Resumen: Objetivos: la valoración de la tolerancia al ejercicio es clave para prescribir ejercicio en candidatos a cirugía bariátrica. El test de lanzadera (TL) se ha propuesto para este objetivo. Sin embargo, la evidencia que describe el rendimiento y respuesta fisiológica asociados a esta prueba en dicha población es escasa. El objetivo de este estudio fue describir la respuesta fisiológica a la realización del TL en candidatos a cirugía bariátrica. Métodos: este estudio transversal incluyó a 56 participantes. Se midieron factores antropométricos como la edad, peso, estatura y circunferencia de cintura, así como el nivel de actividad física espontáneo. Se valoró el rendimiento en el TL en metros, la respuesta fisiológica asociada en términos de frecuencia cardiaca de reserva (FCR) utilizada, presión arterial sistólica y diastólica, oximetría de pulso, sensación subjetiva al esfuerzo (SSE) y de fatiga de extremidades inferiores, antes y después del TL. Resultados: todos los participantes completaron la prueba sin complicaciones. Caminaron una mediana de 465 metros, equivalente al 61% de la distancia esperada. Utilizaron un 56% de la FCR, mientras que la SSE y fatiga de extremidades inferiores alcanzó valores 7/10 y 6/10 respectivamente. Fueron observadas asociaciones significativas entre el rendimiento en el TL vs factores antropométricos e indicadores de respuesta fisiológica. Conclusión: el TL es una prueba segura para valorar la tolerancia al esfuerzo en candidatos a cirugía bariátrica, la cual induce respuestas fisiológicas asociadas a intensidades moderadas. Se sugiere incluir esta prueba para la valoración de la condición física de estos sujetos.
Palabras clave: Cirugía bariátrica, Test de esfuerzo, Esfuerzo físico.
Abstract: Objective: Exercise tolerance measurement is key for exercise prescription in bariatric surgery candidates. Thus, the incremental shuttle walking test (ISWT) has been proposed as a useful tool for this purpose. However, reports describing the performance, and related physiological response, in candidates to bariatric surgery are scarce. Therefore, the aim of this study was to describe the physiological response of bariatric surgery candidates to the ISWT. Methods: This cross-sectional study included 56 participants. Anthropometric factors such as age, weight, height, and waist circumference were measured, as well as their spontaneous physical activity levels. Their ISWT performance was recorded, as well as the percentage of heart rate reserve used during the test, systolic and diastolic pressure, pulse oximetry, perceived exertion scale, and lower extremities fatigue, both before and after the ISWT. Results: All participants completed the test without complications. They walked a median of 465 meters, 61% of the expected distance. Heart rate reserve utilization reached 56%, while the perceived exertion rate and lower extremities fatigue reached 7/10 and 6/10, respectively. Moreover, significant associations between the ISWT performance vs anthropometric factors and physiological response outcomes were found. Conclusion: The ISWT is a safe and useful tool to assess exercise tolerance in bariatric surgery candidates, which induces physiological responses associated to moderate effort intensities. We suggest including the ISWT when assessing the physical performance of bariatric surgery candidates.
Keywords: Bariatric surgery, Exercise test, Physical exertion.
Resumo: Objetivo: A medida da tolerância ao exercício é fundamental para a prescrição do exercício em candidatos à cirurgia bariátrica. Assim, o teste incremental de caminhada em vaivém (ISWT) tem sido proposto como uma ferramenta útil para este fim. No entanto, são escassos os relatos que descrevem o desempenho e a resposta fisiológica relacionada em candidatos à cirurgia bariátrica. Portanto, o objetivo deste estudo foi describir a resposta fisiológica do ISWT em candidatos à cirurgia bariátrica. Métodos: Este estudo transversal incluiu 56 participantes. Fatores antropométricos como idade, peso, altura, circunferência da cintura foram medidos, assim como os níveis de atividade física espontânea. O desempenho do ISWT foi registrado, assim como a porcentagem de reserva de frequência cardíaca utilizada durante o teste, pressão sistólica e diastólica, oximetria de pulso, escala de esforço percebido e fadiga de membros inferiores, tanto antes quanto após o ISWT. Resultados: Todos os participantes completaram o teste sem intercorrências. Eles caminharam uma mediana de 465 metros, o equivalente a 61% da distância esperada. A utilização de reserva de frequência cardíaca atingiu 56%, enquanto a taxa de esforço percebido e fadiga de membros inferiores atingiram 7/10 e 6/10, respectivamente. Além disso, foram encontradas associações significativas entre o desempenho do ISWT versus fatores antropométricos e os resultados da resposta fisiológica. Conclusão: O ISWT é uma ferramenta segura e útil para avaliar a tolerância ao exercício em candidatos à cirurgia bariátrica, que induz respostas fisiológicas associadas a intensidades moderadas de esforço. Sugerimos incluir o ISWT para avaliar o desempenho físico dos candidatos à cirurgia bariátrica.
Palavras-chave: Cirurgia bariátrica, Teste de esforço, Esforço físico.
Investigación
Respuesta fisiológica al test de lanzadera en pacientes candidatos a cirugía bariátrica
Physiologic response to the incremental shuttle walk test in candidates to undergo bariatric surgery
Resposta fisiológica ao teste incremental de caminhada em candidatos a cirurgia bariátrica
Recepción: 11 Junio 2021
Aprobación: 09 Septiembre 2022
La prevalencia de la obesidad, tanto en Chile como a nivel mundial, se ha incrementado exponencialmente en las últimas décadas (Petermann-Rocha et al., 2020). Esto ha traído consigo el desarrollo de enfermedades y disfunciones metabólicas (e. g. dislipidemia, diabetes tipo 2) que impactan directamente en la calidad de vida de la población (Han & Lean, 2016). Por esto, se han desarrollado diversas estrategias terapéuticas tanto para prevenir como tratar dichas alteraciones. En tal contexto, la cirugía bariátrica (CB) es conocida como una de las estrategias más exitosas para la disminución de peso corporal en obesidad (Herrera, 2017; Zakeri & Batterham, 2018). Sin embargo, considerando los acelerados cambios físicos que este procedimiento conlleva, es necesaria una cuidadosa planificación y preparación tanto psicológica, nutricional y física del candidato/a (Cofre-Lizama et al., 2017). Particularmente, desde un punto de vista físico, es conocido el efecto nocivo que tiene la obesidad sobre la tolerancia al esfuerzo (Martin et al., 2012), por lo que su medición es clave durante la etapa pre-quirúrgica para poder diseñar programas de ejercicio físico personalizados (Cancino-Ramirez et al., 2019). Al respecto, existen mediciones conocidas como gold-standard que involucran la ejecución de pruebas de esfuerzo máximo hasta la fatiga, con la medición directa de gases espirados para detectar el consumo máximo (VO.max) o peak (VO.peak) de oxígeno (Pallarés & Morán, 2012). Sin embargo, estas pruebas requieren de instrumentación de alto costo, lo que dificulta su replicabilidad en los diferentes centros asistenciales.
Por dicha razón, se han desarrollado pruebas de esfuerzo submáximo como herramientas alternativas para la valoración de la tolerancia al esfuerzo físico en un ambiente clínico (Noonan & Dean, 2000). Es así como, en candidatos a CB se han utilizado pruebas basadas en marcha, limitadas tanto por tiempo (test de marcha en 6 minutos-TM6’) (Terra et al., 2017) como por distancia (test de marcha en 400 metros) (King et al., 2012). Sin embargo, estas pruebas tienen la condicionante de que la velocidad de marcha es impuesta por el paciente, por lo cual los participantes pueden llegar a una meseta de esfuerzo y mantenerlo durante la prueba más que esforzarse de manera gradual a modo de tener una valoración fidedigna de su rendimiento aeróbico. Este control sobre la intensidad de la prueba podría llevar a esfuerzos físicos menores por parte de la persona inducidos, dada principalmente, por la sensación de fatiga asociado a este tipo de test (Oliver et al., 2015). Como alternativa a lo planteado, existe el test de lanzadera (TL), el cual también se define como una prueba submáxima (Peixoto-Souza et al., 2015). Sin embargo, regula la velocidad de marcha de los participantes mediante estímulos auditivos que indican los momentos en que debe alcanzar los extremos de un pasillo de 10 metros de longitud, disminuyendo progresivamente el tiempo entre cada estímulo. Por tanto, el sujeto se ve obligado a aumentar su velocidad de marcha durante la prueba. Estas diferencias fueron evidenciadas por Oliver et al. (2015) quienes, al comparar el consumo de oxígeno y producción de dióxido de carbono entre el TL y el TM6’ en personas obesas y candidatas a CB, observaron que, al realizar la primera, los participantes registraban valores de consumo peak de oxígeno significativamente más alto que al realizar el TM6’. De manera similar, los volúmenes espirados de dióxido de carbono eran significativamente más altos que al realizar el TM6’ (Oliver et al., 2015). Por lo observado, los autores concluyeron que el TL provocaba un estrés metabólico y ventilatorio más elevado que las pruebas en que el paciente puede controlar el ritmo marcha. No obstante, el tamaño de muestra de este estudio fue baja (n=15), por lo que no es posible extrapolar sus resultados a nuestro escenario local.
Por tanto, y en complemento con la escasez de investigaciones enfocadas a estudiar el uso del TL en candidatos a CB, el objetivo de este estudio fue describir el rendimiento y respuesta fisiológica a la realización de esta prueba submáxima en estos pacientes.
El presente es un estudio observacional, analítico, de corte transversal. Fueron incluidas personas mayores de 18 años, ingresados al programa de rehabilitación/preparación previa a CB de la Clínica Alemana de Valdivia, entre enero y diciembre del año 2019. Fueron excluidos pacientes con contraindicación médica para realizar ejercicio físico.
Este estudio respetó los principios presentes en la Declaración de Helsinski y fue revisado y aprobado por el Comité de Ética Científico del Servicio de Salud Valdivia (Código: 170/2021).
Al ingresar al estudio, se registró la edad en años y el sexo de los participantes; variables antropométricas como peso en kilogramos y estatura en metros, utilizando una balanza (SECA®) y un tallímetro (SECA®). A partir de estas medidas fue calculado el índice de masa corporal (IMC) en kilogramos/metros2. Para el cálculo del índice de cintura-estatura (ICE), el perímetro de cintura fue medido en centímetros, utilizando como punto de referencia la zona del ombligo (Palacio et al., 2019). La presencia/ausencia de factores de riesgo cardiovascular fueron valorados según los criterios planteados por la American College of Sport Medicine. En tal sentido, fueron considerados: la edad (hombre < 45 años, mujer < 55 años), historia familiar de enfermedad cardiovascular prematura en primer grado (hombres <5 5 años y mujeres < 65 años), tabaquismo, sedentarismo, obesidad, hipertensión arterial, dislipidemia y prediabetes (American College of Sports Medicine [ACSM], 2017). Además, el nivel de actividad física fue medido a través del cuestionario International Physical Activity Questionnaire (IPAQ) en su versión breve (Lee et al., 2011).
El TL se aplicó siguiendo los protocolos propuestos por la European Respiratory Society y la American Thoracic Society (Singh et al., 2014). Antes de iniciar la prueba, los participantes permanecieron en sedestación durante 10 minutos, periodo en el cual se registraron en reposo el pulso cardiaco, la sensación subjetiva de esfuerzo (SSE), la sensación de fatiga de extremidades inferiores (EEII), ambos con la Escala de Borg modificada (Borg, 1982), presión arterial y la oximetría de pulso. Una vez realizadas estas mediciones se inició el TL. Es así como, en un pasillo plano y recto de 10 metros separados por 2 conos, se solicitó al paciente caminar de un extremo a otro, aumentando la velocidad de forma gradual, la cual fue guiada por estímulos auditivos los cuales dictaron una velocidad de marcha inicial de 0,5 m/s que aumentó en 0,17 m/s cada minuto. Cuando el paciente indicó que ya no pudo seguir el ritmo impuesto por estímulo auditivo o si era incapaz de alcanzar uno de los extremos del pasillo por segunda vez consecutiva según la velocidad requerida por la prueba, ésta se dio por finalizada (Probst et al., 2012). Durante la ejecución del test, los participantes siempre fueron supervisados y guiados por un fisioterapeuta. Al finalizar la prueba se registró la distancia recorrida en metros, la frecuencia cardiaca, presión arterial, la SSE, sensación de fatiga de EEII y la oximetría de pulso final. El porcentaje de frecuencia de reserva utilizado durante la prueba fue calculado con la fórmula de Karvonen (Karvonen et al., 1957), la que depende de las frecuencias cardiacas en reposo, post-test y máxima, calculada según la fórmula de Tanaka et al. (2001). Además, se comparó la distancia recorrida en el TL con la distancia predicha para cada persona, utilizando la fórmula de predicción de Probst et al. (2012).
Las variables cuantitativas fueron expresadas en mediana y rango intercuartílico, mientras que las variables cualitativas fueron descritas en términos de frecuencias absolutas. La normalidad de la distribución de los datos fue calculada a través de la prueba Kolmogorov-Smirnov. Por tanto, para comparar los parámetros de respuesta fisiológica, antes y después del TL, se utilizó el test de Wilcoxon, mientras que, para verificar posibles asociaciones entre las variables de interés, se utilizó el índice de correlación de Spearman. Para todos los análisis se consideró un valor p igual o menor a 0,05 como estadísticamente significativo.
En este estudio participaron 56 candidatos a CB. Las características generales de la muestra están descritas en la Tabla 1. En ella destaca que el grupo fue compuesto mayoritariamente por mujeres con una mediana de IMC de 35,4 kg/m2 y un índice cintura-estatura de 0,68. Cabe destacar que sólo pudimos contar con la medición de perímetros de cintura de 33 participantes. En términos de la presencia de factores de riesgo cardiovascular, destacan la alta prevalencia de sedentarismo dentro de los participantes (Tabla 2).

Abreviación: IPAQ: International Physical Activity Questionnaire.

En términos del rendimiento durante el TL (Tabla 3), los participantes recorrieron una mediana de 465 metros, correspondiente a un 61% de la distancia predicha según fórmula de predicción. A su vez, en su respuesta fisiológica se observaron ascensos significativos en la presión arterial sistólica (PAS), frecuencia cardiaca (FC) (correspondiente a una utilización de un 56% de la reserva), además de aumentos de la SSE y sensación de fatiga en EEII. Además, tanto la PAD como la oximetría de pulso se mantuvieron estables (Tabla 3).

*: indica diferencias estadísticamente significativas (p<0,05) entre valores pre y post-TL.
Abreviaciones: TL: test de lanzadera; PAS: presión arterial sistólica; PAD: presión arterial diastólica; PC: pulso cardiaco; FCR: frecuencia cardiaca de reserva; SpO2: oximetría de pulso; EEII: extremidades inferiores; SSE: sensación subjetiva de esfuerzo.
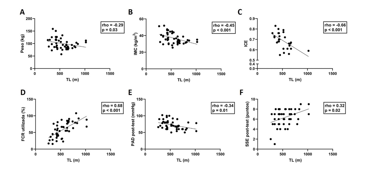
En relación al peso corporal, IMC e ICE estuvieron negativamente asociadas con el rendimiento en el TL (Figura 1, A-C). Respecto a los factores asociados a la respuesta fisiológica a la ejecución de la prueba, como era esperable, tanto el porcentaje de FCR utilizada como la SSE post-prueba estuvieron positivamente asociados con el rendimiento en el TL, mientras que la PAD mostró una asociación negativa (Figura 1, D-F).

El presente estudio tuvo por objetivo investigar el rendimiento y respuesta fisiológica en la realización del TL en candidatos a CB encontrando como principal hallazgo que todos los participantes del estudio fueron capaces de completar la prueba sin mayores inconvenientes ni descompensaciones. Además, se observó que el rendimiento logrado es levemente mayor a la mitad de lo predicho para personas sanas y la respuesta fisiológica asociada a la ejecución de la prueba evidenció un esfuerzo físico moderado a alto. A su vez, el rendimiento en esta prueba estuvo asociado a factores antropométricos y, como era esperable, a indicadores de respuesta cardiovascular y subjetiva de esfuerzo.
El TL tradicionalmente ha sido propuesto como una herramienta para valorar la tolerancia al esfuerzo en personas con disfunciones ventilatorias crónicas (Singh et al., 2014) como una alternativa a otras pruebas en las cuales los usuarios imponen la intensidad del esfuerzo realizado, como en test de marcha en 6 minutos (Baeza-Barría et al., 2014). Sin embargo, considerando sus altos niveles de confiabilidad y validez (respecto al consumo de oxígeno comparado con una prueba progresiva hasta la fatiga) (Singh et al., 2014), se ha propuesto su uso para valorar la tolerancia al esfuerzo en otras poblaciones, tales como en personas con obesidad (Crowe et al., 2015; Peixoto-Souza et al., 2015). Es así como Jürgensen et al. (2015) investigaron la relación del rendimiento en el TL con el consumo peak de oxígeno (VO2peak) obtenido a través de una prueba cardiopulmonar con analizador de gases espirados en mujeres jóvenes con obesidad. Ellos observaron en una muestra de características similares a la nuestra en términos de edad e IMC, rendimientos (454 vs 465 metros en nuestro estudio) y respuestas fisiológicas (61% vs 56% de la FCR) similares. Además, los rendimientos en el TL se correlacionaron fuertemente con el VO2peak e incluso observaron que la edad en conjunto con el rendimiento en el TL explicó un 67% de la variabilidad del VO2peak (Jürgensen et al., 2016). Complementariamente, este mismo grupo de investigación observó que el TL tiene altos niveles de confiabilidad test-retest (ICC: 0,90), similares a los observados en pruebas cardiopulmonares de laboratorio (Jürgensen et al., 2015). Por tanto, es posible plantear que el TL es una prueba aplicable en candidatos a CB.
En términos de la respuesta fisiológica observada tras la realización de esta prueba, se observó que estaba asociada a esfuerzos moderados a altos, reflejados en la utilización de más de la mitad de reserva de FC, elevaciones de PAS y de los puntajes en la sensación subjetiva de esfuerzo, tanto general como localizada en miembros inferiores. Sin embargo, no se observaron grandes descensos en la oximetría de pulso tras la ejecución en la prueba, a pesar de las conocidas alteraciones ventilatorias que se asocian a obesidad, tales como el desplazamiento craneal del diafragma y disminución de la relación ventilación/perfusión en las bases pulmonares (Grassi et al., 2020). En tal sentido, el TL sería una prueba segura de aplicar, incluso en poblaciones con alteraciones ventilatorias francas, tales como las personas con apnea obstructiva del sueño (AOS). Es así como Billings et al. (2013) observaron que tras la aplicación de esta prueba en pacientes con diferentes grados de AOS, todos ellos fueron capaces de finalizar la prueba sin mayores inconvenientes con respuestas fisiológicas similares, pero con rendimientos más bajos que los observados en este estudio (~400 metros) (Billings et al., 2013), lo cual indicaría que el TL es sensible en detectar diferencias de tolerancia al esfuerzo según niveles físico-funcionales de los ejecutantes.
Desde el punto de vista cardiovascular, observamos que el TL no llevó a un esfuerzo máximo (cercano al 100% de la FC máxima) a los participantes, como se ha observado tras la ejecución de pruebas cardiopulmonares (Jürgensen et al., 2016); resultados que refuerzan la naturaleza submáxima de este test. Interesantemente, observamos un comportamiento inverso entre la PAS y la PAD, en donde la primera aumentó y la segunda disminuyó posterior a la ejecución de la prueba, respuestas adecuadas a la realización de un esfuerzo físico dirigidas por el esperado aumento del gasto cardiaco y la reducción compensatoria de la resistencia vascular periférica (Palatini, 1988). Esta mantención de la función cardiovascular pudiese estar explicada por la mediana de edad, grado de obesidad del mismo y la baja prevalencia de hipertensión en nuestro grupo de estudio. Resultados similares fueron observados por Itagi et al. (2020) tras la aplicación del protocolo de Bruce modificado en sujetos obesos de similares características a nuestro grupo. Sin embargo, esto tiene una dependencia cercana con la severidad de obesidad observada en los individuos, ya que en personas con obesidad severa o mórbida sí se han descrito alteraciones importantes en el control de la presión arterial, tanto en reposo como en la realización de ejercicio físico (Ben-Dov et al., 2000), cambios que tendrían como mecanismo el desarrollo de disfunción autonómica derivada de las alteraciones metabólicas asociadas a la obesidad (Ezquerra et al., 2008), por lo que la recomendación es realizar una valoración de la función cardiovascular de cada candidato a CB, tanto previo como posterior a la ejecución de una prueba de tolerancia al esfuerzo, como el TL.
Como limitaciones de este estudio, se destaca que la muestra fue obtenida por conveniencia, lo cual limita la extrapolación de estos datos a la totalidad de la población de candidatos a CB. Otro factor que potencia lo anterior, es la naturaleza unicéntrica de nuestro estudio, lo cual invita a futuros estudios en el área a considerar diseños multicéntricos. Además, aquí se aplicó la herramienta en sólo una oportunidad (al inicio de su proceso de intervención), lo cual evita la posibilidad de calcular niveles de confiabilidad test-retest. Complementariamente, futuros estudios debiesen incluir la aplicación de la prueba en diferentes etapas del manejo del paciente bariátrico (por ejemplo: pre-cirugía, post-cirugía, seguimiento post-quirúrgico) para así determinar la capacidad de detectar cambios de esta herramienta respecto a los conocidos cambios físico-funcionales que se generan después de la CB.
En el presente estudio, se observó que el TL es una herramienta aplicable en candidatos a CB, quienes son capaces de realizar y finalizar la prueba sin inconvenientes ni eventos adversos. La respuesta fisiológica asociada a la ejecución de este test refleja un esfuerzo físico de intensidades moderadas, sin embargo, están alejadas de un estrés cardiovascular máximo. Por tanto, se propone como una alternativa para valorar la tolerancia al esfuerzo en estos usuarios, debido a que presumimos que, por la naturaleza de esta prueba, en donde las intensidades de esfuerzo son impuestas de manera externa, evocan adaptaciones fisiológicas superiores a los descritos por otras pruebas como el test de marcha en seis minutos en poblaciones similares. Futuros estudios debieran enfocarse a investigar la utilidad de la aplicación sistemática de esta herramienta durante todo el proceso de intervención en estos pacientes.
Cómo citar: Kalazich-Rosales, M., Mautner-Molina, C., Fuentes-Leal, F., Cárcamo-Ibaceta, C., Martínez-Huenchullán, S. (2022). Respuesta fisiológica al test de lanzadera en pacientes candidatos a cirugía bariátrica. Revista Ciencias de la Actividad Física UCM, 23(2), julio-diciembre, 1-12. https://doi.org/10.29035/rcaf.23.2.8

Abreviación: IPAQ: International Physical Activity Questionnaire.


*: indica diferencias estadísticamente significativas (p<0,05) entre valores pre y post-TL.
Abreviaciones: TL: test de lanzadera; PAS: presión arterial sistólica; PAD: presión arterial diastólica; PC: pulso cardiaco; FCR: frecuencia cardiaca de reserva; SpO2: oximetría de pulso; EEII: extremidades inferiores; SSE: sensación subjetiva de esfuerzo.
