Artigo
Recepção: 12 Dezembro 2013
Aprovação: 02 Dezembro 2015
DOI: https://doi.org/10.5902/1980509828666
Financiamento
Fonte: Fundação de Amparo à Pesquisa do Estado do Amazonas - FAPEAM
Número do contrato: UA 062.03164/2012
RESUMO: A disponibilidade de luz é um dos fatores que mais limita a fotossíntese de árvores juvenis no sub-bosque da floresta. Os objetivos deste estudo foram determinar como os parâmetros fotossintéticos (velocidade máxima de carboxilação da Rubisco - Vc-max e as taxas máximas de transporte de elétrons - Jmax) respondem à irradiância, temperatura e horário do dia no interior da floresta. Os dados foram coletados nos meses de setembro a novembro de 2010, entre 08h00 e 16h00, em condições ambientais de temperatura (27 ± 20C) e umidade relativa do ar (70 ± 3%). Fotossíntese saturada por CO2 (Apot) foi mensurada em luz saturante e [CO2] de 2000 μmol mol-1. Os dados foram submetidos à análise de variância, o teste de Tukey foi utilizado para separação de médias. Vc-max e Jmax correlacionaram com a ffotossíntese em [CO2] de 380 μmol mol-1 (A380) e Apot. O aumento de Ci causou o aumento da fotossíntese, até o ponto da limitação da fotossíntese por Jmax. Abaixo do ponto de colimitação (300 a 569 μmol mol-1), as taxas fotossintéticas foram limitadas por Vc-max. Aumentos da irradiância e temperatura no sub-bosque aumentaram os valores de A380, Apot, Vc-max e Jmax. Entretanto, não houve efeito significativo (p > 0,05) do horário do dia em Vc-max e Jmax. Ausência de efeito do horário do dia é importante para a folha poder utilizar com alta eficiência os feixes de luz direta que ocasionalmente atingem o sub-bosque da floresta.
Palavras-chave: limitação não estomática, colimitação da fotossíntese, variação diurna.
ABSTRACT: Light availability is one of the main factors that limits photosynthetic rates in saplings in the forest understory. The aims of this study were to determine how photosynthetic parameters (maximum carboxylation velocity of Rubisco - Vc-max and maximum rate of electron transport - Jmax) respond to irradiance, temperature and diurnal variations in the physical environment. Gas exchange data were collected between 08h00 and 16h00, and from September to November (2010) under ambient conditions, temperature of 27± 20C and relative humidity of 70 ± 3%. CO2 saturated photosynthesis (Apot) was measured under light saturation and [CO2] of 2000 μmol mol-1. Data were subjected to analysis of variance and then the Tukey test was used for mean separations. Vc-max and Jmax correlated with photosynthetic rates at [CO2] of 380 μmol mol-1 (A380) and Apot. The increase in intercellular CO2 concentration (Ci) led to increase in photosynthetic rates, up to the point of photosynthesis limitation by the electron transport rate. Below the collimation point (300-569 μmol mol-1) photosynthetic rates were limited by Vc-max. Increases in irradiance and temperature in the forest understory led to increasing the values of A380, Apot, Vc-max and Jmax. However, the effect of time of day on Vc-max and Jmax was not significant (p > 0.05). Absence of an effect of time of day on Vc-max and Jmax is important for the leaf to efficiently use the sun flecks that occasionally puncture the forest floor.
Keywords: nonstomatal limitations, collimation of photosynthesis, diurnal variation.
INTRODUÇÃO
Nas florestas tropicais úmidas, a radiação fotossinteticamente ativa ao longo do perfil da floresta é muito variada, com pouca luz atingindo o sub-bosque, o que influencia a capacidade fotossintética de árvores na fase juvenil no seu ambiente natural (FETCHER; OBERBAUER; CHAZDON, 1994). Além disso, a disponibilidade de luz no sub-bosque da floresta também pode ser um fator limitante para o crescimento das árvores na fase juvenil (LOPEZ-TOLEDO et al., 2008). Em comparação com plantas de sol, plantas de sombra apresentam respostas morfológicas e fisiológicas diferentes (BOARDMAN, 1977); baixa irradiância muitas vezes leva a uma diminuição na espessura da folha e na massa foliar específica (VALLADARES; NIINEMETS, 2008).
A capacidade fotossintética de uma folha depende de fatores difusivos (i.e. condutância estomática e condutância do mesofilo) e não difusivos (i.e. cinética da enzima Rubisco (ribulose-1,5-bisfosfato carboxilase/oxigenase [EC 4.1.1.39] e taxa de transporte de elétrons). Tem-se relatado que baixa irradiância no sub-bosque durante o crescimento das plantas limita a absorção de carbono (MENDES; MARENCO, 2010; 2014). Isso pode ocorrer devido à redução na velocidade máxima de carboxilação da Rubisco (Vc-max) e na taxa máxima de regeneração da ribulose bisfosfato, RuBP (Jmax), dependente do transporte de elétrons, bem como pela diminuição na taxa de difusão de CO2 para os cloroplastos (NASCIMENTO; MARENCO, 2013). Além disso, a temperatura tem efeito direto e indireto na fotossíntese (WAY; OREN, 2010). O efeito indireto refere-se ao fechamento dos estômatos o que contribui para reduzir a perda de água via transpiração. Por outro lado, o efeito direto da temperatura na fotossíntese está associado às mudanças na atividade da Rubisco, bem como à regeneração da RuBP no ciclo de Calvin (LLOYD; FARQUHAR, 2008).
Tendo em vista que vários modelos climáticos (p.ex. SiB2, CLM; SELLERS et al., 1997) utilizam dados da velocidade máxima de carboxilação da Rubisco (Vc-max) e das taxas máximas de transporte de elétrons (Jmax, uma função da radiação fotossinteticamente ativa) torna-se importante o estudo destes parâmetros em espécies amazônicas. Alguns estudos relatam os efeitos das variações na abertura do dossel nas taxas fotossintéticas e condutância estomática em plantas jovens da Amazônia (NASCIMENTO; MARENCO, 2013; MARENCO; NASCIMENTO; MAGALHÃES, 2014; MARENCO et al., 2015). Na Amazônia central, Mendes e Marenco (2010) observaram que o funcionamento dos estômatos e fotossíntese de algumas espécies responde à variação diurna dos fatores ambientais. Entretanto, há falta de informação sobre os efeitos de fatores do ambiente físico (irradiância e temperatura) e do horário do dia em Jmax e Vc-max em árvores da Amazônia, particularmente para árvores na fase juvenil que crescem no sub-bosque. Neste estudo partiu-se da premissa de que a variação da irradiância e temperatura do ar no sub-bosque afetam Vc- max e Jmax de árvores na fase juvenil em seu ambiente natural. Além disso, foi testada a hipótese que Vc-max e Jmax das espécies estudadas seguem um padrão diurno. Assim, os objetivos deste estudo foram determinar como parâmetros fotossintéticos (Vc-max e Jmax) respondem à irradiância e temperatura do ambiente físico, bem como verificar o efeito do horário do dia nos parâmetros supracitados.
MATERIAL E MÉTODOS
Local do estudo e material vegetal
O estudo foi conduzido na Estação Experimental de Silvicultura Tropical (Núcleo ZF2), do Instituto Nacional de Pesquisas da Amazônia (INPA). A área é uma floresta nativa densa de terra firme, localizada a 60 km ao norte de Manaus (02º36’21” S, 60º08’11” W). O tipo de solo predominante da região é um latossolo amarelo, com baixa fertilidade e elevada acidez (pH de 4,2 a 4,5). A região apresenta características de clima equatorial úmido, com temperatura média anual de 26ºC e precipitação anual de 2420 mm (MALHI; WRIGHT, 2004). No estudo utilizaram-se cinco espécies da Amazônia central, com quatro plantas (repetições) por espécie de 1 a 3 m de altura e 7-23 mm de diâmetro (a 0,5 m do solo). Foram selecionadas espécies que tivessem pelo menos quatro indivíduos dentro da área de estudo. As espécies selecionadas têm diversas utilidades conforme mostrado na Tabela 1.

Parâmetros das trocas gasosas
As trocas gasosas foram medidas com um analisador de gás infravermelho (Li-6400, Li-Cor, NE, EUA) em quatro plantas de cada espécie e duas a três folhas por planta com bom aspecto fitossanitário, totalmente expandidas e localizadas na porção superior da copa de cada planta. Os dados foram coletados em condições ambientais de temperatura (27 ± 2ºC) e umidade relativa (70 ± 3%). As respostas da fotossíntese à concentração intercelular de CO2 (curvas A/Ci) foram determinadas em irradiância saturante de 1000 μmol m-2 s-1, conforme descrito previamente (MENDES; MARENCO, 2015). O valor da fotossíntese mensurada em condição saturante de CO2 (2000 μmol mol-1) denominou-se Apot. A partir dos dados da curva A/Ci obteve-se o ponto de compensação de CO2 (Γ) e eficiência de carboxilação, kx (MARENCO; GONÇALVES; VIEIRA, 2001). Além disso, obteve-se a fotossíntese em 380 μmol mol-1 de CO2 (A380) para comparar com as outras variáveis mensuradas. Calculou-se a velocidade máxima de carboxilação da Rubisco (Vc-max) e a taxa máxima de transporte de elétrons (Jmax) usando as equações (1 e 2) de Farquhar (FARQUHAR; VON CAEMMERER; BERRY, 1980).


Em que: Ac e Aj são as taxas fotossintéticas líquidas limitadas pela atividade da Rubisco e taxa de transporte de elétrons (Aj), respectivamente. Γ* representa o ponto de compensação de CO2, na ausência da respiração e na presença de luz; Ci é a concentração de CO2 nos espaços intercelulares, O representa a concentração de oxigênio nos espaços intercelulares; Kc e Ko representam a constante de Michaelis-Menten da Rubisco para carboxilação e oxigenação, respectivamente. Vc-max e Jmax são frequentemente relatados na literatura a 25ºC, por isso os dados foram padronizados para esta temperatura, conforme descrito por Medlyn et al. (1999). Para determinar o efeito do horário do dia em Vc-max e Jmax, os dados de fotossíntese foram coletados nos horários entre 08h00 e 16h00, em dias selecionados ao acaso no período de setembro a novembro de 2010.
Ambiente físico
Dados de precipitação foram coletados utilizando um pluviômetro convencional, instalado em uma torre de observação a 40 m de altura, localizado próximo à área de estudo. Também foram coletados dados de irradiância, umidade do ar e temperatura do sub-bosque utilizando sensores específicos (Li-190 SA, Li-Cor, EUA; Humitter 50Y, Vaisala, Oyj, Finlândia) conectados a um datalogger (Li-1400, Li-Cor, NE, EUA) e programado para registrar os dados em intervalos de 15 minutos (RFA) e 30 minutos (umidade e temperatura).
Análises estatísticas
Os dados das variáveis estudadas foram testados quanto à normalidade (procedimento de Lilliefors) e homogeneidade da variância e, posteriormente, submetidos à análise de variância (ANOVA) para avaliar as diferenças entre espécies (delineamento inteiramente casualizado). Teste post hoc de Tukey (p ≤ 0,05) foi utilizado para a separação das médias. Análises de regressão foram realizadas para determinar o efeito da irradiância e temperatura nos parâmetros fotossintéticos. Para análise dos dados utilizou-se o programa estatístico SAEG 9.0 da Universidade Federal de Viçosa (UFV).
RESULTADOS E DISCUSSÃO
Ambiente físico
A precipitação média dos meses de estudo (setembro a novembro) foi de 231 mm, o que está dentro da média relatada para a Amazônia central (MARENCO et al., 2015). Durante o estudo, a temperatura do sub-bosque oscilou entre 23ºC à noite e 27ºC ao meio-dia. Durante a maior parte do dia, a média da umidade relativa do ar foi superior a 80%, oscilando a irradiância média do sub-bosque em torno de 10 µmol m-2 s-1, com variações entre um ponto e outro da floresta e com picos acima de 30 µmol m-2 s-1 (Figura 1), devido à ocorrência de feixes de luz solar direta (sunflecks). Já a irradiância acumulada variou de 0,35 para 0,9 mol m-2 dia-1. A irradiância média no sub-bosque da floresta foi semelhante à relatada em experimentos anteriores (MENDES; MARENCO, 2010; MENDES et al., 2013).
Parâmetros das trocas gasosas
Houve diferença significativa (p < 0,05) entre espécies na fotossíntese saturada por CO2 (Apot), condutância estomática (gs[2000]), taxa máxima de transporte de elétrons (Jmax) e velocidade máxima de carboxilação da Rubisco (Vc-max); porém, não houve efeito significativo (p > 0,05) entre espécies nos valores de ponto de compensação de CO2 (Γ) e eficiência de carboxilação (kx) (Tabela 2). Em média, o valor de Apot foi 8,3 μmol m-2 s-1. Os valores de Apot nas espécies estudadas são semelhantes aos encontrados por Mendes e Marenco (2010) que relatam valores de Apot entre 7 e 9 μmol m-2 s-1 para espécies em condições naturais na mesma área de estudo. Os valores de Vc-max e Jmax obtidos neste estudo estão dentro da faixa de valores registrados para outras espécies da floresta tropical (WULLSCHLEGER, 1993; NASCIMENTO; MARENCO, 2013). No entanto, os valores deste estudo de Vc-max são baixos quando comparados com aqueles obtidos por Manter e Kerrigan (2004), que observaram valores entre 20 e 75 μmol m-2 s-1 em espécies de folhas largas. Isto indica que folhas de plantas de sub-bosque adaptadas à baixa irradiância alocam pequena quantidade de assimilados e nitrogênio para síntese de proteínas da enzima Rubisco.


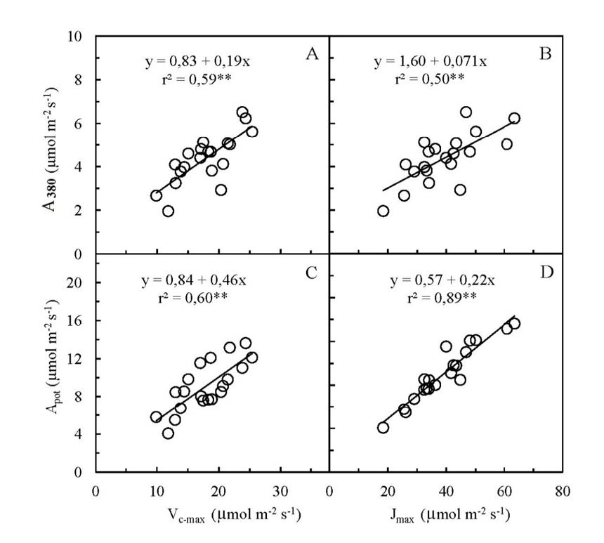
Os valores de Γ (média de 79,3 μmol mol-1) e kx (22,2 mmol m-2 s-1) relatados nesse estudo são menores do que aqueles encontrados por Marenco, Gonçalves e Vieira (2001) em árvores de diferentes fases sucessionais na Amazônia Central. A diferença pode ser atribuída ao fato de Marenco, Gonçalves e Vieira (2001) terem utilizados plantas aclimatadas a maiores níveis de irradiância. Os valores de Vc-max e Jmax correlacionaram significativamente (p < 0,01) com as taxas de fotossíntese (A380 e Apot; Figura 2). O maior coeficiente de determinação foi observado para Apot-Jmax (Figura 2D), indicando que em altas concentrações de CO2 o transporte de elétrons é mais limitante que Vc-max. A relação entre A380, Apot, Vc-max e Jmax tem sido documentada em estudos anteriores (EVANS, 1983; EVANS; TERASHIMA, 1988). O maior coeficiente de determinação para a relação A380-Vc-max (r2= 0,59**; Figura 2A) do que para A380-Jmax (r2= 50**, Figura 2B) ocorre porque Vc-max depende essencialmente dos valores das taxas de fotossíntese em baixas concentrações de CO2; já o Jmax tem como base as taxas de fotossíntese em concentração elevadas de CO2, muito acimas daquelas às quais a folha está normalmente exposta.
Na Figura 3, o ponto de intersecção das linhas contínua (que representa a taxa de carboxilação, Ac) e tracejada (que representa a taxa de transporte de elétrons, Aj) representa o ponto de colimitação (indicado pela linha vertical na Figura 3) ou ponto de equilíbrio, no qual a fotossíntese é igualmente limitada tanto pela taxa de carboxilação como pelo transporte de elétrons. O aumento de Ci causou o aumento da fotossíntese nas espécies estudadas, até o ponto da limitação da fotossíntese pela taxa transporte de elétrons (linha tracejada na Figura 3). Abaixo do ponto de colimitação (valores de Ci de 300 a 569 μmol mol-1, indicados pela linha vertical na Figura 3), tanto a taxa de carboxilação como o transporte de elétrons parecem limitar as taxas de fotossíntese. Entretanto, uma análise mais detalhada permite visualizar que à esquerda da linha vertical da Figura 3, as linhas que representam a taxa de carboxilação (linha contínua - Ac; Figura 3) coincidem exatamente com os valores observados. Isso indica que, abaixo do ponto de colimitação, as taxas fotossintéticas foram limitadas por Vc-max indicando menor investimento em proteínas associadas à Rubisco (VALLADARES et al., 2002; ELLSWORTH et al., 2004; ONODA; HIKOSAKA; HIROSE, 2005). Os valores de CO2 no sub-bosque da floresta normalmente oscilam entre 420-450 μmol mol-1 (MARENCO; NASCIMENTO; MAGALHÃES, 2014). Isto significa que nas condições ambientais normalmente encontradas no sub-bosque, a fotossíntese é limitada pela atividade da Rubisco. Nas curvas A/Ci observou-se uma variação interespecífica nos pontos de colimitação da fotossíntese. Estas diferenças influenciaram nos valores de Vc-max. Isto mostra a importância de se efetuar mais estudos para melhor caracterização das variações interespecíficas de espécies florestais da Amazônia.
Não houve diferença significativa nos valores de Vc-max e Jmax entre os horários do dia (Figura 4) nem efeito significativo na interação entre espécie e horário do dia (p > 0,05), por isso, uma média das espécies é apresentada. Alguns estudos têm mostrado que a atividade da Rubisco oscila durante o dia apresentando baixa atividade nos horários próximos ao meio-dia (PARRY et al., 1993; HRSTKA et al., 2007), o que não ocorreu neste estudo. Isto mostra que fatores que normalmente influenciam o funcionamento dos estômatos (MARENCO; NASCIMENTO; MAGALHÃES, 2014) não têm o mesmo efeito na carboxilação e no transporte de elétrons em arvoretas do sub-bosque e como resultado Vc-max e Jmax tendem a permanecer estáveis durante a maior parte do dia (08h00-16h00), o que constitui uma vantagem adaptativa importante. Dessa forma, a planta pode aproveitar com eficiência os feixes ocasionais de luz direta que atingem o sub-bosque da floresta.
O aumento da irradiância e da temperatura do ar no sub-bosque levaram a um acréscimo em A380, Apot, Vc-max e Jmax (Figuras 5 e 6). Isto sugere maior alocação de recursos da folha para os complexos proteicos diretamente relacionados com a fotossíntese em plantas que recebem mais luz. Estes resultados concordam com outros estudos que relatam que a atividade da Rubisco responde a vários fatores ambientais, tais como irradiância (PONS; WELSCHEN, 2003) e a temperatura (WARREN; DREYE, 2006; WARREN, 2008; LLOYD; FARQUHAR, 2008). O aumento da temperatura dentro de uma faixa moderada (28-36°C) pode aumentar Vc-max e Jmax, refletindo um efeito positivo nas taxas de fotossíntese (A380 e Apot). Por outro lado, o aquecimento foliar exacerbado pode ocasionar diminuição da eficiência de carboxilação da Rubisco ao promover a fotorrespiração (MARENCO et al., 2014).
CONCLUSÕES
Os parâmetros fotossintéticos (Vc-max e Jmax) foram responsivos às variações na irradiância e temperatura no sub-bosque. Porém, Vc-max e Jmax não responderam de forma direta ao horário do dia, possibilitando, dessa forma, melhor aproveitamento dos feixes ocasionais de luz direta que atingem o sub-bosque da floresta ao longo do dia.
Em alta concentração de CO2, a assimilação de carbono é limitada especificamente por Jmax, o que reflete na fotossíntese potencial; portanto, o efeito do aumento da concentração atmosférica de CO2 na fotossíntese pode ser restringido por Jmax. Avaliações complementares da fisiologia dessas espécies são ainda necessárias, particularmente sob atmosfera enriquecida com CO2, uma vez que podem ocorrer respostas de aclimatação em longo prazo.
AGRADECIMENTOS
Ao MCTI-INPA, à Fundação de Amparo à Pesquisa do Estado do Amazonas - FAPEAM (projeto UA 062.03164/2012) e Conselho Nacional de Desenvolvimento Científico e Tecnológico (CNPq) e CAPES pela concessão de bolsas aos participantes envolvidos na pesquisa.
REFERÊNCIAS
ALARCÓN, J. G. S. Levantamento florístico e etnobotânico em um hectare de floresta de terra firme na região do Médio Rio Negro, Roraima, Brasil. 2005. 111 f. Dissertação (Mestrado) - Instituto de Pesquisas Jardim Botânico do Rio de Janeiro, Rio de Janeiro, 2005.
ANDRADE, S. O. et al. Inflammatory action and toxicity of Guarea trichilioides L. in rats. Toxicology and Applied Pharmacology, New Mexico, v. 38, p. 39-46, 1976.
BOARDMAN, N. K. Comparative photosynthesis of sun and shade plants. Annual Review of Plant Physiology, Palo Alto, v. 28, p. 355-377, 1977.
CAMACHO, M. D. R. et al. Terpenoids from Guarea rhophalocarpa. Phytochemistry, London, v. 56, p. 203-210, 2001.
CHATROU, L. W.; HE, P. Studies in Annonaceae XXXIII. A revision of Fusaea (Baill.) Saff. Brittonia, New York, v. 52, p. 181-203, 1999.
ELLSWORTH, D. et al. Photosynthesis, carboxylation and leaf nitrogen responses of 16 species to elevated CO2 across four free-air CO2 enrichment experiments in forest, grassland and desert. Global Change Biology, Champaign, v. 10, p. 2121-2138, 2004.
EVANS, J. R. Nitrogen and photosynthesis in the flag leaf of wheat (Triticum aestivum L.). Plant Physiology, United Kingdom, v. 72, p. 297-302, 1983.
EVANS, J. R.; TERASHIMA, I. Photosynthetic characteristics of spinach leaves grown with different nitrogen treatment. Plant Cell Physiology, United Kingdom, v. 29, p. 157-165, 1988.
FARQUHAR, G. D.; VON CAEMMERER, S.; BERRY, J. A. A biochemical model of photosynthetic CO2 assimilation in leaves of C3 species. Planta, Berlin, v. 149, p. 78-90, 1980.
FECHINE, I. M. et al. Alkaloids and volatile constituents from Duguetia flagellaris. Biochemical Systematics and Ecology, Oxford, v. 30, p. 267-269, 2002.
FETCHER, N.; OBERBAUER, S. F.; CHAZDON, R. L. Physiological ecology of plants. In: MCDADE, L. A. et al. (Eds.). La Selva: ecology and natural history of a neotropical rain forest. Chicago: The University of Chicago Press, 1994. p. 128-141.
HRSTKA, M. et al. Diurnal regulation of ribulose-1,5-bisphosphate carboxylase/oxygenase activity and its content in Norway spruce needles. Photosynthetica, Praha, v. 45, p. 334-339, 2007.
JADÁN, O. et al. Riqueza y potencial maderable em sistemas agroforestales tradicionales como alternativa al uso del bosque nativo, Amazonia del Ecuador. Revista Forestal Mesoamericana Kurú, Cartago, v. 12, p. 13-22, 2015.
LIMA FILHO, D. A. et al. Aspectos florísticos de 13 hectares da área de Cachoeira Porteira-PA. Acta Amazonica, Manaus, v. 34, p. 415-423, 2004.
LLOYD, J.; FARQUHAR, G. D. Effects of rising temperatures and [CO2] on the physiology of tropical forest trees. Philosophical Transactions of the Royal Society of Biological Sciences, London, v. 363, p. 1811-1817, 2008.
LOPEZ-TOLEDO, L. et al. Soil and light effects on the sapling performance of the shade-tolerant species Brosimum alicastrum (Moraceae) in a Mexican tropical rain forest. Journal of Tropical Ecology, Cambridge, v. 24, p. 629-637, 2008.
MALHI, Y.; WRIGHT, J. Spatial patterns and recent trends in the climate of tropical rainforest regions. Philosophical Transactions of the Royal Society of London, London, v. 359, p. 311-329, 2004.
MANTER, D. K.; KERRIGAN, J. A/Ci curve analysis across a range of woody plant species: influence of regression analysis parameters and mesophyll conductance. Journal of Experimental Botany, United Kingdom, v. 55, p. 2581-2588, 2004.
MARENCO, R. A. et al. Fisiologia de espécies florestais da Amazônia: fotossíntese, respiração e relações hídricas. Revista Ceres, Viçosa, MG, v. 61, p. 786-799, 2014.
MARENCO, R. A. et al. Juvenile tree growth correlates with photosynthesis and leaf phosphorus content in central Amazonia. Revista Ceres , Viçosa, MG, v. 62, p. 175-183, 2015.
MARENCO, R. A.; GONÇALVES, J. F. C.; VIEIRA, G. Leaf gas exchange and carbohydrates in tropical trees differing in successional status in two light environments in central Amazonia. Tree Physiology, Oxford, UK, v. 21, p. 1311-1318, 2001.
MARENCO, R. A.; NASCIMENTO, H. C. S.; MAGALHÃES, N. S. Stomatal conductance in Amazonian tree saplings in response to variations in the physical environment. Photosynthetica , Praha, v. 52, p. 493- 500, 2014.
MARTINS, R. C. C. et al. Constituents of the essential oil of Eugenia nitida Camb. (Myrtaceae). Journal of Essential Oil Research, Carol Stream, v. 11, p. 724-726, 1999.
MEDLYN, B. E. et al. Effects of elevated [CO2] on photosynthesis in European forest species: a meta-analysis of model parameters. Plant Cell and Environment, New York, v. 22, p. 1475-1495, 1999.
MENDES, K. R.; MARENCO, R. A. Leaf traits and gas exchange in saplings of native tree species in the Central Amazon. Scientia Agricola, Piracicaba, v. 67, p. 624-632, 2010.
MENDES, K. R.; MARENCO, R. A. Is stomatal conductance of Central Amazonian saplingsinfluenced by circadian rhythms under natural conditions? Theoretical and Experimental Plant Physiology, Campos dos Goytacazes, v. 26, p. 115-125, 2014.
MENDES, K. R.; MARENCO, R. A. Photosynthetic traits of tree species in response to leaf nutrient content in the central Amazon. Theoretical and Experimental Plant Physiology , Campos dos Goytacazes, v. 27, p. 51-59, 2015.
MILLER, R. P.; WANDELLI, E. V.; GRENAND, P. Conhecimento e utilização da floresta pelos índios waimiri-atroari do rio camanau - Amazonas. Acta Botanica Brasílica, Porto Alegre, v. 3, p. 47-56, 1989.
NASCIMENTO, H. C. S.; MARENCO, R. A. Mesophyll conductance variations in response to diurnal environmental factors in Myrcia paivae and Minquartia guianensis in Central Amazonia. Photosynthetica , Praha, v. 51, p. 457-464, 2013.
ONODA, Y.; HIKOSAKA, K.; HIROSE, T. Seasonal change in the balance between capacities of RuBP carboxylation and RuBP regeneration affects CO2 response of photosynthesis in Polygonum cuspidatum. Journal of Experimental Botany , United Kingdom, v. 56, p. 755-763, 2005.
PARRY, M. A. J. et al. Water stress and the diurnal activity of ribulose-1, 5-bisphosphate carboxylase in field grown Nicotiana tabacum genotypes selected for survival at low CO2 concentrations. Plant Physiology and Biochemistry, Paris, v. 31, p. 113-120, 1993.
PONS, T. L.; WELSCHEN, R. A. M. Midday depression of net photosynthesis in the tropical rainforest tree Eperua grandiflora: contributions of stomatal and internal conductances, respiration and Rubisco functioning. Tree Physiology , Oxford, UK, v. 23, p. 937-947, 2003.
RESQUE, O. R. Vocabulário de frutas comestíveis na Amazônia. Belém: Museu Paraense Emílio Goeld, 2007. 99 p.
RODRIGUES, P.A. Avaliação de extratos vegetais bioativos de plantas amazônicas sobre a concentração de testosterona sérica em camundongos pós púberes. 2013. 77 f. Dissertação (Mestrado) - Universidade Paulista, São Paulo, 2013.
SELLERS, P. J. et al. Modeling the exchanges of energy, water, and carbon between continents and the atmosphere. Science, Washington, v. 275, p. 502-509, 1997.
TAVARES, J. F. et al. Alkaloids and volatile constituents from the stem of Fusaea longifolia (Aubl.) Saff. (Annonaceae). Brazilian Journal of Pharmacognosy, Curitiba, v. 15, p. 115-118, 2005.
VALLADARES, F. et al. The greater seedling high-light tolerance of Quercus robur over Fagus sylvatica is linked to a greater physiological plasticity. Trees Structure and Function, Berlin, v. 16, p. 395-403, 2002.
VALLADARES, F.; NIINEMETS, Ü. Shade tolerance, a key plant feature of complex nature and consequences. Annual Review of Ecology Evolution and Systematics, Palo Alto, v. 39, p. 237-257, 2008.
WARREN, C. R. Soil water deficits decrease the internal conductance to CO2 transfer but atmospheric water deficits do not. Journal of Experimental Botany , United Kingdom, v. 59, p. 327-334, 2008.
WARREN, C. R.; DREYE, E. Temperature response of photosynthesis and internal conductance to CO2: results from two independent approaches. Journal of Experimental Botany , United Kingdom, v. 57, p. 3057-3067, 2006.
WAY, D. A.; OREN, R. Differential responses to changes in growth temperature between trees from different functional groups and biomes: a review and synthesis of data. Tree Physiology , Oxford, UK, v. 30, p. 669-688, 2010.
WULLSCHLEGER, S. D. Biochemical limitations to carbon assimilation in C3 plants - a retrospective analysis of the A/Ci curves from 109 species. Journal of Experimental Botany , United Kingdom, v. 44, p. 907-920, 1993.