BIOQUÍMICA CLÍNICA
Transferencia de intervalos de referencia en Valencia-Venezuela
Transference of reference intervals in Valencia-Venezuela
Transferência de intervalos de referência em Valência-Venezuela
Transferencia de intervalos de referencia en Valencia-Venezuela
Acta Bioquímica Clínica Latinoamericana, vol. 53, núm. 2, pp. 161-166, 2019
Federación Bioquímica de la Provincia de Buenos Aires
Recepción: 30 Octubre 2018
Aprobación: 12 Abril 2019
Resumen: El objetivo de la presente investigación consistió en revisar si los valores de referencia producidos por la industria de diagnóstico in vitro eran transferibles a una determinada población. Para este estudio fueron analizadas muestras de suero de una población de 23 individuos. El análisis de las muestras estudiadas fue realizado mediante el método de colorimetría usando equipos Rx Daytona. Los analitos determinados para el estudio fueron glucemia, colesterol, triglicéridos por método enzimático y creatinina por método cinético, empleando el kit de reactivos de la misma casa comercial del instrumento. Para la evaluación y análisis estadístico de los datos fue empleado el logaritmo de decisión propuesto por Ventimiglia y Fink en 2002. Como resultado se obtuvieron porcentajes de transferibilidad de 100% para la totalidad de los analitos. De acuerdo con los resultados obtenidos, se dieron por verificados y se aceptó la transferibilidad de los intervalos de referencia comerciales para la población en estudio.
Palabras clave: Intervalos de referencia, Transferencia, Glucemia, Colesterol, Triglicéridos, Creatinina.
Abstract: The aim of this investigation was to review if the reference values produced by the in vitro diagnostic industry were transferable to a specific population; for the study, serum samples from a population of 23 individuals were analyzed.The analysis of the samples was carried out using the colorimetric method with Rx Daytona equipment. The analytes determined for the study were glycemia, cholesterol, triglycerides by enzymatic method and creatinine by kinetic method, using the reagent kit from the same commercial brand of said equipment. The statistical analysis was done applying the decision logarithm proposed by Ventimiglia F and Fink N (2002). As a result, percentages of 100% of transferability were found on all the analytes. According to the results obtained, the transferability of the commercial reference intervals for the population under study was accepted.
Keywords: Reference intervals, Transference, Glycemia, Cholesterol, Triglycerides, Creatinine.
Resumo: O objetivo da presente investigação foi revisar se os valores de referência produzidos pela indústria de diagnóstico in vitro eram transferíveis para uma população específica. Para esse estudo amostras de soro foram analisadas de uma população de 23 indivíduos. A análise das amostras estudadas foi realizada utilizando o método de colorimetria, utilizando equipamentos Rx Daytona. Os analitos determinados para o estudo foram glicemia, colesterol, triglicerídeos pelo método enzimático e creatinina pelo método cinético, utilizando o kit de reagentes da mesma casa comercial do instrumento. Para a avaliação e análise estatística dos dados foi utilizado o logaritmo de decisão proposto por Ventimiglia F e Fink N 2002. Como resultados, percentuais de transferibilidade de 100% foram obtidos para todos os analitos. De acordo com os resultados obtidos, foram tidos como verificados e se aceita a transferibilidade dos intervalos de referência comerciais para a população em estudo.
Palavras-chave: Intervalos de referência, Transferência, Glicemia, Colesterol, Triglicerídeos, Creatinina.
Introducción
En la práctica clínica, el 70% de las decisiones médicas se fundamenta en pruebas de laboratorio que, por ello, son esenciales para ofrecer una evaluación más completa del estado de salud de los pacientes. Por lo tanto deben disponerse de forma tal que satisfagan las necesidades de los mismos y del personal clínico responsable de su asistencia, de acuerdo con las directrices de la Organización Mundial de la Salud (OMS). El servicio que ofrece el laboratorio clínico comprende la realización de análisis bioquímicos, en muestras biológicas, con la finalidad de proporcionar información para el diagnóstico, prevención y tratamiento de las enfermedades (1).
Los resultados de los análisis de química sanguínea utilizados para esta investigación proveen información sobre el adecuado metabolismo de los hidratos de carbono mediante la determinación de glucemia, el diagnóstico de dislipidemia al evaluar colesterol total y triglicéridos y también permiten evaluar la función renal al cuantificar metabolitos como la creatinina. El informe de estos resultados emitido por el laboratorio contiene los intervalos de referencia biológica o también llamados valores de decisión clínica. Estos son de suma importancia para la interpretación del estado clínico del paciente, ya que resultados fuera de los intervalos de referencia reflejan generalmente un estado patológico del paciente. Dichos valores por lo general son proporcionados por los fabricantes de equipos y reactivos con los que se procesa la muestra. En su mayoría los intervalos corresponden a una población de pacientes en particular que suele ser distinta de aquella donde se realizan las pruebas (2) (3).
Desde el año 1969, y específicamente en el XII Congreso Escandinavo de Bioquímica Clínica se propuso la denominación de valores de referencia a los hasta entonces llamados valores normales. En el mismo orden de ideas, la International Federation of Clinical Chemistry (IFCC) en 1970 designó un Comité de Expertos para establecer las recomendaciones acerca de la teoría de los valores de referencia. A su vez en el año 1977 el International Committee for Standardization in Haematology (ICSH), designó un Standing Committee on Reference Values (SCRV). Anualmente para la elaboración de las teorías de los valores de referencia y sus aplicaciones se llevan a cabo congresos internacionales de Bioquímica Clínica y reuniones de la International Data Communications Group (2).
Los valores de referencia se definen como los valores límite dentro de los cuales se obtienen los resultados analíticos de una prueba que presenta un porcentaje determinado (usualmente el 95%) de individuos de referencia, aparentemente sanos (4). Los resultados analíticos obtenidos de los individuos de referencia son comparados con los valores de referencia de las firmas comerciales con la finalidad de ser interpretados; para ello se selecciona una muestra representativa de la población en estudio y a partir de ésta se estima la información correspondiente a la población de referencia, tal como lo indica el Expert Panel de la IFCC. Para calificar en el estudio, los individuos de referencias deben cumplir unos requisitos preestablecidos que incluyen los criterios de inclusión, de exclusión y los de partición (2). Le corresponde a los laboratorios el establecimiento de valores de referencia para garantizar la representación adecuada de la población a la que asisten, los tipos de muestras y la metodología que emplean (5).
Actualmente la Organización Mundial de la Salud (OMS) y la IFCC, a través de sus comisiones técnicas mantienen la divulgación y evaluación en materia de control de calidad en laboratorios clínicos (5), y tienen como referencia la Norma ISO 15189: 2012. Esta norma señala en su apartado de intervalos de referencia biológicos o valores de decisión clínica que “el laboratorio debe definir los intervalos de referencia biológicos, debe documentar su fundamento y debe comunicar esta información a los usuarios; asimismo indica que, cuando un intervalo de referencia biológico ya no sea pertinente para la población objeto del servicio se deben hacer los cambios apropiados y comunicárselos a los usuarios”. Por otra parte establece que “cuando el laboratorio cambia un procedimiento analítico o pre-analítico, debe revisar los intervalos de referencia, según sea aplicable (1) (5).
Adicionalmente el Instituto de Estándares Clínicos y de Laboratorio (Clinical and Laboratory Standards Institute, CLSI), dispone de una guía que contiene propuestas e instrucciones para que los laboratorios puedan definir y establecer los intervalos o valores de referencia. Dentro de estas propuestas, el CLSI propone realizar la transferencia y revisión de dichos valores previamente establecidos (2) (5) (6). Es por ello que el Laboratorio de Referencia Marrero Blanco, CA, considerando las exigencias de la norma ISO 15189: 2012, los costos onerosos que conlleva la determinación de valores de referencia y la actual coyuntura económica del país, decidió realizar la verificación y transferencia de los intervalos de referencia biológicos proporcionados por la casa comercial a la población a la que presta el servicio de análisis clínicos. Como transferibilidad se entiende a la propiedad de poder ser asumidos como propios los datos obtenidos por otro laboratorio diferente al que los ha producido (7) (8). Es por ello que debe evaluarse un número mínimo de 20 especímenes y la verificación debe garantizar las buenas prácticas de laboratorio (9).
El objetivo de la presente investigación consistió en revisar si los valores de referencia producidos por la industria de diagnóstico in vitro, para los analitos glucemia, creatinina, colesterol total y triglicéridos, eran transferibles a una determinada población, cumpliendo las exigencias de la norma ISO 15189: 2012, mediante la aplicación de un programa de aseguramiento de la calidad y empleando métodos analíticos compatibles entre laboratorios. En este caso han sido empleados a partir de una población distinta, garantizando de esta manera el primer eslabón para la interpretación de los resultados por ser valores de referencia con verdadera utilidad diagnóstica.
Materiales y Métodos
Se trata de un estudio observacional del tipo descriptivo, transversal, de cohorte retrospectivo. Para el estudio fueron analizadas muestras de suero de una población de 23 individuos (pacientes), de sexo masculino y femenino, con edades comprendidas entre 18 y 44 años, con un ayuno de 12 horas y que concurrieron durante el mes de septiembre de 2018 a las instalaciones del Laboratorio de Referencia Marrero Blanco, C.A, ubicado en la ciudad de Valencia, Estado Carabobo, a realizarse análisis bioquímicos. Se consideraron como criterios de inclusión el ayuno, hábitos psicosociales y no tener enfermedad aparente, ni presencia de antecedentes personales y familiares, trastornos nutricionales, dietas especiales, diagnóstico previo de enfermedades sistémicas como insuficiencia renal o patologías relacionadas con vías urinarias, diabetes, dislipemias, hepatopatía crónica y pacientes embarazadas o en período de lactancia. Se descartaron del grupo aquellos que no cumplieron con los criterios anteriormente descriptos. Siguiendo lineamientos de ética, los individuos fueron informados del alcance del estudio y se obtuvo la información requerida y su autorización para formar parte del mismo, mediante un registro de consentimiento informado completado por cada paciente según el protocolo de Helsinki.
La extracción de las muestras a los pacientes se llevó a cabo mediante la técnica de venopunción estándar. Los sueros se obtuvieron de muestras de sangre centrifugada entre 1.500 a 2.500 r.p.m. El procesamiento o análisis de las muestras en estudio fue realizado mediante el método de fotometría empleando equipos Rx Daytona (Furuno Electric.co. LTD., Japón). Los analitos determinados para el estudio fueron glucemia (método enzimático), colesterol total (método enzimático), triglicéridos (método enzimático) y creatinina (método cinético). Se empleó un kit de reactivos de la misma firma comercial del instrumento; por consiguiente, los valores de referencia a ser transferidos a la población en estudio fueron los provistos por la casa comercial Randox Laboratories para cada reactivo utilizado.
Se emplearon materiales de control de tercera opinión como actividad de aseguramiento de la calidad. Los parámetros en estudio se encuentran dentro del programa de evaluación externa de calidad EQA de Bio Rad y cabe destacar que dichos analitos de química sanguínea se encuentran acreditados en el laboratorio bajo la norma ISO 15189: 2012.
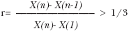
Para la evaluación y análisis estadístico de los datos fue empleado el logaritmo de decisión propuesto por Ventimiglia y Fink en 2002 (10). Para la aceptabilidad de la transferencia de valores de referencia se consideraron los siguientes criterios:
1. Estudio de distribución de los valores de la población a través de histogramas de frecuencia para cada analito: utilizando el programa Hammer 0 Paleontological Statistics Versión 3.04. mediante el cual se obtuvieron los datos necesarios para construir gráficos de histogramas, datos de distribución, frecuencias, porcentuales, medias, desviación estándar, mediana, rangos intercuartílicos, valores mínimos y máximos (11).
2. Detección de valores marginados:
Método de Tukey (12) (13): método no paramétrico que detecta valores extremos en cada uno de los subgrupos. Consiste en calcular cuartiles inferiores (Q1, percentil 25%) y superior (Q3, percentil 75%) del conjunto de datos, así como el rango intercuartil (RIC) obtenido de la sustracción, Q3–Q1. Posteriormente se calcularon los límites superior e inferior de acuerdo con la siguiente fórmula:
Límite inferior = Q1–1,5 x RIC
Límite superior = Q3+1,5 x RIC
Este método se aplicó a cada analito y todos los datos que se encontraron fuera de los límites se consideraron valores extremos y fueron excluidos del estudio.
Método de Dixon modificado por el criterio de Reed (13): Se empleó para descartar los valores marginales aplicando la siguiente fórmula:

3. Determinación de percentiles 2,5% (p 5) y 97,5% (p 97,5): Para calcular el rango de medida se emplearon las siguientes fórmulas:
Límite inferior de referencia: (p 5) = 0,025 (n + 1)
Límite superior de referencia: (p 97,5) = 0,975 (n + 1)
n: es el número de valores una vez excluidos los datos en el paso 2.
4. Comparación de los valores obtenidos con los aportados por el fabricante a través de la determinación del porcentaje de valores por fuera del rango de referencia comercial. Si el 95% de los valores se encuentran dentro de los límites de referencia del fabricante se puede decir que el intervalo se verifica.
Resultados
A continuación se presentan los histogramas donde se observa la distribución estadística de los datos. No se comprobó normalidad para ninguno de los analitos objetos del estudio y por lo tanto el comportamiento de los datos se alejó de la distribución de Gauss, razón por la cual se emplearon métodos más robustos (Figura 1).

En las Tablas I y II se presentan las estadísticas descriptivas de las variables estudiadas en las muestras: media aritmética, mínimo, máximo, desviación estándar (DE), medianas y percentiles de los valores correspondientes a glucemia, colesterol total, creatinina y triglicéridos, para un número de muestras (n=23).

| Variable | Mediana | Percentil 2,5%* | Percentil 97,5%* |
| Glucemia | 97,1 | 95,3 | 104,1 |
| Colesterol total | 149 | 125 | 229,8 |
| Creatinina | 0,7 | 0,6 | 1,1 |
| Triglicéridos | 78 | 70 | 193 |
| Mediana, percentil 2,5% y 97,5%.*Percentiles calculados antes de aplicar método de Tukey y Dixon según Reed. | |||
Como se observa en la Tabla III, el porcentaje de inclusión (% de valores dentro de los intervalos de referencia del fabricante) fue del 100% para todos los parámetros en estudio y se considera que la trasferencia fue satisfactoria para todos los analitos. En el caso del colesterol total, los rangos de referencia reportados por el fabricante y según las recomendaciones del panel de expertos del National Cholesterol Education Program (NCEP) se interpretan de la siguiente manera; para valores <200 mg/dL (colesterol en sangre deseable), 200-239 mg/dL (colesterol borderline alto) y >240 mg/dL (colesterol en sangre alto) (14).

Discusión y Conclusiones
En la presente investigación los analitos fueron evaluados mediante un control de aseguramiento de la calidad de la organización. Sin embargo, las variaciones en los resultados pueden deberse a condiciones individuales (edad, sexo, dieta, actividad física) y factores ambientales, es decir están sujetos a la variabilidad biológica individual y colectiva (12) (15).
Es importante destacar que en Venezuela no se han registrado estudios de transferibilidad de valores de referencia para los parámetros analizados y el presente es el primero en llevarse a cabo. En 2013, en la población mexicana, se realizó una investigación donde, al igual que en el presente estudio, no se mostraron variaciones entre los intervalos de referencia calculados para la creatinina y los proporcionados en el inserto de la firma comercial. Sin embargo, las variaciones más notables se observaron en los metabolitos BUN, urea, relación BUN/creatinina (15).
Para los intervalos de referencia glucosa y colesterol total, Yofre et al, concluyeron que los valores hallados estaban contenidos en el rango del fabricante, resultados similares a los obtenidos en la presente investigación. Sin embargo, en el caso de la creatinina para estos autores, el intervalo de referencia inferior no se encontró contenido en el rango dado, ya que para la investigación se basaron en un intervalo de 0,7 a 1,30 mg/dL. Yofre et al obtuvieron como límite inferior 0,57 mg/dL, mientras que el superior estaba dentro del rango del fabricante (1,10 mg/dL); por esta razón concluyeron que no podrían aceptar la transferibilidad de dichos intervalos de referencia indicados por el fabricante, a diferencia de los resultados encontrados en la presente investigación (14).
Debido a que pueden presentarse variaciones en las concentraciones de componentes bioquímicos de acuerdo con las condiciones ambientales, demográficas, culturales y factores genéticos, es recomendable que cada región establezca sus valores de referencia para un mejor diagnóstico y tratamiento de patologías (16). Tomando en cuenta la importancia a nivel clínico de establecer valores de referencia propios para la población a la que se les presta el servicio y considerando que los equipos de la serie RX Daytona son utilizados en diferentes instituciones a nivel estatal, los valores arrojados en este estudio pueden ser considerados de gran aporte para todos aquellos laboratorios que prestan el servicio con estos mismos equipos.
Es responsabilidad del laboratorio clínico la identificación de sus valores de referencia mediante procedimientos recomendados por la IFCC y ahora exigidos en la ISO 15189:2012, con el objetivo de homogeneizar los criterios para la obtención de intervalos de referencia en los distintos países y facilitar el análisis de la variabilidad biológica de las diferentes razas (17) (18).
Una vez verificada la transferibilidad de los valores de referencia para los 4 analitos objeto de esta investigación, se acepta el empleo de los intervalos de referencia de la firma comercial para la población en estudio. Con este protocolo el laboratorio cuenta con una herramienta para asegurar que los intervalos de referencia utilizados sean adecuados para su población y metodología, incrementando la utilidad diagnóstica del reporte de resultados.
A pesar de que se verificó la transferibilidad de los intervalos de referencia a la población de Valencia–Venezuela y que su utilidad diagnóstica es considerable, se espera en el futuro aportar más evidencia en este sentido y establecer puntos de corte locales, por edad y sexo.
Referencias bibliográficas
1. Norma UNE-EN ISO 15189:2012, Laboratorios Clínicos, Requisitos Particulares para la Calidad y Competencia, Madrid, AENOR, Deposito Legal: 17477: 2013.
2. Queraltó JM, Antoja F, Cortés MV, Domenech P, Ferrer X, Fuentes A, et al. Valores de referencia intraindividuales. Sociedad Española de Química Clínica. Quim Clin 1991; 10: 56-8.
3. Olay G, Piedra P, Hernández R, Cervantes R, Presno J, Alcantara L. Determinación de intervalos de referencia para química clínica en población mexicana. Rev Latinoam Patol Clin 2013; 60: 43-51.
4. James C. Defining laboratorory reference values and decision limits: populations, intervals, and interpretations. Asian J Androl 2010; 12: 83-90.
5. Queraltó JM, Antoja F, Cortés M, Domenech MV, Ferrer P, Fuentes J, et al. Producción y utilización de valores de referencia. En: Sociedad Española de Química Clínica. Comité Científico. Comisión de Valores de Referencia. Barcelona: Quím Clín 1987; 6: 49-68.
6. González de la Presa B, Canalias F, Esteve S, Gella FJ, Izquierdo S, López R, et al. Procedimiento para la transferencia y revisión de intervalos de referencia biológicos. Sociedad Española de Bioquímica Clínica y Patología Molecular. Comité Científico; 2016.
7. Clinical and Laboratory Standards Institute (CSLI). Defining establishing and verifying reference intervals in clinical laboratory; Approved Guidelines. 3rd ed. CLSI document C28-A3. Wayne, PA 2008:11-25.
8. Etcheverry G, De Marco C, Verna J. Transferencia de intervalos de referencia de C3, C4 e inhibidor de C1. Acta Bioquím Clín Latinoam 2005; 39: 323-8.
9. Queraltó JM, Antoja F, Costés M, Domenech MV, Ferrer P, Fuentes X, et al. Transferibilidad de valores de referencia. En: Sociedad Española de Química Clínica, Comité Científico, Comisión de Valores de Referencia. Barcelona: Quím Clín 1990; 9: 102-23.
10. Ventimiglia F, Fink NE. Intervalos de referencia: metodología para su creación y verificación. Acta Bioquím Clín Latinoam 2002; 36: 223-33.
11. Hammer Ø. Paleontological Statistics Versión 3.04. Reference Manual. Natural History Museum University of Oslo. 1999-2014.
12. Tukey JW. Exploratory data analysis. Reading MA: Addison Wesley; 1997: 688.
13. Reed AH, Henry RJ, Mason WB. Influence of statistical method used on the resulting estimate of normal range. Clin Chem 1971: 275-84.
14. Yofre P, Fuentealba S, Torrent M, Finocchietto P, Robelli M, Borquez F, et al. Intervalos de referencia de determinaciones bioquímicas en el laboratorio central del Hospital de Trelew. Acta Bioquím Clín Lantinoam 2012; 46: 15-22
15. Olay G, Presno-Bernal D, Díaz P, Hernández R, Cervantes-Villagrana D, Alcantara LE, et al. Determinación de intervalos de referencia para química clínica en población mexicana. Rev Latinoam Patol Clín 2013; 60: 43-51.
16. Tate J, Yen T, Graham J. Transference and validation of reference intervals. Clin Chem 2015; 61: 1012-5.
17. Chan AOK, Lee KC, Leung JNS, Shek CC. Reference intervals of common serum analytes of Hong Kong Chinese. J Clin Pathol 2008; 61: 632-6.
18. Carlsson L, Lind L, Larsson A. Reference values for 27 clinical chemistry tests in 70 year-old males and females. Gerontol 2010; 56: 259-65.
Notas de autor
Autor para correspondencia. Mg. SHARIM JOSEFINA MARRERO Calle 139-A, Centro Comercial Villa Clara II, Nivel n/a, Local n/a, Urbanización El Viñedo, VALENCIA-Edo Carabobo. Venezuela Teléfonos:+00582418240286/2418238447/2418242715. Correo electrónico: s.marrero@laboratoriomarreroblanco.com