Recepción: 05 Mayo 2017
Aprobación: 06 Diciembre 2017
Abstract:
Purpose
This paper aims to identify and measure the impact of the types of innovation on micro and small enterprises’ performance in the foodservice industry.
Design/methodology/approach
A sample of 55 micro and small enterprises located in the Recife Metropolitan Area in Pernambuco were considered for the purpose of the analysis. All the firms were registered in the Agente Local de Inovação (ALI) program during the period of 2015 and 2016. The innovations developed by the firms were identified and measured using the sectorial innovation index, and the firm’s performance was calculated by the annual revenue. The impact of the innovations on performance was measured using multiple linear regression and quantile regression.
Findings
The regressions’ findings suggest that two innovation dimensions stand out concerning firm performance, that is, brand and customer experience are thought as to contribute to firm performance significantly. However, it has also been found that the contribution of the innovations may vary in the level of firm performance.
Originality/value
The paper was distinguished by analyzing the relationship between innovation and firm performance in the context of micro and small enterprises. The research also allowed knowing the innovations that can contribute to the micro and small enterprises’ performance, allowing such organizations to identify and develop the innovations seen as necessary for their competitiveness.
Keywords: Innovation, Quantile regression, Firm performance, Micro and small enterprises.
1.Introduction
Innovation, Schumpeter (1998) remarks, is the driving force of economic development that moves the economy outward along a novel production frontier. It refers to ruptures and discontinuities that make the establishment possible of new economic equilibrium. As a result, innovation engenders the conditions needed to break off the stationary state in which the society finds itself. Given the risk odds assumed in the development and execution of innovation, Schumpeter (1998) claims that what motivates innovative entrepreneurs toward innovation is the search for extraordinary profits. These profits are often translated into terms of returns on investment (Adcock et al., 2014), market value (Hall, 1999) or profitability (Mata and Woerter, 2013).
Most studies on business innovation have focused on comprehending the relationship between innovation and performance in large organizations. The findings suggest a positive relationship between these variables (Adcock et al., 2014; Mata and Woerter, 2013; Coad and Rao, 2008). Notwithstanding, such findings cannot be generalized and thereby applied to the context of micro and small enterprises (MSEs). As pointed out in the Schumpeterian hypothesis and reinforced by Scherer (1988) and Nooteboom(1994), MSEs hold distinctive characteristics concerning their organizational structures. Additionally, decision-making process to choose and implement innovation in MSEs often differs from those of large firms (Grant et al., 2014).
In what follows, the development of innovation in MSEs takes a somewhat different approach from the larger ones. In the latter case, innovations are grounded upon technological bases, such as research and development (R&D) and patents (Ismail et al., 2014). In contrast to this, the innovation process in the former case relies on management and transaction capabilities (Zawislak et al., 2012). Insofar as MSEs focus their activities on fostering certain types of innovation, they may not achieve the expected levels of improvement in the organization’s performance by using innovation (Oke et al., 2007; Nooteboom, 1994).
Bearing in mind that the types of innovation undertaken in MSEs may vary with the economic sector (Oliveira et al., 2014), this research focused on analyzing an industry, the foodservice industry, and verifying relations in it.
The purpose of this paper is to address the following research question:RQ1.
What types of innovations can impact on the firm performance of the MSEs in the Brazilian foodservice industry?
This study focuses on analyzing and verifying the relations between the types of innovation and firm performance in such Brazilian industry.
This study aims to understand the types of innovations that may contribute to the improvement of the Brazilian MSEs’ performance. In so doing, this research intends to allow MSEs to identify and develop innovations reckoned as vital to their competitiveness. Additionally, this work also aims to inspire future studies in other industries and contexts in Brazil.
This paper is divided into four main sections. Section 2 outlines the theoretical background concentrating the discussion on innovation, firm performance and innovation in the foodservice industry. Section 3 describes the methodological design and the econometric model. Section 4 presents and discusses the findings. Finally, Section 5 presents the conclusions which aim to explain the relations proposed by the studies.
2.Literature review
There is a widespread belief that the innovative process holds potential to spring forth new economic structures. In so doing, it brings a wide range of benefits to the entire business network it develops. In general, potential benefits to society involve the provision of new products and services. Regarding competitors, benefits encompass knowledge generated and applied to find ways to compensate strategic disadvantage. The State may obtain advantages in terms of competitiveness, job creation and income. In what follows, innovation refers, therefore, to a “desired achievement of society, capable of offering real conditions for the improvement of human needs” (Correia et al., 2010, p. 2).
If innovation is the primary factor that keeps the capitalist machine moving along, as Schumpeter (1998) claims, then entrepreneurs and investors are the inducers by enabling the execution of innovation projects. In the management literature, innovations have potential to yield changes in firms in such a way that they can exploit new market opportunities that may increase their returns. These opportunities stemmed from industry variations and uncertainties, the need of novel and reshaped processes, incongruences, unexpected events or external factors to the organizations (demographic changes) and perception and introduction of new knowledge (Drucker, 1985).
Even though the innovation implementation brings benefits to the society as a whole, this process must generate returns to the investor. If so, there will be a sort of temporary monopoly of the innovation whose immediate objective is to maximize profit for firms.
There is nothing novel in the claim that the assumption of risks in the development and execution of any project is taken for granted. If so, it is expected that firms that uphold innovation activities have a better performance than others concerning market value (Hall, 1999), return (Adcock et al., 2014) or profit distribution (Mata and Woerter, 2013).
Despite the fact that the aforementioned scholars have focused on investigating innovative capabilities at large firms, it does not seem unreasonable to state that MSEs share the same patterns concerning the innovation matter. Indeed, as Bayarçelik et al. (2014) say, MSEs are also capable of developing and implementing innovations to thrive in the face of competition.
2.1. Studies on relationship between innovation and performance in the micro and small enterprises context
Rosenbusch et al. (2011) argue that innovation activities create value and competitive advantage for SMEs. These sorts of activities, as they say, have a direct impact on firm performance. To investigate such relationship, these scholars adopted a multidimensional perspective on performance grounded upon Combs et al.’s (2005) conceptual model. According to its theoretical foundation, firm performance refers to the links between accounting returns, stock market and growth. This model, as Combs et al. (2005, p. 259) write, extends the understanding of performance and “influences how future research should understand performance and how empirical studies should conceptualize and measure it.”
Despite the performance indicators proposed by Combs et al. (2005) and some studies on how firms ought to measure their performance, Chong (2008) reckons that there is an apparent lack of understanding the performance measurement dynamism in MSEs’ context. Such a lack, as Chong (2008) asserts, stems mainly from the nature and complexity of MSEs’ organizational structure and the entrepreneurs’ unwillingness to participate in research studies. As financial measures are subject to manipulation and interpretation (Chong, 2008), there still exists the challenge of specifying what metrics should be used to measure firm performance in the case of MSEs.
In the particular case of Brazil, there is another aggravating factor to be aware of in the context of MSEs: the decision of opting for Simples Nacional. It refers to a taxation regime, which exempts MSEs from the adoption and disclosure of financial statements. Given that most Brazilian MSEs have opted for this regime, there is no guarantee that their financial statements have been carried out and disclosed according to the accounting pronouncements. Even when it is done according to these pronouncements, the Brazilian MSEs’ registration statements are not disclosed in public domain.
As an alternative route to overcome this limitation, some studies have analyzed the issues of performance in MSEs by using Likert scale measures (for instance, Kalay and Lynn, 2015; Rosli and Sidek, 2013; Gunday et al., 2011; Varis and Littunen, 2010). Notwithstanding, these studies have emphasized the multidimensional character of the firm performance, and their analyses are subject to biases and subjectivities inherent to the method.
Researchers in other studies have measured firm performance in terms of growth. Given performance holds accessibility to other indicators (Marques and Ferreira, 2009), growth refers to turnover, profit or employability (Bianchini et al., 2014, 2016; Thornhill, 2006; Lööf and Heshmati, 2006; Kemp et al., 2003). Despite the fact that these studies have a limited perspective from Combs et al.’s (2005) model, they have demonstrated that the growth is capable of representing the firm performance. Besides, these studies have highlighted the relations with innovations generated from multiple regressions.
Coad and Rao (2008) and Coad et al. (2016) argue that the results obtained may be attributed to the analysis method used in previous studies. The samples are often composed predominantly of different organizations whose growth rates have heavy-tailed distributions. Under this circumstance, the use of regression techniques may not be appropriated for the analysis (Coad and Rao, 2008). Lööf and Heshmati (2006) remark that the estimation model based on the ordinary least squares (OLS) method gives downward biased elasticities. This happens because of the lack of knowledge about sample selectivity and simultaneity biases. In that sense, Coad and Rao (2008) suggest the quantile regression to examine the heterogeneity of the firms. In fact, the results of this sort of regression tend to be more robust to outliers.
From the quantile regression results, Coad et al. (2016) and Coad and Rao (2008) support the claims that firms’ innovative capacity is an important factor involving the incremental growth of a company’s revenues and earnings. In contrast to this result, these scholars also found quantiles wherein innovative capacity impinged a negative influence on performance. In some cases, high investments in innovation were related to poor firm performance. This fact may be due to failures in the innovation process.
The existing body of literature also points out that the firm size impacts the relationship between innovation and performance. Drawing upon the Schumpeterian hypothesis, Coad et al. (2016) and Marques and Ferreira (2009)remark that as larger firms would have better resources to develop innovations, firm size would be positively related to their capacity to innovate. Nonetheless, firm size per se is not thought to be as a predictive variable for revenue growth. Thornhill (2006) highlights that size is indeed positively associated with the innovative intensity, which is achieved by firm performance. In this regard, insofar as the firm size expands, its capacity to innovate alongside the impact on firm’s financial performance also increases (Bigliardi, 2013).
In what follows, Coad et al. (2016) call for attention to the fact that age may exert a negative influence on performance. In conjunction with this, Rosenbusch et al. (2011) state that the correlation between innovation and performance is significantly higher in new firms than in established companies. A possible explanation is that younger firms are more likely to innovate and, thereby, to gain a competitive advantage over competitors (Rosenbusch et al., 2011).
In what follows, Rosenbusch et al. (2011), Coad et al. (2016) and Thornhill(2006) have explored the effects of innovation types on small firms’ performance by using conventional indicators of large firms, such as R&D investment or patents. According to them, even though small firms are often aware of the importance of innovation for their growth, their innovation process is less likely to occur through investments in R&D or acquisition of technology (Ismail et al., 2014). The results of their studies suggest that MSEs’ innovation activities tend to follow a different route.
As Damanpour (1990) recommends, theoretical frameworks must hypothesize how both performance and innovation have to be measured to examine the relationship between them. In this respect, many scholars have struggled to understand the effects of various types of innovation on business performance (Boachie-Mensah and Acquah, 2015; Rosli and Sidek, 2013; Gunday et al., 2011; Lin and Chen, 2007).
Drawing on the Organization for Economic Cooperation and Development’s definition of innovation in 2005 and the studies of Gunday et al. (2011) and Varis and Littunen (2010), Boachie-Mensah and Acquah (2015), we have analyzed the impacts of products, processes, marketing and organizational innovations on the performance of SMEs. These scholars claim that all these types of innovation had a positive effect on firm performance. Additionally, they have also found that, collectively, these innovations can significantly explain firm performance by 52 per cent.
In similar studies in the literature, scholars found that firm performance is affected by organizational innovations (Lin and Chen, 2007), product development (Rosli and Sidek, 2013, Varis and Littunen, 2010) and process innovations (Rosli and Sidek, 2013; Varis and Littunen, 2010). Other studies suggest that performance is influenced by the supply chain (Kuswantoro et al., 2012), marketing innovations (Varis and Littunen, 2010) and firms’ innovation strategies (Kalay and Lynn, 2015).
Albeit these studies do not offer a method for defining and measuring firm performance, they have demonstrated the relevance of incorporating multiple perspective approaches to deal with the issues of performance. In so doing, such studies have highlighted the importance of exploring the existing relationships between innovation and performance in MSEs. It has been claimed that the presence of heterogeneity in innovation capacity has the potential to maximize sales growth and market share (Bianchini et al., 2016). Table I summarizes the innovation perspectives analyzed by the authors in the performance studies.
2.2. Innovation in foodservice industry
In recent years, the innovation process in the foodservice industry has lured the attention of scholars (Baregheh et al., 2012). This sector is traditionally associated with very low technology intensity and R&D investments. Innovations are thought to be as a critical element for gaining competitive advantage and allowing companies to stand out from competitors and thereby meeting consumers’ expectations (Bigliardi and Galati, 2013). The demands for innovation are substantial in the foodservice industry in part because they play an essential role in sustaining and increasing companies’ competitiveness (Capitanio et al., 2010).
These firms hold high involvement with their product and process innovations (Baregheh et al., 2012; Capitanio et al., 2010). Nonetheless, it is worthwhile noting that such innovations in the sector can occur in any part of the supply chain, allowing firms to develop different types of innovation, whether radical or incremental.
In the foodservice industry, the information provided by customers holds potential to bring about changes in both production processes and products offered (Moskowitz et al., 2016). Apart from this, the foodservice must comply with nutritional requirements and regulatory standards (Bigliardi and Galati, 2013). These lead the industry toward the development of new products or their replacement by others.
On the other hand, the development of innovation in the sector is mainly driven by customer and market orientation, as well as the efficient use of networks. Customer and market orientation enables firms to understand customer needs and market opportunities (Batterink et al., 2006). The business network is paramount to uphold the communication and exchange of information between companies, which simplify the improvement of innovation initiatives (Schiefer and Deiters, 2016). In this regard, the types of innovation praised in this sector are those that help to build and strengthen the relationship bonds among the network.
Baregheh et al. (2012) claim that these organizations not just develop new products engaging in activities related to the collection of information from clients, consumers and competitors. Instead, such firms also become involved in strategic planning and the use of process standardization for orienting product and process development. This statement suggests that innovation is carried out in a structured and organized way in the industry.
However, as Galanakis (2016) remarks, the challenges faced by this industry compromise firms’ capacity for the intensive use of technology and to perform R&D activities. The difficulties are mainly linked to the introduction of innovation in this sector and consumers’ reactions to such innovations.
3.Methodology
This study aimed to identify and measure the impact of the types of innovation on MSEs’ firm performance. It was necessary first to identify and quantify the different types of innovation developed by these firms and then examine their impact on firm performance.
In what follows, the methodology was divided into two stages: the first one aimed at identifying the relevant innovation dimensions of the MSEs by using the sectoral innovation index. The second intended to examine the impact of such dimensions on the MSEs’ performance using an econometric model.
3.1. Population and sample of the study
The population of this study was the Brazilian foodservice MSEs registered in the Agente Local de Inovação (ALI) program during 2015 and 2016. In particular, MSEs located in the Recife Metropolitan Area (RMR) in Pernambuco were considered. In Brazil, MSEs are covered by the Complementary Law n° 123 of December 2006 (BRASIL, 2006). From a total number of 89 foodservice MSEs located in the RMR, 55 firms were selected to compose the sample of this study. The standard error was 8.21 per cent for a reliability of 95 per cent.
Although the firms participating in the research are included in an innovation development program, such as the ALI, this was not a potential source to produce significant bias to the study results. Indeed, the sample data was collected before the actual participation of the firms in the program. Therefore, they represent the population of MSEs, which we intend to analyze.
The software Statistical Package for the Social Sciences (SPSS®) version 21 and STATA® version 12 were used to analyze the sample.
3.2. Innovation dimensions
The aim of the first step in the methodological procedures was to identify and measure the relevant innovation dimensions of the sample. This step was carried out using the sectoral innovation index (Grau de Inovação Setorial, GIS) (Oliveira et al., 2014) alongside the innovation radar (Bachmann and Destefani, 2008; Sawhney et al., 2006). The objective of this step was to establish which of the innovation dimensions could be used as independent variables in the analyses of the econometric model.
The radar of innovation was used to explore the innovation dimensions through multiple perspectives, as suggested by Varis and Littunen (2010), Gunday et al. (2011), Rosli and Sidek (2013) and Boachie-Mensah and Acquah (2015). Also, this exploration was carried on using a metric compatible with the characteristics of MSEs (Oliveira et al., 2014).
3.2.1Innovation radar.
The dependent variables for the econometric model proposed in this study were obtained from the innovation radar proposed by Sawhney et al. (2006) and Bachmann and Destefani (2008). The radar of innovation is a tool that allows holistically analyzing the innovation activity. Its main characteristic is to break up with the myopic view that innovation revolves only around the technological development of new products. The dimensions of the innovation radar are described in Table II.
For this study, the GIS proposed by Oliveira et al. (2014) was used as the measure of innovation to identify the relevant dimensions of innovation regarding the MSEs in the Brazilian foodservice industry. According to these scholars, the importance of specific dimensions of the innovation radar may differ from one economic sector to another. In what follows, this index was applied to capture the heterogeneity of the industry analyzed in this study. Equation (1) expresses the GIS calculation: GISMt=∑k=113pkDMk
GISMt = sectoral innovation index to the M sector at time t;
DMk = value of innovation dimension k to M sector; and
Pk = weight of innovation dimensions k.
The weight of the innovation dimension Pk effect is obtained using equation (2): max∑k=113pkDMk
Subject to the following: ∑k=113pk=1
Pk ≥ 0.05 to ∀k
DMkPk ≤ 0.5 to ∀k
The maximization model proposed to measure the GIS allowed identifying the relevant innovation dimensions in the Brazilian MSEs foodservice industry (pk > 0.05). These innovations were considered in the firm performance analysis through the Dikpk logarithm, where Dik is the value of dimension k for firm i.
3.3The analysis of the relationship between the innovation dimensions and firm performance
In the second stage, the attention was turned to examine the relationships between the relevant innovation dimensions and firm performance. Following Coad et al. (2016), Coad and Rao (2008), Thornhill (2006) and Kemp et al.’s (2003) suggestions, these relationships were analyzed using the OLS regression and quantile regression.
It is worthwhile mentioning that both age and firm size are variables used in the proposed model to examine the relationship between innovation and performance. In light of the above statements, the research hypotheses of this study are presented below.
3.3.1. Research hypothesis:
Hypotheses
H1
The different types of innovation have impacted positively on the organizational performance of MSEs.
H2.
The firm size positively impacts the firm performance.
H3.
The firm age negatively impacts the firm performance.
3.3.2.Econometric model.
The analysis of the relationship between innovation dimensions and performance was grounded on OLS regression, which shares similarities to the one proposed by Thornhill (2006) and Kemp et al. (2003). The dependent variable is the firm performance. In contrast to Thornhill (2006) and Kemp et al. (2003), who used the logarithm of the growth revenue to measure firm performance, the route chosen in this study was to use the logarithm of the annual revenue to measure this performance. The reason for having taken this decision was the limitation in obtaining data.
According to Mauboussin (2012), both annual revenue and its growth rate are widely used to measure firm performance. Additionally, some scholars have also used the revenue to measure firm performance in their studies (Kacmar et al., 2006; Collins and Smith, 2006; Maltz et al., 2003).
The independent variables are:
firm age and firm size, as evidenced by the literature review (Coad et al., 2016; Rosenbusch et al., 2011; Bigliardi, 2013; Thornhill, 2006); and
the innovation dimensions identified as relevant from the GIS.
From this set of variables, it was possible to examine the impact of innovation on firm performance in general and to measure the impact of each innovation dimension on this performance in particular.
Following Coad et al. (2016) and Coad and Rao’s (2008) recommendations, the analysis of the quantile regression was used to improve distributive effects on the dependent variable in the proposed econometric model. According to them, this sort of regression better captures the heterogeneity of the firms, as it allows analyzing the effects of the independent variables across different quantiles.
4.Findings
This section outlines the findings as follows: first, it describes the descriptive statistics of the sample. Then, it presents the results of the calculation for sectoral innovation index for the analyzed period. Finally, it shows the results of the regressions.
4.1.Descriptive analysis
The sample consisted of 55 MSEs which were part of the ALI’s foodservice industry in Pernambuco. The sample distribution by age, size and annual revenue is shown in Table III.
The examination of Table III reveals that the most significant percentage of the sample is concentrated in firms with up to three years of existence (47.3 per cent). Data also unveil that 72.8 per cent of the sample consists of firms with up to 10 years of life. This finding supports previous studies that have reported the high mortality rate organizations are subject to in Brazil (For instance, Serviço Brasileiro de Apoio às Micro e Pequenas Empresas, 2013). Data support the claim that MSEs are expected to employ fewer workers than large firms. In fact, the numbers show that only 5.5 per cent of the firms have more than 30 employees. Regarding their revenue, 10.9 per cent of the organizations fall into the Brazilian microenterprises category whose annual revenues are less than R$360,000.00. The small firms are distributed in different ranges, as presented in Table III.
4.2.Analysis of the dimensions of innovation
The results for the innovation index (Grau de Inovação, GI) are presented in Table IV. Such index is a measure of the arithmetic mean of the firms’ innovation dimensions. The analysis in this table reveals that offering, platform and brand obtained the highest means. This result is indicative of the fact that innovative firms tend to focus on the development of new products, new product versions and branding to leverage new market opportunities while carrying out their innovations.
A close examination of this table also reveals that the mode of five dimensions is equal to one. It refers to the lowest score. This result seems to suggest that many firms do not hold the capability to systematically innovate in value capture, innovative solutions, supply chain, customer experience and networking.
Overall, the innovation index value is 2.48. As this index is measured as the mean of the dimensions of innovation, Oliveira et al. (2014) stress that GI is not able to reveal firms’ heterogeneity in the industry they belong to. These scholars recommend replacing GI for the GIS as a measure of innovation in the context of MSEs.
Table V presents the sectoral innovation index of the Brazilian foodservice industry. This index is measured by weighing the weight of the innovation dimensions (pk) and the mean value of each dimension (DMk), as expressed in equation (1).
The weighing of the relevant innovation dimensions to the Brazilian foodservice sector in the proposed model reveals that the GIS value is 2.83. According to the maximization problem [equation (2)], supply chain, platform, brand and customer experience were the dimensions that presented the highest means. This finding supports previous evidence on the importance of these in firm’s innovation.
Indeed, organizations operating in the foodservice industry hold high levels of engagement in product innovations, particularly, related to the dimensions of supply chain and platform (Baregheh et al., 2012; Capitanio et al., 2010). Following Schiefer and Deiters’ (2016) remarks, the industry requirement to develop a network and to maintain both client and market orientation encourages the fostering of brand and customer experience innovations.
Nonetheless, it is essential to pinpoint that the development of innovation activities in MSEs is a dynamic process. In a previous study conducted in the foodservice sector in 2011, Oliveira et al. (2014) identified that value capture and supply chain were the firms’ principal investments in innovation. The findings seem to indicate a possible change in the main areas of investment in innovations made between the periods in this industry.
4.3.Ordinary least square and quantile regression analyses
The innovation radar identifies the developments in innovations carried out by firms in the past three years. There is a gap between the innovations implemented and the performance achieved. The analysis of such a gap is relevant because it captures the impacts of innovations on the firm performance (Coad et al., 2016; Coad and Rao, 2008; Thornhill, 2006; Kemp et al., 2003).
In this regard, the independent variables were selected from those most relevant innovation dimensions obtained by GIS. Offering, platform and brand and customer experience innovations were held as independent variables for the proposed model. In conjunction with this, the variables age and size were also regarded as independent variables. Firm performance, the dependent variable, was obtained from the logarithm of firms’ annual revenue. It is, therefore, a log-log model, where 1 per cent of the variation explained by the independent variables impinges changes in the variation in β per cent of the dependent variable (Gujarati and Porter, 2011).
Table VI presents the correlation matrix for the proposed model variables. The results indicate positive, moderate correlations between the innovations implemented and the performance. It partially supports H1. The only exception is the relation between platform and performance. There is a weak, positive correlation between former and latter.
The results reveal a positive, strong correlation between performance and the firm size. There are also positive, moderate correlations among firm size and other types of innovation, such as offering, brand and customer experience. This result seems to support Schumpeter’s (1998) claims that the larger the firm size is, the greater is its propensity to innovate. In contrast to previous studies, there was a positive, weak correlation between age and the types of innovations.
Table VII provides the multiple regression results. As far as it can be seen, the level of explanation for the model, represented by the coefficient of the determinant R2, is 73.55 per cent. The adjusted R2 for this model is 70.24 per cent. These results demonstrate that innovation activities positively affect the firm performance. This finding is similar to that reported by Coad et al. (2016), Bigliardi (2013), Coad and Rao (2008), Thornhill (2006) and Lööf and Heshmati (2006). It is worth to highlight that brand and customer experience are the only dimensions that have significant effects on the firm performance. This means that not all types of innovations, therefore, lead toward improvement in firms’ revenue.
The regression results reveal that offering and platform do not impact the firm performance. Product innovation is a common practice throughout the Brazilian foodservice industry, either through the development of new products or novel product versions. The data show that 75 per cent of the firms implemented, at least, one product innovation. This innovation was carried out either through the development of a novel menu or by changing products’ characteristics.
In conjunction with this, 97 per cent of the firms fostered new product versions sharing components, methods and technologies with stakeholders. These are built-in types of innovation in this industry, which may impact on the substantial revenue in short-term (which is not analyzed in this regression model). Therefore, the influence of these types of innovation on long-term performance and competitive advantage of the firms has not been verified.
The regression results support the claim that brand and customer experience innovations, related to customer satisfaction and loyalty, explain the firm performance. These innovation dimensions are associated with marketing innovation, which holds the potential to improve products and services sales (Johne and Davies, 2000) and thereby impacts on firm’s revenue (Varis and Littunen, 2010).
The regression results also demonstrated a positive, significant relationship between firm size and performance. This finding endorses the fact that as the firm grows, it shall have the necessary resources to facilitate the exploration of opportunities that may lead toward a better performance (Coad et al., 2016; Bigliardi, 2013; Thornhill, 2006).
The regression indicates a negative relationship between the firm’s age and its performance. It is marginally significant at p-value < 0.10. This result supports Coad et al. (2016) and Rosenbusch et al. (2011) findings. A possible explanation for this result is that the age impacts on firm performance may be associated with metrics used to measure this sort of performance. Indeed, Coad et al. (2013) found a somewhat positive relationship between the variables when firm performance was measured in terms of the level of productivity and profits. In this same study, they found a negative relationship when firm performance was measured in terms of revenue, profits and productivity growth.
The quantile regression method was used to analyze the proposed model so as to describe the conditional distribution of the dependent variable. The analysis considered three ranges of quantile intervals: θ = 0.25, θ = 0.50, θ= 0.75, presented in Table VIII. The Breusch–Pagan test (χ2 = 12.97; p-value = 0.0436) resulted in a heteroscedasticity statistically significant at the 5 per cent level, which justifies the adoption of quantile regression.
According to the quantile regression results, brand innovation and firm size have a consistent impact on firm performance. These variables were significant in all the quantiles. Nonetheless, the coefficients vary across the quantiles. The Wald test (Table IX) revealed that the differences are not substantial. The effects of the dependent variables impinging on firm performance are the same across quantiles.
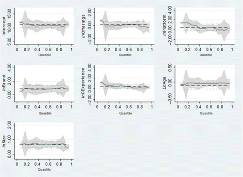
The quantile regression results were compared with the results of OLS regression. The quantile regression demonstrated substantial differences not contemplated by the OLS. The variable platform was significant only in the first quantile, and the variable customer experience was substantial in the first and second quantiles. These indicate that insofar as the firm revenues grow, the impact of these variables becomes insignificant. This finding seems to suggest that the development of new product versions (platform) and the customer experience do not necessarily contribute to the revenue growth in high-performance firms.
Figure 1 illustrates the marginal effects of the dependent variables on firm performance over the quantiles. The interpretation of the quantile regression coefficient (the green line) reveals small variations about the confidence intervals for the OLS regression (dotted line). It is noteworthy, mentioning that the meaningful differences in variation are evident in the first quantile, ranging between 0 and 0.25.
5.Concluding remarks
As it was previously mentioned, innovation plays a central role in the industry growth. Indeed, it is seen as an essential catalyst for the organizational competitiveness and economic development. As the innovative process involves some levels of risk-taking, it must be balanced with its benefits. On behalf of competitive advantage and superior organizational performance, MSEs have engaged in innovation activities whether through disruptive or radical/incremental innovations.
Findings seem to support that firms’ focus on developing certain types of innovations. The MSEs’ foodservice industry heavily invests in offering, platform, networking and customer experience innovations. These innovations are mainly associated with the development of new products and customer communication competencies. In the context of MSEs, such innovation refers to commercial and managerial capabilities. This is in contrast to the technological capabilities typically found in large organizations.
It is noteworthy, mentioning that the study seems to suggest that some types of innovations do not necessarily lead MSEs toward higher levels of firm performance; however, offering and platform innovations are two illustrative examples of this finding. The distinctive characteristic of this industry reflects the fact that making intensive investments in product innovations may not increase in proportion to the levels of organizational performance. If so, it may be proposed that product innovations are not per se a source of competitive advantage in the context of MSEs in Brazilian foodservice industry.
As a result, this study challenges the findings reported by Boachie-Mensah and Acquah (2015), Rosli and Sidek (2013)and Varis and Littunen (2010). These researchers have found a positive, significant association between product development innovations and firm performance. This same conclusion was not supported by data collected in the context analyzed. Nonetheless, this research supports the claim that innovations related to customer experiences, needs and loyalty hold a significant impact on the improvement of competitiveness.
These findings point out to the importance of analyzing the innovation process in MSEs from a multidimensional perspective and highlight the need for future studies that take into strong consideration the particular characteristics of the MSE industry in their analysis. Insofar, as MSEs can identify which types of innovative activities bring to the fore better results in their sector, these firms can develop and implement innovation strategies more efficiently.
However, it is worth noting that the findings obtained in this study ought not to be generalized to other sorts of organizations and contexts. Such results only explain the reality and innovative behaviors of the analyzed sample. This research strongly recommends scholars to replicate this study design in different industries and context so as to acquire a deeper understanding of the innovative activities performed by MSEs. In so doing, scholars may unveil and establish new relationships between the variables used in this study by considering different metrics for performance and innovation.








**p-value < 0.10


References
1. Adcock, C., Hua, X., Mazouz, K. and Yin, S. (2014), “Does the stock market reward innovation? European stock index reaction to negative news during the global financial crisis”, Journal of International Money and Finance, Vol. 49 No. 1, pp. 470-491.
2. Bachmann, D.L. and Destefani, J.H. (2008), Metodologia Para Estimar o Grau Das Inovações Nas MPE, SEBRAE, Curitiba.
3. Baregheh, A., Rowley, J., Sambrook, S. and Davies, D. (2012), “Innovation in food sector SMEs”, Journal of Small Business and Enterprise Development, Vol. 19 No. 2, pp. 300-321.
4. Batterink, M., Wubben, E. and Omta, S. (2006), “Factors related to innovative output in the Dutch agrifood industry”, Journal on Chain and Network Science, Vol. 6 No. 1, pp. 31-45.
5. Bayarçelik, E., Taşel, F. and Apak, S. (2014), “A research on determining innovation factors for SMEs”, Procedia - Social and Behavioral Sciences, Vol. 150 No. 8, pp. 202-211.
6. Bianchini, S., Pellegrino, G. and Tamagni, F. (2014), “Innovation strategies and firm growth: new longitudinal evidence from Spanish firms”, Technical Report, Laboratory of Economics and Management (LEM), Sant’Anna School of Advanced Studies.
7. Bianchini, S., Pellegrino, G. and Tamagni, F. (2016), “Innovation strategies and firm growth”, LEM Working Papers 2016/10, Institut d’Economia de Barcelona.
8. Bigliardi, B. (2013), “The effect of innovation on financial performance: a research study involving SMEs”, Innovation: Management, Policy and Practice, Vol. 15 No. 2, pp. 245-256.
9. Bigliardi, B. and Galati, F. (2013), “Innovation trends in the food industry: the case of functional foods”, Trends in Food Science and Technology, Vol. 31 No. 2, pp. 118-129.
10. Boachie-Mensah, F. and Acquah, I.S.K. (2015), “The effect of innovation types on the performance of small and medium-sized enterprises in the Sekondi-Takoradi metropolis”, Archives of Business Research, Vol. 3 No. 3, pp. 77-98.
11. BRASIL (2006), “Institui o Estatuto Nacional da Microempresa e da Empresa de Pequeno Porte”, Lei Complementar No. 123, de 14 de Dezembro de 2006.
12. Capitanio, F., Coppola, A. and Pascucci, S. (2010), “Product and process innovation in the Italian food industry”, Agribusiness, Vol. 26 No. 4, pp. 503-518.
13. Chong, H.G. (2008), “Measuring performance of small-and-medium sized enterprises: the grounded theory approach”, Journal of Business and Public Affairs, Vol. 2 No. 1, pp. 1-10.
14. Coad, A. and Rao, R. (2008), “Innovation and firm growth in high-tech sectors: a quantile regression approach”, Research Policy, Vol. 37 No. 4, pp. 633-648.
15. Coad, A., Segarra, A. and Teruel, M. (2013), “Like milk or wine: does firm performance improve with age?”, Structural Change and Economic Dynamics, Vol. 24 No. 8, pp. 173-189.
16. Coad, A., Segarra, A. and Teruel, M. (2016), “Innovation and firm growth: does firm age play a role?”, Research Policy, Vol. 45 No. 2, pp. 387-400.
17. Collins, C.J. and Smith, K.G. (2006), “Knowledge exchange and combination: the role of human resource practices in the performance of high-technology firms”, Academy of Management Journal, Vol. 49 No. 3, pp. 544-560.
18. Combs, J.G., Crook, T.R. and Shook, C.L. (2005), “The dimensionality of organizational performance and its implications for strategic management research”, in Ketchen, D.J. and Bergh, D.D.(Eds), Research Methodology in Strategy and Management, Elsevier, San Diego, pp. 259-286.
19. Correia, P.C., Lahorgue, M.A. and Schmidt, C. (2010), “Inovação e tecnologia: fatores determinantes e necessários para a competição das empresas”, VI Encontro De Estudos Sobre Empreendedorismo e Gestão De Pequenas Empresas, ANEGEPE, Recife.
20. Damanpour, F. (1990), “Innovation effectiveness, adoption and organizational performance”, in West, M.A. and Farr, J.L. (Eds), Innovation and Creativity at Work: Psychological and Organizational Strategies, John Wiley and Sons, Chichester, pp. 125-141.
21. Drucker, P.F. (1985), Innovation and Entrepreneurship: Practice and Principles, Harper and Row, New York, NY.
22. Galanakis, C. (2016), Innovation Strategies in the Food Industry: Tools for Implementation, Elsevier, London.
23. Grant, K., Edgar, D., Sukumar, A. and Meyer, M. (2014), “Risky business’: perceptions of e-business risk by UK small and medium sized enterprises (SMEs)”, International Journal of Information Management, Vol. 34 No. 2, pp. 99-122.
24. Gujarati, D.N. and Porter, D.C. (2011), Econometria Básica, AMGH, Porto Alegre.
25. Gunday, G., Ulusoy, G., Kilic, K. and Alpkan, L. (2011), “Effects of innovation types on firm performance”, International Journal of Production Economics, Vol. 133 No. 2, pp. 662-676.
26. Hall, B. (1999), “Innovation and market value”, NBER Working Paper 6984, National Bureau of Economic Research.
27. Ismail, K., Omar, W.Z.W., Soehod, K., Senin, A.A. and Akhtar, C.S. (2014), “Role of innovation in SMEs performance: a case of Malaysian SMEs”, II International Conference on Economics and Business Administration, INASE, Praga.
28. Johne, A. and Davies, R. (2000), “Innovation in medium-sized insurance companies: how marketing adds value”, International Journal of Bank Marketing, Vol. 18 No. 1, pp. 6-14.
29. Kacmar, K.M., Andrews, M.C., Van Rooy, D.L., Steilberg, R.C. and Cerrone, S. (2006), “Sure everyone can be replaced but at what cost? Turnover as a predictor of unit-level performance”, Academy of Management Journal, Vol. 49 No. 1, pp. 133-144.
30. Kalay, F. and Lynn, G.S. (2015), “The impact of strategic innovation management practices on firm innovation performance”, Research Journal of Business and Management, Vol. 2 No. 3, pp. 412-429.
31. Kemp, R.G.M., Folkeringa, M., Jong, J.P.J. and Wubben, E.F.M. (2003), “Innovation and firm performance”, Research Report H200207.
32. Kuswantoro, F., Rosli, M.M., Abdul, R. and Ghorbani, H. (2012), “Impact of distribution channel innovation on the performance of small and medium enterprises”, Journal of Innovation Management in Small & Medium Enterprise, Vol. 5 No. 1, pp. 52-61.
33. Lin, C.Y. and Chen, M.Y. (2007), “Does innovation lead to performance? An empirical study of SMEs in Taiwan”, Management Research News, Vol. 30 No. 2, pp. 115-132.
34. Lööf, H. and Heshmati, A. (2006), “On the relationship between innovation and performance: a sensitivity analysis”, Economics of Innovation and New Technology, Vol. 15 Nos 4/5, pp. 317-344.
35. Maltz, A., Shenhar, A. and Reilly, R. (2003), “Beyond the balanced scorecard: refining the search for organizational success measures”, Long Range Planning, Vol. 36 No. 2, pp. 187-204.
36. Marques, C.S. and Ferreira, J. (2009), “SME innovative capacity, competitive advantage and performance in a ‘traditional’ industrial region of Portugal”, Journal of Technology Management & Innovation, Vol. 4 No. 4, pp. 53-68.
37. Mata, J. and Woerter, M. (2013), “Risky innovation: the impact of internal and external R&D strategies upon the distribution of returns”, Research Policy, Vol. 42 No. 2, pp. 495-501.
38. Mauboussin, M.J. (2012), “The true measures of success”, Harvard Business Review, Recuperado de, available at: https://hbr.org/2012/10/the-true-measures-of-success
39. Moskowitz, H., Li, K., Bolini, H. and Batalvi, B. (2016), “Consumer driven and consumer perceptible food innovation”, in Galanakis, C.M. (Ed.), Innovation Strategies in the Food Industry: Tools for Implementation, Elsevier, London, pp. 91-116.
40. Nooteboom, B. (1994), “Innovation and diffusion in small firms: theory and evidence”, Small Business Economics, Vol. 6 No. 5, pp. 327-347.
41. Oke, A., Burke, G. and Myers, A. (2007), “Innovation types and performance in growing UK SMEs”, International Journal of Operations & Production Management, Vol. 27 No. 7, pp. 735-753.
42. Oliveira, M.R.G., Cavalcanti, A.M., Paiva Júnior, F.G. and Marques, D.B. (2014), “Mensurando a inovação por meio do grau de inovação setorial e do característico setorial de inovação”, Review of Administration and Innovation - Rai, Vol. 11 No. 1, pp. 115-137.
43. Rosenbusch, N., Brinckmann, J. and Bausch, A. (2011), “Is innovation always beneficial? A meta-analysis of the relationship between innovation and performance in SMEs”, Journal of Business Venturing, Vol. 26 No. 4, pp. 441-457.
44. Rosli, M.M. and Sidek, S. (2013), “Innovation and firm performance: evidence from Malaysian small and medium enterprises”, XX Ibima Conference, IBIMA, Kuala Lumpur
45. Sawhney, M., Wolcott, R.C. and Arroniz, I. (2006), “The 12 different ways for companies to innovate”, MIT Sloan Management Review, Vol. 47 No. 3, pp. 75-81.
46. Scherer, F.M. (1988), Testimony before the Subcommittee on Monopolies and Commercial Law, Committee on the Judiciary, US House of Representatives.
47. Schiefer, G. and Deiters, J. (2016), “Food innovation dynamics and network support”, in Galanakis, C.M. (Ed.), Innovation Strategies in the Food Industry: Tools for Implementation, Elsevier, London, pp. 1-17.
48. Schumpeter, J.A. (1998), A Teoria Do Desenvolvimento Econômico, Nova Cultural, São Paulo.
49. Serviço Brasileiro de Apoio às Micro e Pequenas Empresas (SEBRAE) (2013), Sobrevivência Das Empresas No Brasil, SEBRAE, Brasília.
50. Thornhill, S. (2006), “Knowledge, innovation and firm performance in high and low-technology regimes”, Journal of Business Venturing, Vol. 21 No. 5, pp. 687-703.
51. Varis, M. and Littunen, H. (2010), “Types of innovation, sources of information and performance in entrepreneurial SMEs”, European Journal of Innovation Management, Vol. 13 No. 2, pp. 128-154.
52. Zawislak, P., Alves, C.A., Tello-Gamarra, J., Barbieux, D. and Reichert, F. (2012), “Innovation capability: from technology development to transaction capability”, Journal of Technology Management & Innovation, Vol. 7 No. 2, pp. 14-27.
Notes