Costos indirectos de transporte en el proceso de cruce fronterizo: El comercio entre Estados Unidos y México
Indirect Transportation Cost in the border crossing process: The United States-Mexico trade
Costos indirectos de transporte en el proceso de cruce fronterizo: El comercio entre Estados Unidos y México
Estudios Fronterizos, vol. 17, núm. 33, 2016
Universidad Autónoma de Baja California
Recepción: 07 Noviembre 2014
Aprobación: 30 Julio 2015
Resumen: Se implementó un Modelo de Equilibrio General Computable para estimar los costos indirectos de transporte (CIT) del comercio bilateral en la frontera entre México y Estados Unidos utilizando como base de datos una Matriz de Contabilidad Social. Aquí se asume un esquema de transporte tipo "iceberg" para determinar los costos a afrontar, resultantes del proceso de cruce fronterizo por los puntos de entrada existentes entre ambos países. El período estudiado incluye datos anuales desde 1995 hasta 2009, permitiendo analizar las tendencias de estos costos a la luz de la liberalización comercial experimentada. Los resultados muestran que los CIT han experimentado una disminución de 12% durante este período.
Palabras clave: costos indirectos de transporte (CIT), Modelo EGC, comercio bilateral entre Estados Unidos y México, proceso de cruce fronterizo.
Abstract: Using a Social Accounting Matrix as database, a Computable General Equilibrium model is implemented in order to estimate the Indirect Transportations Costs (ITC) present in the border crossing for the U.S.-Mexico bilateral trade. Here, an “iceberg-type” transportation function is assumed to determine the amount of loss that must be faced as a result of border crossing process through the ports of entry existing between the two countries. The study period covers annual data from 1995 to 2009 allowing the analysis of the trend of these costs considering the trade liberalisation that is experienced. Results show that the ITC have experienced a decrease of 12% during the period.
Keywords: indirect transportation cost, CGE model, U.S-Mexico bilateral trade, economic integration, border crossing process.
Introducción
Existe una amplia literatura que destaca el importante papel que la apertura del comercio puede tener en la mejora del desempeño económico y las tasas de crecimiento (Edwards, 1993; Dornbusch, 1992; Frankel y Romer, 1999; Krueger, 1998). Por lo tanto, la política de facilitación del comercio puede mejorar los flujos económicos a través de las fronteras, siendo también el costo de transporte un aspecto importante del flujo comercial.
Los costos económicos y los beneficios de la facilitación del comercio han sido ampliamente estudiados por organizaciones intergubernamentales; en particular, la Organización para la Cooperación y el Desarrollo Económico (OCDE) ha brindado un aporte importante a través de su investigación de las ganancias de bienestar en la reducción multilateral de los aranceles (OCDE, 2003), mediante la evaluación del impacto económico de la facilitación (OCDE, 2009).
El presente documento se centra en los costos indirectos de transporte (CIT) del comercio entre Estados Unidos y México. Un aspecto importante desde la creación del Tratado de Libre Comercio de América del Norte (TLCAN) ha sido la forma en que este tratado puede facilitar el flujo de bienes y servicios, pues el comercio trilateral entre los socios del TLCAN se ha triplicado desde que el acuerdo entró en vigor, alcanzando un umbral de 1 billón de dólares en 2011 (Villarreal y Ferguson, 2014). El comercio entre Estados Unidos y México contribuyó en 49% al aumento en el comercio intra-TLCAN. Entre 1993 y 2012, el comercio total de Estados Unidos con México aumentó 506%; en comparación, el comercio de Estados Unidos con Canadá aumentó 192%.
La evaluación de los CIT representa un tema económicamente relevante dado que 80% del comercio entre Estados Unidos y México se realiza por transporte terrestre. Este hecho en sí implica cierta fricción, principalmente por la burocracia en la frontera, que retrasa el movimiento de carga y, por las limitaciones físicas de los puntos de entrada.
Los CIT pueden definirse como el promedio de costos extra del proceso de exportación en el comercio de bienes o servicios. Estos costos devienen de las pérdidas resultantes de las condiciones físicas de los modos de transporte, la distancia entre el lugar de producción y el mercado donde el producto será consumido, errores al cargar o descargar el producto y demoras causadas por los requerimientos burocráticos del proceso de cruce fronterizo. Estos costos indirectos impactan en la economía de diferentes maneras, por ejemplo al modificar el costo real del transporte de bienes en sus diferentes modos, por lo tanto, este impacto puede modificar el modo de transporte entre productores. Por último, el efecto global de los CIT puede cuantificarse en relación con los bienes exportados al Producto Interno Bruto (PIB).
Teniendo esto en cuenta, los siguientes puntos serán considerados. En primer lugar, el promedio de costos extra del proceso de exportación, sumado al costo de transporte registrado por los agentes económicos. En segundo lugar, estas cantidades se incluirán en el marco de una Matriz de Contabilidad Social (MCS) para presentar un modelo de Equilibrio General Computable (EGC), lo que incrementará el tamaño de la matriz resultante proporcionando más información acerca de los impactos sectoriales.
El esquema de transporte tipo iceberg es una fórmula para modelar los CIT que se ha considerado en el comercio internacional y que constituye una característica estándar en la literatura de la Nueva Geografía Económica. Samuelson (1954) propuso la idea básica de que comerciar implica costos de transacción y que éstos se pueden considerar como una fracción de los bienes comerciales, lo que significa que parte del iceberg se derrite en el camino y sólo una fracción de las mercancías exportadas alcanza su destino. El objetivo de este trabajo es presentar los costos indirectos de transporte desde el esquema de transporte tipo iceberg propuesto por Samuelson dentro del marco de una MCS para calibrar un modelo de EGC, utilizando la información disponible que estima el comportamiento del comercio bilateral dentro de ciertos parámetros.
El resto de este trabajo está organizado de la siguiente manera: primeramente, se analizan las características de la MCS; a continuación, presenta el tratamiento que se ha dado a los costos de transporte en el marco de los modelos EGC; el apartado siguiente muestra el estado del comercio entre los EE.UU. y México en los últimos veinte años; luego, se proporciona una descripción del esquema de transporte iceberg y se explica el modelo; posteriormente se describen los datos utilizados para calibrar el modelo y se analiza la estimación y los resultados y, finalmente, se presentan las conclusiones de este trabajo.
La Matriz de Contabilidad Social
Una Matriz de Contabilidad Social (MCS) es un marco analítico que proporciona una base conceptual para analizar las actividades económicas, que son las transacciones que involucran bienes y factores, y los flujos simultáneos de fondos entre los agentes en una economía. Una MCS presenta las interacciones entre la producción, el consumo, el ingreso y el capital en forma de matriz.
Como base de datos, una MCS incluye datos socioeconómicos, proporcionando más detalles que una Matriz de Insumo Producto (MIP) acerca de las interrelaciones económicas dentro de una economía mediante la inclusión de las fuentes de los datos, como el Sistema de Cuentas Nacionales y datos estadísticos de los ingresos y gastos del hogar. Por ejemplo, una MCS muestra la distribución de los ingresos de los factores de producción para diferentes sectores, o muestra los gastos de consumo, inversión y ahorro de los agentes económicos. Por lo tanto, una MCS registra las actividades económicas y flujos de fondos entre agentes en un año de referencia y es utilizada como base de datos para estimar coeficientes y variables exógenas de los modelos EGC.
Dado que la MCS se escribe en una tabla con forma de matriz, los agentes antes mencionados se usan como encabezado de filas y columnas. Las entradas de una MCS indican los flujos de bienes y servicios de los agentes mencionados en las filas en relación con sus contrapartes que figuran en las columnas y, los pagos correspondientes se realizan en la dirección contraria. En cuanto a la composición de una MCS, el orden de las entradas de las filas y de las columnas se puede asignar libremente y las nuevas entradas tanto de filas como de columnas, se pueden agregar dependiendo del propósito del análisis y la disponibilidad de información.
Para construir la matriz, es necesario recopilar datos de diferentes fuentes. Prácticamente todos los datos incluidos en la MCS se presentan en una Matriz de Insumo Producto. Cuando la obtención de datos de una MIP no sea posible, la selección de datos deberá realizarse en función de la confiabilidad de las fuentes de los datos. El cuadro 1 muestra una MCS básica con 3 dimensiones 3 por 3 sectores de la Matriz de Contabilidad

Social de México en el año 1995, con valores expresados en millones de dólares. En el caso de los saldos en cuenta corriente, un signo menos es un superávit.
Ahora es posible identificar aquellos sectores que son de mano de obra intensiva y aquellos de capital intensivo, del mismo modo, es posible entender cómo se distribuye la demanda final entre los agentes económicos; por lo tanto, al analizar los datos del cuadro anterior podemos formular una recomendación de políticas, referida por ejemplo al empleo, los impuestos y las tarifas de importación entre otras.
Un punto clave en el análisis de MIP es la disponibilidad de la Matriz de Insumo Producto. Con este fin, The World Input-Output Database con observaciones del período entre 1995 y 2009, fue utilizada para hacer un análisis completo de la evolución de las relaciones intersectoriales de la economía (Timmer, 2012).
El transporte en el modelo EGC
El transporte está implícito en el modelo de MIP y se vuelve explícito cuando se lo identifica como una rama de la economía. Leontief (1936), identificó al transporte (ferrocarril a vapor) como una industria y determinó cuánto se compra en las demás industrias para producir. Sin embargo, la información disponible no permite calcular el porcentaje del precio final que se debe atribuir a los costos de transporte. Por ende, la solución empírica propuesta por Leontief es distribuir los costos de transporte en igual proporción para todos los productos de una rama. Esto se hace al asumir que los costos de transporte son una proporción fija del precio final que paga el consumidor.
El costo externo se "ajusta" utilizando la misma técnica. En el caso de las importaciones y de las exportaciones, su valor se agrega a un monto proporcional de los costos de transporte interno, este agregado difiere de los costos de transporte que la industria ha pagado directamente a los servicios de transporte requeridos para la producción. En la Matriz de Insumo Producto de 1939, aproximadamente un sexto del total de los costos de transporte no se reporta.
Las líneas anteriores son el primer intento de incluir los costos de transporte en un análisis de MIP, sin embargo, esta explicación no resulta completamente satisfactoria, ya que las necesidades de transporte varían según la ubicación de los mercados de producción y destino, además, mucha de la información referida a los costos de transporte se pierde ya que los mismos se contabilizan como si fueran parte de los bienes comercializados.
Isard (1951), estableció una conexión entre el modelo de MIP y la economía espacial al incluir los costos de transporte como un elemento relevante a la hora de tomar decisiones respecto de la ubicación de las industrias. Para analizar estas relaciones de modo más eficiente, Isard expandió el modelo de MIP a un nivel menos agregado al desarrollar matrices de insumo producto interregionales. Isard y Peck (1954) incluyeron la distancia y el transporte en una Matriz de insumo Producto, que registra los flujos comerciales internacionales e interregionales.
La mejor Matriz de Insumo Producto es aquella que describe y registra con mayor precisión las transacciones económicas a nivel industrial. Sin embargo, ahora el problema es que a medida que éste crece, el nivel de descripción de las tablas aumenta su tamaño. Es así que una Matriz de Insumo Producto específica y una MCS se pueden modelar según los objetivos y las necesidades de estudio, lo que, por supuesto, implica enormes cantidades de información y recursos. Desde entonces, en los modelos EGC, la tendencia ha sido construir bases de datos regionales que, aunque sea de forma escasa, tengan en cuenta los costos de trasporte.
Una MCS está diseñada para mostrar una matriz detallada de las transacciones internas, esta incluye un sector externo con información sobre los usos de los bienes exportados. A pesar de la gran cantidad de información que aparece en la MCS, todos los modelos EGC tienen que lidiar con una misma cuestión relacionada con los datos de referencia. Estos modelos usan matrices de insumo producto que bien pueden representar un sector del transporte, sin embargo, en la práctica, el modelo se basa en informes nacionales que no incluyen los costos adicionales de los bienes.
A partir del desarrollo de los modelos EGC basados en el algoritmo de Scarf (1967) y la subsecuente implementación estándar de Shoven y Whalley (1984), los modelos espaciales tienden a considerar los costos de transporte entre regiones, pero no dentro de una región, estos trabajos estaban basados principalmente en un análisis costo-beneficio para medir el impacto de la nueva infraestructura o de las reformas económicas en productores y consumidores.
En este aspecto, los acontecimientos recientes de la geografía económica han incorporado cuestiones relacionadas al costo de transporte utilizando la adaptación de Krugman (1980) del esquema iceberg de Samuelson (1954), lo que permitió modelar la localización espacial sin necesidad de modelar asuntos relacionados al transporte. En este tipo de modelos (Krugman, 1990; 1991a; 1991b) la distancia no se muestra por separado, por lo tanto, los costos de transporte y todos aquellos que se le relacionan, se incluyen por medio del modelo de iceberg de un modo simple: mayores distancias implican que un mayor porcentaje del valor del producto se derrite. El supuesto básico de este esquema asume que la tecnología utilizada en la producción de los bienes es la misma que se usa para transportarlos, esta formulación permite representar los costos de transporte sin necesidad de expresarlos de modo explícito mediante un sector de transporte.
La relevancia económica del espacio es significativa dado el costo implicado en el abordaje de las transacciones en toda la economía; sin embargo los modelos EGC multiregionales rara vez explicitan la modelación del espacio geográfico. Desde el establecimiento de los tres tratados de libre comercio que crearon regiones comerciales con diferentes características, algunos estudios han analizado las diferencias en los márgenes del transporte internacional tanto entre regiones como dentro de las mismas.
Siguiendo esta línea de análisis, varios estudios se han llevado a cabo para evaluar los beneficios de la facilitación del comercio ya sea a nivel regional o mundial. Hummels (1999), analiza las demoras en el comercio internacional al estimar el costo económico de utilizar transporte marítimo en lugar del flete aéreo. Este trabajo utiliza un modelo multisectorial de comercio que permite identificar los canales por los que las barreras de comercio afectan el volumen comercial.
Laskhmanan, Subramanian, Anderson y Leautier (2001) describen la importancia del transporte en el proceso de facilitación del comercio, ellos señalan al uso de las barreras no tarifarias en la regulación de los cargamentos de camiones como una restricción para el comercio intra-TLCAN. También enfatizan el rol de la frontera como un obstáculo ya que el hecho de cruzar una frontera puede implicar demoras largas.
Al estimar los costos de tiempo, Hummels (2001) resalta la importancia del tiempo como una barrera comercial. Los resultados muestran que cada día adicional destinado al transporte reduce en 1-1.5% la probabilidad de que los EE. UU. empleen ese país, en contraste, cada día que se ahorra en el tiempo de envío equivale a un arancel ad-valorem de 0.8% de los bienes manufacturados. El análisis de la literatura sobre la facilitación del comercio realizado por la OCDE (2002) muestra que los costos de transporte varían considerablemente; según esta encuesta, los costos de comercio se estiman entre 2 y 15% del valor de los bienes. Esta variación se atribuye a cuestiones de eficiencia relacionadas a la logística, el tamaño y tipo de negocio, el tipo de bienes y el año en el que se realiza el estudio.
Fox, Francois y Londoño-Kent (2003) describen la situación de la frontera entre EE.UU. y México utilizando los resultados de Hummels (2001) y la base de datos de Haralambides y Londoño-Kent (2002) para estimar los costos de cruzar la frontera. Ellos utilizaron el Proyecto de Análisis del Comercio Mundial (GTAP por sus siglas en inglés) desarrollado por Hertel (1997) para estimar los costos de comercio del tipo iceberg. Este es un modelo EGC global cuya base de datos describe patrones de comercio bilateral, producción, consumo y uso intermediario de los bienes y servicios. Walkenhorst y Yasui (2003) investigaron los costos de los obstáculos fronterizos, ellos dividen los costos de las transacciones de comercio en dos categorías: directos e indirectos. Los primeros derivan de la logística requerida para mover bienes a través de la frontera, como la eficiencia del proceso administrativo del servicio de aduana. Los segundos —los costos indirectos—, se refieren a los tiempos de espera en la frontera y las demoras en el transporte de cargas.
Löfgren y Robinson (2002) incluyeron una formulación explícita de la variable espacial en un modelo basado en una MCS. El objetivo de este ejercicio era determinar el impacto de los cambios en los precios y los costos de transporte a nivel mundial, estos autores propusieron el uso de una MCS reestructurada para incluir el espacio en el modelo; esto se hizo con la intención de preservar los valores multiregionales, sin embargo, la MCS agrega los pagos al sector transportista y asume que estos pagos se distribuyen según las acciones de los valores negociados. Los costos de transporte se consideran endógenos.
Por lo tanto, dada la falta de literatura en sobre este tema, es necesario seguir investigando para proporcionar un método diferente que use un modelo EGC basado en una MCS. De este modo, se logran resultados al estimar diferentes escenarios aprovechando la disponibilidad de datos que permiten llevar a cabo dicho análisis.
La relación económica entre Estados Unidos y México
La relación económica bilateral entre Estados Unidos y México tiene un interés fundamental para ambos países ya que los fuertes vínculos entre ambos no sólo surgen de aspectos económicos sino que la extensa frontera que comparten implica fuertes vínculos culturales y demográficos.
El comercio de México con Estados Unidos ha aumentado considerablemente desde que el TLCAN entró en vigor en enero de 1994. Durante el primer año de este tratado, el comercio creció 20% en ambos sentidos. Desde 2012 México aumentó sus exportaciones desde 51.6 mil millones de dólares estadounidenses en 1994 a 287.4 mil millones de dólares en 2012, con un aumento de 457%. Las importaciones de Estados Unidos subieron de 54.8 mil millones de dólares en 1994 a 185.1 mil millones en 2012, un aumento de 238%. La balanza comercial con los EE. UU. tuvo un déficit de 3.2 mil millones en 1994 y un superávit de 102. 7 mil millones de dólares en 2012 (figura 1).

El efecto general del TLCAN en la economía estadounidense ha sido relativamente pequeño ya que el comercio bilateral con México representa menos de 3% del PIB de Estados Unidos. Sin embrago, en el caso de la economía mexicana, el monto comercializado representó 40% de su PIB en 2012. Según la Comisión Internacional de Límites y Aguas a lo largo de la frontera entre México y Estados Unidos existen 54 cruces y puentes internacionales (26 puntos de entrada permiten el ingreso de camiones y 8 son cruces ferroviarios) donde tiene lugar el comercio entre ambos países. Es así que en el transporte de estas grandes cantidades de bienes desde México hacia Estados Unidos, aproximadamente 70% del valor del comercio se realiza por carreteras, 8.4% en ferrocarril, 16.4% por vías marítimas y el resto utilizando otros medios. Por lo tanto, el transporte vial tiene un rol fundamental en el comercio bilateral.
La gran cantidad de mercancía que atraviesa la frontera cada día en ambos sentidos implica tiempos de espera durante las inspecciones y el procesamiento de la documentación necesaria. En estos tiempos, las demoras son comunes debido a la cantidad insuficiente de controles aduaneros en relación con el creciente número de cruces fronterizos resultantes del aumento del comercio bilateral en las últimas dos décadas. Por ende, se produce un atasco cuando la economía acelera y la demanda crece, pero el servicio de aduana es incapaz de seguirle el ritmo.
En años recientes y ante este vínculo comercial tan cercano, se ha estudiado la capacidad de los puntos de entrada para identificar posibles atascos que puedan causar demoras y así poder evaluar el impacto económico de estos tiempos de espera. Este análisis costo-beneficio centra su atención en las demoras de los vehículos comerciales, de pasajeros y peatones, calculando los costos económicos de estos tiempos de espera tan largos en la frontera para medir su impacto en la economía.
La mayor dificultad al realizar estos estudios yace en el hecho de que los mismos están basados en datos obtenidos en encuestas realizadas en los puntos de entrada fronterizos. Esto ocurre porque si bien la oficina de Aduanas y Protección Fronteriza de los EE. UU. (CBP por sus siglas en inglés) brinda información respecto de los tiempos de espera, sólo indica la espera estimada hasta alcanzar el puesto de inspección primario, el primer contacto con la CBP al cruzar la frontera México-estadounidense. Es así que la información oficial no toma en cuenta la espera relacionada con los trámites e inspecciones que se realizan después de este punto. Incluso, estos estudios se centran en un cruce fronterizo específico, o en el mejor de los casos, en el grupo que concentra la mayor parte del flujo comercial. A pesar de ello, estos trabajos brindan una perspectiva de cómo medir los costos indirectos de transporte asociados al movimiento de cargas.
Desde que se aprobó el TLCAN, varios estudios se han realizado para analizar el comportamiento de los cruces fronterizos entre los EE.UU. y México, siendo el área metropolitana entre San Diego y Tijuana la región fronteriza más estudiada, con una población combinada de aproximadamente 5 millones de habitantes en 2010. Estos trabajos resaltan los tiempos de espera mientras se hace cola en la frontera y su impacto en la economía (San Diego Dialogue, 1994; San Diego Association for Governments [SANDAG] 2000; 2003; 2006; 2010). En esta línea de investigación, el trabajo de El Colegio de la Frontera Norte (El Colef) (2007) sobresale como uno de los análisis más completos sobre este tema al incluir una compilación de los tiempos de espera en cuatro de los puntos de entrada más importantes en cuanto al flujo de comercio, los que representan casi la mitad del comercio en ambos sentidos. Basado en la realización de una encuesta a gran escala, este documento brinda información del tiempo de espera promedio del cruce fronterizo e intenta estimar su impacto económico.
El "Estudio de puertos de entrada México-Estados Unidos: análisis de capacidades y recomendaciones para incrementar su eficiencia" (El Colef, 2007) presenta una visión integral de las características de los puertos de entrada terrestres para desarrollar un plan de acción que facilite el cruce fronterizo. Este estudio tomó una muestra integral y significativa de aproximadamente 17 mil individuos que cruzaban la frontera en ambos sentidos. Los datos de esta encuesta se comparan con aquellos que brinda la CBP de los EE.UU. Es así que se estima el impacto económico asociado al movimiento de personas y de bienes y, eventualmente, se calcula la pérdida anual en cuanto a producción, puestos de trabajo y salarios causada por los atascos. El estudio del Colef resulta relevante para este trabajo porque brinda una estimación del costo total por camión por cada hora de espera para atravesar la frontera de EE.UU., que sumada al número total de camiones que la atraviesan podría darnos una idea sobre los costos indirectos de transporte que se originan en las demoras en la frontera.
El modelo
Una vez que la MCS se puede utilizar como base de datos del EGC, tal como se describió en el apartado anterior, el próximo paso es hacer una especificación numérica del modelo. En esta etapa es necesario especificar las modalidades operativas y los parámetros. Dado que la MCS descrita previamente muestra la economía como un todo es posible desglosar la información de la matriz en un sistema de ecuaciones.
Como el modelo está basado en un modelo de MCS estático, es necesario incluir supuestos sobre coeficientes y precios de costo fijos, inherentes al modelo MIP; por ende, este modelo no pretende reflejar el efecto de las políticas que utilizan incentivos en cuanto al precio.
Un modelo de Equilibrio General Computable (EGC) es un sistema de ecuaciones matemáticas que describe la economía como un todo y las interacciones entre sus partes. Un modelo de EGC es un modelo general de equilibrio que calcula el efecto de los cambios en una variable exógena en particular al ser introducida al modelo.
Los modelos EGC son una herramienta importante de análisis empírico para los responsables de crear políticas que estimulen los efectos de las mismas a nivel económico. Una de las principales características de los modelos EGC es su capacidad para analizar la relación entre diversos sectores de la economía. Por ende, estas podrían ser interrelaciones entre industrias, o entre gastos e ingresos de los hogares, imponiendo dotaciones y limitaciones de recursos.
El modelo EGC se desarrolla según el sentido vislumbrado por Johansen (1960) y utiliza una versión de la MCS como base de datos. La serie de ecuaciones del modelo aquí utilizado se encuentra en el apéndice al final del trabajo. El modelo se ha formulado como un sistema no lineal de ecuaciones simultáneas derivadas del comportamiento de optimización de los agentes, esta serie de ecuaciones se resuelve utilizando MATLAB.
Una vez definidas las ecuaciones, se calibra el modelo. La calibración es el método de estimar los coeficientes y las variables exógenas en un modelo EGC, este procedimiento se basa en la información de la MCS, el propósito de la calibración es probar los parámetros para saber si sus valores son consistentes con el año de referencia.
El proceso de calibración fue desarrollado por Johansen (1960) y consiste en establecer un año de referencia —1950— de la economía en el pasado, y luego, simular cambios reales en las variables exógenas hasta el presente año para determinar si las variables endógenas se asemejan a las observaciones históricas disponibles en los años alrededor de 1950. Para calibrar el modelo hay que extraer parámetros directamente de la MCS cuando sea posible (cuadro 2). Así, al estimar los parámetros y asignarle valores a las variables exógenas, se puede verificar si el modelo reproduce una solución del equilibrio a los macrobalances principales congruentes con los datos de la MCS.

A continuación, el próximo paso es trabajar la cuestión de los costos indirectos de transporte. Esto se hará bajo el supuesto de que el costo indirecto de transporte es de "tipo iceberg" tal como lo describe Krugman (1980).
La lógica del modelo se puede explicar de la siguiente manera, dado que fue formulado como un modelo para el comercio internacional, este modelo involucra la existencia de dos mercados, el nacional H y el externo F. Si el mercado nacional produce un bien x con un valor de VXH y una parte de este bien se consume durante el proceso de envío, el valor del bien que llega al mercado externo es τX VXH. Donde 1 − τX es la porción del bien que se consumió mientras fue transportado de un mercado a otro. Con el objetivo de determinar los precios relativos del mercado nacional PXH y el externo PXF hay que tener en cuenta que el valor VXH es el precio PXH multiplicado por la cantidad de bienes trasladados desde el mercado nacional MXH. Sin embargo, debido al tránsito de productos de un país a otro, el monto total a recibir en el mercado externo MXF será solamente τX MXH. Por ende, el precio externo PXF realmente pagado en el mercado externo resulta de PXF = PXH /τX. Una característica de esta fórmula es que el transporte por producto no varía según la cantidad de productos transportados.
Por lo tanto, el precio de exportación cotizado en moneda extranjera (Ecuación 16 en el Apéndice)
[16]se modifica para incluir el CIT,
[16a]donde 𝜏𝑒 es el costo indirecto de transporte que, según el esquema del iceberg, representará una fracción de la unidad original que se derrite en camino; 𝑝i𝑒 es el precio de exportación en términos de la moneda nacional; 𝑝i𝑊𝑒 es precio de exportación en términos de moneda extranjera (exógena) y 𝜀 es la tasa cambiaria. La modificación de esta ecuación tiene como resultado un efecto multiplicador en el sector externo.
Este enfoque brindaría el monto de los CIT involucrados en el proceso de comercialización; la forma directa para hacerlo sería estimar el monto del parámetro costo definiendo la proporción del PIB utilizado en el envío de bienes, a esto se le suma el porcentaje del PIB utilizado en la industria del transporte.
Estimaciones y resultados
Además de las series cronológicas de las MCS ya descritas, es necesario encontrar un buen conjunto de datos para calibrar el modelo: el valor para τe. En este aspecto se han realizado varios estudios que muestran una gran variación en sus resultados. Hummels (2001) analiza las demoras en el comercio internacional al estimar el costo económico de utilizar transporte marítimo en lugar del flete aéreo. Los datos utilizados provienen de los bienes importados manufacturados de EE. UU. y demuestran que un día adicional de transporte equivale a 0.8% del arancel.
Fox et al. (2003) describen la situación en la frontera México-estadounidense al estimar los costos del cruce fronterizo. Estos costos se refieren al comercio norte-sur en 1.8 a 6% y al comercio sur-norte en 1 a 5%. En la estimación del modelo, asumieron que existía una reducción de 1% en el comercio norte-sur y una de 5% en el sentido contrario. Así, calcularon que los beneficios económicos de quitar esas barreras rondarían los 3.2 mil millones de dólares estadounidenses con un aumento del flujo del comercio bilateral de aproximadamente 7 mil millones de dólares.
Walkenhorst y Yasui (2003) investigaron los costos de los obstáculos fronterizos. Los autores asumieron que una facilitación del comercio llevaría a una reducción de 1% de los costos del valor del comercio mundial, resultando en una ganancia adicional de 40 mil millones de dólares en todo el mundo.
Según los datos recolectados por El Colef (2007), para determinar el valor de τe, se estima un costo total de 62.5 dólares por camión por cada hora de espera en la frontera estadounidense. El cuadro 3 muestra los costos relacionados con los tiempos de espera en la frontera de los EE. UU. Las exportaciones y los costos anuales se expresan en millones de dólares y el promedio del tiempo de espera se contabiliza en horas. Una mirada rápida al cuadro nos muestra que el tiempo de espera en la frontera no parece estar directamente relacionado con el número de exportaciones o el número de camiones que la atraviesan.

Por ende, el próximo paso consiste en estimar la porción de los costos derivados de las demoras en el total de las exportaciones en porcentajes, como aparece en el cuadro 4.

Dado que sólo tenemos un momento en el tiempo que representa la mitad del comercio en ambos sentidos, el resto del volumen comercializado no se ha determinado. Además, debido a la gran variación existente entre diferentes puntos de entrada, la calibración de τe se hará utilizando tres valores diferentes: 0.5, 0.75 y 1%. Con estos valores, no sólo se ven reflejados los costos derivados de las demoras en los cruces fronterizos sino también las pérdidas derivadas de las distancias recorridas por el producto hasta llegar a su destino final, es decir, se considera todo el "iceberg".
En el cuadro 5 se presenta un resumen del impacto económico de los resultados de este experimento después de ejecutar el modelo EGC, que incluye la variable CIT.

Las pérdidas del movimiento de cargas son sustanciosas y han aumentado en este período. El impacto total para el 2008 alcanzó los $ 1.9 mil millones en el escenario más conservador y llega a los $ 3.8 mil millones en la estimación con los costos más altos. La tendencia de los CIT es similar a los costos de los flujos de comercio bilateral, creciendo durante todo el período y disminuyendo en 2009. Es más, si el CIT se analiza en proporción al PIB (en porcentaje), se observa un disminución de la tendencia en todo el período, ya que el CIT cayó aproximadamente en 12%, tal como lo muestran los resultados en la figura 2.
Si dividimos todo el período en dos, tenemos que desde 1995 a 2000 el CIT aumentó 9%, pero después de este año, los CIT presentan una tendencia descendente de aproximadamente 20%. Por ende, mientras los costos aumentan a medida que el comercio bilateral se incrementa, el PIB y el comercio no presentan índices semejantes de crecimiento. Es así que visto en términos absolutos, los costos han aumentado, sin embargo, en términos proporcionales a la producción aparece una tendencia descendente. Estos resultados son consistentes con la facilitación de comercio esperada después de que el acuerdo para remover las barreras arancelarias y las no arancelarias entrara en vigor.

Conclusiones
La facilitación del comercio y los flujos comerciales están directamente relacionados: el comercio aumenta a medida que mejora la facilitación del comercio. En este punto, la facilitación del comercio implica una reducción de ambas, las barreras arancelarias y las no arancelarias. Sin embargo, a pesar de que los costos de transporte tienen un papel fundamental en el comercio internacional, su influencia en la facilitación del comercio no ha sido muy estudiada.
Si bien hay deficiencias de diversos orígenes que actúan como barreras en el comercio, las distancias y las demoras en los cruces fronterizos son el principal contribuyente en la diferencia de precios existente entre Estados Unidos y México. Estas limitaciones prolongan los tiempos de entrega y generan así costos adicionales para los exportadores y el sector transportista.
Este trabajo aporta conocimiento de las implicancias económicas de los costos indirectos de transporte que surgen del movimiento de bienes entre Estados Unidos y México. La información recolectada de los tiempos de espera en los puertos terrestres de entrada de mayor importancia para el comercio bilateral es utilizada para estimar los costos indirectos de transporte en forma de iceberg.
Desde una perspectiva metodológica, este trabajo se diferencia de la literatura existente porque utiliza un modelo de Equilibrio General Computable basado en Matrices de Contabilidad Social. Este enfoque se usa debido a las ventajas que presenta en relación con el nivel de desagregación y su capacidad de análisis. En cuanto a su implementación, este trabajo tiene como ventaja la amplitud del período estudiado ya que utiliza matrices de insumo producto, que abarcan 15 años como principal fuente de información. Además, se utiliza un análisis exhaustivo de los diferentes puntos de entrada para determinar el tamaño del iceberg dentro del modelo.
Se puede observar que la literatura existente sobre el tema concuerda con los resultados obtenidos. Dado que los costos indirectos de transporte han disminuido a lo largo del tiempo, se pueden extraer dos conclusiones: en primer lugar, esta tendencia puede surgir de la entrada en vigor de TLCAN que permite la reducción de las restricciones al comercio, ya que el tratado establecía que en un período máximo de 15 años la mayoría de los sectores estarían exentos de impuestos. En el caso específico de la industria del transporte, una apertura total tendría lugar hacia el año 2000. Se puede observar que en este año se origina una tendencia descendente en los costos, que coincide con la firma del tratado de comercio; mientras que los resultados obtenidos muestran una disminución de los CIT en cuanto al PIB, en términos absolutos estos continúan aumentando dado el flujo creciente de comercio bilateral al igual que los atascos originados en la capacidad limitada de los puntos de cruce fronterizo. En segundo lugar, puede ser el resultado de la disminución de los costos de transporte internacional, tal como lo señalan algunos estudios. Aquí vale la pena notar el rol fundamental de los esfuerzos de varias organizaciones internacionales en la facilitación del comercio para minimizar las fricciones resultantes de los cruces fronterizos.
Apéndice
Ecuaciones del modelo EGC
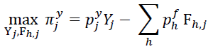
El primer paso es incorporar los bienes intermedios y los bienes compuestos como parte del análisis. Los bienes compuestos de obtienen al agregar el capital y la mano de obra a través de la función de producción del bien compuesto, que es una función de producción Cobb-Douglas (Ecuación 2). Es así que este problema se relaciona con la producción del bien compuesto que se usará como entrada para el producto interno bruto. Esto se puede realizar de la siguiente manera:
[1]Sujeto a:
[2]Esto es, los problemas de maximización de beneficios para la firma j sujetos a los bienes compuestos donde:
𝜋j𝑦: beneficios de la firma j-ésima que produce el factor compuesto Yj
𝑌𝑗: factor compuesto utilizado por la firma j-ésima
𝐹ℎ,j: el factor h utilizado por la firma j-ésima
𝑋𝑖,j: la entrada intermedia del bien i-ésimo utilizado por la firma j-ésima
𝑝j𝑦: precio del factor compuesto j-ésimo
𝑝h𝑓: precio del factor h-ésimo
𝛽ℎ,j : coeficiente de participación en la función de producción del factor compuesto (exógena)
𝑏𝑗 : coeficiente de escalamiento en la función de producción del factor compuesto(exógena)
Además tenemos los factores de requerimiento de la firma,
[3]requerimientos de insumos intermedios, que dependen directamente del volumen de producción 𝑍𝑗,
[4]el factor compuesto usado por la firma j-ésima como la función del producto,
[5]donde 𝑎𝑥𝑖,𝑗 : coeficiente de requerimiento del insumo de insumo intermedio i-ésimo para la unidad de producción del bien (exógeno) j-ésimo y 𝑎𝑦𝑗 coeficiente del requerimiento de insumos de bien compuesto j-ésimo para una unidad de producción de un bien (exógeno) j-ésimo; y finalmente, el precio del producto interno bruto j-ésimo o costo unitario de producción 𝑝j𝑧
[6]donde 𝑝i𝑞 es el precio del bien compuesto i-ésimo.
En segundo lugar, es necesario incluir al gobierno en el modelo. El sector público es importante por los siguientes motivos: primero, su influencia en los ingresos y en los precios a través de los impuestos; segundo, el gasto del gobierno tiene un papel fundamental en la economía de consumo; y finalmente, se tienen en cuenta los aranceles comerciales.
Las ecuaciones que siguen representan la política fiscal, donde se asume que el gobierno impone una tasa impositiva fija a los ingresos de los hogares (Ecuación 7), un impuesto ad valorem sobre la producción (Ecuación 8) y un arancel ad valorem al comercio internacional (Ecuación 9):
[7]
[8]
[9]donde:
𝑇𝑑: impuesto directo (exógeno)
𝑇j𝑧: impuesto a la producción de bien (exógeno) j-ésimo
𝑇i𝑚: arancel de importación de bien (exógeno) i-ésimo
𝜏i𝑚: tasa de impuesto directo
𝜏j𝑧: tasa de impuesto a la producción de bien (exógeno) j-ésimo
𝜏i𝑚: tasa de arancel de importación de bien (exógeno) i-ésimo
𝐹𝐹ℎ: dotaciones del factor h-ésimo para los bienes de los hogares (exógeno)
𝑀𝑖: importación de bien (exógeno) i-ésimo
𝑋i𝑔: consumo del gobierno de bien (exógeno) i-ésimo
𝑝i𝑚: precio de bien importado i-ésimo
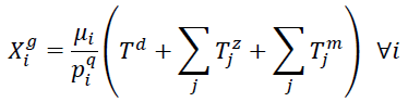
La siguiente es la ecuación de gastos del gobierno que asume que todos los ingresos de los impuestos se utilizan para el consumo, lo que implica que no hay déficit público. Este gasto 𝑋i𝑔 se realiza en proporciones fijas entre cada uno de los productos:
[10]Donde µ𝑖 es la proporción de los bienes i en el gasto público (exógeno).
La inversión y el ahorro son considerados de la siguiente manera: los ahorros de los hogares y el balance fiscal del gobierno pueden definirse en términos de su propensión promedio para ahorrar:
[11]
[12]donde:
𝑆𝑝: ahorro de los hogares
𝑆𝑔: ahorro del gobierno
𝑠𝑠𝑝: propensión media de ahorro en el hogar (exógena)
𝑠𝑠𝑔: propensión media de ahorro del gobierno (exógena)
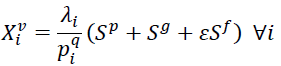
La relación entre la inversión y los ahorros se define según la identidad económica I=A, por lo tanto la inversión proviene de los ahorros de los hogares y del gobierno, además de la balanza por cuenta corriente,
[13]donde:
𝑋i𝑣: demanda de inversión de bien i-ésimo
𝑆𝑓: déficit en cuenta corriente en moneda extranjera (exógenos)
𝜀: tasa cambiaria
𝜆𝑖 : proporción de bien i-ésimo en la inversión pública (exógeno)
Desde la reciente incorporación del gobierno, la inversión y el ahorro en el interior del modelo, algunas de las ecuaciones anteriores deben ser modificadas. Es así que las nuevas funciones de las demandas del hogar y del gobierno son:
[14]
[15]La última característica importante de este modelo estándar de EGC es la presencia del sector externo, ya que esta extensión hace posible pasar de un modelo cerrado a uno abierto. Por lo tanto, se supone que los precios de exportación e importación cotizados en moneda extranjera son exógenos, es decir, un pequeño país sin suficiente participación en el mercado como para poder influir en los precios mundiales:
[16]
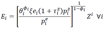
[17]donde 𝑝𝑖𝑊𝑒 y 𝑝𝑖𝑊𝑚 son los precios de las exportaciones e importaciones, ambos enmoneda extranjera y exógenos, y 𝑝𝑖𝑒 es el precio de exportación en moneda nacional.Además, la balanza de pagos se asume en equilibrio, donde 𝐸𝑖 son las exportaciones delbien i-ésimo.
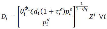
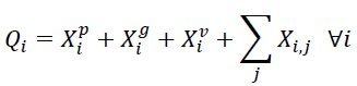
[18]Dado que el modelo estándar EGC incluye el consumo tanto de bienes nacionales como importados, tenemos que asumir que existe una diferencia entre el bien producido en la economía nacional y los que se importan. En este punto, utilizamos el supuesto de Armington. Los bienes compuestos Armington tienen una estructura de consumoanidada, ya que se supone que las mercancías importadas no se consumen o utilizandirectamente, en lugar de esto, el bien compuesto comprende las importaciones y losproductos nacionales correspondientes, cuyas proporciones están determinadas por laelasticidad de sustitución. El bien compuesto Armington se define de la siguientemanera:
[19]donde:
𝐷𝑖: el bien nacional i-ésimo
𝑄𝑖: el bien compuesto Armington i-ésimo
𝛾𝑖: coeficiente de escalamiento en la función de producción de los bienes compuestos de Armington (exógena)
𝛿𝑚𝑖𝛿𝑑𝑖: coeficiente de participación de insumos en la función de producción de los bienes compuestos de Armington (exógena)
𝜂𝑖: parámetro definido por la elasticidad de sustitución (exógeno) (ηi =(σi − 1)/σi, ηi ≤ 1)
𝜎𝑖: elasticidad de sustitución en la función de producción de los bienes compuestos de Armington
y las funciones de demanda para la importación y la mercancía nacional:
[20]
[21]El último punto en el comercio internacional es dividir el proceso de producción entre los productos importados y nacionales. Esta producción se describe por medio de una función de elasticidad constante de transformación (ECT), donde, según el precio relativo entre las exportaciones y las mercancías nacionales, la oferta para cada uno de estos mercados cambia:
[22]donde:
𝑍𝑖: la producción nacional bruta de bien (exógeno) i-ésimo
𝜏i𝑧: tasa de impuesto a la producción nacional bruta (exógeno) i-ésima
𝜃𝑖: coeficiente de escalamiento de la transformación (exógeno) i-ésima
𝜉𝑒𝑖, 𝜉𝑑𝑖 : coeficiente de participación de la transformación de bien (exógeno) i-ésimo
𝜙𝑖: parámetro definido por la elasticidad de la transformación (exógeno)
Por último, se imponen las condiciones de equilibrio del mercado para garantizar el equilibrio en todos los mercados. La primera ecuación es para los bienes compuestos de Armington, y la segunda es la condición del factor de equilibrio del mercado:
[23]
[24]La Ecuación 24 es la condición del factor de equilibrio del mercado, es decir, la demanda total de factor h para las firmas debe ser igual a las dotaciones totales de factor h que supuestamente se da en la economía.
Referencias
Dornbusch, R. (1992). The case for trade liberalization in developing countries. The Journal of Economic Perspectives, 6(1), 69-85.
Edwards, S. (1993). Openness, trade liberalization, and growth in developing countries. Journal of Economic Literature, 31(3), 1358-1393.
El Colegio de la Frontera Norte (El Colef). (2007). U.S.-Mexico Select Land Ports of Entry: Analysis of Capacity & Recommendations for Increased Efficiency. México: Autor.
Fox, A., Francois, J. y Londoño-Kent, P. (2003). Measuring the border crossing costs and their impact on trade flows: the U.S. - Mexican trucking case. Países Bajos: Mimeo, Erasmus University.
Frankel, J. y Romer, D. (1999). Does trade cause growth? American Economic Review, 89(3), 379- 399.
Haralambides, H. y Londoño-Kent, P. (2002). Impediments to Free Trade: The Case of Trucking and NAFTA in the U.S.-Mexican Border. Países Bajos: Mimeo, Erasmus University.
Hertel, T. (Ed.). (1997). Global Trade Analysis: Modeling and Applications. Cambridge: University Press.
Hummels, D. (1999). Toward a geography of trade costs. Estados Unidos: Mimeo, Purdue University.
Hummels, D. (2001). Time as trade barrier. Estados Unidos: Mimeo, Purdue University.
Isard, W. (1951). Interregional and regional input-output analysis: a model of a space-economy. The Review of Economics and Statistics, 33(4), 318-328.
Isard, W. y Peck, M. (1954). Location theory and international and interregional trade theory. The Quarterly Journal of Economics, 68(1), 97-114.
Johansen, L. (1960). A multi-sectoral study of economic growth. Amsterdam: North-Holland Publishing Co.
Krueger, A. (1998). Why trade liberalisation is good for growth. The Economic Journal, 108(450), 1513-1522.
Krugman, P. (1980). Scale economies, product differentiation, and the pattern of trade. The American Economic Review, 70(5), 950-959.
Krugman, P. (1990). Increasing returns and economic geography (Documentos de trabajo 3275). Estados Unidos: National Bureau of Economic Research.
Krugman, P. (1991a). Cities in space: three simple models (Documentos de trabajo 3607). Estados Unidos: National Bureau of Economic Research.
Krugman, P. (1991b). First nature, second nature, and metropolitan location (Documentos de trabajo 3740). Estados Unidos: National Bureau of Economic Research.
Lakshmanan, T., Subramanian, U., Anderson, W. y Leautier F. (2001). Integration of Transport and Trade Facilitation: Selected Regional Case Studies. Washington, Distrito de Columbia: The International Bank for Reconstruction and Development, The World Bank.
Leontief, W. (1936). Quantitative input and output relations in the economic systems of the United States. The Review of Economics and Statistics, 18(3), 105-125.
Löfgren, H. y Robinson, S. (2002). Spatial-network, general-equilibrium model with a stylized application. Regional Science and Urban Economics, 32(5), 651-671.
Organización para la Cooperación y Desarrollo Económico (OCDE). (2002). Business benefits of trade facilitation (Documentos de trabajo (2001) 21). París, Francia: OCDE Publications.
Organización para la Cooperación y Desarrollo Económico (OCDE). (2003). The Doha development agenda: welfare gains from further multilateral trade liberalisation with respect to tariffs (Documentos de trabajo (2003) 10). París, Francia: OCDE Publications.
Organización para la Cooperación y Desarrollo Económico (OCDE). (2009). Overcoming border bottlenecks: the costs and benefits of trade facilitation, OECD Trade Policy Studies. París, Francia: OECD Publishing.
Samuelson, P. (1954). The transfer problem and transport costs, II: Analysis of effects of trade impediments. The Economic Journal, 64(254), 264-289.
San Diego Association for Governments (SANDAG). (2000). San Diego Region-Baja California Cross-Border Transportation Study. San Diego, California: Author.
San Diego Association for Governments (SANDAG). (2003). Survey and Analysis of Trade and Goods Movement Between California and Baja California. México: Caltrans, SANDAG, Science Applications International Corporation.
San Diego Association for Governments (SANDAG). (2006). Economic Impacts of Wait Economic Impacts of Wait Times at the San Diego- Baja California Border. Maryland, Estados Unidos: HDR, HLB Decision Economics Inc.
San Diego Association for Governments (SANDAG). (2010). Economic Impacts of Wait Times at the California-Mexico Border 2009 Update. San Diego, California: HDR, Decision Economics.
San Diego Dialogue. (1994). Who Crosses the Border: A View of the San Diego-Tijuana Metropolitan Region. San Diego, California: San Diego Dialogue.
Scarf, H. (1967). The approximation of fixed points of a continuous mapping. SIAM Journal on Applied Mathematics, 15(5), 1328-1343.
Shoven, J. y Whalley, J. (1984). Applied General-Equilibrium Models of Taxation and International Trade: An Introduction and Survey. Journal of Economic Literature, 22(3), 1007-1051.
Timmer, M. (Ed.). (2012). The World Input-Output Database (WIOD): Contents, Sources and Methods (Documento de trabajo No. 10). Recuperado de http://www.wiod.org/publications/papers/wiod10.pdf
Villarreal, M. y Ferguson, I. (2014). NAFTA at 20: Overview and Trade Effects. Washington, Distrito de Columbia: Congressional Research Service.
Walkenhorst, P. y Yasui, T. (2003). Quantitative assessment of the benefits of trade facilitation (Documentos de trabajo (2003) 31). París, Francia: OECD Publications.
Notas de autor