzimática elongada denominada "Tirosina quinasa". Esta proteína elongada funciona de modo anormal y conduce a una regulación disfuncional de la multiplicación y la supervivencia de las células.
La proteína anormal que resulta el gen BCRABL mutante es responsable del desarrollo de la enfermedad.
II.-Ecuaciones diferenciales especiales y cinética enzimática especiales y cinética enzimática
2.1. Crecimiento Ilimitado de la Población.
Una ecuación elemental del crecimiento de una población se basa en la siguiente hipótesis: "La variación instantánea de una población es proporcional al tamaño de la población"
Note que la variación instantánea de una población sólo depende del tamaño de 'esta. En particular, las limitaciones de espacio o recursos no tienen efecto.
Sea P (t) la población de una especie dada en el instante t.

Como α_ > 0 predice que la población aumentara de manera exponencial todo el tiempo para varios valores de P0. En condiciones ideales, se ha observado que la ecuación (2.3) es razonablemente exacta para muchas poblaciones, al menos en periodos limitados. Sin embargo, es claro que tales condiciones iniciales no pueden continuar de manera indefinida, con el tiempo, las limitaciones del espacio, alimento disponible 'u otros recursos reducirán la rapidez de cambio y harán que se detenga el crecimiento exponencial ilimitado.
El modelo matemático, descrito, se llama Ley Malthusiana de Crecimiento de Población, pues fue formulada por el economista inglés Malthus en 1798.
2.2. Crecimiento Acotado de la Población
En general, no es razonable suponer el crecimiento de la población como el descrito por el Modelo de Malthus.
Es más realista introducir algún factor externo que suponga un freno en el crecimiento, como la limitación de recursos alimenticios, existencia de depredadores, etc.
En tal sentido, la velocidad de crecimiento de esta población tendrá un término constante que describirá el crecimiento inicial de la población, al igual que sucede en la Ley Malthusiana, y otro término negativo que frene el crecimiento de la población en forma proporcional al número de individuos existentes en la población.
Para ello, _ de la ecuación (2.1) se reemplaza por una función f(P) para obtener la ecuación modificada:
(2.5)

2.2.1. Solución de la Ecuación Logística
Aplicamos el método de separación de variables.
Una población de bacterias, P (t), crece en función del tiempo medido en horas, siguiendo una ley logística. Inicialmente el número de individuos es 100 y el máximo que puede soportar el medio es 105. Sabiendo que al final de la primera hora la población alcanza 120 individuos, calcular el número de individuos trascurridas 4 horas.
2.2.2. Análisis de la Ley Logística
Se halla las soluciones de equilibrio. =0
Entonces tenemos los puntos de equilibrio P = 0 y P = k. Las funciones constantes P(t) = 0 y P (t) = k son las soluciones de equilibrio.
También se puede notar que en el intervalo 0 < P < k/2 la función P _ es positiva, por tanto la pendiente de P_ (t) será creciente (función cóncava). Sin embargo, en el intervalo k/2 < P < k la función P_ es negativa, lo que quiere decir que la pendiente de P_(t) es decreciente (función convexa). Sin embargo en el intervalo k/2<P<K la función P (t) es negativa, lo que quiere decir que la pendiente de P (t) es decreciente (función convexa).
Con estos datos esbozamos la gráfica de (2.10).

2.3. Ecuación de Gompertz.
La ecuación que a continuación se considera fue propuesta por Benjamín Gompertz en 1825 para describir la mortalidad humana en edades adultas.
También describe con una excelente aproximación el crecimiento de tumores, que representa un problema de desarrollo de una población en un espacio confinado.
La idea fundamental de esta ecuación se basa en que la velocidad de crecimiento de la población disminuye de forma exponencial con el tiempo, o lo que es lo mismo, la mortalidad crece de forma exponencial con la edad.
Teniendo en cuenta este argumento, tenemos la ecuación:
(2.11)Con la condición inicial P(0) = P0 > 0
2.4. Cinética Enzimática
2.4.1. Cinética Química.
Antes de ocuparnos de la catálisis enzimática de las reacciones, se debe esbozarse algunas relaciones y términos empleados para la medición y expresiones de las velocidades de las reacciones químicas
Las reacciones químicas pueden clasificarse, sobre una base cinética, por el orden de reacción. Tendremos de esta manera, reacciones de orden cero, de primer orden, de segundo orden y de tercer orden, según como resulte influida la velocidad de reacción por la concentración de los reaccionantes bajo un conjunto de condiciones determinado y siguiendo la Ley de Acción de Masas para las reacciones químicas.
2.4.2. Cinética Enzimática. Ecuación de Michaelis-Menten
Definición 2.2. La cinética enzimática estudia la velocidad de las reacciones químicas que son catalizadas por enzimas.
El estudio de la cinética y de la dinámica química de una enzima permite explicar los detalles de su mecanismo catalítico, su papel en el metabolismo, como es controlada su actividad en la célula y como puede ser inhibida su actividad por fármacos o venenos o potenciada por otro tipo de moléculas.
Las reacciones bioquímicas son llevadas a cabo en todos los organismos vivos y la mayoría de ellas implican proteínas llamadas enzimas, que actúan como catalizadores extraordinarios.
Las enzimas reaccionan relativamente sobre los compuestos definidos llamados sustratos.
Por ejemplo, la hemoglobina en los glóbulos rojos es una enzima y el oxígeno, con la que se combina, es un sustrato. Las enzimas son importantes en la regularización de los procesos biológicos, ya sea como activadores o inhibidores en una reacción.
La velocidad de una reacción catalizada (v0) nos indica la cantidad de sustrato consumido, o producto formado, por unidad de tiempo.
En el sistema internacional se designa por "U" (unidad de actividad enzimática) y corresponde a los μ moles de sustrato consumidos en 1 minuto, o bien a los μ moles de productos formado en 1 minuto U=μ mol S/min = μmolP/minkm es la concentración de sustrato para la cual la velocidad de reacción es la mitad de la velocidad máxima.
El valor de km da idea de la afinidad de la enzima por el sustrato.
A menor km, mayor afinidad de la enzima por el sustrato.
2.5. Análisis Compartimental.
Muchos procesos físicos, químicos, biológicos pueden ser analizados matemáticamente a través de lo que se denomina Análisis Compartimenta!. Este se basa en la descomposición de un proceso o fenómeno en un número finito de partes llamadas compartimientos que interactúan entre sí a través de flujo. El flujo puede consistir en transmisiones de particulares sustancias químicas, individuos de una población, etc.
Resultados
III. - Análisis del comportamiento matemático de las células t en la leucemia mielogena crónica (lmc)
3.1. Activación de las Células T.
- El proceso de diferenciación es aquel en el cual las células madres crean células funcionales de una sola línea de células sanguíneas
El proceso de diferenciación de células madre forma glóbulos rojos, plaquetas, neutrófilos, monocitos, eosinofelos, basófilos y linfocitos.
Las células T naive reconocen antígenos y se activan en los tejidos linfáticos periféricos, lo que provoca la expansión de la reserva de células específicas de ese antígeno y su diferenciación en células efectores y de memoria.
Las células T efectoras reconocen a los antígenos en los tejidos linfáticos o en tejidos periféricos no linfáticos, donde se activan para realizar sus funciones efectoras.

Las células T efectoras son capaces de migrar a cualquier foco infeccioso o inflamatorio.
En este estudio se considera dos poblaciones de células T. Las células T naive que aún no son especificas a LMC y las células T efectoras que son especificas T efectoras que son específicas para LMC.
Todas las observaciones están hechas en el sistema circulatorio sanguíneo, ya que es la intención vincular lo más estrechamente posible con los datos disponibles de la muestra de sangre.
Se incluye un término fuente para las nuevas células T que entran a la circulación de la sangre de otros compartimientos (como la médula ósea, ganglios linfáticos y el timo), se incluye también, la entrada de células LMC de fuera de la sangre, en el plazo de crecimiento de LMC.
Se supone también que la concentración de células T en el torrente sanguíneo es proporcional a la concentración de células T en otros compartimientos Así también se asume que las CPA (Células Presentadora de Antígenos) con el antígeno de células LMC están presentes en proporción al número de las propias células cancerosas de LMC. Por lo tanto en este estudio se usa la población de células LMC con una constante de proporcionalidad para representar los números de CPA del antígeno LMC.
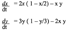
3.2. Obtención del Sistema de Ecuaciones
Sea t el tiempo medido en días. Se considera las siguientes poblaciones de células en el sistema sanguíneo, medido como concentración de células por μl (micro litros).
1 micro litro, μl =10-6=1 milímetro cubico (mm3)
Tn = Células T naive
Te = Células T efectoras, específicas para LMC
C = Células cancerígenas de LMC
Cada una de estas tres poblaciones de células es una forma del tiempo t. La población de células T naive, son aquellas que no han sido expuestas a CPA, o aún no han sido expuestas a CMH.
3.3. Simplificación del Sistema de Ecuaciones.
Haciendo un cambio de variables, reducimos el número de parámetros de 12 a 8. Las poblaciones y el tiempo se reajustaran de la siguiente manera:
Tn es rescalado al multiplicarlo por un factor Te es rescalado al multiplicarlo por un factor de re / dn, C es rescalado por rc/dn , y t es rescalado por un factor dn.
3.4. Soluciones de Equilibrio
Para hallar las soluciones de equilibrio igualamos a cero cada una de las tres ecuaciones diferenciales simplificadas y resolvemos para Tn, Te, y C.
Primero consideramos las soluciones (o solución) de equilibrio para el cual C = 0. En este caso en la ecuación (3.8), tenemos Tn = 1 y en la ecuación (3.9) se tiene que Te = 0. Note que no existen otras soluciones de equilibrio para el cual C =0. Luego tenemos P1 = (1, 0, 0) la solución de equilibrio trivial.
3.5. Linealizacion del Sistema.
Para determinar el comportamiento de las poblaciones de células cerca de cada una de las soluciones de equilibrio, se necesita lineal izar el sistema, la matriz Jacobiana del sistema. Luego para el sistema ((3.8) - (3.10))
Conclusiones
Se construye un sistema de ecuaciones diferenciales ordinarias no lineales que muestran la interacción de las células T del sistema inmunológico humano con aquellas de leucemia mielógena crónica.
Se encontraron puntos de equilibrio del sistema con el uso del software Matlab.
Se determinó la estabilidad de los puntos de equilibrio hallados a través del cálculo de los autos valores del sistema linealizado.
La tasa de crecimiento de la LMC, rc y la tasa de muerte natural, de son los más importantes en la estabilidad del sistema de ecuaciones diferenciales.
Recomendaciones
Llegar a conclusiones clínicas en el control de la LMC al reemplazar los parámetros con datos obtenidos de pacientes en la región o en el País. Identificar otros parámetros para el estudio de la estabilidad.
Hacer un estudio clínico de aumentar el parámetro de sin hacer ningún aumento de los parámetros dn o de.
Referencias
Abbas, K; Lichtman, A. (2002). Inmunología celular y molecular. Oxford University.
Borrelli, R; Coleman, C. (2010) Differential Equations: A
Modeling Perspective. Elsevier, 2004 edición en español.
Boyece, W; Diprima, R. Ecuaciones Diferenciales. Limusa Wiley.
Braun, M. (1976). Ecuaciones Diferenciales y sus Aplicaciones. Grupo Editorial Iberoamericana.
Bristol, M, Leukemia L, Society, F. Blood Cancers. Christensen, H; Palmer, G. (1980). Cinetica Enzimática. Editorial Reverte.
Edwards C; Penney, E. (2008). Differential Equations and Boundary Value Problems: Computing and Modeling. Cuarta Edición. Prentice Hall.
Edelstein, L. (2005). Mathematical Models in Biology. By The Society for Industrial and Applied Mathematics.
Istas, J. (2005).Mathematical Modeling for the life Sciences. Editorial Springer
Neiman, B. (2000). A Mathematical Models of Chronic Myelogenous Leukemia. Oxford University
Mohri, P; Tung, K. (2003). Increased Turnover of T Lymphocytes in HIV-1 Infection and its Reduction by Antiretroviral Therapy. Journal Theoretical Biology, Elsevier.
Moore, H, Natasha, K. (2003). A Mathematical Models of Chronic Myelogenous Leukemia and T Cell Journal Theoretical Biology, Elsevier.
Verhulst, F. (1990). Nonlinear Differential Equations and Dynamical Systems. Editorial Springer
Notas de autor