TOXICOLOGÍA
Recepción: 13 Julio 2018
Aprobación: 29 Octubre 2018
Resumen: Los hongos son de valor nutricional, organoléptico y comercial, pero también contienen sustancias toxicas que dan lugar a micetismos, cuyo tratamiento requiere el conocimiento del toxindrome para poder lograr el tratamiento adecuado. En esta serie de cuatro artículos se clasifican los micetismos en base al periodo de latencia, que es el tiempo transcurrido desde la ingestión hasta la aparición de los síntomas, en intoxicaciones tardías, demoradas o retrasadas y tempranas o precoces. En esta parte 1 se analizan los siguientes síndromes con latencia tardía: a) Hepatotoxico o por ciclopeptidos (micetismo por amatoxinas). b) Nefrotoxico (micetismo por Amanitas nefrotoxicas). c) Eritromelalgia (micetismo por especies de Clitocybe). d) Neurotoxico epileptogenico (micetismo por giromitrina). e) Cerebeloso (micetismo por Morchella spp.). f) Encefalopatico o neurotoxico tardio (micetismo por Hapalopilus rutilans). La toxicidad tardia engloba los sindromes potencialmente mas graves, cuyos síntomas surgen entre 6 y 24 horas despues de la ingestión. Para cada síndrome se da a conocer el tiempo de latencia, la sintomatologia, las toxinas y el mecanismo de acción (cuando se conocen), y por ultimo las especies de macromicetos involucradas. A veces, si es necesario, se discute la toxicodinamia y las metodologías de análisis. En la última sección se discuten los tratamientos generales, y mas en detalle, los tratamientos para contrarrestar los micetismos debidos a amatoxinas y a giromitrina, que han sido los mas estudiados de todos los analizados en esta parte 1. Esta información es considerada de valor para el conocimiento de los bioquímicos clínicos, así como de médicos toxicólogos y personal de salud de unidades de emergencia.
Palabras clave: Micetismos, clasificación, período de latencia, toxíndromes, síndrome con latencia tardía, toxinas, mecanismos de acción, tratamientos.
Abstract: Mushrooms are of nutritional, organoleptic and commercial value, but they also contain toxic substances that give rise to the so-called mushroom poisoning (mycetism), whose medical management requires knowledge of the toxin in order to achieve the appropriate therapy. In this series of three articles, mushroom toxidromes are classified based on the latency period, which is the time elapsed from ingestion to the onset of the symptoms, in late, delayed-, and early-onset intoxications. In this part 1, the following late-onset syndromes are analyzed: (a) Hepatotoxicity or cyclopeptide syndrome due to amatoxins. (b) Nephrotoxicity or Amanita nephrotoxic syndrome. (c) Erythromelalgia (mycetism due to Clitocybe species). (d) Epileptogenic neurotoxicity or gyromitrinic syndrome. (e) Cerebellar syndrome due to Morchella spp. and (f) Late encephalopathic or neurotoxic syndrome due to Hapalopilus rutilans. Late toxicity comprises potentially more severe syndromes, whose symptoms appear between 6 and 24 hours after ingestion. For each syndrome, latency time, symptomatology, toxins, and the mechanism of action (when known) are analyzed, together with the species of macromycetes involved. Sometimes, if necessary, toxicodynamics and methodologies of analysis are displayed. The last section discusses in general mushroom poisoning management, and in detail, the therapy to counteract mycetism due to amatoxins and gyromitrin, which have been the most widely studied of all mushroom poisonings analyzed in this part 1. This information is considered valuable for the knowledge of clinical biochemists, as well as of medical toxicologists, and health staff of emergency units.
Keywords: Mycetism, classification, latency period, toxidromes, late-onset syndromes, toxins, action mechanisms, treatments.
Resumo: Os cogumelos são de valor nutricional, organoléptico e comercial, mas também contêm substâncias tóxicas que dão origem às intoxicações por cogumelos (micetismos), cujo tratamento requer o conhecimento da toxíndrome a fim de alcançar a terapia apropriada. Nessa série de três artigos, as intoxicações por cogumelos são classificadas com base no período de latência, que é o tempo decorrido desde a ingestão até o início dos sintomas, em intoxicações tardias, demoradas ou retardadas e precoces. Nessa parte 1, são analisadas as seguintes síndromes de latência tardia: (a) Hepatotóxica ou por ciclopeptídeos (intoxicações por amatoxinas). (b) Nefrotóxica (intoxicação por Amanitas nefrotóxicas). (c) Eritromelalgia (micetismo por espécies de Clitocybe). (d) Neurotóxica epileptogênica (intoxicação por giromitrina). (e) Cerebelar (intoxicação por Morchella spp. f) Encefalopática ou neurotóxica tardia (micetismo por Hapalopilus rutilans. Toxicidade tardia abrange as síndromes potencialmente mais graves, cujos sintomas aparecem entre 6 e 24 horas após a ingestão. Para cada síndrome, o tempo de latência, a sintomatologia, as toxinas e o mecanismo de ação (quando conhecidos) são dados a conhecer, juntamente com as espécies de macromicetos envolvidos. Às vezes, se necessário, a toxicodinâmica e as metodologias de análise são discutidas. A seção final discute os tratamentos gerais e, mais detalhadamente, os tratamentos para a abordagem terapêutica dos micetismos por amatoxinas e giromitrina, que têm sido os mais estudados de todos os analisados nessa parte 1. Essa informação é considerada de valor para o conhecimento dos bioquímicos clínicos, bem como para médicos toxicologistas e pessoal de saúde das unidades de emergência.
Palavras-chave: Micetismo (intoxicação por cogumelos), classificação, tempo de latência, toxíndromes, síndrome com tempo de latência tardia, toxinas, mecanismos de ação, tratamentos.
1. Introducción
Es ya costumbre incluir en almuerzos y cenas algún plato que en su elaboración incluya hongos, ya sea salsas con “champignons” para acompañar carnes al estilo francés, o bien verduras cortadas en juliana, mezclada con hongos al estilo chino, además de la clásica ensalada de hongos frescos, solos o con vegetales. En la búsqueda de una alimentación “natural”, como sinónimo de “sana”, se incrementa la incorporación de hongos, por sus propiedades nutricionales y terapéuticas, fomentando la recolección de los silvestres. Así surgen los micetismos y la realidad que lo natural no es siempre sinónimo de inocuidad.
Existe un número importante de consultas al año por la ingesta de hongos silvestres causantes de intoxicación, por lo que es importante conocer en detalle las especies causantes de síndromes de intoxicación con el fin de alertar a consumidores de hongos silvestres y a los profesionales de la salud de su existencia. Los diversos micetismos son ampliamente conocidos en la literatura, así como gran parte de los compuestos químicos presentes en los hongos superiores (Macromicetos) (1,2,3,4,5,6,7,8,9,10,11,12). Se han realizado varios trabajos en los laboratorios de los autores sobre las conformaciones, estructuras y estudios ab initio de los ciclopéptidos de Amanita phalloides y derivados (13,14,15,16) sobre su reactividad cruzada con otras toxinas (17) y estudios de relación estructura actividad (QSAR, sigla del inglés: quantitative structure-activity relationship) y de bioactividad de estos y otros ciclopéptidos (18,19,20).
Para evitar intoxicaciones, sobre todo aquellas que puedan llevar a internaciones y terminar en trasplante y/o muerte, es necesario ser prudentes en la recolección de hongos silvestres y conocer qué síndromes son provocados por determinados hongos, cuáles son las posibles toxinas y si existen tratamientos adecuados para contrarrestar su acción.
2. Clasificación de los toxíndromes
Primeramente se debe tener en cuenta que en los hongos superiores, Macromicetos, lo que se recolecta para el consumo corresponde a los cuerpos fructíferos (carpóforos) de los hongos, que en castellano se denominan “setas” (en inglés: “mushrooms”) y el organismo completo “hongo” (en inglés: “fungus”), pero que en Argentina se llama indistintamente “hongo”.
Se conocen trabajos con el listado de los Agaricales argentinos correspondientes a las familias Amanitaceae, Pluteaceae . Hygrophoraceae (21); Coprinaceae y Strophariaceae (22); Bolbitaceae y Crepidotaceae (23); Tricholomataceae (24); Agaricaceae (25); Paxillaceae, Gomphidiaceae, Boletaceae y Russulaceae (26); Cortinariaceae y Entolomataceae (27), entre otros.
A través de los años, se han aislado e identificado distintos tipos de compuestos de los hongos, destacándose compuestos terpenoidales, esteroles, lectinas, compuestos fenólicos, alcaloides, péptidos, ciclopéptidos, polipéptidos y proteínas, responsables de diversas propiedades medicinales, como actividad antitumoral, antiinflamatoria, antifúngica, antimicrobiana, antiviral y nematicida (28). Recientemente se ha publicado una revisión sobre alcaloides indólicos de hongos (12). También se ha visto la importancia de la determinación de las esporas de hongos en investigaciones criminales forenses (29). En el presente trabajo interesan los compuestos presentes en los carpóforos que resultan tóxicos para el hombre, con variados mecanismos de acción.
La clasificación de los micetismos provocados por los carpóforos se puede realizar tomando como base el tipo de compuesto tóxico que poseen, o bien, según el síndrome que provocan por ingestión, más concretamente toxíndrome (conjunto de signos y síntomas que presenta el paciente, provocado por uno o varios compuestos tóxicos) (30).
Resulta muy adecuado hacer una primera división de los toxíndromes teniendo en cuenta el tiempo de incubación . período de latencia, que es el tiempo transcurrido desde la ingestión de los hongos hasta la aparición de los primeros síntomas, pues ayuda a establecer el diagnóstico y por ende, el tratamiento inicial. Es necesario aclarar que ese tiempo de incubación puede variar entre individuos, que se trata de una apreciación personal y que el registro que se hace en las unidades de emergencia a veces no es suficientemente preciso. Por lo tanto, la inclusión de los síndromes en cada grupo se ve afectada, sobre todo en los tardíos y demorados.
Anteriormente (2), se clasificaron los micetismos en dos grandes grupos tomando como referencia la latencia mayor o menor de seis horas y se enumeraron las especies más frecuentemente involucradas. En el presente trabajo se consideran también los tiempos de latencia demorados o retrasados, teniendo entonces tres grandes grupos de clasificación:
En el grupo 1 se encuentran los siguientes micetismos tardíos:
a) Toxíndrome hepatotóxico o ciclopeptídico. Micetismo por amatoxinas.
b) Toxíndrome nefrotóxico. Micetismo por Amanitas nefrotóxicas.
c) Toxíndrome con eritromelalgia. Micetismo por especies de Clitocybe.
d) Toxíndrome giromitrínico o neurotóxico epileptogénico. Micetismo por giromitrina.
e) Toxíndrome cerebeloso. Micetismo por Morchella spp.
f) Toxíndrome encefalopático o neurotóxico tardío. Micetismo por Hapalopilus rutilans.
En el grupo 2 se encuentran los siguientes micetismos demorados:
g) Toxíndrome nefrotóxico demorado o retrasado. Micetismo orellánico o por orellanina.
h) Toxíndrome con rabdomiólisis. Micetismo por Tricholoma equestre y T. terreum.
i) Toxíndrome encefalopático o neurotóxico retrasado. Micetismo por Pleurocybella porrigens.
j) Toxíndrome cardiovascular. Micetismo por Trogia venenata.
En el grupo 3 se encuentran los siguientes micetismos tempranos:
k) Toxíndromes gastrointestinales o resinoides.
l) Toxíndrome muscarínico o colinérgico periférico. Micetismo por especies de Inocybe y Clitocybe.
m) Toxíndrome inmunohemolítico o hemolítico. Micetismo por Paxillus.
n) Toxíndrome pneumónico alérgico. Licoperdonosis o micetismo por Lycoperdon perlatum y por Pholiota nameko.
o) Toxíndrome panterínico o neurotóxico glutaminérgico. Micetismo por compuestos isoxazólicos o síndrome pantherina/muscaria.
p) Toxíndrome coprínico o cardiovascular. Micetismo inducido por alcohol o reacción tipo disulfiram.
q) Toxíndrome neurotóxico alucinogénico. Micetismo por psilocibina y derivados indólicos.
r) Toxíndrome psicotrópico por estirilpironas y gimnopilinas. Micetismo debido al hongo alucinogénico Gymnopilus spectabilis o G. junonius.
s) Toxíndrome agudo de rabdomiólisis. Micetismo por Russula subnigricans.
t) Toxíndrome cianogénico. Micetismo por Marasmius oreades.
u) Toxíndrome inmunosupresor. Micetismo por tricotecenos macrocíclicos de Podostroma cornu-damae.
v) Toxíndrome hemolítico debido a ostreolisina de Pleurotus ostreatus y especies relacionadas.
3. Análisis de cada sindrome principal del micetismo considerado (En el presente trabajo se trataran solo los micetismos tardios)
GRUPO 1: Micetismos tardíos
3.1. Toxíndrome hepatotóxico o ciclopeptídico. Micetismo por amatoxinas
Período de latencia: Suele ser de 8 a 24 horas. Los síndromes de aparición tardía (>6 horas) ocurren principalmente después de la ingestión de hongos letales (31).
Sintomatología: Este micetismo consta de tres fases: intestinal, de mejoría aparente y de lesión hepática (32). Durante la fase intestinal, los síntomas son: malestar, calambres abdominales, gastroenteritis, diarrea, a veces sanguinolenta, y vómitos severos. Se observa una importante pérdida de líquidos que provoca deshidratación. Esta primera fase puede ser causa de muerte (paro cardíaco o shock vascular) si la persona intoxicada no se pone en tratamiento.
Aproximadamente a los dos días de la ingestión de los carpóforos los síntomas desaparecen durante algunas horas (fase de mejoría aparente), lo cual hace pensar a la persona intoxicada que se encuentra fuera de peligro, pero sufre una recaída de 3 a 5 días después de la ingestión.
La tercera fase es la hepatotóxica que aparece hacia el tercer día después de la ingestión. Esta es la fase más grave, de marcada insuficiencia hepática.
Aproximadamente, una semana después de la ingestión, y debido a hemorragias internas o coma hepático, se puede producir la muerte.
Hace unos años se analizó el efecto de la ingestión de Amanita phalloides sobre las funciones cardíacas en una paciente intoxicada con este hongo, complicada con insuficiencia multiorgánica y shock cardiogénico debido a una disfunción sistólica ventricular izquierda avanzada (33). Posteriormente, tres pacientes intoxicados también sufrieron deterioro cardíaco transitorio con compromiso de la función sistólica ventricular izquierda, además de otras manifestaciones (34). Se logró un tratamiento efectivo, con la consiguiente recuperación de los pacientes intoxicados.
Toxinas: Los compuestos tóxicos son: amatoxinas, falolisina, falotoxinas y virotoxinas (35,36,37,38). El subgrupo más grande es el de las nueve amatoxinas (α-, β-, γ- y ε- amanitinas, amanulina, ácido amanulínico, amaninamida, amanina y proamanulina) (39) (Fig. 1) que son octapéptidos bicíclicos y se han identificado en 35 especies de hongos de los géneros Amanita, Galerina y Lepiota (40,41,42). La primera amatoxina que se aisló fue á-amanitina por Wieland et al. en 1941 (36)(43). Siete de las amatoxinas (α-, β-, γ- y ε- amanitinas, amanulina, ácido amanulínico y proamanulina) contienen una rara subestructura de 6-hidroxi-L-triptofano. Las amatoxinas son las únicas de esos compuestos que son tóxicas por vía oral y por lo tanto, responsables de los micetismos (44,45,46,47,48). Las amatoxinas son absorbidas en el tubo digestivo, son termoestables (no se destruyen por cocción) y no son volátiles (no se destruyen por desecación).

Las falotoxinas (faloidina, profaloína, faloína, falisina, falacidina, falacina, falisacina) (Fig. 2) son heptapéptidos bicíclicos muy relacionados con las amatoxinas y también se aislaron del género Amanita (36)(49). Faloidina fue el primer péptido tóxico que se aisló de este género en 1937 (50). Si bien son extremadamente tóxicas cuando se administran por vía intravenosa, no lo son por vía oral ya que no son absorbidas por el aparato digestivo y por lo tanto no son causa de la intoxicación humana por ingestión de los hongos (12)(50)(51).

Las virotoxinas (viroidina, desoxoviroidina, alaviroidina, aladesoxoviroidina, viroisina, desoxoviroisina) (Fig. 3) son péptidos tóxicos que se encuentran singularmente en los hongos Amanita virosa (52) y recientemente se encontraron en Amanita subpallidorosea (53). A diferencia de las falotoxinas que son bicíclicas, las virotoxinas son heptapéptidos monocíclicos y contienen D-serina en lugar de .-cisteína. Además, las virotoxinas poseen dos aminoácidos que no se habían encontrado anteriormente en la naturaleza: 2,3-trans-3,4-dihidroxi- L-prolina y 2’-(metilsulfonil)-L-triptofano (54). Las virotoxinas, como las falotoxinas, sólo son tóxicas por vía endovenosa (36). Recientemente se ha estudiado la biosíntesis de los ciclopéptidos tóxicos de Amanita (55).

Otro grupo de ciclopéptidos, antamanida y cicloamanidas A-D (Fig. 4), también son producidos por Amanita phalloides. La antamanida es un ciclopéptido que contrarresta a la faloidina (35). La química, bioquímica y aspectos biológicos moleculares de los ciclopéptidos tóxicos en Amanita fueron tratados por Wieland (50).

También de extractos acuosos de Amanita phalloides se aisló una hemolisina tóxica denominada falolisina, que es una mezcla de dos o tres proteínas citolíticas de estructura similar, cada una con un peso molecular de 34 kDa. Ha demostrado actividad hemolítica in vitro. Dado que el jugo gástrico del estómago destruye esta toxina, no hace daño por vía oral (35).
También se aisló toxofalina, que es una proteína tóxica del cuerpo fructífero de Amanita phalloides y se caracterizaron sus principales propiedades fisicoquímicas y biológicas (56). Esta proteína posee una masa molecular de 55 kDa y un punto isoeléctrico pI 5,7 y se expresa predominantemente en el tallo del carpóforo. Como se evaluara mediante experimentos de entrecruzamiento, toxofalina forma un complejo trimérico en solución con buffer. Induce la apoptosis en varias líneas celulares de mamíferos (L1210 y CCL-64 murinas, y A549 humanas) con IC50 de 0,25-0,45 μg/mL. Las características físico-químicas, químicas y biológicas de toxofalina difieren claramente de las de falolisina. Toxofalina induce la fragmentación del ADN y los cambios morfológicos en los núcleos de las células diana (condensación de cromatina y fragmentación de núcleos), que son características de la apoptosis. El inhibidor de caspasa III (Boc-Dfmk: benciloxicarbonil-Asp(OMe)-fluorometil-cetona) no inhibe la fragmentación apoptótica del ADN inducida por toxofalina, lo que sugiere que esta toxina implica una vía de apoptosis independiente de la caspasa (56). Sin embargo, recientemente se demostró que las L-aminoácido-oxidasas de Amanita phalloides y Clitocybe geotropa inducen apoptosis dependiente de caspasas (57); estas L-aminoácido-oxidasas inducen apoptosis en líneas celulares cancerosas Jurkat a través de las vías intrínseca y extrínseca, si bien el aumento significativamente mayor de caspasa 9 sobre la actividad de caspasa 8 sugiere que es la vía intrínseca el modo predominante de la apoptosis inducida por estas oxidasas (57).
Se demostró anteriormente que la interacción de toxofalina con las células diana no está mediada por un receptor específico de la superficie celular (56). La estructura primaria de toxofalina se estudió parcialmente a través de la secuenciación directa de sus péptidos trípticos, seguida por la clonación basada en PCR del ADNc correspondiente (58). Una búsqueda bioinformática subsiguiente reveló una homología estructural de toxofalina con la L-aminoácido-oxidasa del hongo Laccaria bicolor. También se encontró una amplia especificidad de sustrato de toxofalina con respecto a la oxidación de aminoácidos seleccionados. El ácido ascórbico inhibió el efecto citotóxico de toxofalina, muy probablemente como resultado de la captación de peróxido de hidrógeno, que es el producto de la catálisis de las oxidasas.
Por lo tanto, además de los ciclopéptidos altamente tóxicos y la lectina tóxica falolisina, A. phalloides contiene toxofalina que es una proteína citotóxica con propiedades de la enzima L-aminoácido-oxidasa.
Varios basidiomicetos presentan actividad de L-aminoácido- oxidasas con amplia especificidad de sustrato y una variedad de masas moleculares aparentes que varían de 25 a 200 kDa, siendo más activas a pH 5,5 que a pH 8,0 (59).
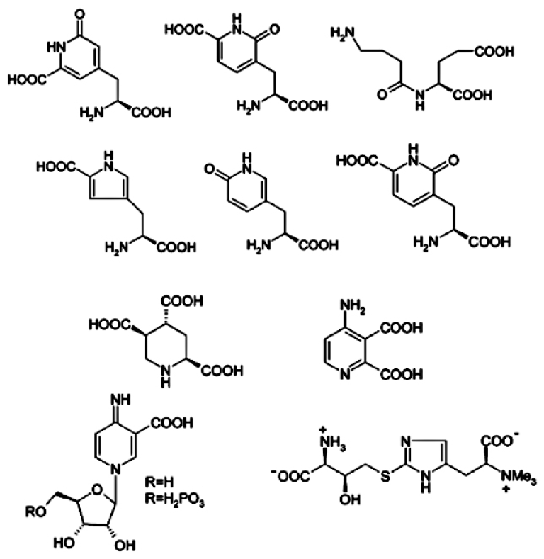
También se han aislado e identificado compuestos de bajo peso molecular como el ácido (2S,4S)-4-hidroxi- 2-pirrolidincarboxílico y el ácido (2S,3R,4R)-3,4-dihidroxi- 2-pirrolidincarboxílico (Fig. 5) en Amanita phalloides y A. verna respectivamente (5).

Mecanismo de acción: Las amatoxinas son un grupo de toxinas hepatotóxicas, de efectos mortales incluso a dosis mínimas. áα-, β- yγ-Amanitinas se han identificado como los miembros más potentes de esta familia de compuestos, con valores de DL50en el rango de 0,2 a 0,5 mg/kg (36).
Las falotoxinas no son tóxicas por vía oral, sino por vía endovenosa, dañan los hepatocitos, interactúan con la F-actina celular e interrumpen la despolimerización de los microfilamentos (51)(60). Esta interacción con actina ha hecho que se use faloidina en la investigación biomédica, con análogos fluorescentes que se utilizan para visualizar los filamentos de actina en células vivas y fijas, así como in vivo (61). Cuando se inyectan en ratones, las falotoxinas son 10 veces más letales que el cianuro: su DL50 es de 2 mg/kg. En cambio, las amatoxinas son mucho más mortales y son activamente tóxicas por vía oral (DL50 =0,1 mg/kg).
La actividad biológica de viroisina es comparable a la de las faloxinas, ya que su DL50 es de 2,5 mg/kg (ratón blanco), causando la muerte de los animales dentro de las 2-5 horas, por hemorragia hepática (54). Además, a nivel molecular, las virotoxinas se comportan de manera similar a las falotoxinas. Así, viroisina se une a la actina del músculo de conejo, como se demostrara por espectroscopía UV diferencial. Con una constante de equilibrio aparente de disociación KD ~ 2 x 10-8 M, la afinidad de viroisina es muy similar a la de faloidina. Sin embargo, la flexibilidad de la estructura monocíclica y la presencia de dos grupos hidroxilo adicionales en las virotoxinas sugieren un modo diferente de interacción con actina. Si bien hay pruebas de que las falotoxinas bicíclicas poseen un sitio de unión rígido, las virotoxinas pueden adoptar la conformación biológicamente activa mediante un mecanismo de ajuste inducido por contacto con la actina (54).
Se realizó un estudio sobre la reacción hepática de ratones a la intoxicación aguda con virotoxinas y faloidina, péptidos cíclicos aislados del hongo Amanita virosa (51). Las fracciones purificadas se administraron por vía intraperitoneal a varias dosis para determinar la DL50 que varió de 1,0 a 5,3 mg/kg, siendo viroidina, faloidina y viroisina las más potentes. Las virotoxinas y la faloidina indujeron necrosis hemorrágica del hígado. El desarrollo de lesiones hepáticas fue seguido por una actividad aumentada de alanina-aminotransferasa (ALT) sérica, así como por cambios detectados en microscopio óptico y electrónico. En grupos adicionales, los conductos biliares se canularon y se recogió bilis durante 2 horas después de la inyección de los péptidos (1 mg/kg) para determinar su potencial colestásico. Los primeros cambios en los hepatocitos fueron la invaginación de la membrana plasmática y la formación de vacuolas citoplásmicas. En períodos posteriores, la acumulación de eritrocitos fue evidente en las vacuolas y en el citoplasma. La gravedad del daño hepático, según el análisis morfológico, se correlacionó con la actividad de ALT sérica. Dos de los péptidos ensayados (viroisina y faloidina) disminuyeron el flujo biliar en más del 50% sobre los controles. Durante el desarrollo de la colestasis se observaron alteraciones ultraestructurales leves en el polo canalicular biliar de los hepatocitos. Dado que las virotoxinas, como la faloidina, están unidas a la actina, es posible que su afinidad por la actina celular pueda ser responsable de su hepatotoxicidad (51).
Las amatoxinas, especialmente las que poseen la subestructura de 6-hidroxi-L-triptofano, actúan como inhibidores selectivos de la ARN polimerasa II, una enzima vital en la síntesis del ARNm (36)(62). Principalmente, α-amanitina y β-amanitina, actúan bloqueando el complejo de ARN-polimerasa II, que da como resultado la inhibición de la transcripción de ADN (paso de ADN a ARNm) y de los procesos de síntesis de proteínas esenciales, conduciendo a la muerte de los hepatocitos (63). α-Amanitina también es un fuerte inductor de apoptosis y puede jugar un rol significativo en la patogénesis del daño hepático en el curso de la intoxicación con amatoxinas.
Los datos cristalográficos de rayos X presentados por Bushnell et al.(64) exploraron en detalle el mecanismo de unión de α-amanitina a ARN polimerasa II. Esa unión previene los cambios conformacionales necesarios para realizar la transcripción, reduciendo así la translocación del ADN de varios miles a un puñado de nucleótidos por minuto Si bien la inhibición de la síntesis de proteínas causa daño generalizado en el cuerpo humano, son lesiones irreversibles en las células cardíacas y hepáticas, que resultan fatales (60). El hígado es el principal órgano afectado, ya que es el primer órgano con el que entra en contacto la toxina después de su absorción por el tracto intestinal (65).
Especies causantes del micetismo por amatoxinas: Son especies pertenecientes a los géneros Amanita, Galerina y Lepiota, así como también Conocybe filaris; todas contienen amatoxinas.
Reino: Fungi; División: Basidiomycota; Clase: Agaricomycetes; Orden: Agaricales: Familia: Amanitaceae: Amanita phalloides (Vaill. ex Fr.) Secr. [Basónimo: Agaricus phalloides Vaill. ex Fr.] (sección Phalloideae) crece en Europa y en Argentina, en las provincias de Entre Ríos, Santa Fe, Buenos Aires, Mendoza y Río Negro (2)(21)(66); Amanita ameghinoi (Speg.) Singer [Bas.: Armillaria ameghinoi Speg.] (sección Lepidella) crece en Argentina, en las provincias de Tucumán, Catamarca y Buenos Aires (21)(66); Amanita phalloides var. alba; Amanita bisporigera (67); Amanita exitialis (sección Phalloideae) del este de Asia (68); Amanita fuliginea (se describió originalmente en Japón y es responsable de la mayoría de las intoxicaciones fatales en el sur de China) (69); Amanita subpallidorosea (especie letal recientemente descubierta en China, de Amanita sección Phalloideae, que se agrupa con A. virosa en el mismo clado según el análisis filogenético molecular) (53); Amanita porrinensis; Amanita verna (Bull.) Lam. (46)(70); Amanita verna var. decipiens; Amanita virosa (Fr.) Bertill.
Familia: Cortinariaceae: Galerina marginata (Batsch) Kühner [Bas.: Agaricus marginatus Batsch] pertenece a los pequeños hongos marrones; se encuentra en Europa, Asia, Australia, América del Norte y América del Sur (provincia de Tucumán en Argentina) (27)(66). Antiguas especies como Galerina autumnalis, Galerina oregonensis, Galerina unicolor y Galerina venenata ahora todas corresponden a G. marginata, en base a las pruebas genéticas. Todas las especies del género Galerina son saprófitos, ya que crecen en madera muerta o en descomposición, generalmente coníferas.
Familia: Agaricaceae: Lepiota brunneoincarnata; Lepiota brunneolilacea. Lepiota castanea; Lepiota cristata (Bolton) P. Kumm. [Bas.: Agaricus cristatus Bolton] crece en Argentina, en las provincias de Buenos Aires, Neuquén, Río Negro y Córdoba (2)(25)(66); Lepiota cristata var. vicarii (Raithelh.) Raithelh. crece en Argentina, en la provincia de Buenos Aires (25)(66); Lepiota helveola Bres. crece en Argentina, en las provincias de Misiones y Buenos Aires (71,72,73) pertenece al grupo de las pequeñas lepiotas blancas, muy tóxicas, y se confunde por su parecido con Macrolepiota procera (Scop.) Singer comestible, que crece en Buenos Aires (25), pero esta última tiene una talla muy superior; Lepiota kuehneri. Lepiota lilacea. Lepiota pseudohelveola; Lepiota subincarnata J.E. Lange (=Lepiota josserandii Bon & Boiffard) crece en Buenos Aires (2)(25)(66); Macrolepiota neomastoidea (Hongo) Hongo [Bas.: Lepiota neomastoidea Hongo] (74).
Familia: Bolbitiaceae: Conocybe filaris (Fr.) Kühner [Bas.: Agaricus togularis var. filaris Fr.] es común en el noroeste del Pacífico y crece también en Argentina, en las provincias de Tucumán y Buenos Aires (2)(23)(47)(65)(66).
3.2. Toxíndrome nefrotóxico. Micetismo por Amanitas nefrotóxicas
Período de latencia: Entre 8 y 14 horas después de la ingesta.
Síntomatología: En los casos leves, se manifiesta con trastornos digestivos, vómitos y diarrea. La gastroenteritis puede provocar una gran pérdida de volumen de fluidos. En otros casos más serios, se inicia con síntomas gastrointestinales 1-12 horas después de la ingestión, seguidos de una insuficiencia renal aguda grave de aparición tardía, después de 2-6 días, habiendo sido necesarias hasta 9 sesiones de hemodiálisis para lograr la normalización de la persona intoxicada (31)(75)(76). Ha habido un caso de envenenamiento con Amanita pseudoporphyria por nefrotoxinas, presentando insuficiencia renal aguda de aparición tardía asociada con la ingestión de este hongo, en un hombre con diabetes de 66 años. Los efectos fueron similares a los síntomas de intoxicación asociados con las especies Amanita smithiana norteamericana y Amanita proxima mediterránea. La biopsia renal del paciente mostró necrosis tubular aguda con anomalías glomerulares menores. El tratamiento incluyó un período de hemodiálisis de tres semanas, después del cual el paciente se recuperó completamente de la insuficiencia renal aguda en dos meses (77).
La intoxicación con Amanita proxima también se ha asociado con cardiotoxicidad (78).
Toxinas: La acción dañina sobre el riñón parece deberse a la presencia de aminoácidos tóxicos, no proteicos, que contienen la subestructura de aleno, como norleucina alénica (ácido 2-amino-4,5-hexadienoico), y que contienen un grupo alquino, como propargilglicina (sinónimos: DL-propargilglicina; ácido 2-aminopent- 4-inoico; ácido 2-amino-4-pentinoico) (Fig. 6), que se encuentran en Amanita proxima (0,25% en peso seco, de norleucina alénica). Norleucina alénica es nefrotóxica y propargilglicina es hepatotóxica. Amanita boudieri y A. solitaria .A. echinocephala) también contienen norleucina alénica (A. boudieri: ~1,2% en peso seco y A. solitaria: ~2,6% en peso seco).

También se han encontrado aminoácidos no proteicos clorados. Norleucina alénica, ácido trans-2-amino-5-cloro- 4-hexenoico (clorocrotilglicina) y ácido trans-2-amino- 5-cloro-6-hidroxi-4-hexenoico (Fig. 7) se obtuvieron de Amanita solitaria (Amanita echinocephala) (79). Norleucina alénica se encontró también en A. pseudoporphyria (80), junto con el ácido L-2-amino-4-cloro-4-pentenoico (Fig. 7). Norleucina alénica y clorocrotilglicina se encuentran en Amanita smithiana (81).

También hay aminoácidos no proteicos con grupos metileno y con azufre en especies del género Amanita. Se ha encontrado ácido (2S)-amino-3-metilenhexanoico (β-metilen-L-(+)-norleucina) (Fig. 8) en Amanita vaginata var. fulva (5). La especie Amanita vaginata y sus variedades generalmente se consideran comestibles, pero se han registrado intoxicaciones por ingestión posiblemente debidas a estos aminoácidos no comunes (82). Ácido (1’R,2R)-[(2-amino- 2-carboxietil)tio]butanodioico y ácido (1’S,2R)-[(2- amino-2-carboxietil)tio]butanodioico (Fig. 8) se encontraron en A. pantherina (83).

Especies causantes del micetismo: Amanita proxima .Amanita, sección Roanokenses) provoca frecuentes intoxicaciones en Francia y en España, observándose un aumento de los casos con el tiempo (85). Amanita boudieri y A. solitaria (A. echinocephala) causan micetismos nefrotóxicos en Portugal y en Alemania, respectivamente. Amanita pseudoporphyria crece de manera solitaria o gregaria en bosques de coníferas; originalmente descripta en Japón, ahora también se la conoce en el norte de India, Tailandia, Nepal y en el sur de China, donde se vende en mercados, junto con el hongo similar, Amanita manginiana.
Amanita smithiana ha causado numerosas intoxicaciones en EE.UU. (Oregon y Washington) (86), así como en el noroeste del Pacífico y en Taiwan (81), dado que se confunde con el popular hongo comestible Tricholoma magnivelare (“Matsutake”) (87). También producen este micetismo: A. sphaerobulbosa (Sudeste Asiático), A. thiersii (EE.UU.) y A. pseudoporphyria (Japón).
En Argentina crece Amanita vaginata (Bull.) Lam. (Bas.: Agaricus vaginatus Bull.) en Tierra del Fuego (21).
3.3. Toxíndrome con eritromelalgia. Micetismo por especies de Clitocybe
El síndrome de eritromelalgia se ha descripto ya a fines del siglo XIX en Japón y Corea del Sur con Clitocybe acromelalga, y desde 1996 en Francia y luego en Italia con C. amoenolens(76). Algunos autores, erróneamente, dan como sinónimos eritromelalgia y acromelalgia, quizás por confusión con la especie descripta en Japón. Se debe recordar que la acromelalgia o síndrome de piernas inquietas hereditario es una enfermedad neurológica motora con parestesias y disestesias (sensaciones molestas o dolorosas) en las piernas, que ocurren generalmente durante el sueño o al descansar. En cambio, la eritromelalgia es una vasodilatación paroxística de arterias pequeñas, más frecuente en pies y manos con dolor urente y aumento de temperatura con eritema, es decir, corresponde a la descripción presentada para este toxíndrome.
Período de latencia: Larga, de hasta 24 horas, o más.
Sintomatología: Se presenta un cuadro de crisis de violentos dolores paroxísticos, acompañados de sensación de quemazón (dolor urente) en las manos y sobre todo en los pies. Durante las crisis, las manos, los pies y la nariz presentan aumento de temperatura, enrojecimiento (eritema) e hinchazón (edema). Estos síntomas pueden persistir durante días, semanas, y en algún caso, durante varios meses, siendo necesario, en los casos más graves, el uso de morfina para mitigar los dolores.
Toxinas. Ácidos acromélicos A-E (Fig. 9), de estructura química muy similar a la de los ácidos kainico y domoico. Son aminoácidos hidrosolubles y termoestables que se han identificados en ambas especies de Clitocybe, C. acromelalga, C. amoenolens (3)(4)(76).

Otros aminoácidos no proteicos aislados de Clitocybe acromelalga se muestran en la Fig. 10(5).

Mecanismo de acción: Los ácidos acromélicos son agonistas potentes de los receptores del glutamato. El mecanismo de acción de estas sustancias radicaría en un trastorno del metabolismo del triptofano que lesionaría fibras del sistema nervioso autónomo (76).
Especies causantes del micetismo: División: Basidiomycota; Clase: Agaricomycetes; Orden: Agaricales: Familia: Tricholomataceae. Clitocybe acromelalga. Clitocybe amoenolens. Clitocybe gibba; Orden: Boletales: Familia: Hygrophoropsidaceae. Hygrophoropsis aurantiaca (76).
3.4. Toxíndrome giromitrínico o neurotóxico epileptogénico. Micetismo por giromitrina
Las especies relacionadas con este micetismo son las llamadas “falsas morillas”, ascomicetos de la familia Helvellaceae, y generalmente se encuentran en coníferas, álamos y, a veces, en bancos de nieve que se están derritiendo. La especie más comúnmente asociada con la intoxicación y estudiada con mayor detalle es Gyromitra esculenta, pero las toxinas se han encontrado en otras especies de Helvellaceae (88). También el consumo de grandes cantidades en una sola comida o en días sucesivos de la “falsa morilla” Verpa bohemica (Familia: Morchellaceae) que es una especie comestible del norte de América del Norte, Europa y Asia, causa intoxicaciones en personas susceptibles (88). Asimismo, la intoxicación por algunas especies de Helvella, Verpa, Peziza, Disciotis y Sarcosphaera se asemeja mucho al síndrome causado por Gyromitra esculenta, por lo que se ha especulado que estos hongos tendrían las mismas toxinas, aunque aún no se ha confirmado.
Las morillas verdaderas, comestibles, que se comercializan han sido a veces mezcladas inadvertidamente por los recolectores con Gyromitra esculenta . Verpa bohemica, produciendo así intoxicaciones, según lo registrara la Administración de Alimentos y Medicamentos de EE.UU. (FDA: Food and Drug Administration) (89).
Período de latencia: La incubación dura de seis a doce horas, a veces cuatro a doce horas, raramente menor de dos horas.
Síntomatología: Los primeros trastornos se presentan con dolor de cabeza, malestar gastrointestinal, náuseas, diarreas y vómitos, seguidos de deshidratación, hipotensión y alteraciones del ritmo cardíaco. Los efectos gastrointestinales pueden durar hasta 2 días en humanos. Los temblores, la debilidad y la ataxia también pueden aparecer en los primeros 2 días. En casos graves, aunque raros, pueden aparecer ictericia, metahemoglobinemia, hemólisis, convulsiones y coma (incluido coma hepático) varios días después de la exposición (88)(90). En raras oportunidades, la hemólisis puede dar lugar a rabdomiólisis y a alteración de la función renal.
Las características más típicas son las alteraciones del sistema nervioso central y el nivel de glucemia. En la intoxicación severa, ocurre una segunda fase hepatorrenal después de un período sin síntomas.
Estos casos pueden ser fatales (91). En casos graves hay trastornos nerviosos, así como alteración hepática y del bazo. Es posible la muerte a los dos o cuatro días de la intoxicación debido a insuficiencia circulatoria o paro respiratorio (92).
Es decir, se trata de una afección cardiocirculatoria, neurológica, hepática y renal, produciéndose en algunos casos hemólisis.
Al igual que con todos los micetismos, la identificación del material fúngico, por parte de un micólogo experimentado, es fundamental para llegar a un diagnóstico. En las unidades sanitarias, el diagnóstico se basa principalmente en la identificación de los hongos y en los signos clínicos y anomalías de laboratorio.
Toxinas. Giromitrina (N-metil-N-formilhidrazona de acetaldehído) (Fig. 11), el compuesto que se encuentra en estos hongos, “falsas morillas”, es un irritante directo del tracto gastrointestinal. Algunas especies del género Gyromitra no son tóxicas, mientras que otras, como la ampliamente distribuida G. esculenta, contienen niveles tóxicos de giromitrina (40-700 mg/kg materia fresca) y varios compuestos menores relacionados químicamente (91). La concentración de giromitrina varía según la especie, localidad y estación, lo que lleva a una variación considerable en el grado de intoxicación (88).

En los seres humanos, parece haber una gran variabilidad individual con respecto a la toxicidad de las falsas morillas. En ratones, las DL50 orales de giromitrina, N-metil-N-formilhidrazina y monometilhidrazina (o N-metilhidrazina) (Fig. 11) son 344, 118 y 33 mg/kg respectivamente (93). En humanos, la dosis letal estimada de giromitrina es 20-50 mg/kg para adultos y 10-30 mg/kg para niños. No se ha establecido la toxicidad para perros o gatos (88).
Mecanismo de acción de las toxinas: Giromitrina (N-metil-N-formilhidrazona de acetaldehído) es la toxina más abundante presente en el hongo silvestre Gyromitra esculenta, en el que se identificaron nueve N-metil- N-formilhidrazonas volátiles (94). Una vez ingeridos los hongos, la giromitrina se hidroliza rápidamente en las condiciones ácidas del estómago, formando hidrazinas cancerígenas y tóxicas de fácil absorción, como N-metilformilhidrazina, que a su vez se metaboliza a N-metilhidrazina (Fig. 11). Cuando las hidrazinas alcanzan el hígado, se metabolizan adicionalmente a especies reactivas, como cationes metilo y radicales metilo. Esta conversión de giromitrina en N-metilhidrazina a pH ácido se ha demostrado en el estómago del ratón después de la administración oral de giromitrina (94). El grado de hidrólisis depende del pH en el estómago, pero no es completa (93). La respuesta individual a giromitrina es variable.
Estas toxinas son termolábiles, volátiles y solubles en agua (90). Por lo tanto, las intoxicaciones pueden ocurrir no sólo por ingerir los hongos, sino también al inhalar los vapores al cocinarlos. También se observaron efectos tóxicos típicos en personas que manipulan con frecuencia hongos que contienen giromitrina (88).
También influye la cantidad que se consume; el consumo sucesivo de pequeñas cantidades de carpóforos que contengan giromitrina e hidrazinas llega a ser tóxico, debido a que las dosis son acumulativas. A su vez, las personas que comen sólo algunos hongos cocidos pueden ingerir cantidades suficientemente desintoxicadas para no tener síntomas. Esto ha causado malentendidos entre las personas sobre la posible letalidad de estos hongos.
Los síntomas aparecen si los carpóforos son consumidos poco cocidos, con el agua de cocción, o en estado fresco (puede ser mortal si se consume sin desecar).
Los animales generalmente comen carpóforos crudos; por lo tanto, cualquier exposición a estos hongos puede ocasionarles morbilidad y mortalidad graves (88).
Si se desea comer estos hongos, se recomienda hervirlos con grandes cantidades de agua (descartando el agua antes del consumo) (95), secando las muestras antes de comer (96) o, si se comen por primera vez, restringir el consumo a porciones pequeñas para probar su tolerancia.
El contenido de giromitrina se reduce por el secado prolongado al aire o por la cocción de carpóforos frescos y secos. Sin embargo, sólo se remueven moléculas libres de giromitrina durante el secado; para aquellas que están unidas orgánicamente, queda aproximadamente la mitad del contenido de toxina. Es por eso que se dice que el proceso de ebullición y secado disminuye, pero no elimina por completo a las toxinas. La ebullición debe repetirse varias veces en grandes volúmenes de agua en un recipiente abierto para permitir la evaporación de las hidrazinas volátiles. Si se cocina en una olla cerrada, las sustancias tóxicas se conservarán (91).
Análisis de giromitrina y metilhidrazina: Se desarrolló un método para determinar el contenido total de hidrazonas basado en la hidrólisis ácida de giromitrina y otras hidrazonas relacionadas en carpóforos de Gyromitra esculenta secados al aire; con derivatización de N-metilhidrazina con cloruro de pentafluorobenzoílo (97). El derivado, tris-pentafluorobenzoílmetilhidrazina (tris- PFB-MH) se analizó por cromatografía de gases-espectrometría de masa (CG-EM). La precisión del método resultó mejor que 10% (desviación estándar relativa) para 0,5 ng/μL de N-metilhidrazina en solución. La concentración mínima detectable de N-metilhidrazina (tris-PFB-MH) por este método resultó ser de aproximadamente 12 pg/μL, que es igual a 0,3 μg/g de materia seca del hongo. El método sirve como monitor del contenido de la toxina giromitrina.
Toxicodinamia: Giromitrina se considera un irritante gastrointestinal que conduce a signos clínicos de vómitos, dolor abdominal y diarrea 6-12 h después de la ingestión del hongo tóxico (98). La principal toxina responsable de las convulsiones que se observan en los casos graves de envenenamiento por Gyromitra es N-metilhidrazina. La N-metilhidrazina es en parte responsable de los signos neurológicos, ya que inhibe a la piridoxal-fosfoquinasa, dando como resultado una disminución de las concentraciones de piridoxal-5-fosfato, con la subsiguiente disminución de la síntesis del ácido g-aminobutírico (GABA) y un aumento en las concentraciones de ácido glutámico, aumentando así la susceptibilidad a las convulsiones. En un estudio en ratones, se evidenció que las concentraciones de GABA en el cerebro no disminuyeron significativamente en respuesta a las cantidades tóxicas de N-metilhidrazina (99). Por lo tanto, los efectos tóxicos de giromitrina no son sólo atribuibles a N-metilhidrazina. Además de la irritación gastrointestinal y la neurotoxicidad, se han descripto fallas hepáticas y renales, así como hemólisis. En estudios en animales se demostró que N-metil-N-formilhidrazina, otro metabolito de giromitrina, produce la depleción de citocromo P450 dentro de las 8-12 horas posteriores a la administración de giromitrina (99), mientras que N-metilhidrazina no presenta efectos hepatotóxicos similares. Los compuestos de hidrazina muestran efectos irritantes en las membranas de las mucosas y también en el tracto gastrointestinal.
Además, todas estas hidrazinas presentes en las morillas falsas, como .-metilhidrazina, son muy tóxicas para humanos y animales, con capacidad hemolítica y cancerígena (100). Se observaron anorexia, inflamación del pulmón y del hígado, pérdida de peso y nefritis intersticial después de la inhalación de compuestos de hidrazina en experimentos con animales (101). Además, los compuestos de hidrazina son responsables del agotamiento del glutatión en los eritrocitos y de la destrucción de macromoléculas en el hígado, posiblemente mediante el desarrollo de radicales metilo (101).
En un informe de un caso veterinario, se muestran los efectos del consumo de estos hongos crudos; un perro de 10 semanas vomitó 2-3 horas después de masticar un hongo identificado posteriormente como G. esculenta; 6 horas después de la ingestión, el perro estaba letárgico, se volvió comatoso y murió 30 minutos después. Los hallazgos histopatológicos incluyeron tubulonefrosis renal, degeneración hepática periascinar y eritrofagocitosis (88).
Especies causantes del micetismo: División: Ascomycota; Clase: Ascomycetes; Orden: Pezizales: Familia: Helvellaceae. Gyromitra esculenta. Gyromitra fastigiata. Gyromitra gigas. Gyromitra infula (102). Familia: Helvellaceae. Helvella crispa. Helvella elastica. Helvella lacunosa. Helvella macropus; Familia: Morchellaceae. Verpa bohemica. División: Ascomycota; Clase: Leotiomycetes; Orden: Leotiales: Familia: Leotiaceae. Leotia lubrica. División: Ascomycota; Clase: Leotiomycetes; Orden: Helotiales: Familia: Cudoniaceae: Cudonia circinans. Spathularia flavida. División: Ascomycota; Clase: Pezizomycetes; Orden: Pezizales: Familia: Pezizaceae. Peziza badia (88).
3.5. Toxíndrome cerebeloso o micetismo por Morchella spp.
Las especies del género Morchella o Morchella spp. (“morillas verdaderas”; “hongo de ciprés”; “múrgoles”; “colmenillas”) son hongos ascomicetos medicinales y comestibles, muy apreciados por los gourmets franceses, españoles y argentinos en la Patagonia andina, caracterizados por poseer ascocarpos de aspecto reticulado. Debido a su alto valor económico y científico, el género Morchella Dill. ex Pers: Fr. se ha convertido en un tema de investigación clave, por su taxonomía, diversidad y distribución de especies, diversidad ecológica, filogenia y biogeografía, cultivo artificial y genoma (103).
Se han informado varios casos de intoxicación por morillas, con síntomas gastrointestinales y neurológicos, con síndrome inebrante (tipo embriaguez) en algunos casos. Se debe tener precaución con los carpóforos pertenecientes a los Ascomycetes, pues suelen contener sustancias tóxicas de las que apenas se conocen sus efectos en el organismo humano.
Período de latencia: Entre 5-20 horas. Lo común es que a las 5-6 horas después de la ingestión se manifiesten los síntomas gastrointestinales y a las 10-12 horas el síndrome neurológico (104).
Síntomatología: Es una intoxicación leve y pasajera, pero que incapacita al intoxicado de manera alarmante. Los primeros síntomas son gastrointestinales (náuseas, vómitos, diarrea y dolor abdominal). Ocasionalmente, estos síntomas gastrointestinales se asocian con urticaria o picazón. Luego siguen los síntomas neurológicos con síndrome inebrante. Los síntomas pueden incluir hipotonía muscular, alteración del equilibrio, apareciendo una marcha característica (ataxia cerebelosa o marcha de ebrio), dismetría, habla escandida (pronunciación involuntaria de las palabras en las sílabas que las componen, alterando el habla), disdiadocoquinesia (incapacidad para realizar movimientos alternantes rápidos con las manos; por ejemplo: dificultad para abrocharse los botones), temblor intencional por falta de cálculo de la fuerza y la distancia que hay que ejercer para los diferentes movimientos. Una variedad de otros efectos que se observaron ocasionalmente, como parestesias y disartria (dificultad para hablar), con marcados efectos inebrantes. Estos signos indican problemas en el cerebelo, y se acompañan de náuseas y vómitos bruscos.
Ya en 1889 Roumeguère informó intoxicaciones con morillas (104). Posteriormente hubo otros registros sobre el tema, todos los cuales adolecen de falta de datos importantes, como la identificación de los hongos consumidos, las condiciones de cocción y las cantidades consumidas (10)(104).
Se hicieron conocer seis casos de personas que desarrollaron efectos cerebelosos 6-12 horas después del consumo de morillas comestibles (Morchella conica var. deliciosa y Morchella esculenta) en Oberbayern, Alemania (105). Los síntomas fueron autolimitados y desaparecieron después de un día. Todos trajeron las muestras de los hongos que habían consumido, que se identificaron macroscópicamente y por identificación microscópica de las esporas. En todos los casos, las pruebas de laboratorio de rutina fueron normales.
Unos ingresaron con marcha atáxica, pupilas mióticas y un temblor fino. Otros, además, con ataxia de tronco y miembros que les impedía escribir, y adiadocoquinesia (falta de coordinación de los movimientos corporales; signo clínico que se relaciona con el cerebelo, que es el centro de coordinación del cerebro). Algunos con náuseas, además de los síntomas mencionados.
Todos los síntomas se resolvieron completamente dentro de un día.
El centro de control de intoxicaciones reportó otros 10 casos similares; dos de ellos desarrollaron mareos, marcha atáctica y visión borrosa (105).
Gyromitra esculenta, que causa efectos neurotóxicos, si bien tiene otro fenotipo, podría ser confundida con las morillas comestibles, especialmente por recolectores de hongos con poca experiencia. Sin embargo, Gyromitra no crece en esa región, crece en otra época, predominantemente a fines del verano/otoño, tiene otro fenotipo y además es un hongo hepatotóxico. Los casos descriptos no mostraron signos de hepatotoxicidad.
En la literatura micológica, se han informado anteriormente casos esporádicos con síntomas neurológicos (106): seis personas en una familia de siete miembros tenían mareos y efectos inebrantes después de una comida de 3 kg de Morchella esculenta; una persona permaneció asintomática, aunque las comió por segunda vez al día siguiente. Nothnagel (106) cita a Jaccodet, quien en 1930 informó que Morchella conica causaba una especie de embriaguez leve.
Varias intoxicaciones con morillas con síndrome neurológico se han registrado en centros de control de intoxicaciones en América del Norte (107) y en Francia (104).
Se hizo un estudio retrospectivo de 20 años de intoxicaciones con morillas registradas en Centros Franceses de Control de Intoxicaciones describiendo una serie de casos bien documentados con efectos neurológicos después de su consumo (104). Los casos se clasificaron como síndrome neurológico (temblor o mareo/efecto inebrante o inestabilidad/ataxia, a veces asociados con síntomas gastrointestinales) o síndrome gastrointestinal aislado (náuseas, vómitos, diarrea y dolor abdominal). Ocasionalmente, los síntomas gastrointestinales se asociaron con urticaria o picazón (104).
Los resultados mostraron que 146 pacientes presentaron síndrome gastrointestinal 5 horas tras la ingesta, y 129 presentaron síndrome neurológico 12 horas después del consumo de morillas. Los pacientes con síndrome neurológico experimentaron más comúnmente temblor (53%), mareos/efecto inebrante (53%) o inestabilidad/ ataxia (21%), con o sin síntomas gastrointestinales. Los síntomas gastrointestinales (67%) y otros síntomas neurológicos también estuvieron simultáneamente presentes (principalmente trastornos oculares/ de visión: 26%, parestesias: 7%, somnolencia/confusión: 6% y trastornos musculares: 6%). Los problemas visuales generalmente fueron diplopía o visión borrosa. Estos pacientes ingirieron con mayor frecuencia una gran cantidad de morillas (104).
Dentro de las 24 horas, el 90% de los pacientes se habían recuperado, los síntomas desaparecieron sin dejar secuelas (9)(104).
Cuando se dispuso de información detallada, el síndrome neurológico aparentemente sólo se observó después de la ingesta de grandes cantidades de morillas (más de 100 g por comida), aún si estaban bien cocidas o secas. Intoxicaciones con síntomas principalmente gastrointestinales generalmente se observaron después de la ingesta de morillas crudas o insuficientemente cocidas, aún después de ingerir pequeñas cantidades (104)(107).
Los compuestos tóxicos responsables de los efectos gastrointestinales sin síntomas neurológicos se destruyen o se eliminan al menos parcialmente con la cocción (108). En base a la información disponible, se anticipa que el consumo de morillas secas no da lugar a intoxicaciones (108), pero no siempre es el caso (104)(107).
Todos los síntomas siempre se resuelven en un día (10).
Debe tenerse en cuenta que la morilla es un hongo costoso, que por lo general sólo se consume en pequeñas cantidades. La ingesta es inferior a 50 g de cantidad fresca o menor de hongos secos por comida, pero ocasionalmente puede consumirse en grandes cantidades (alrededor de 200-600 g por comida (105) o como “Varios platos sucesivos o comidas” (104).
La intoxicación por morillas suele ser controvertida pues algunos comensales pueden no tener síntomas, como el caso indicado recientemente (109). Una explicación puede ser que la neurotoxina supuesta sea volátil o inestable o bien que las cantidades presentes en las morillas varíen según las regiones. En los casos de intoxicación, los carpóforos pueden haberse cocinado durante un tiempo demasiado breve para eliminar todo el tóxico y que se hayan consumido grandes cantidades de morillas (105).
Se podría agregar que los consumidores pueden presentar sensibilidad variable hacia los compuestos tóxicos de las morillas.
Toxinas: Las verdaderas morillas o Morchella spp. contienen hemolisinas tóxicas termolábiles (un tipo de proteínas que producen hemólisis; rompen las membranas celulares de eritrocitos, leucocitos y plaquetas). Se dice que las morillas son inofensivas al cocinarlas, ya que las hemolisinas que contienen se alteran o descomponen por acción del calor (~60-80°C) (110) y también se destruyen por desecación.
Por lo tanto, estos hongos no se pueden consumir crudos. Más aún, se recomienda combinar el secado y la cocción, así que si son frescos, primero deben secarse, después rehidratarse (desechando el agua) y a continuación cocinarse unos 30 minutos a una temperatura entre 70 y 90 ºC.
En estudios con micelios de Morilla se han identificado pequeñas cantidades del aminoácido no proteico ergotioneína, 19 mg/kg (peso seco, media de 3 muestras) (111) y hasta 35 mg/kg (peso seco, media de 3 muestras) (112). También se han encontrado pequeñas cantidades de lovastatina (Fig. 12), 8-21 mg/kg (peso seco) en los micelios (112), mientras que Lo et al. (111) identificaron 1440 mg/kg (peso seco, promedio de 3 muestras) de lovastatina. No se sabe si estos compuestos bioactivos también se encuentran en los carpóforos de morillas.

Las estatinas naturales son derivados de hexahidronaftaleno, sustituido con una â-hidroxilactona. Lovastatina es una estatina que se usa como un fármaco contra la hipercolesterolemia para reducir el riesgo de enfermedad cardiovascular. Lovastatina es un compuesto de origen natural que se encuentra en hongos como Pleurotus spp., entre ellos, Pleurotus ostreatus (113). Parece que algunos cultivares de este hongo no producen lovastatina, mientras que otros producen cantidades bastante altas.
En ciertos casos, las estatinas pueden dar lugar a miopatía, caracterizada por debilidad y/o dolor muscular y, en casos muy raros, rabdomiólisis (114)(115). Estos efectos adversos graves no se informaron después del consumo de P. ostreatus.
Por lo general, lovastatina se tolera bien, si bien presenta efectos secundarios, como: aumento de la creatinfosfoquinasa sérica, de las transaminasas séricas, de la fosfatasa alcalina, trastornos gastrointestinales (estreñimiento, flatulencia, dolor abdominal, dispepsia, diarrea, náuseas, vómitos), trastornos musculoesqueléticos (miopatía, mialgia, calambres musculares), trastornos hematológicos (debilidad, anemia), trastornos de la piel y tejido subcutáneo (erupción cutánea, prurito), trastornos del sistema nervioso (cefalea, parestesia, mareos, neuropatía periférica, visión borrosa) (116).
La lactona lovastatina durante los procesos de cocción puede hidrolizarse dando el correspondiente ácido hidroxicarboxílico, la forma activa que disminuye el colesterol.
Lovastatina (Fig. 12) es estable en soluciones acuosas neutras o ácidas a temperatura ambiente, pero el 25% se hidroliza después de una hora de calentamiento a 100 °C. En un estudio térmico y cinético sobre estatinas, se demostró que la lovastatina era estable hasta 190 °C en condiciones libres de solventes (117). En conjunto, es probable que una proporción considerable de lovastatina en el hongo sea estable durante la cocción o posiblemente se hidrolice en cierta medida al ácido hidroxicarboxílico, que es la forma biológicamente activa.
Ergotioneína es un aminoácido natural derivado de histidina que contiene un átomo de azufre en el anillo imidazólico. Esta sustancia es biosintetizada por micobacterias, cianobacterias y hongos filamentosos, así como muchos hongos comestibles, como: carpóforos de Lepista nuda, carpóforos secos de especies comestibles de Pleurotus, “Shiitake” (Lentinula edodes) y hongos botón (Agaricus bisporus) (111)(112). En general, ergotioneína (Fig. 13) se ha encontrado en cantidades algo menores en otros hongos comestibles (111)(112). Considerando que el procesamiento de alimentos destruye algunos componentes bioactivos, una proporción considerable de la ergotioneína permanece sin cambios (118).

Se ha demostrado en numerosos estudios in vitro y algunos in vivo que ergotioneína tiene propiedades antioxidantes y citoprotectoras en los hongos frente a una amplia gama de factores estresantes celulares (119) y puede participar en el transporte de iones metálicos y en la regulación de las metaloenzimas.
Aunque no puede ser sintetizada por las células humanas, ergotioneína (Fig. 13) es absorbida a través de la dieta y se acumula en tejidos específicos a través del transportador de ergotioneína altamente específico, ETT (del inglés ergothioneine transporter), también conocido como OCTN1 (símbolo del gen: SLC22A4), para entrar en las células (119)(120). La expresión de ETT se ha confirmado en líneas celulares humanas y de animales y su transporte funcional de ergotioneína se ha observado en estudios preliminares in vivo (121). En los humanos, ergotioneína se adquiere exclusivamente a través de la dieta y se acumula en eritrocitos, médula ósea, hígado, riñones, líquido seminal y ojos (120) y también está presente en la piel (119).
Sin embargo, el rol fisiológico de ergotioneína no está determinado y la consecuencia de la deficiencia de ergotioneína no está clara (120). El transportador de ergotioneína ha sido sugerido como un posible factor en las enfermedades autoinmunes artritis reumatoidea y la enfermedad de Crohn, y los pacientes con artritis reumatoidea tienen altos niveles de ergotioneína (120). No se han relacionado efectos adversos ni siquiera con una ingesta elevada del compuesto.
El Panel sobre Productos Dietéticos para la Autoridad Europea de Seguridad Alimentaria considera que los límites diarios seguros de 2,82 mg/kg de peso corporal para infantes, 3,39 mg/kg para niños pequeños y 1,31 mg/kg para adultos, incluidas mujeres embarazadas y en lactancia (122).
Mecanismo de acción: No se conoce el mecanismo de acción de las posibles hemolisinas tóxicas, ni si existen otras toxinas que contribuyan al cuadro sintomatológico. Se debería verificar si lovastatina es activa en la intoxicación. El cerebelo es una parte del sistema nervioso que participa activamente en el tono muscular, el equilibrio, la fuerza y la trayectoria de los movimientos, así como en el habla. Sin que la intoxicación afecte a órganos vitales, el cuadro producido por estos hongos puede ser bastante invalidante.
Análisis filogenéticos moleculares del género Morchella: El género Morchella pertenece a la familia Morchellaceae (Orden: Pezizales). Se han encontrado representantes de esta familia en Europa (123), en Asia (123)(124), Medio Oriente (125), Australia (126), en América del Norte y Centro América [Canadá (127), Estados Unidos (127), México, Costa Rica y Guatemala (128)] y América del Sur [Perú (128), Venezuela (128), Colombia (128), Argentina (129), Chile (129) y Brasil (130)].
La identificación de las especies del género Morchella es muy problemática debido a la considerable diversidad morfológica intraespecífica y a la carencia de caracteres diagnósticos. Más aún, la identificación basada en fenotipos a nivel de especie sigue siendo inadecuada debido a sus ciclos de vida complejos, a las diferencias menores y a la plasticidad de las características morfológicas entre las especies (103)(131), siendo microscópicamente similares (125). Además, existe falta de acuerdo entre los nombres científicos y comunes.
Es por eso que se han realizado estudios moleculares. El nivel de especie es ampliamente discutido, dado el alto polimorfismo. Así, autores franceses estudiaron el polimorfismo del ADN en M. esculenta y M. conica determinando las secuencias completas del espaciador transcripto interno (ITS: internal transcribed spacer) de los genes que codifican ARNr en ambas especies para dilucidar la discrepancia de longitud del ITS entre ambas especies. También determinaron la diversidad de ITS de ADNr en las morillas (132).
El ARN ribosómico 28S (ARNr 28S) es el principal ARNr estructural que constituye la gran subunidad 60S de los ribosomas de los eucariotas. Es una ribozima con actividad de peptidil-transferasa que permite la formación de enlaces peptídicos entre dos aminoácidos durante la proteogénesis. Los genes que codifican este ARNr 28S se denominan “ADNr 28S”. La comparación de las secuencias de estos genes se usa a veces en análisis molecular para construir árboles filogenéticos de algunas especies, por ejemplo, en hongos.
Se efectuó la resolución filogenética de Morchella, Verpa y Disciotis (géneros presentes en la familia Morchellaceae (133) en base al análisis de enzimas de restricción del gen ADNr 28S. En algunos casos, se observó una mayor variación genética intraespecífica que entre las especies putativas.
Los avances de los últimos años en estudios filogenéticos han contribuido al conocimiento taxonómico y de las relaciones biogeográficas del género Morchella (124)(127)(131)(133). Así, estos estudios filogenéticos del género Morchella (103)(134) demuestran la existencia de 67 especies, que se organizan en los clados Esculenta, Elata . Rufobrunnea (133).
Hace unos pocos años (131) se hizo una revisión de la nomenclatura de especies del género Morchella de Europa y América del Norte en base a análisis filogenéticos moleculares. Se establecieron así relaciones evolutivas inferidas a partir de datos de multilocus y una taxonomía unificada. Los resultados revelaron que el número de especies de Morchella en Europa (n=21) es casi idéntico al de América del Norte (n=22), pero sólo se encontraron siete especies en ambos continentes. Esto está de acuerdo con los informes previos de alto endemismo continental dentro del género. Como contribución a la taxonomía, se identificó un nuevo subclado que incluye holotipos de M. castanea y M. brunneorosea en la sección Morchella (Clado Esculenta). Los lectotipos para Morchella deliciosa, M. eximia . M. tridentina se designaron en este trabajo, así como los epitipos para M. dunalii, M. eximia, M. purpurascens y M. vulgaris. Se determinó que Morchella conica es ilegítima, y se requiere más investigación para determinar la identidad de M. elata y M. inamoena (131).
En la Patagonia argentina, las morillas están asociadas con bosques nativos de Austrocedrus chilensis (“ciprés de la Cordillera”) y Nothofagus antarctica (“ñire”) y varias coníferas exóticas que fueron introducidas desde el oeste de América del Norte. Pildain et al. (135) han contribuido al conocimiento de su taxonomía y sus relaciones filogenéticas con otras especies del género. Las secuencias de ADN se obtuvieron de la región ITS del ADNr (ITS1, 5.8S e ITS2) y se utilizaron en análisis filogenéticos.
Se llevó a cabo la identificación de colecciones de Morchella de la Patagonia y sus relaciones filogenéticas con otras especies del hemisferio norte. La comparación se realizó mediante el análisis de secuencias de ADN obtenidas de cuatro loci (135).
Los análisis de conjuntos de datos individuales y combinados revelaron que las morillas Patagónicas pertenecen al Clado Elata (“Morillas negras”) y comprenden tres linajes a nivel de especie fuertemente sustentados tanto del bosque nativo Patagónico como de árboles exóticos introducidos desde el oeste de América del Norte. Un linaje se identificó como especie filogenética Morchella frustrata (Mel-2), que se conoce de EE. UU. y Canadá. El segundo linaje, que parecía ser “adaptado al fuego”, se identificó como la especie filogenética Morchella septimelata (Mel-7), que también se conoce en Estados Unidos. Esta especie fue recolectada de bosques nativos quemados, compuestos principalmente de A. chilensis y N. antarctica, pero también de Pseudotsuga menziesii (Mirb.) Blanco, que es nativa del oeste de América del Norte. Los análisis filogenéticos sugirieron que la tercera especie de la Patagonia estaba anidada dentro del Subclado Elata, rico en especies, y representa un nuevo linaje a nivel de especie (designado informalmente Mel-37) dentro del Clado Elata. Las colecciones actuales de la Patagonia constituyen la latitud más meridional, en la cual se haya informado Morchella hasta la fecha. La identificación de dos morillas de Argentina como taxones norteamericanos es, por lo tanto, un patrón biogeográfico notable. En vista de la hipótesis de que el Clado Elata se originó en el oeste de América del Norte, los autores especularon que al menos dos de los linajes colonizaron América del Sur desde América del Norte a través de la dispersión a larga distancia, migración o, más probablemente, fueron introducidos con especies de árboles exóticos (135).
Especies causantes del micetismo: Varias especies del género Morchella. División: Ascomycota; Clase: Pezizomycetes; Orden: Pezizales; Familia: Morchellaceae. Morchella vulgaris. Morchella conica Pers. (M. elata Fr.) (“morilla negra”) y Morchella esculenta (L.) Pers. (“morilla”) son morillas comestibles. Estas dos últimas especies, según estudios moleculares se pueden dividir en varias especies más, que no se pueden distinguir morfológicamente (133). Es por eso que se han abordado estudios genéticos.
Morchella esculenta crece en Argentina, en la Patagonia, en la zona andina, al oeste de las provincias de Neuquén, Río Negro y Chubut; también en el sur de Chile. Esta especie es denominada “hongo del ciprés” porque crece debajo del ciprés, un árbol autóctono de la Patagonia andina argentina. Estos hongos se cosechan una vez al año, en los meses de setiembre y octubre, por lo cual se comercializan generalmente deshidratados. Se consumen en la zona y se exportan. Tienen delicado y exquisito sabor, con un muy buen aroma.
3.6. Toxíndrome encefalopático o neurotóxico tardío. Micetismo por Hapalopilus rutilans (= H. nidulans)
Se observaron casos que afectaron al SNC por ingestión de dos especies diferentes de carpóforos: Hapalopilus rutilans en Alemania y Pleurocybella porrigens en Japón (76), con diferencias en el tiempo de latencia que es muy corto en el último caso.
Hapalopilus rutilans (también conocido como H. nidulans) es una especie de hongo políporo de la familia Polyporaceae, que se encuentra ampliamente distribuida en los cinco continentes. Crece en la madera muerta, caída o en pie, de árboles de hoja caduca, en la que fructifica sólo, en grupos, fusionados o superpuestos. Los carpóforos de H. rutilans son neurotóxicos si se ingieren, según los casos registrados en Alemania de un adulto y dos niños, en 1986 (76)(136) y dos casos en 2013 con síntomas similares y recuperación, debido a la ingestión del hongo por confundirlo con Fistulina hepatica comestible (137).
El conjunto de síntomas derivados del consumo de H. rutilans se ha denominado síndrome neurotóxico tardío (138).
Período de latencia: La incubación es de unas 12 horas después de la ingestión del hongo (76).
Sintomatología: Los primeros síntomas corresponden a trastornos gastrointestinales con náuseas y repetidos vómitos acompañados de dolor abdominal. Varias horas más tarde, aparecen trastornos hepatorrenales (leve aumento de alanina-aminotransferasa y creatinina sérica) y síntomas neurológicos centrales (vértigo, ataxia, somnolencia, discapacidad visual). Los síntomas disminuyen en unos pocos días. En el caso que se mencionara de intoxicación en Alemania de un hombre y dos niños intoxicados se observaron los síntomas indicados. Se registró actividad lábil en el electroencefalograma, así como signos difusos inespecíficos y signos compatibles con edema cerebral. Estos resultados se obtuvieron aún después de 3 semanas. El crecimiento de los niños no pareció afectarse.
Además, la orina del adulto y de los dos niños intoxicados se volvió púrpura-violeta temporariamente. Por lo tanto, la coloración púrpura de la orina después de la ingestión de un hongo polipórico es muy sugerente de intoxicación por H. rutilans (76).
Se recuperaron completamente una semana después (136).
En dos casos más recientes (137), un padre y su hija de 13 años recolectaron carpóforos identificados como los del hongo comestible Fistulina hepatica y comieron una cantidad desconocida. A las 12 horas después de la ingestión, ambos sujetos se quejaron de dolor abdominal, luego náuseas, vómitos, anorexia, astenia, diplopía y visión borrosa. El padre también tuvo alucinaciones visuales. A los 2 días después de la ingestión, el examen clínico mostró nistagmo multidireccional. El padre también tuvo trastornos de equilibrio y ambos intoxicados emitieron orina púrpura. Las pruebas de laboratorio mostraron niveles elevados de creatinina sérica y urea en sangre, proteinuria y leucocituria en ambos pacientes y aumento leve de las enzimas hepáticas en el padre. El color de la orina volvió a la normalidad a los 2 días y a los 7 días después de la ingestión en la niña y su padre respectivamente. La recuperación clínica y bioquímica completa se obtuvo dentro de una semana en ambos casos (137). Los signos y síntomas resultaron similares a los reportados previamente.
Toxina: La toxina es el ácido polipórico (2,5-difenil- 3,6-dihidroxi-1,4-benzoquinona) (Fig. 14), que es un compuesto de p-terfenilo de benzoquinona, identificado y designado por primera vez a partir de un cultivo micelial de esta especie en 1877 (139). Su estructura fue dilucidada en 1926 y confirmada por cristalografía en 2001 (140).

Este compuesto químico está presente en un 20-40% del peso seco de los carpóforos. Se encuentra en otros hongos, pero en cantidades mucho más bajas.
Se conocen compuestos químicos basados en el núcleo de p-terfenilo, que muestran estructuras inusuales y propiedades biológicas interesantes; se encuentran esencialmente en hongos y líquenes. Estos compuestos y, en particular, los polihidroxi-p-terfenilos completamente aromáticos, presentan actividad citotóxica contra células tumorales y otras propiedades antiproliferativas, actividad antibacteriana, antioxidante o actividad de captación de radicales, actividad antiinflamatoria y otras propiedades de interés biomédico o agronómico (139).
La administración oral de ácido polipórico en ratas permitió la reproducción de los signos relacionados con la ingestión de H. rutilans en humanos: las ratas desarrollaron alteraciones conductuales, disminución de la actividad motora y de la respuesta de colocación visual, insuficiencia hepatorrenal, acidosis metabólica, hipocalemia e hipocalcemia; también se obtuvieron análogos análisis de laboratorio. Así se evidenció que el ácido polipórico es la principal toxina en H. rutilans (136). La citotoxicidad se estableció en modelos de cultivo de neuronas de ratas (136).
Mecanismo de acción: El ácido polipórico inhibe a la enzima dihidroorotato-deshidrogenasa (136) y tiene cierta actividad antifúngica y antibacteriana (141). Se ha demostrado que es un intermediario en la biosíntesis de alantofuranona, un antibiótico gamma-lactona del hongo Allantophomopsis lycopodina (142).
Especies causantes del micetismo: División: Basidiomycota; Clase: Agaricomycetes; Orden: Polyporales: Familia: Polyporaceae. Hapalopilus rutilans = Hapalopilus nidulans.
Tratamientos
La atención de apoyo es la base de la terapia de la mayoría de los pacientes con intoxicación por ingestión de los carpóforos de hongos tóxicos. La terapia específica se sigue de acuerdo con la presentación clínica del toxíndrome.
La descontaminación gastrointestinal con carbón activado es de máximo beneficio cuando los pacientes se presentan dentro de la hora posterior a la ingestión. El vaciamiento gástrico por lavado gástrico presenta riesgos de aspiración.
En esta sección se analizarán los tratamientos correspondientes a los micetismos por amatoxinas y por giromitrina.
Tratamiento del toxíndrome hepatotóxico o ciclopeptídico (micetismo por amatoxinas)
Este micetismo se debe a la acción de las amatoxinas presentes en Amanita phalloides y especies similares. Recientemente se ha hecho una compilación de las intoxicaciones debidas a carpóforos que contienen amatoxinas (143). Más del 90% de todas los micetismos fatales en todo el mundo se deben a especies que contienen amatoxinas y que crecen abundantemente en Europa, el sur de Asia y el subcontinente de la India. Muchos casos también han sido reportados en América del Norte y América del Sur. A. phalloides es responsable de la mayoría de las muertes causadas por micetismo (>20% en adultos, >50% en niños) (144)(145). Causa daño hepático, renal y, raramente, en el páncreas, provocando coma encefalopático, coagulación intravascular diseminada, hemorragia y shock hipovolémico. De los componentes ciclopeptídicos presentes en los carpóforos sólo las amatoxinas son tóxicas por vía oral; las amatoxinas inhiben a la ARN polimerasa II eucariótica causando la detención de la transcripción, afectando principalmente a las células metabólicamente muy activas, como los hepatocitos y las células renales. Después de la larga fase de latencia, se inician los síntomas gastrointestinales y la rápida progresión de la insuficiencia hepática aguda que conduce a la falla multiorgánica y a la muerte en una semana, si no se trata. También una paciente intoxicada con A. phalloides presentó insuficiencia multiorgánica y shock cardiogénico debido a una disfunción sistólica ventricular izquierda avanzada (33). Posteriormente, tres pacientes intoxicados se vieron afectados por una disfunción cardíaca similar con compromiso de la función sistólica ventricular izquierda (34). El tratamiento del shock cardiogénico con balón de contrapulsación intraaórtico resultó exitoso logrando la recuperación de los pacientes, quienes no respondieron a otras terapias (33)(146).
La intoxicación con amatoxinas es una emergencia médica caracterizada por un largo período de incubación, fases gastrointestinales y hepatotóxicas, coma y muerte. Se han hecho varias compilaciones sobre este tema, con énfasis en los casos clínicos, la atención médica preliminar, las medidas de apoyo, los tratamientos específicos utilizados individualmente o en combinación y el trasplante de hígado para los casos más graves. También se conoce la biodisponibilidad y la absorción oral de los ciclopéptidos (147).
El paciente requiere internación inmediata. Los tratamientos específicos consisten en procedimientos de desintoxicación y la administración de fármacos. Las medidas de soporte están dirigidas a tratar la deshidratación (41). Se ha demostrado que el aumento de la eliminación con múltiples dosis de carbón activado disminuye la circulación de las amatoxinas después de la ingestión de las toxinas. La dosis recomendada es de 50 g (0,5 g/kg) cada cuatro horas durante cuatro días.
La hemodiálisis o la hemoperfusión no eliminan cantidades significativas de las toxinas, por lo que no se recomienda para su remoción, a menos que los pacientes presenten signos de insuficiencia renal aguda, que requiera hemodiálisis, en forma de hipercalemia, acidosis metabólica, signos urémicos y encefalopatía.
Sin embargo, no existe una estrategia de tratamiento estándar y ningún antídoto contra la insuficiencia hepática. Se han propuesto técnicas de desintoxicación, en particular el uso de plasmaféresis o recambio plasmático terapéutico, en combinación con terapia de apoyo para remover los compuestos tóxicos presentes en el plasma, logrando así una reducción sustancial en las tasas de mortalidad que en algunos estudios han estado por debajo del 10% (148). Las principales complicaciones en el uso de estos procedimientos son infecciones y trastornos de la coagulación. Los mejores resultados terapéuticos se pueden esperar cuando las técnicas de desintoxicación se aplican en combinación con terapias conservadoras dentro de las primeras 36-48 h después de la ingestión.
Existe un creciente interés en los desarrollos logrados con los llamados dispositivos extracorpóreos de asistencia hepática, que ahora se usan ampliamente no sólo para aumentar la remoción de un tóxico, sino también para mejorar la eliminación de sustancias endógenas en la insuficiencia hepática aguda. La mayoría de las técnicas no bioartificiales se basan en el principio de la diálisis de albúmina, que se usa como transición al trasplante hepático (que a veces así se puede evitar) o después del mismo cuando hay disfunción del injerto y se quiere evitar un segundo trasplante (149). El objetivo es eliminar las sustancias unidas a la albúmina que podrían desempeñar un rol en la fisiopatología de la insuficiencia hepática aguda al dializar la sangre contra una solución que contiene albúmina a través de una membrana permeable de alto flujo.
Todos los dispositivos de asistencia hepática extracorpórea son capaces en cierta medida de eliminar sustancias biológicas (amoníaco, urea, creatinina, bilirrubina, ácidos biliares, aminoácidos, citoquinas, agentes vasoactivos). Se ha demostrado una mejoría en la disfunción cardiovascular y neurológica, tanto en la insuficiencia hepática aguda como en la insuficiencia hepática aguda hacia crónica.
Se ha desarrollado un dispositivo de apoyo hepático extracorpóreo de separación fraccionada de plasma, adsorción y diálisis, que permite la remoción de toxinas solubles en agua y unidas a la albúmina. Se comercializa con el nombre de Prometheus® (Fresenius Medical Care AG, Bad Homburg, Alemania) (150). Es una combinación de un tratamiento de hemodiálisis con un método de adsorción. Usando un filtro especial, la albúmina y las toxinas unidas a ella se separan de la sangre del paciente y pasan sobre un adsorbente para eliminar las toxinas (150). Las toxinas solubles en agua se eliminan por diálisis.
La seguridad y eficacia de esta terapia se ha demostrado tanto in vitro como in vivo. El método se ha utilizado con éxito durante varios años en la insuficiencia hepática de diversos orígenes para desintoxicar la sangre (150). Por lo tanto, Prometheus® es una opción de tratamiento prometedora para los pacientes con insuficiencia hepática debida a micetismos.
Se han estudiado 8 pacientes con micetismo; todos ellos se sometieron a 1 a 4 sistemas Prometheus® consecutivos además del tratamiento médico y de apoyo, como reemplazo de líquidos, Penicilina G, N-acetilcisteína y silimarina. Se evaluaron una variedad de parámetros clínicos y bioquímicos (151). Se observó una mejoría de los parámetros bioquímicos después del primer tratamiento con el sistema FPSA. Siete de los ocho pacientes sobrevivieron y fueron dados de alta para reanudar una vida independiente. Un paciente que tenía encefalopatía de grado III cuando ingresó en el hospital murió. No se observaron eventos adversos importantes durante la aplicación de esta modalidad de terapia (151).
Pacientes con insuficiencia hepática aguda por intoxicación con Amanita phalloides comprobada (grupo de tratamiento con FPSA n=9, grupo de control n=11): La concentración de toxina de amanitina urinaria se midió con el kit Amanitin ELISA (Bühlmann Laboratories, Alemania; nivel de corte 1,5 ng/mL). Todos los pacientes recibieron tratamiento médico estándar con carbón activado, fluidos i.v. cristaloides, silibinina y N-acetilcisteína. Además, 9 pacientes se sometieron a tratamiento con Prometheus® hasta niveles indetectables de amanitina (152). No se observaron complicaciones hemodinámicas, respiratorias ni hematológicas. Ninguno de los pacientes tuvo que someterse a un trasplante de hígado. Todos los pacientes en el grupo de tratamiento sobrevivieron y fueron dados de alta totalmente recuperados. Un paciente en el grupo control murió debido a shock y acidosis láctica; un paciente permaneció dependiente de diálisis. La duración media de la estancia hospitalaria fue de 7,1 días en el grupo de tratamiento y de 11,7 días en el grupo control (p=0,30) (152).
También se observó que en pacientes críticamente enfermos por micetismo con A. phalloides y a espera de trasplante hepático, Prometheus® prolongó el tiempo de espera prequirúrgico, dando en consecuencia la posibilidad de un procedimiento como el trasplante para salvar la vida (153).
Dentro de los dispositivos extracorpóreos, el más utilizado es el Sistema de Recirculación de Adsorbente Molecular (MARS™: Molecular Adsorbent Recirculating System) (154). Se utilizó para intoxicaciones con Amanita phalloides como así también con otras especies del género Amanita sección Phalloideae, como A. bisporigena (155). Pacientes intoxicados, que presentaron lesión hepática aguda, fueron tratados con el sistema MARS®. Cuatro de ellos fueron incluidos en la lista de admisión para el trasplante de hígado de alta urgencia. Además del tratamiento médico estándar para la intoxicación con A. phalloides, se realizaron 16 sesiones de diálisis a los pacientes. Todos sobrevivieron con recuperación hepática completa sin necesidad de trasplante; no se informaron eventos adversos graves durante el tratamiento. La coagulopatía se resolvió en cuestión de días en todos los pacientes y la lesión renal aguda en todos menos uno (156). Es decir que el dispositivo MARS resultó muy efectivo en el tratamiento de la intoxicación con A. phalloides.
Dado que el mecanismo principal de la toxicidad de las amatoxinas se asocia con el bloqueo de la síntesis de proteínas en los hepatocitos se suelen usar terapias que eviten la captación de amatoxinas en los hepatocitos o disminuir la concentración de amatoxinas en la circulación enterohepática. Como, además, las amatoxinas presentan propiedades pro-oxidantes que pueden contribuir a la hepatotoxicidad severa, para contrarrestarlas se utilizan compuestos antioxidantes en el tratamiento.
La terapia consiste en el uso de bencilpenicilina u otros antibióticos â-lactámicos, complejo de silimarina o silibinina pura, N-acetil-L-cisteína, ácido tióctico, fármacos antioxidantes, hormonas y esteroides administrados por separado, o más comúnmente, en combinación (41). En la práctica, no se encontraron beneficios para el uso de ácido tióctico o esteroides.
Como se ha visto en pacientes intoxicados, los resultados van desde la recuperación completa hasta la falla fulminante de órganos y la muerte, lo que a veces puede evitarse con un trasplante hepático. No hay estudios clínicos controlados disponibles debido a razones éticas, pero se ha demostrado que los inhibidores de la captación de las amatoxinas, como silibinina o penicilina G intravenosa, se asocian con niveles más altos de supervivencia de los pacientes. Este bloqueo o inhibición causa el desvío de las amatoxinas de vuelta a la circulación general para el clearance renal, por lo que se mantiene la función renal; una brusca salida de orina es crucial para el éxito del fármaco (32).
El antídoto más utilizado para tratar la intoxicación debida a hongos que contienen amanitinas es bencilpenicilina. La eficacia de bencilpenicilina se comparó con la de otros antibióticos como ceftazidima y rifamicina SV en el modelo de hepatocitos humanos (157). En el primer diseño experimental, los hepatocitos se expusieron simultáneamente a á-amanitina y los antídotos a ensayar, mientras que en el segundo diseño, las células se expusieron durante las primeras 12 horas a á-amanitina solamente, y luego, se intercambió el medio a uno que contenía á-amanitina y los antídotos a ensayar. Los resultados demostraron que la administración simultánea de á-amanitina y cada uno de los antídotos ensayados (bencilpenicilina, ceftazidima y rifamicina SV) protegen eficazmente a los hepatocitos humanos; sin embargo, en el grupo dosificado con bencilpenicilina, se observó la mayor viabilidad de hepatocitos. En los cultivos celulares del segundo diseño experimental, todos los antídotos ensayados fueron ineficaces, lo que indica que después de que los hepatocitos captaran la dosis crítica de á-amanitina, la supresión adicional de este proceso no protege a las células contra la lesión (157). Por lo tanto, 12 horas de exposición de los hepatocitos incubados a -amanitina es un tiempo suficiente para tal captación celular de una dosis crítica de esta toxina. En resumen, se puede concluir que bencilpenicilina, de fácil acceso y bajo costo, debería ser ampliamente utilizada como antídoto contra amanitinas. Sin embargo, la clave para una terapia exitosa es la implementación rápida de un antídoto para proteger la porción más grande posible del parénquima hepático contra la captación devastadora de una dosis crítica de amanitinas.
También se estudiaron los mecanismos de la apoptosis inducida por α-amanitina en cultivo de hepatocitos humanos, demostrando que esta apoptosis es dependiente de p53 y caspasa-3 (158). Al exponer los cultivos de hepatocitos humanos simultáneamente a α-amanitina y a bencilpenicilina y N-acetilcisteína, se vio que estos antídotos, comúnmente utilizados, protegen a los hepatocitos humanos contra esta apoptosis, ya que mostraron una viabilidad celular significativamente más alta y valores significativamente más bajos de marcadores de apoptosis en comparación con los cultivos expuestos solamente a α-amanitina (158).
Los ensayos no controlados y los informes de casos describen un tratamiento exitoso con silibinina intravenosa (Legalon® SIL) (159). En casi 1.500 casos documentados, la mortalidad global en pacientes tratados con Legalon® SIL es inferior al 10% en comparación con más del 20% cuando se usa penicilina o una combinación de silibinina y penicilina. Silibinina, un flavonolignano de acción antioxidante y antiinflamatoria comprobada, aislado de extractos de Silybum marianum (“cardo mariano”), ha demostrado interactuar con proteínas específicas del transporte hepático, bloqueando la re-captación celular de amatoxinas e interrumpiendo así la circulación enterohepática de la toxina. La adición de silibinina por vía intravenosa al manejo agresivo de fluidos intravenosos sirve para detener y permitir la reversión de la manifestación de insuficiencia hepática fulminante, aún en pacientes gravemente intoxicados (159). Estos hallazgos, junto con la experiencia clínica disponible, justifican el uso de silibinina en los casos de intoxicación por Amanita (160). La silibinina se administra durante 6 días o hasta que el paciente se recupere. Se considera el uso de penicilina G intravenosa, cuando no se dispone de silibinina. La penicilina G probablemente actúa por inhibición competitiva de la unión de las amatoxinas a las proteínas plasmáticas, provocando así exceso de excreción urinaria de las toxinas; también actúa como inhibidor de la captación. Se comparó en pacientes el tratamiento de la intoxicación con amatoxinas con silibinina sola y en combinación con penicilina. Se observó una tasa de muerte y trasplante más baja en el grupo de tratamiento con silibinina sola, que en el grupo tratado con silibinina combinada con penicilina (161).
Otro tratamiento efectivo es el uso de silimarina, extracto obtenido de la planta Silybum marianum (“cardo mariano”) por sus propiedades hepatoprotectoras. In vitro demostró bloquear el ingreso de las amatoxinas a los hepatocitos (47). También ceftazidima es otro inhibidor de la captación de amatoxinas que ha resultado efectivo en el tratamiento. Bencilpenicilina, ceftazidima y silibina han sido frecuentemente usadas en el tratamiento de la intoxicación con α-amanitina, principalmente basadas en razones empíricas, pero hace pocos años se hicieron estudios in silico sobre la inhibición de ARN polimerasa II por α-amanitina y también sobre la interacción de estos tres antídotos en el sitio activo de esta enzima (162). Los resultados revelaron que α-amanitina afecta la transcripción de ARN polimerasa II al comprometer la función del loop de activación (TL: trigger loop). Las interacciones directas observadas entre α-amanitina y los residuos de loop de activación: Leu1081, Asn1082, Thr1083, His1085 y Gly1088, modifican el proceso de elongación y contribuyen así a la inhibición de la ARN polimerasa II. También se presentaron evidencias de que α-amanitina puede interactuar directamente con los residuos de la hélice puente, Gly819, Gly820 y Glu822, e indirectamente con His816 y Phe815. Esto desestabiliza la hélice puente, causando la pérdida de actividad de ARN polimerasa II (162).
Se demostró que bencilpenicilina, ceftazidima y silibina son capaces de unirse al mismo sitio que α-amanitina, si bien no replicando el único modo de unión de α-amanitina. Estos antídotos establecen menos interacciones intermoleculares y las que existen son confinadas a la hélice puente y los residuos adyacentes. Por lo tanto, el efecto terapéutico de estos antídotos no parece estar sólo relacionado con la unión a ARN polimerasa II. El sitio de unión de α-amanitina a ARN polimerasa II se puede dividir en zonas específicas con diferentes propiedades que dan las mejores condiciones para el diseño de nuevos antídotos para la intoxicación con α-amatoxina. Un candidato ideal debería unirse competitivamente a ARN polimerasa II, interaccionando con Arg726, Ile756, Ala759, Gln760 y Gln767, pero no con los residuos del loop de activación y de la hélice puente (162).
También polimixina B resultó un antídoto muy satisfactorio. Se hicieron estudios in silico con polimixina B, que es un fármaco clínico que comparte similitudes químicas con α-amanitina. Los resultados mostraron que polimixina B se une potencialmente a ARN polimerasa II en la misma interfaz de α-amanitina, evitando que la toxina se una a ARN polimerasa II (163). In vivo, la inhibición de los transcriptos de ARNm provocada por α-amanitina fue revertida eficientemente por polimixina B en los riñones. Además, polimixina B disminuyó significativamente la lesión hepática y renal inducida por α-amanitina, como se manifestó por la histología y los datos de las aminotransferasas hepáticas plasmáticas. En el ensayo de supervivencia, todos los animales expuestos a α-amanitina murieron dentro de los 5 días, mientras que 50% sobrevivieron hasta 30 días cuando se administró polimixina B 4, 8 y 12 horas después de α-amanitina. Más aún, una sola dosis de polimixina B administrada concomitantemente con α-amanitina fue capaz de garantizar el 100% de supervivencia. En conclusión, polimixina B protege a ARN polimerasa II de la inactivación, lo que conduce a una prevención efectiva del daño orgánico y a una mayor supervivencia en animales tratados con α-amanitina (163).
Los antioxidantes también están indicados en la intoxicación con amatoxinas, ya que previenen la peroxidación lipídica que está aumentada por las toxinas, contribuyendo así a la inestabilidad de las membranas y a la muerte celular. El antioxidante preferido es Nacetilcisteína inyectable. Se demostró en cultivo de hepatocitos humanos, que la exposición de 48 horas a α-amanitina a una concentración de 2 μM provocó un aumento en la actividad de la enzima superóxido dismutasa, una disminución de la actividad de catalasa y un aumento significativo en la peroxidación lipídica (164). Los cambios en la actividad de superóxido dismutasa y de catalasa causados por α-amanitina probablemente podrían aumentar la peroxidación lipídica mediante una mayor generación de peróxido de hidrógeno, combinado con una menor desintoxicación de esa especie oxigenada. La adición de antídotos (N-acetil- L-cisteína y/o silibinina) al medio de cultivo proporcionó una protección más efectiva contra la peroxidación lipídica en hepatocitos humanos intoxicados con α-amanitina que la adición de bencilpenicilina, que no posee propiedades antioxidantes (164).
Dado que no existe un antídoto efectivo contra la intoxicación por amatoxinas y que α-amanitina es el componente principal de las mismas, recientemente se desarrolló un aptámero de ADN que presenta unión específica a α-amanitina (165). Este aptámero se seleccionó usando el método SELEX (Systematic Evolution of Ligands by Exponential Enrichment: Evolución Sistemática de Ligandos por Enriquecimiento Exponencial). Luego, se confirmó su capacidad de remoción de toxinas de la solución acuosa mediante un ensayo de disminución (“pull-down assay”). Se determinó la región del aptámero suficiente para la unión a α-amanitina. Finalmente, se calculó la constante de disociación del complejo α-amanitina/aptámero de ADN (165).
También se usa el octreótido u octreotida (nombre comercial Sandostatina, entre otros), que es un octapéptido cíclico análogo de la somatostatina natural y, por tanto, con efectos farmacológicos similares, pero con mayor duración de la acción y una potencia 1,3 veces mayor (166). Actúa principalmente como inhibidor de la secreción patológicamente aumentada de la hormona de crecimiento, y otros péptidos como el glucagón, insulina, serotonina, gastrina, sintetizados en el sistema endocrinogastro-entero-pancreático. El octreótido intravenoso ayuda a mantener a las amatoxinas contenidas en la vesícula biliar y, por lo tanto, limita su exposición posterior a los hepatocitos (166). El octreótido inhibe eficazmente el flujo biliar desde el conducto biliar común y la vesícula biliar mediante el aumento de la presión en el esfínter de Oddi y mejora el llenado de la vesícula biliar al reducir la presión intraluminal de la misma.
Se ha demostrado que el drenaje biliar mediante radiología intervencionista (aspiración simple/seriada de vesícula biliar, colecistostomía percutánea), cirugía general (colecistostomía abierta) o gastrointestinal (drenaje nasobiliar con succión ubicada mediante colangiopancreatografía retrógrada endoscópica (CPRE) ha resultado eficaz en un número creciente de casos. Recientemente se ha estudiado en perros de raza Beagle (168). La eliminación de la bilis, cargada de amatoxinas, de la vesícula biliar proporciona una protección definitiva a los hepatocitos no afectados al eliminar la exposición enterohepática adicional al veneno. La aspiración simple de la vesícula biliar guiada por ultrasonido parece ser el medio más rápido, más seguro, más fácil y más eficiente de eliminar del tracto biliar permanentemente las amatoxinas acumuladas. Se puede lograr utilizando un abordaje transhepático al principio del curso clínico o mediante un enfoque transperitoneal si el coeficiente o relación internacional normalizada (INR: International Normalized Ratio) es superior a 2 (INR<2 mayor riesgo de trombosis o embolias). La muestra de bilis recolectada debe ser etiquetada y congelada cuidadosamente para el posterior análisis del contenido de amatoxinas.
Tratamiento del toxíndrome giromitrínico o neurotóxico epileptogénico (micetismo por giromitrina)
La mayoría de los pacientes desarrollan sólo síntomas gastrointestinales leves y se recuperan por completo en varios días después de la exposición. El tratamiento es principalmente de apoyo. Considerando que los compuestos tóxicos de hongos del género Gyromitra pueden afectar varios sistemas de órganos, se debe controlar la glucemia, los niveles de metahemoglobina, la hemoglobina libre y la función hepática y renal. Cuando se detecta metahemoglobinemia en la intoxicación con giromitrina el paciente debe recibir azul de metileno por vía intravenosa.
La descontaminación sólo se recomienda si los pacientes se presentan unas pocas horas después de la exposición, pero muchas veces no es posible debido a la aparición tardía de los signos clínicos. Se ha recomendado la administración de carbón activado, aunque no se han realizado estudios de eficacia. Por lo tanto, si se administra carbón activado se requiere monitoreo permanente y cuidadoso para detectar desequilibrios electrolíticos, hemólisis y metahemoglobinemia.
La corrección de líquidos y electrolitos son medidas importantes junto con la administración de piridoxina (167). Se recomienda piridoxina (vitamina B6) para los signos neurológicos graves en pacientes, como convulsiones y coma, junto con terapia anticonvulsiva. La dosis recomendada es de 25 mg/kg de piridoxina por vía intravenosa durante 15 a 30 minutos. Los signos neurológicos recurrentes pueden requerir dosis adicionales, hasta un máximo de 15 a 20 g/día (88). La dosificación no debe exceder 20 g/día. La piridoxina actúa revirtiendo la deficiencia de fosfato de piridoxal (o piridoxal-5-fosfato; forma metabólicamente activa de la vitamina B6) en el sistema nervioso central mediado por el metabolito tóxico N-metilhidrazina.
La piridoxina se ha asociado con una neuronopatía sensitiva profunda, relacionada con la exposición acumulativa a largo plazo o producida después de la administración a corto plazo de dosis grandes. Con exposiciones particularmente grandes, la pérdida sensorial puede ser prácticamente completa, incluidas las áreas de las membranas faciales y mucosas, y produce ataxia y movimientos coreoatetoideos. Tal pérdida profunda es consistente con una neuronopatía sensitiva (168). La debilidad aparente puede estar relacionada con la propiocepción alterada. La neuronopatía sensitiva inducida por piridoxina es indistinguible de la neuronopatía sensitiva paraneoplásica. Se han realizado estudios electrofisiológicos secuenciales (169).
Dado que la neurotoxicidad debida a piridoxina descripta anteriormente se ha observado en pacientes, las dosis grandes se deben administrar con precaución y por períodos limitados.
La piridoxina puede controlar con éxito la actividad convulsiva, pero no brinda beneficio alguno en prevenir la lesión hepática. El daño oxidativo a los glóbulos rojos y la lesión hepática y renal pueden desarrollarse a partir de los metabolitos reactivos (88).
La piridoxina se puede usar sola o en combinación con diazepam. La terapia de combinación tiene una mejor eficacia que la piridoxina sola (167). Fenobarbital no se recomienda para el control de las convulsiones debido a su capacidad de inducir citocromo P450. La administración de ácido folínico (llamado también factor citrovorum o leucovorina), generalmente administrado como folinato de calcio, se ha recomendado en humanos, pero no se han realizado estudios controlados. Para prevenir la lesión hepática se debe considerar el uso de cimetidina, inhibidor del citocromo P450, y N-acetilcisteína, con la misma dosificación que para lesión hepática inducida por paracetamol. La hemodiálisis ha sido reportada en la literatura en el tratamiento de la intoxicación con giromitrina, pero se desconoce su rol en la remoción de giromitrina o sus metabolitos tóxicos.
Si se ha producido una lesión hepática grave, las medidas terapéuticas requieren el mismo tratamiento de apoyo que se describe para la intoxicación con amatoxinas (88).
MICETISMOS EN BUENOS AIRES Y ALREDEDORES (Argentina)
El Prof. Jorge Wright fue quien creó el instituto- Programa PRHIDEB de la Universidad de Buenos Aires (UBA)-Consejo Nacional de Investigaciones Científicas y Técnicas (CONICET) dedicado al estudio de hongos, taxonomía y bioactividad. Uno de los autores del presente trabajo (ABP) crea en 1991 el instituto-Programa PROPLAME de UBA-CONICET dedicado al estudio de compuestos orgánicos activos presentes en plantas tóxicas y medicinales y metabolismo de compuestos naturales y sintéticos. Investigadores de PRHIDEB y de PROPLAME interactuaron en trabajos en colaboración y de esta relación surge la fusión de ambos institutos-programas, cuando el director de PRHIDEB era el Prof. Dr. Daniel Cabral. En cumplimiento de lo que esperaban los fundadores y directores de ambas instituciones, actualmente allí funciona el “Servicio de Identificación de Hongos Tóxicos”, en la Facultad de Ciencias Exactas y Naturales de la Universidad de Buenos Aires (FCEN-UBA; Pabellón 2, Departamento de Biodiversidad y Biología Experimental); lo integran los investigadores que continúan con PROPLAME-PRHIDEB (UBA-CONICET) que colabora con servicios médicos, estatales y privados, identificando los hongos remitidos en casos de micetismos, permitiendo así, en muchos casos, realizar el tratamiento médico adecuado. En una publicación del 2013 (8) dieron a conocer los casos atendidos por el servicio desde 1985 hasta 2012 inclusive, además de una tabla para reconocer las especies tóxicas frecuentemente consultadas por intoxicación.
Conclusiones
Debido a la cantidad de micetismos actualmente conocidos y los nuevos que van surgiendo cada año, se propone en este trabajo una clasificación según los tiempos de latencia registrados en las unidades de emergencia médica de la región e internacionales. Surgen así los toxíndromes tardíos, demorados y tempranos o precoces. Los síndromes tardíos y los demorados son considerados los más graves. En esta serie de cuatro artículos, en esta primera parte se presentan los síndromes tardíos caracterizados por transcurrir 6 a 24 horas hasta la aparición de síntomas y signos clínicos en los pacientes.
De acuerdo con la experiencia de los autores en los casos clínicos, existe gran confusión en las guardias médicas ante pacientes intoxicados por ingestión de macromicetos, por lo que a veces hay demora en establecer el diagnóstico, o bien se realizan maniobras inadecuadas. Pero en los micetismos una estrategia equivocada o tardía puede realmente llevar a la muerte.
Por ejemplo, dada la premura de la intervención precoz en el síndrome hepatotóxico, se tiene que seguir un protocolo rápido ante este tipo de casos de intoxicación, que puede facilitar el diagnóstico diferencial. La identificación de los carpóforos por servicios especializados, como el que mencionáramos para Buenos Aires y alrededores, es importante para establecer un diagnóstico preciso y rápido.
En realidad, la gran mayoría de los casos de micetismo corresponden a síndromes gastrointestinales, o bien, al síndrome hepatotóxico, que se distinguen por el período de latencia corta y larga respectivamente. Ambos tienen usualmente un cuadro inicial similar de diarreas, náuseas y vómitos, que además es compartido con otros síndromes. Por lo tanto, es importante señalar cómo hacer un diagnóstico diferencial.
Para la clasificación de un caso como hepatotóxico, un período de latencia superior a seis horas, hasta la aparición de los primeros síntomas gastroentéricos, es uno de los parámetros para la distinción del síndrome gastrointestinal, mucho menos grave y de latencia muy corta.
Si bien los pacientes cuyo cuadro clínico presenta un período de latencia corto tienen un mejor pronóstico, se debe realizar el monitoreo durante 24 horas, pues algunos síndromes de latencia corta comparten esta presentación inicial, pero requieren otras medidas terapéuticas específicas, como ya se verá en otro de los artículos.
Los síndromes hepatotóxico y nefrotóxico presentados en este trabajo, potencialmente más graves, tienen un período de latencia superior a seis horas. Por ejemplo, el cuadro suele iniciarse a la mañana siguiente después de haber consumido los carpóforos en la cena.
Se debe aclarar que el síndrome hepatotóxico presenta una fase de mejora clínica, en la que no se debe confiar, que aparece después de un primer cuadro típicamente gastrointestinal. En esa fase de falsa mejoría continúa la acción tóxica de los ciclopéptidos, que llevará a insuficiencia hepática y/o renal con manifestaciones clínicas tardías y potencialmente letales.
La complicación adicional está dada por la falta de disponibilidad de métodos de detección de toxinas hepáticas en la mayoría de las unidades toxicológicas. Si bien ya se han desarrollado, en varios laboratorios internacionales y en los de los autores, métodos de detección de á-amanitina en circulación, así como también de amatoxinas en fluidos biológicos.
El método de elección en la detección de estas intoxicaciones es, sin duda, el monitoreo de la función y lesión hepática, que puede realizarse mediante los siguientes marcadores: tasa de protrombina (TP), análisis de transaminasas, en particular de aspartatotransaminasa (AST) o aspartato-aminotransferasa (EC 2.6.1.1) y de bilirrubina. También es relevante el control estricto de la función renal, pues es relativamente común el desarrollo de insuficiencia renal aguda, no sólo en el síndrome nefrotóxico sino también durante los cuadros de intoxicación por ciclopéptidos, que causan deshidratación por la gastroenteritis severa y por la acción de las toxinas en los túbulos renales.
El perfil evolutivo de la tasa de protrombina (TP), la aspartato-transaminasa (AST) y la bilirrubina es importante para el diagnóstico y la definición del pronóstico (170). AST aumenta en los primeros dos o tres días, con un aumento concomitante de TP, por eso tiene un rol esencial en el diagnóstico de hepatotoxicidad, pero no es un buen indicador de la evolución clínica. Se espera la disminución temprana de TP debido al reducido tiempo de semivida del factor VII. Si no hay recuperación a valores normales de TP continúa la insuficiencia hepática.
La elevación tardía de la bilirrubina hace que no sirva para la fase de diagnóstico, pero alcanza valores más altos y precoces en los casos fatales, por lo que parece tener un valor pronóstico.
Un correcto seguimiento clínico requiere el análisis conjunto de estos tres parámetros. La existencia de antecedentes de patología hepática no debe ser subestimada, ya que puede ser predictiva de un resultado desfavorable, por lo que resulta de valor una anamnesis cuidadosa.
De acuerdo a todo lo tratado, urge la realización de más investigación y de mejor divulgación del tema en el mundo biomédico, así como la adopción de protocolos de intervención claros y de fácil acceso a todos los profesionales de la salud.
Agradecimientos
Al Hospital de Clínicas y a la Universidad de Buenos Aires por la infraestructura brindada; al Ministerio de Ciencia, Tecnología e Innovación Productiva (Mincyt, Argentina) por el acceso a la biblioteca virtual. A.B.P. es Investigadora Superior de CONICET.
Referencias
1. Piqueras Carrasco J. Intoxicaciones por plantas y hongos. Barcelona: Editorial Masson, 1996.
2. Wright JE, Alberto E. Guia de hongos de la region pampeana. I. Hongos con laminillas. Buenos Aires: Editorial LOLA; 2002.
3. Diaz JH. Evolving global epidemiology, syndromic classification, general management, and prevention of unknown mushroom poisonings. Crit Care Med 2005; 33 (2): 419-26.
4. Diaz JH. Syndromic diagnosis and management of confirmed mushroom poisonings. Crit Care Med 2005; 33 (2): 427-36.
5. Liu J-K. N-Containing compounds of Macromycetes. Chem Rev 2005; 105 (7): 2723-44.
6. Lechner BE, Alberto E. Especies toxicas de Agaricales halladas en la Argentina: nueva cita de Amanita pantherina y reevaluacion de la comestibilidad de Tricholoma equestre. Bol Soc Argent Bot 2008; 43 (3-4): 227-35.
7. Lima ADL, Costa Fortes R, Carvalho Garbi Novaes MR, Percario S. Poisonous mushrooms: a review of the most common intoxications. Nutr Hosp 2012; 27 (2): 402-8.
8. Romano GM, Iannone L, Novas MV, Carmaran C, Romero AI, Lopez SE, et al. Hongos toxicos en la ciudad de Buenos Aires y alrededores. Medicina (Buenos Aires) 2013; 73: 406-10.
9. Graeme KA. Mycetism: a review of the recent literature. J Med Toxicol 2014; 10 (2): 173-89.
10. Gry J, Andersson C. Mushrooms traded as food. Vol. II , sec. 2. Nordic Council of Ministers, Copenhague, Dinamarca, 2014.
11. Parnmen S, Sikaphan S, Leudang S, Boonpratuang T, Rangsiruji A, Naksuwankul K. Molecular identification of poisonous mushrooms using nuclear ITS region and peptide toxins: a retrospective study on fatal cases in Thailand. J Toxicol Sci 2016; 41 (1): 65-76.
12. Homer JA, Sperry J. Mushroom-derived indole alkaloids. J Nat Prod 2017; 80 (7): 2178-87.
13. Battista M, Vitale A, Pomilio AB. Relationship between the conformation of the cyclopeptides isolated from the fungus Amanita phalloides (Vaill. ex Fr.) Secr. and its toxicity. Molecules 2000; 5: 489-90.
14. Pomilio AB, Battista M, Vitale A. Semiempirical AM1 and ab initio parameters of the lethal cyclopeptides alpha-amanitin and its related thioether, S-sulphoxide, sulphone, and O-methyl derivative. J Mol Struct Theochem 2001; 536: 243-62.
15. Pomilio AB, Battista ME, Vitale AA. Estructuras de las toxinas de hongos superiores. Industria y Quimica 2006; 352: 19-27.
16. Pomilio AB, Battista ME, Vitale A.A. Naturally occurring cyclopeptides: Structures and bioactivity. Curr Org Chem 2006; 10 (16): 2075-121.
17. Battista ME, Rodriguez SR, Vitale AA, Pomilio AB, Albonico JF, Alonso A. Reactividad cruzada entre los venenos de serpiente, de abeja y las toxinas del hongo Amanita phalloides.205. Medicina (Buenos Aires) 2004; 64 (Supl 1): 66-7.
18. Pomilio AB, Battista SM, Vitale AA. I. Quantitative structure-activity relationship (QSAR) studies on bioactive cyclopeptides. En: Castro EA (Chief Editor), QSPR-QSAR Studies on Desired Properties for Drug Design. Research Signpost, Kerala, India; Managing Editor: Pandalai SG, Chapter 1, 2010; pp. 1-34. http://issuu.com/researchsignpost/docs/castro_e_book
19. Pomilio AB, Battista ME, Vitale AA, Battista SM, Ricciardi AIA, Torres AM, et al. Neutralizacion heterologa e interaccion de amanitinas con venenos de Bothrops y Crotalus y de abeja. Acta Bioquim Clin Latinoam 2012; 46 (2): 171-82.
20. Pomilio AB, Battista SM, Vitale AA. Antimicrobial and immunosuppressive activitites of cyclopeptides as targets for medicinal chemistry. En: Chemometrics Applications and Research: QSAR in Medicinal Chemistry. Chapter 8, New Jersey, EE.UU. ; Ontario, Canada. Apple Academic Press, exclusive worldwide distribution by CRC Press, a Taylor & Francis Group, 2016; pp. 253-97.
21. Niveiro N, Alberto E. Checklist of the Argentine Agaricales 1. Amanitaceae, Pluteaceae and Hygrophoraceae. Mycotaxon 2012; 119: 493-4.
22. Niveiro N, Alberto E. Checklist of the Argentine Agaricales 2. Coprinaceae and Strophariaceae. Mycotaxon 2012; 120: 505.
23. Niveiro N, Alberto E. Checklist of the Argentine Agaricales 3. Bolbitiaceae and Crepidotaceae. Mycotaxon 2012; 120: 505.
24. Niveiro N, Alberto E. Checklist of the Argentine Agaricales 4. Tricholomataceae and Polyporaceae. Mycotaxon 2012; 121: 499-500.
25. Niveiro N, Alberto E. Checklist of the Argentine Agaricales 5. Agaricaceae. Mycotaxon 2013; 122: 491.
26. Niveiro N, Alberto E. Checklist of the Argentine Agaricales 6. Paxillaceae, Gomphidiaceae, Boletaceae and Russulaceae. Mycotaxon 2013; 123: 491.
27. Niveiro N, Alberto E. Checklist of the Argentine Agaricales 7. Cortinariaceae and Entolomataceae. Check List 2014; 10 (1): 72-96.
28. Degenkolb T, Vilcinskas A. Metabolites from nematophagous fungi and nematicidal natural products from fungi as alternatives for biological control. Part II: metabolites from nematophagous basidiomycetes and non-nematophagous fungi. Appl Microbiol Biotechnol 2016; 100: 3813-24.
29. Hawksworth DL, Wiltshire PE, Webb JA. Rarely reported fungal spores and structures: An overlooked source of probative trace evidence in criminal investigations. Forensic Sci Int 2016; 264: 41-6.
30. Ferreiros Gago L. Sindromes toxicologicos. Rev Hosp Ninos BAires 2013; 55 (248): 10-3.
31. Trakulsrichai S, Sriapha C, Tongpoo A, Udomsubpayakul U, Wongvisavakorn S, Srisuma S, et al. Clinical characteristics and outcome of toxicity from Amanita mushroom poisoning. Int J Gen Med 2017; 10: 395- 400.
32. Ward J, Kapadia K, Brush E, Salhanick SD. Amatoxin poisoning: case reports and review of current therapies. J Emerg Med 2013; 44 (1): 116-21.
33. Aygul N, Duzenli MA, Ozdemir K, Altunkeser BB. A case report of an unusual complication of Amanita phalloides poisoning: development of cardiogenic shock and its successful treatment with intra-aortic balloon counterpulsation. Toxicon 2010; 55 (2-3): 630-2.
34. Altintepe L, Yazici R, Yazici M, Solak Y, Topal M, Isik A, et al. Temporary left ventricular dysfunction in mushroom poisoning: report of three cases. Ren Fail 2014; 36 (8): 1337-9.
35. Wieland T, Faulstich H. Amatoxins, phallotoxins, phallolysin, and antamanide: the biologically active components of poisonous Amanita mushrooms. CRC Crit Rev Biochem 1978; 5 (3): 185-260.
36. Wieland T. The toxic peptides from Amanita mushrooms. Int J Pept Protein Res 1983; 22 (3): 257-76.
37. Wieland T, Faulstich H. Fifty years of amanitin. Experientia 1991; 47 (11-12): 1186-93.
38. Vetter J. Toxins of Amanita phalloides. Toxicon 1998; 36 (1): 13-24.
39. Walton J. Chemistry of the Amanita peptide toxins. En: The Cyclic Peptide Toxins of Amanita and Other Poisonous Mushrooms. Cham: Springer; 2018; pp. 19-57.
40. Baumann K, Muenter K, Faulstich H. Identification of structural features involved in binding of á-amanitin to a monoclonal antibody. Biochemistry 1993; 32 (15): 4043-50.
41. Enjalbert F, Rapior S, Nouguier-Soule J, Guillon S, Amouroux N, Cabot C. Treatment of amatoxin poisoning: 20-year retrospective analysis. J Toxicol Clin Toxicol 2002; 40 (6): 715-57.
42. Sgambelluri RM, Epis S, Sassera D, Luo H, Angelos ER, Walton JD. Profiling of amatoxins and phallotoxins in the genus Lepiota by liquid chromatography combined with uv absorbance and mass spectrometry. Toxins 2014; 6 (8): 2336-47.
43. Garcia J, Oliveira A, de Pinho PG, Freitas V, Carvalho A, Baptista P, et al. Determination of amatoxins and phallotoxins in Amanita phalloides mushrooms from northeastern Portugal by HPLC-DAD-MS. Mycologia 2015; 107 (4): 679-87.
44. Talamoni M, Cabrerizo S, Cari C, Diaz M, Ortiz de Rozas M, Sager I. Intoxicacion por Amanita phalloides, diagnostico y tratamiento. Arch Argent Pediatr 2006; 104 (4): 372-4.
45. Rodriguez-Maldonado MG, Lopez-Alvarez F, Andrade- Padilla MA. Intoxicacion por hongos: A proposito de un nino con falla hepatica (Mushrooms poisoning: On purpose of a child with hepatic failure). Rev Mex Pediatria 2008; 75 (4): 171-4.
46. Perez Gordillo JH, Colbert Rodriguez M, Cuz Rivera N, Perez Gordillo G. Falla hepatica fulminante por intoxicacion por Amanita verna. Reporte de tres casos. Rev Hosp Jua Mex 2009; 76 (3): 168-75.
47. Cortese S, Risso M, Trapassi JH. Intoxicacion con Amanita phalloides: serie de tres casos. Acta Toxicol Argent 2013; 21 (2): 110-7.
48. Barquero M, Bolanos P. Falla hepatica aguda y otros trastornos causados por el consumo de Amanita phalloides. Med Leg Costa Rica 2016; 33 (1): 96-102.
49. Garcia J, Costa VM, Baptista P, de Lourdes Bastos M, Carvalho F. Quantification of alpha-amanitin in biological samples by HPLC using simultaneous UV-diode array and electrochemical detection. J Chromatogr B 2015; 997: 85-95.
50. Wieland T. Peptides of Poisonous Amanita Mushrooms. Berlin: Springer, 1986.
51. Loranger A, Tuchweber B, Gicquaud C, St-Pierre S, Côté MG. Toxicity of peptides of Amanita virosa mushrooms in mice. Fundam Appl Toxicol 1985; 5 (6 Pt 1): 1144-52.
52. Antonyuk VO, Klyuchivska OY, Stoika RS. Cytotoxic proteins of Amanita virosa Secr. mushroom: purification, characteristics and action towards mammalian cells. Toxicon 2010; 55 (7): 1297-305.
53. Wei J, Wu J, Chen J, Wu B, He Z, Zhang P, et al. Determination of cyclopeptide toxins in Amanita subpallidorosea and Amanita virosa by high-performance liquid chromatography coupled with high-resolution mass spectrometry. Toxicon 2017; 133: 26-32.
54. Faulstich H, Buku A, Bodenmüller H, Wieland T. Virotoxins: actin-binding cyclic peptides of Amanita virosa mushrooms. Biochemistry 1980; 19 (14): 3334-43.
55. Walton J. Biosynthesis of the Amanita cyclic peptide toxins. En: The Cyclic Peptide Toxins of Amanita and Other Poisonous Mushrooms. S Cham: Springer; 2018; 93-130.
56. Stasyk T, Lootsik M, Hellman U, Wernstedt C, Souchelnytskyi S, Stoika R. A new toxic protein from death cap Amanita phalloides: isolation and study of cytotoxic activity. Studia Biologica 2008; 2 (1): 21-32.
57. Pišlar A, Sabotič J, Šlenc J, Brzin J, Kos J. Cytotoxic L-amino-acid oxidases from Amanita phalloides and Clitocybe geotropa induce caspase-dependent apoptosis. Cell Death Discov 2016; 2: 16021.
58. Stasyk T, Lutsik-Kordovsky M, Wernstedt C, Antonyuk V, Klyuchivska O, Souchelnytskyi S, et al. A new highly toxic protein isolated from the death cap Amanita phalloides is an L-amino acid oxidase. FEBS J 2010; 277 (5): 1260-9.
59. Žun G, Kos J, Sabotič J. Higher fungi are a rich source of L-amino acid oxidases. 3 Biotech 2017; 7 (3): 230.
60. Meldolesi J, Pelosi G, Brunelli A, Genovese E. Electron microscopic studies on the effects of amanitin in mice: liver and heart lesions. Virchows Arch - Pathol Anat Physiol Klin Med 1967; 342 (3): 221-35.
61. Cooper JA. Effects of cytochalasin and phalloidin on actin. J Cell Biol 1987; 105 (4): 1473-8.
62. Silva DA, Weiss DR, Pardo Avila F, Da L-T, Levitt M, Wang D, et al. Millisecond dynamics of RNA polymerase II translocation at atomic resolution. Proc Natl Acad Sci U S A 2014; 111 (21): 7665-70.
63. Marinozzi V, Fiume L. Effects of á-amanitin on mouse and rat liver cell nuclei. Exp Cell Res 1971; 67 (2): 311-22.
64. Bushnell DA, Cramer P, Kornberg RD. Structural basis of transcription: á-amanitin–RNA polymerase II cocrystal at 2.8 A resolution. Proc Natl Acad Sci U S A 2002; 99 (3): 1218-22.
65. Horgen PA, Vaisius AC, Ammirati JF. The insensitivity of mushroom nuclear RNA polymerase activity to inhibition by amatoxins. Arch Microbiol 2016; 118: 317-9.
66. Raithelhuber J. Nueva Flora Micologica Argentina. Mycosur, Stuttgart, 2004.
67. Yarze JC, Tulloss RE. Acute liver injury and renal failure due to poisonous mushroom (Amanita bisporigera) ingestion. Am J Gastroenterol 2012; 107 (5): 790-1.
68. Sun J, Zhang YT, Niu YM, Li HJ, Yin Y, Zhang YZ, et al. Effect of biliary drainage on the toxicity and toxicokinetics of Amanita exitialis in beagles. Toxins (Basel) 2018; 10(6): pii: E215.
69. Zhou Q, Tang S-S, He Z-M, Luo T, Chen Z-H, Zhang P. Amatoxin and phallotoxin concentrations in Amanita fuliginea: Influence of tissues, developmental stages and collection sites. Mycoscience 2017; 58 (4): 267-73.
70. Yilmaz I, Kaya E, Sinirlioglu ZA, Bayram R, Surmen MG, Colakoglu S. Clinical importance of toxin concentration in Amanita verna mushroom. Toxicon 2014; 87: 68-75.
71. Ramarodi EA. Flora micologica de Bahia Blanca y zona. 2 parte. Metrodiana 1985; 11 (2): 51-2.
72. Wright JE, Wright E. Checklist of the mycobiota of Iguazu National Park (Misiones, Argentina). Bol Soc Argent Bot 2005; 40 (1-2): 23-44.
73. Wright JE, Lechner BE, Popoff OF. Hongos. Acta pictorico del Parque Nacional Iguazu. Buenos Aires: Editorial LOLA, 2008.
74. Kim SY, Baek YH, Han SY, Lee SW, Roh YH, Kim KW, et al. Mushroom poisoning byMacrolepiota neomastoidea. Korean J Gastroenterol 2018; 71 (2): 94-7.
75. Greenberg M. Greenberg’s Text-atlas of Emergency Medicine. Lippincott Williams & Wilkins, 2005; p. 854.
76. Saviuc P, Danel V. New Syndromes in mushroom poisoning. Toxicol Rev 2006; 25 (3): 199-209.
77. Iwafuchi Y, Morita T, Kobayashi H, Kasuga K, Ito K, Nakagawa O, et al. Delayed onset acute renal failure associated with Amanita pseudoporphyria hongo ingestion. Int Med 2003; 42 (1): 78-81.
78. Besancon A, Schmitt C, Glaizal M, Tichadou L, Klouche K, Hayek-Lanthois M, et al. Survenue d’une atteinte cardiaque severe au cours du syndrome proximien: deux observations originales. Ann Fr Anesth Reanim 2012; 31 (5): 466-8.
79. Chilton WS, Tsou G. A chloro amino acid from Amanita solitaria. Phytochemistry 1972; 11 (9): 2853-7.
80. Hatanaka S.I. Identification of 2-amino-4,5-hexadienoic acid from Amanita pseudoporphyria. Lloydia 1975; 38 (3): 273-4.
81. Yang W-S, Lin C-H, Huang J-W, Fang C-C. Acute renal failure caused by mushroom poisoning. J Formos Med Assoc 2006; 105 (3): 263-7.
82. Shu-ting C, Xiaolan M. Hong Kong Mushrooms. Sha Tin NT, Hong Kong: The Chinese University Press, 1995; p. 103.
83. Fushiya S, Gu QQ, Ishikawa K, Funayama S, Nozoe S. (2R),(1’R) and (2R),(1’S)-2-Amino-3-(1,2-dicarboxyethylthio) propanoic acids from Amanita pantherina. Antagonists of N-methyl-D-aspartic acid (NMDA) receptors. Chem Pharm Bull 1993; 41 (3): 484-6.
84. Lertratanangkoon K, Scimeca JM, Wei JN. Inhibition of glutathione synthesis with propargylglycine enhances N-acetylmethionine protection and methylation in bromobenzene-treated Syrian hamsters. J Nutr 1999; 129 (3): 649-56.
85. Courtin P, Gallardo M, Berrouba A, Drouet G, de Haro L. Renal failure after ingestion of Amanita proxima. Clin Toxicol (Phila) 2009; 47 (9): 906-8.
86. West PL, Lindgren J, Horowitz BZ. Amanita smithiana mushroom ingestion: a case of delayed renal failure and literature review. J Med Toxicol 2009; 5 (1): 32-8.
87. Apperley S, Kroeger P, Kirchmair M, Kiaii M, Holmes DT, Garber I. Laboratory confirmation of Amanita smithiana mushroom poisoning. Clin Toxicol (Phila) 2013; 51 (4): 249-51.
88. Puschner B. Mushrooms. Chapter 62. En: Small Animal Toxicology. Peterson ME, Talcott PA, eds, Section 4: Specific toxicants, 3rd ed., St. Louis, EE.UU.; Elsevier, 2013; pp. 659-76.
89. Gecan JS, Cichowicz SM. Toxic mushroom contamination of wild mushrooms in commercial distribution. J Food Protection 1993; 56 (8): 730-4.
90. Michelot D, Toth B. Poisoning by Gyromitra esculenta - a review. J Appl Toxicol 1991; 11 (4): 235-43.
91. Kalač P. Detrimental Compounds and Effects. Chapter 5. En: Edible Mushrooms: Chemical Composition and Nutritional Value. Technology and Engineering, Academic Press, 2016; 155-80.
92. Horowitz KM, Horowitz BZ. Toxicity, Mushroom, Gyromitra. StatPearls, StatPearls Publishing, Treasure Island (FL), 2017.
93. Wright AV, Niskanen A, Pyysalo H, Korpela H. The toxicity of some N-methyl-N-formylhydrazones from Gyromitra esculenta and related compounds in mouse and microbial tests. Toxicol Appl Pharmacol 1978; 45 (2): 429-34.
94. Peredy TR. Mushrooms, monomethylhydrazine (MMH) – generating. En: Encyclopedia of Toxicology. Wexler P. (ed.), 3a ed., Elsevier, 2014; pp. 414-5.
95. Hall IR. Edible and poisonous mushrooms of the world. Portland, Oregon: Timber Press, 2003.
96. Sept JD. Common Mushrooms of the Northwest: Alaska, Western Canada & the Northwestern United States. Sechelt, British Columbia: Calypso Publishing, 2006; p. 82.
97. Arshadi M, Nilsson C, Magnusson B. Gas chromatography- mass spectrometry determination of the pentafluorobenzoyl derivative of methylhydrazine in false morel (Gyromitra esculenta) as a monitor for the content of the toxin gyromitrin. J Chromatogr A 2006; 1125 (2): 229-33.
98. Beug MW. NAMA Toxicology Committee Report for 2008: Recent Mushroom Poisonings in North America. McIlvainea 2009; 18: 45-54.
99. Barceloux DG. False Morel and Gyromitrin Poisoning. Chapter 38. En: Medical Toxicology of Natural Substances: Foods, Fungi, Medicinal Herbs, Plants, and Venomous Animals, Wiley, 2008; pp. 285-9.
100.IARC. Monographs on the Evaluation of Carcinogenic Risks to Humans, Agents classified by the IARC Monographs, 2012; Vols 1-105: 1-33.
101.Hossain A, Park S. A review on mushroom toxins. Chapter 14. En: Bagchi D, Swaroop A (eds), Food Toxicology. Boca Raton; CRC Press, 2016; pp. 275- 302.
102.Leathem AM, Dorran TJ. Poisoning due to raw Gyromitra esculenta (false morels) west of the Rockies. Can J Emerg Med 2007; 9 (2): 127-30.
103.Du X-H, Zhao Q, Yang ZL. A review on research advances, issues, and perspectives of morels. Mycology 2015; 6 (2): 78-85.
104.Saviuc P, Harry P, Pulce C, Garnier R, Cochet A. Can morels (Morchella sp.) induce a toxic neurological syndrome? Clin Toxicol (Phila) 2010; 48 (4): 365-72.
105.Pfab R, Haberl B, Kleber J, Zilker T. Cerebellar effects after consumption of edible morels (Morchella conica, Morchella esculenta). Clin Toxicol (Phila) 2008; 46 (3): 259-60.
106.Nothnagel P. Gesundheitliche Storungen nach Morchelgenus. Mykologisches Mittelungsblatt, Halle/S 6, 1962: 32-3.
107.Beug MW, Shaw M, Cochran KW. Thirty-plus years of mushroom poisoning: summary of the approximately 2,000 reports in the NAMA Case Registry. McIlvainea 2006; 16 (2): 47-68.
108.Flammer RJ, Schenk-Jager M. Pilzvergiftung – die Schattenseiten des Myzetismus. Therapeutische Umschau 2009; 66: 357-64.
109.Benjamin DR. Neurological effects of Mochella sp. http://www.fungimag.com/fall-2015-articles/LR%20 Morcella24_25.pdf. Fecha de acceso: 6 julio de 2018.
110.Roody WC. Mushrooms of West Virginia and the Central Appalachians. Kentucky: University Press of Kentucky, 2015.
111.Lo Y-C, Lin S-Y, Ulziijargal E, Chen S-Y, Chien R-C, Tzou Y-J, et al. Comparative study of contents of several bioactive components in fruiting bodies and mycella of culinary-medicinal mushrooms. Int J Med Mushrooms 2012; 14: 357-63.
112.Lin S-Y, Chen Y-K, Yu H-T, Barseghyan GS, Asatiani MD, Wasser SD, et al. Comparative study of contents of several bioactive components in fruiting bodies and mycelia of culinary-medicinal mushrooms. Int J Med Mushrooms 2013; 15: 313-27.
113.Gunde-Cimerman N, Cimerman A. Pleurotus fruiting bodies contain the inhibitor of 3-hydroxy-3-methylglutaryl- coenzyme A reductase-lovastatin. Exp Mycol 1995; 19 (1): 1-6.
114.Floyd JS, Heckbert SR, Weiss NS, Carrell DS, Psaty BM. Use of administrative data to estimate the incidence of statin-related rhabdomyolysis. J Am Med Assoc 2012; 307: 1580-2.
115.U.S. Food and Drug Administration (FDA). Controlling Cholesterol with Statins. Updated: February 16, 2017. Disponible en : https://www.fda.gov/forconsumers/consumerupdates/ucm293330.htm. Fecha de acceso: 6 julio de 2018.
116.Mevacor, Altoprev (lovastatin) dosing, indications, interactions, adverse effects, and more. Medscape Reference. Disponible en: https://reference.medscape.com/drug/mevacor-altoprev-lovastatin-342458. Fecha de acceso: 6 julio de 2018.
117.Piecha M, Sarakha M, Trebse P, Kocar D. Stability studies of cholesterol lowering statin drugs in aqueous samples using HPLC and LC-MS. Environ Chem Lett 2010; 8: 185-91.
118.Ulziijargal E, Yang J-H, Lin L-Y, Chen C-P, Mau J-L. Quality of bread supplemented with mushroom mycelia. Food Chem 2013; 138: 70-6.
119. Markova NG, Karaman-Jurukovska N, Dong KK, Damaghi N, Smiles KA, Yarosh DB. Skin cells and tissue are capable of using L-ergothioneine as an integral component of their antioxidant defense system. Free Radic Biol Med 2009; 46 (8): 1168-76.
120. Cheah I K, Halliwell B. Ergothioneine; antioxidant potential, physiological function and role in disease. Biochim Biophys Acta 2012; 1822 (5): 784-93.
121. Koepsell H. Organic Cation and Zwitterion Transporters (OCTs, OCTNs). En: You G, Morris ME (eds), Drug Transporters: Molecular Characterization and Role in Drug Disposition. Chapter 2, Wiley Online Library, Second Edition, 2014; pp. 7-24.
122. EFSA Panel on Dietetic Products, Nutrition and Allergies (NDA), Turck D, Bresson J-L, Burlingame B, Dean T, Fairweather‐Tait S, Heinonen M, et al. Statement on the safety of synthetic L-ergothioneine as a novel food – supplementary dietary exposure and safety assessment for infants and young children, pregnant and breastfeeding women. EFSA J 2017; 15 (11): 5060.
123. Kreisel H. Liste der ethnomykologisch und biotechnologisch relevanten Pilze. Feddes Repertorium 2005; 166 (5-6): 339-91.
124. Du X-H, Zhao Q, O’Donnell K, Rooney AP, Yang ZL. Multigene molecular phylogenetics reveals true morels (Morchella) are especially species-rich in China. Fungal Genet Biol 2012; 49 (6): 455-69.
125.Barseghyan GS, Wasser SP. Species diversity of the genera Morchella St. Amans and Helvella L. ex St. Amans (Ascomycota, Pezizales) in Israeli mycobiota. Nova Hedwigia 2008; 87 (3-4): 315-36.
126.Faris HA, Broderick A, Nair NG. Occurrence and Initial Observations of Morchella in Australia. En: Royse DJ, editor. Proc. 2nd Int. Conf. - World Society of Mushroom Biology and Mushroom Products. Pennsylvania State University, EE.UU. 1996; pp 393-9.
127.Kuo M, Dewsbury DR, O’Donnell K, Carter MC, Rehner SA, Moore JD, et al. Taxonomic revision of true morels (Morchella) in Canada and the United States. Mycologia 2012; 104 (5): 1159-77.
128.Pinzon-Osorio CA, Pinzon-Osorio J. Primer registro de la familia Morchellaceae (Ascomycota: Pezizales) para Colombia. Rev Peru Biol 2017; 24 (1): 105-10.
129.Gamundi IJ, Minter DW, Romero AI, Barrera VA, Giaiotti AL, Messuti MI, et al. Checklist of the Discomycetes (Fungi) of Patagonia, Tierra del Fuego and adjacent Antarctic areas. Darwiniana 2004; 42 (1-2): 63-164.
130.Cortez GV, Coelho G, Guerrero TR. Morchella esculenta (Ascomycota): uma rara especie encontrada em Santa Maria, Rio grande do sul, Brasil. Biociencias 2004; 12: 51-3.
131.Richard F, Bellanger J-M, Clowez P, Hansen K, O’Donnell K, Urban A, Sauve Met al. True morels (Morchella, Pezizales) of Europe and North America: evolutionary relationships inferred from multilocus data and a unified taxonomy. Mycologia 2015; 107 (2): 359-82.
132.Wipf D, Fribourg A, Munch JC, Botton B, Buscot F. Diversity of the internal transcribed spacer of rDNA in morels. Can J Microbiol 1999; 45 (9):769-78.
133.O’Donnell K, Rooney AP, Mills GL, Kuo M, Weber NS, Rehner SA. Phylogeny and historical biogeography of true morels (Morchella) reveals an early Cretaceous origin and high continental endemism and provincialism in the Holarctic. Fungal Genet Biol 2011; 48 (3): 252-65.
134.Voitk A, Beug MW, O’Donnell K, Burzynski M. Two new species of true morels from Newfoundland and Labrador: cosmopolitan Morchella eohespera and parochial M. laurentiana. Mycologia 2016; 108 (1): 31-7.
135.Pildain MB, Visnovsky SB, Barroetavena C. Phylogenetic diversity of true Morels (Morchella), the main edible non-timber product from native Patagonian forests of Argentina. Fungal Biol 2014; 118 (9-10): 755-63.
136.Kraft J, Bauer S, Keilhoff G, Miersch J, Wend D, Riemann D, et al. Biological effects of the dihydroorotate dehydrogenase inhibitor polyporic acid, a toxic constituent of the mushroom Hapalopilus rutilans, in rats and humans. Arch Toxicol 1998; 72 (11): 711-21.
137.Villa AF, Saviuc P, Langrand J, Favre G, Chataignerl D, Garnier R. Tender nesting polypore (Hapalopilus rutilans) poisoning: report of two cases. Clin Toxicol (Phila) 2013; 51 (8): 798-800.
138.Azzolina R, La Camera G, Fiorino LS, Chiarenza F, Di Francesco A, Cavaleri M, et al. Mushroom poisoning. Acta Med Mediterranea 2011; 27: 121-4.
139.Cali V, Spatafora C, Tringali C. Polyhydroxy-p-terphenyls and related p-terphenylquinones from fungi: overview and biological properties. Studies in Natural Products Chemistry 2003; 29: 263-307.
140.Cohen PA, Robinson PD. 2,5-Diphenyl-3,6-dihydroxy- 1,4-benzoquinone (polyporic acid). Acta Crystallogr 2001; E57: o596-8
141.Brewer D, Jen WC, Jones GA, Taylor A. The antibacterial activity of some naturally occurring 2,5-dihydroxy- 1,4-benzoquinones. Can J Microbiol 1984; 30 (8): 1068-92.
142.Schuffler A, Liermann JC, Opatz T, Anke T. Elucidation of the biosynthesis and degradation of allantofuranone by isotopic labelling and fermentation of modified precursors. Chembiochem 2011; 12 (1): 148-54.
143.Diaz JH. Amatoxin-containing mushroom poisonings: species, toxidromes, treatments, and outcomes. Wilderness Environ Med 2018; 29 (1): 111-8.
144.Ventura S, Ruiz C, Duran E, Mosquera M, Bandres F, Campos F, et al. Amanitinas. Revista del Laboratorio Clinico 2015; 8 (3): 109-26.
145.Zilker T, Faulstich H. Cyclopeptide-containing mushrooms: the deadly Amanitas. En: Brent J, Burkhart K, Dargan P, Hatten B, Megarbane B, Palmer R (eds), Critical Care Toxicology. Cham: Springer, 2017; 2129-48.
146.Lauga A, Perel C, D’Ortencio AO. Balon de contrapulsacion intraaortico. Rev Insuf Cardiaca 2008; 3 (4): 184-95.
147.Nielsen DS, Shepherd NE, Xu W, Lucke AJ, Stoermer MJ, Fairlie DP. Orally absorbed cyclic peptides. Chem Rev 2017; 117 (12): 8094-128.
148.Jander S, Bischoff J, Woodcock BG. Plasmapheresis in the treatment of Amanita phalloides poisoning: II. A review and recommendations. Ther Apher 2000; 4 (4): 308-12.
149.Faybik P, Hetz H, Baker A, Bittermann C, Berlakovich G, Werba A, et al. Extracorporeal albumin dialysis in patients with Amanita phalloides poisoning. Liver Int 2003; 23 (Suppl 3): 28-33.
150.Christmann H. PrometheusR – ein extrakorporales Blutreinigungsverfahren zur Leberunterstutzung. Kardiotechnik 2006; 4: 108-11.
151.Vardar R, Gunsar F, Ersoz G, Akarca US, Karasu Z. Efficacy of fractionated plasma separation and adsorption system (Prometheus) for treatment of liver failure due to mushroom poisoning. Hepatogastroenterology 2010; 57 (99-100): 573-7.
152.Bergis D, Friedrich-Rust M, Zeuzem S, Betz C, Sarrazin C, Bojunga J. Treatment of Amanita phalloides intoxication by fractionated plasma separation and adsorption (PrometheusR). J Gastrointestin Liver Dis 2012; 21 (2): 171-6.
153. Stankiewicz R, Lewandowski Z, Kotulski M, Patkowski W, Krawczyk M. Effectiveness of fractionated plasma separation and absorption as a treatment for Amanita phalloides poisoning. Ann Transplant 2016; 21: 428-32.
154.Wittebole X, Hantson P. Use of the molecular adsorbent recirculating system (MARSTM) for the management of acute poisoning with or without liver failure. Clin Toxicol (Phila) 2011; 49 (9): 782-93.
155.Mendez-Navarro J, Ortiz-Olvera NX, Villegas-Rios M, Mendez-Tovar LJ, Andersson KL, Moreno-Alcantar R, et al. Hepatotoxicity from ingestion of wild mushrooms of the genus Amanita section Phalloideae collected in Mexico City: two case reports. Ann Hepatol 2011; 10 (4): 568-74.
156.Pillukat MH, Schomacher T, Baier P, Gabriels G, Pavenstadt H, Schmidt HH. Early initiation of MARSR dialysis in Amanita phalloides-induced acute liver injury prevents liver transplantation. Ann Hepatol 2016; 15 (5): 775-87.
157.Magdalan J, Ostrowska A, Piotrowska A, Gomułkiewicz A, Szeląg A, Dziędgiel P. Comparative antidotal efficacy of benzylpenicillin, ceftazidime and rifamycin in cultured human hepatocytes intoxicated with alpha- amanitin. Arch Toxicol 2009; 83 (12): 1091-6.
158.Magdalan J, Piotrowska A, Gomułkiewicz A, Sozański T, Podhorska-Okołow M, Szeląg A, et al. Benzylpenicyllin and acetylcysteine protection from á-amanitin-induced apoptosis in human hepatocyte cultures. Exp Toxicol Pathol 2011; 63 (4): 311-5.
159.Mengs U, Pohl RT, Mitchell T. LegalonR SIL: the antidote of choice in patients with acute hepatotoxicity from amatoxin poisoning. Curr Pharm Biotechnol 2012; 13 (10): 1964-70.
160.Lacombe G, St-Onge M. Towards evidence-based emergency medicine: best BETs from the Manchester Royal Infirmary. BET 1: Silibinin in suspected amatoxin- containing mushroom poisoning. Emerg Med J 2016; 33 (1): 76-7.
161.Ganzert M, Felgenhauer N, Schuster T, Eyer F, Gourdin C, Zilker T. [Amanita poisoning--comparison of silibinin with a combination of silibinin and penicillin]. (Articulo en idioma aleman). Dtsch Med Wochenschr 2008; 133 (44): 2261-7.
162.Garcia J, Carvalho AT, Dourado DF, Baptista P, de Lourdes Bastos M, Carvalho F. New in silico insights into the inhibition of RNAP II by á-amanitin and the protective effect mediated by effective antidotes. J Mol Graph Model 2014; 51: 120-7.
163.Garcia J, Costa VM, Carvalho AT, Silvestre R, Duarte JA, Dourado DF, et al. A breakthrough on Amanita phalloides poisoning: an effective antidotal effect by polymyxin B. Arch Toxicol 2015; 89 (12): 2305-23.
164.Magdalan J, Piotrowska A, Gomulkiewicz A, Sozański T, Szelag A, Dziegiel P. Influence of commonly used clinical antidotes on antioxidant systems in human hepatocyte culture intoxicated with alpha-amatoxin. Hum Exp Toxicol 2011; 30 (1): 38-43.
165.Muszyńska K, Ostrowska D, Bartnicki F, Kowalska E, Bodaszewska-Lubaś M, Hermanowicz P, et al. Selection and analysis of a DNA aptamer binding á-amanitin from Amanita phalloides. Acta Biochim Pol 2017; 64 (3): 401-6.
166.Vo KT, Montgomery ME, Mitchell ST, Scheerlinck PH, Colby DK, Meier KH, et al. Amanita phalloides mushroom poisonings - Northern California, December 2016. MMWR Morb Mortal Wkly Rep 2017; 66 (21): 549-53.
167.Lheureux P, Penaloza A, Gris M. Pyridoxine in clinical toxicology: a review. Eur J Emerg Med 2005; 12 (2): 78-85.
168.Zuberbuhler P, Young P, Leon Cejas LV, Finn BC, Bruetman JE, Calandra CR, et al. Neuronopatia sensitiva: Su reconocimiento y tratamiento temprano. Medicina (Buenos Aires) 2015; 75 (5): 297-302.
169.Aminoff MJ, Albers JW. Electrophysiologic techniques in the evaluation of patients with suspected neurotoxic disorders. Chapter 36. En: Aminoff MJ (ed), Aminoff’s Electrodiagnosis in Clinical Neurology. Section VII: Electrophysiologic Evaluation in Special Situations. 6th ed., Londres, UK: Elsevier; 2012; pp. 813-30.
170. Brandao JL, Pinheiro J, Pinho D, Correia Da Silva D, Fernandes E, Fragoso G, et al. Intoxicacao por cogumelos em Portugal. Acta Med Port 2011; 24 (S2): 269-78.
Notas de autor