Bioquímica Clínica
Valores de referencia de analitos en orina en la edad pediátrica
Reference values of analytes in urine in the pediatric age
Valores de referência de analitos na urina na idade pediátrica
Valores de referencia de analitos en orina en la edad pediátrica
Acta Bioquímica Clínica Latinoamericana, vol. 54, núm. 1, pp. 13-18, 2020
Federación Bioquímica de la Provincia de Buenos Aires
Recepción: 04 Abril 2019
Aprobación: 16 Julio 2019
Resumen: La detección de trastornos metabólicos minerales puede explicar diversas anomalías fisiológicas que exigen para su interpretación la comparación con valores de referencia validados. El objetivo de este trabajo fue la determinación de valores de referencia en la población infantil uruguaya, de los analitos sodio, potasio, calcio, magnesio, fósforo y urato relacionados con la creatinina en muestras de la segunda micción de la mañana en 470 escolares (240 niñas y 230 niños) con edades comprendidas entre 7 y 12 años. Las medianas obtenidas fueron: Na/Crea: 139 mmol/g, K/Crea: 78 mmol/g, Ca/Crea: 77 mg/g, Mg/Crea: 71 mg/g, P/Crea: 500 mg/g, Ur/Crea: 554 mg/g, Crea: 117 mg/dL. A excepción de los cocientes Na/Crea y K/Crea se encontró una disminución de la excreción de estos analitos con la edad, independientemente del sexo. Los valores obtenidos resultaron ser análogos a los de otras poblaciones con tipo de alimentación similar.
Palabras clave: Calcio, Creatinina, Fósforo, Magnesio, Uratos, Sodio, Potasio, Valores de referencia, Orina.
Abstract: The detection of mineral metabolic disorders can explain several pathologies which require the comparison with reference values for their interpretation. The aim of this study was to determine the reference values of 470 Uruguayan school children with ages between 7 and 12 for sodium, potassium, calcium, magnesium, phosporous and urate and their relationship with creatinine in urine samples of the second urination of the morning. The median obtained were: Na/Crea: 139 mmol/g, K/Crea: 78 mmol/g, Ca/Crea: 77 mg/g, Mg/Crea: 71 mg/g, P/Crea: 500 mg/g, Ur/Crea: 554 mg/g, Crea: 117 mg/dL. A diminishment of excretion with the age was found, regardless the sex, except for Na/Crea and K/Crea. The values obtained were similar to those of others populations with a similar diet.
Keywords: Calcium, Creatinine, Phosphorous, Magnesium, Urates, Sodium, Potassium, Reference values, Urine.
Resumo: A detecção de distúrbios metabólicos minerais pode explicar várias anomalias fisiológicas, que exigem a comparação com valores de referência validados para serem interpretados. O objetivo deste estudo foi determinar valores de referência na população infantil uruguaia, dos analitos sódio, potássio, cálcio, magnésio, fósforo e urato relacionados com a creatinina em amostras da segunda micção da manhã em 470 alunos (240 meninas e 230 meninos) com idades entre 7 e 12 anos. As medianas obtidas foram: Na/Crea: 139 mmol/g, K/Crea: 78 mmol/g, Ca/Crea: 77 mg/g, Mg/Crea: 71 mg/g, P/Crea: 500 mg/g, Ur/Crea: 554 mg/g, Crea: 117 mg/dL. Com exceção dos quocientes Na/Crea e K/Crea, foi encontrada uma diminuição na excreção destes analitos com a idade independentemente do sexo. Os valores obtidos foram análogos aos de outras populações com um tipo similar de dieta.
Palavras-chave: Cálcio, Creatinina, Fósforo, Magnésio, Uratos, Sódio, Potássio, Valores de referência, Urina.
Introducción
La detección de trastornos metabólicos minerales puede explicar anomalías fisiológicas como enuresis, microhematurias, dolores abdominales, presencia de litiasis renal. En esos casos, se requiere comparar las excreciones de minerales en la orina con valores de referencia validados (1)(2)(3)(4)(5).
Aunque el concepto de intervalos de referencia y su aplicación parece sencillo, en el rango de edad pediátrica este proceso es más complejo que en el adulto, ya que el desarrollo que ocurre en las diferentes etapas de la niñez, el sexo, la raza y el tipo de alimentación influyen en las concentraciones encontradas en sangre y en orina y difieren las mismas según las edades. Si bien hay varias publicaciones sobre estos temas (6)(7)(8)(9), no todas son coincidentes, ya que probablemente los valores estén influenciados por las diferentes dietas de cada región.
Desafortunadamente, las diferencias en los intervalos de referencia pediátricos tienen el potencial de contribuir al diagnóstico erróneo de algunas enfermedades de la infancia y la adolescencia (10).
La muestra de estudio adecuada es la orina de 24 h pues cubre la excreción dependiente de la alimentación de los periodos pre y posabsortivos de cualquier analito. La dificultad en la recolección de una muestra de 24 h, en particular en niños, ha llevado a buscar alternativas como la de relacionar el analito en estudio con la creatininuria. Esta, por ser una sustancia de excreción continua y constante durante el día, e independiente del estado de hidratación, se utiliza para normalizar la excreción de cualquier sustancia respecto de ella, independizándola así de la influencia de la diuresis (11).
El objetivo de este trabajo fue la determinación de valores de referencia en la población infantil uruguaya, de los analitos calcio, magnesio, fósforo, uratos, sodio y potasio relacionados con la creatinina, en muestras de la segunda micción de la mañana.
Materiales y Métodos
Se estudiaron muestras de orinas de la segunda micción de la mañana procedentes de 470 escolares, con dieta libre (240 niñas y 230 varones) de rango etario entre 7 y 12 años, procedentes de 9 ciudades de Uruguay.
Como criterio de exclusión se consideró la presencia de enfermedades agudas recientes.
Este proyecto contó con la aprobación del Comité de Ética de la Facultad de Química del Uruguay y con el consentimiento informado de los padres de los niños participantes.
Las muestras fueron centrifugadas y analizadas dentro de las 24 h de emitidas en un analizador AU 480 (Beckman- Coulter-Japón) con reactivos Beckman-Coulter. Se analizaron: sodio (Na), potasio (K), calcio (Ca), magnesio (Mg), fósforo (P), uratos (Ur) y creatinina (Crea).
El desempeño del equipo fue asegurado de acuerdo a las instrucciones del fabricante con mantenimiento preventivo, verificación de funciones y calibraciones oportunas. La precisión y exactitud se aseguró con el procesamiento de dos niveles de controles internos y participación en un control de calidad externo, respectivamente.
Los datos se analizaron de acuerdo con las pautas del Clinical and Laboratory Standards Institute (CLSI) y de la International Federation of Clinical Chemistry and Laboratory Medicine (IFCC) (12)(13)(14) y el análisis de datos se realizó sobre una planilla Excel (Microsoft) 2016 y sobre SPSS versión 24.
Se usaron frecuencias de distribución para inspeccionar visualmente los gráficos; los valores atípicos se identificaron con la prueba de Tukey y con los gráficos de cajas y fueron eliminados con espíritu conservador.
Se realizó en cada distribución el estudio de la normalidad con la prueba de Kolmogorov-Smirnov. Las particiones por sexo y edad se determinaron mediante la inspección visual de la distribución y se analizaron estadísticamente con la prueba no paramétrica de Kruskal Wallis (K grupos independientes).
Resultados
De los 7 analitos procesados sólo la excreción de Ur/Crea presentó una distribución gaussiana, según prueba de Kolmogorov-Smirnov. Los cocientes K/Crea, Na/Crea, Mg/Crea, P/Crea y creatinina si bien presentaron sus distribuciones acampanadas no cumplieron con los criterios de normalidad. La distribución del cociente Ca/Crea tuvo una forma de semi campana.
Los valores de referencia encontrados se muestran en la Tabla I. Cuando se aplicó la prueba de Kruskal-Wallis en las particiones por sexo, no aparecieron diferencias significativas entre ellos a excepción del cociente Na/Crea. En las particiones por edad, en cambio, aparecieron diferencias para los cocientes Ca/Crea, Mg/Crea, P/Crea, Ur/Crea y no existieron diferencias para Na/Crea y K/Crea.
Los resultados encontrados se detallan en la Tabla II y en las Figuras 1 a 5.
Tabla I. Mediana y percentiles de 0,025 y 0,975 con límites de confianza de 90%, de Na/Crea, K/Crea en mmol/g, de, Ca/Crea, Mg/Crea, P/Crea, Ur/Crea en mg/g y de creatininuria en mg/dL de una población infantil entre 7 y 12 años.


Tabla II. Valores de Referencia distribuidos por edad de Na/Crea, K/Crea en mmol/g, de P/Crea, Ca/Crea, Mg/Crea, Ur/Crea en mg/g y de creatininuria en mg/dL de la población infantil estudiada.
Figura 1.Medianas de los cocientes Na/Crea y K/Crea en mmol/g según la edad.

Figura 2. Medianas de los cocientes Ca/Crea y Mg/Crea en mg/g según la edad.


Figura 3. Medianas de los cocientes Ur/Crea y P/Crea en mg/g según la edad.

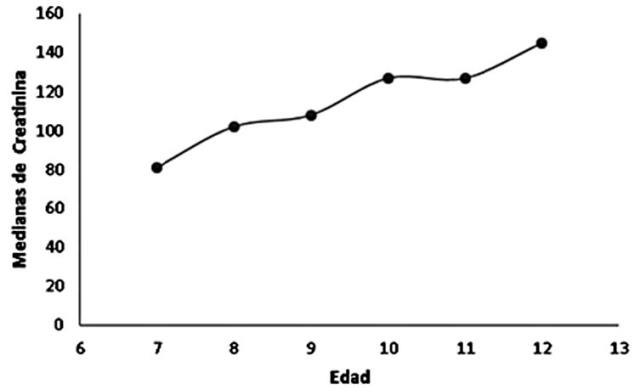
Figura 4. Medianas de creatininas en mg/dL según la edad.

Figura 5. Medianas de los cocientes Na/Crea en mmol/g según edad y sexo.
Discusión y Conclusiones
Los valores de la creatininuria de la segunda micción de la mañana, en la población infantil estudiada, no presentaron diferencias significativas entre varones y niñas, pero sí éstas aparecieron cuando se los agrupó por rango etario, igual a lo encontrado en el estudio de Haurtxo (15). En la Figura 4 se detallan las medianas de la creatinina vs. la edad, con aumento de este parámetro en niños mayores, como era de esperar según el desarrollo de la masa muscular.
La Figura 2 y la Figura 3 muestran el comportamiento de las medianas de los cocientes Ca/Crea, Mg/Crea, P/Crea, Ur/Crea según la edad; se observa una disminución del cociente en los niños mayores en concordancia con los resultados obtenidos del análisis de la distribución según edad con la prueba de Kruskal-Wallis.
En el caso de la relación Ca/Crea y P/Crea, el percentil 0,975 en niños de 12 años es 200 mg/g y 873 mg/g respectivamente, similares a los valores encontrados en los adultos en esta región: <229 mg/g para Ca/Crea y <866 mg/g para P/Crea (16).
La calciuria en condiciones fisiológicas es un reflejo de la ingesta y de la concentración de vitamina D. Sorprende el alto valor encontrado en niños de 7 años; aunque el pequeño tamaño de la muestra le quita fortaleza al resultado, éste es coherente con la tendencia del cociente Ca/Crea en función de la edad. Coincide también en que el percentil 0,975 de estos niños de 7 años, de 247 mg/g es similar al hallazgo de Matos et al. (9) con un valor de 300 mg/g en el percentil 0,95 en niños de 3-5 años. Carbonell et al. (17), encontraron también diferencias por edad en la excreción de la relación Ca/Crea, tanto en orina aislada como en orina de 24 h y describieron en la muestra de 24 h una asociación entre la calciuria y la natriuria. En las muestras de este trabajo no se encontró ninguna asociación.
Tanto la magnesuria (Fig. 2) como la fosfaturia (Fig. 3) tienen similar comportamiento que la calciuria y disminuyen con la edad. Estos hallazgos son similares a los reportados por diferentes autores (9) (18).
La uricosuria también disminuye con la edad, pero a los 8 años desciende a valores menores que a los 9 años, quizás relacionada con la maduración de su particular mecanismo de excreción renal. Sanchez Bayle et al. (19), también encontraron un descenso de la relación Ur/Crea con la edad, pero al agrupar los valores de los niños entre 6 y 9 años, no describieron esta diferencia.
El valor del percentil 0,975 del cociente Ur/Crea es <530 mg/g (16) en nuestra población adulta y en los niños de 12 años es de 783 mg/g, sin alcanzar aún los valores encontrados en el adulto.
El cociente K/Crea es similar en varones y niñas y se mantiene constante con la edad como se muestra en la Figura 1.
El cociente Na/Crea tiene diferencias significativas entre sexos y es mayor la excreción en varones que en niñas como se ve en la Figura 5. En particular en los varones de 9 y 10 años, la mediana de las natriurias alcanza valores superiores a 200 mmol/g de creatinina.
La ingesta excesiva de sodio se asocia con diversas enfermedades como hipertensión, enfermedades cardiovasculares o accidentes cerebrovasculares, por lo que se promueve la disminución de su consumo para disminuir el riesgo de dichas enfermedades (20).
La OMS (2013) (20) aconseja para la población infantil una ingesta menor de 5 g/día de NaCl que equivale a 2 g/día (87 mmol/día) de Na. La natriuria de 24 h se considera el método de referencia para evaluar la ingesta de este ion. Si se toman como valores de la diuresis los propuestos por Barakat et al. (21), en niños de 7 años el rango sería de 650-1.006 mL y en niños de 8-19 años de 750-1.500 mL. En la población estudiada, solo un 28% de éstos tienen una natriuria <100 mmol/L, que representaría para una diuresis de 1.000 mL un aporte adecuado de Na, pero el 72% restante excedería en diferentes grados dichas recomendaciones y sería así una población de riesgo para enfermedades cardiovasculares.
Si se comparan con nuestra población adulta, los valores de la relación Na/Crea de 166 mmol/g para el percentil 0,975 son sensiblemente inferiores a la población infantil (16).
En conclusión, este estudio determinó valores de referencia para algunos solutos en orina de utilidad clínica que son similares a los encontrados en poblaciones con análogas dietas y permitió además detectar una población de riesgo debido a la ingesta excesiva de sodio, tema con impacto a nivel de la salud pública.
Correspondencia
Dra. Cristina Servetto
Correo electrónico: servettofq@gmail.com
Referencias bibliográficas
1. Areses R. Enfermedad renal litiásica en la edad pediátrica. Evaluación diagnóstica y estudio metabólico. An Pediatr Contin 2012; 10: 243-56.
2. Gonzalez-Lamuño D. Hipercalciuria. Pediatr Integral 2013; 17: 422-32.
3. Meyers K. Evaluation of hematuria in children. Urol Clin N Am 2004; 3: 559–73.
4. Eliwa AM. Urological causes of abdominal pain in children: a mini-review. Ann Pediatr Child Health 2016; 4: 1.097-2.002.
5. Ashraf M, Parray NA, Malla RA, Rasool S, Ahmed K. Hematuria in children. Int J Clin Pediatr 2013; 2: 51-60.
6. Medina M, Villanueva S, Martín G, Medina C, León E, Arcos A, et al. Factores de riesgo metabólico para litiasis urinaria en niños. Disponible en: http://www.medigraphic.com/pdfs/bioquimia/bq-2009/bq093c.pdf (Fecha de acceso: 12 de febrero de 2019).
7. Shorki H, Haji Aahmadi M. Urinary calcium to creatinin ratio in children. Indian J Pediatr 2005; 72: 1.055-6.
8. El Mallah C, Ghattas H, Shatila D, Francis S, Merhi K, Hlais S, et al. Urinary magnesium, calcium, and phosphorus to creatinine ratios of healthy elementary school Lebanese children. Biol Trace Elem Res 2016; 170: 264–70.
9. Matos V, van Melle G, Boulat O, Markert M, Bachmann C, Guignard JP. Urinary phosphate/creatinine, calcium/ creatinine, and magnesium/creatinine ratios in a healthy pediatric population. J Pediatr 1997; 131: 252-7.
10. Jung B, Adeli K. Clinical laboratory reference intervals in pediatrics: the CALIPER initiative. Clin Biochem 2009; 42: 1.589–95.
11. Emparanza J, Areses R, Arriola M, Urbieta M. Estudio Haurtxo. Valores de referencia de la calcemia y de calciuria en nuestra población infantil normal. Nefrología 1994; 14: 0-618.
12. International Federation of Clinical Chemistry. Approved Recommendation on the Theory of Reference Values. Eur J Clin Chem Clin Biochem 1991; 29: 531-5.
13. Fuentes Arderiu X. Intervalos de referencia biológicos. Disponible en: http://www.ifcc.org/media/215857/Intervalos%20de%20referencia%20biol%C3%B3gicos%20DIV.pdf (Fecha de acceso: 13 de febrero de 2019).
14. Horowitz G, Jones G. Establishment and use of reference intervals. Tietz Textbook of Clinical Chemistry and Molecular Diagnostics. 6th edition. New York: Elsevier; 2018. p. 170-93.
15. Urbieta M, Arriola M, Garrido A, Ugarte B, Areses R. Estudio Haurtxo: Valoración de creatininemia, creatininuria y aclaramiento de creatinina en niños normales. Nefrología 1991: 11 (4): 327-31.
16. Bidegain E, Varela B, Servetto C. Utility of the first morning urine in the evaluation of renal calculi risk factors. Proceedings of the 22nd International Congress of Clinical Chemistry and Laboratory Medicine; 2014 June 22‐26 Istanbul, Turkey; Final Program p. 130.
17. Carbonell JM, Vázquez M, Baeza J, Vila S, Arnáiz P, Ecija J. Excreción urinaria de calcio y sodio en niños normales. Nefrología 1999; 19 (3): 223-30.
18. Vázquez M, Baeza J, Vila S, Arnáiz P, Miguel V, Agostino A, et al. Eliminación urinaria de citrato, magnesio y oxalato en niños normales. Nefrología 1995; 15 (6): 550-8.
19. Sanchez M, Martinez A, Ruiz-Jarabo C, Asensio J, Arnaiz P, Vila S, Baeza J. Uricosuria en la infancia y adolescencia. Nefrología 1992; 12 (3): 239-43.
20. OMS - Directrices: Ingesta de sodio en adultos y niños - Organización Mundial de la Salud 2013. Geneva, Switzerland. Disponible en:https://apps.who.int/iris/bitstream/handle/10665/85224/WHO_NMH_NHD_13.2_spa.pdf;jsessionid=F3F8 (Fecha de acceso 10 de febrero del 2019).
21. Barakat AY, editor. Renal disease in children. Clinical evaluation and diagnosis. New York: Springer-Verlag; 1990.
Notas de autor
servettofq@gmail.com