Functional, psychological and emotional barriers and the resistance to the use of digital banking services
Functional, psychological and emotional barriers and the resistance to the use of digital banking services
Innovation & Management Review, vol. 18, núm. 3, pp. 331-348, 2021
Universidade de São Paulo
Abstract:
Abstract Purpose The present paper aims to understand the influence of consumer's functional, psychological and emotional barriers to the use of digital banking services. Design/methodology/approach The authors carried out a quantitative study in which data were collected through a self-administered online questionnaire. A final sample of 202 Brazilian adults, with and without experience in using digital banking services, enabled the test of research hypotheses by means of a structural equation modeling approach. Findings The authors found statistical evidence that supports the hypothesis that psychological barriers, emotional barriers and user experience positively influence the resistance to the use of digital banking services. However, there is no empirical evidence supporting that the influence of functional barriers affects the resistance to the use of digital banking services. Practical implications Efforts to understand the mechanisms that lead consumers to adopt or reject innovative products or services are important to prevent investments in these innovations, avoiding revenue failures. The results provide managerial implications by favoring the creation of communication programs capable of reducing the possibilities of innovation failure. Originality/value The main theoretical contribution of this work is the identification of the predominant influence of emotional barriers, in comparison to functional barriers, on the resistance to innovation in digital banking services. Currently, the models that illustrate resistance to innovation tend to focus solely on functional aspects; however, these models can be improved by incorporating emotional aspects.
Keywords: · Resistance to innovation · Digital banking services · Functional barriers · Psychological barriers · Emotional barriers.
1. Introduction
There are two main theoretical streams dedicated to understanding the intention and behavior related to the use of innovative products and services: the first, represented by a greater number of published articles, explains acceptance and use; the second, which has gained attention only in recent years and is still little explored, pursues the understanding of resistance factors to use (Castro, 2018). These studies seek to prevent failures in the launch of new products and services. Failed innovations represent ineffective investments with low potential for future revenue generation. Thus, understanding the factors that lead consumers to adopt or resist new technologies is relevant both from a theoretical and managerial point of view (Castellion & Markham, 2013; Ferreira, Rocha, & Silva, 2014; Heidenreich & Kraemer, 2016).
Resistance to the use of technological products or services by consumers can be influenced by several factors that range from functional aspects inherent in the product or service that contains some degree of innovation to the psychological and emotional characteristics of the consumer. Talke & Heidenreich (2014) showed that resistance to innovation results from functional and psychological barriers, also known as cognitive factors. Functional barriers arise when the perceived functions or attributes of an innovation do not meet the ideal expectations of consumers, while psychological barriers arise when perceived attributes of an innovation generate conflicts or psychological problems for consumers (Heidenreich & Handrich, 2015). Most existing models focus only on these cognitive aspects (Davis, 1986; Fishbein & Ajzen, 1975; Venkatesh, Morris, Davis, & Davis, 2003). However, So et al. (2015) and Castro, Zambaldi, & Ponchio (2020) indicate the need to incorporate the influence of consumer emotions into these models.
In this sense, our study seeks to investigate not only the effects of functional and psychological barriers but also the effects of emotional barriers on the resistance to the use of digital banking services among Brazilian consumers. In Brazil, the compound annual growth rate, between 2015 and 2019, of bank transactions through mobile banking was 37%, while the number of bank transactions through branch banking remained practically unchanged during this period (Federação Brasileira de [FEBRABAN], 2020). In May 2020, during the coronavirus disease 2019 (COVID-19) pandemic, transactions through digital channels reached 74% of the total bank transactions (FEBRABAN, 2020). It is expected that the penetration of and preference for digital banking will continue to increase in years to come, and the ability to compete in the virtual environment includes being able to understand and meet consumer needs. Apart from the growing penetration in the Brazilian market, the choice for digital banking services, i.e. the object of this study, is justified in part by the fact that they are a type of financial service that involves security issues and a degree of technical complexity that can create barriers and, consequently, promote some resistance to their use, in addition to being in a constant evolution process and being the stage for the launch of several innovative services (Hanafizadeh, Keating, & Khedmatgozar, 2014; Matsuo, Minami, & Matsuyama, 2018).
With this in mind, the aim of our work is to assess the influence of functional, psychological and emotional barriers that boost the resistance to the use of digital banking services, as well as to verify if user experience contributes to a decrease in resistance.
We conducted herein a quantitative study in which data were collected through a self-administered online questionnaire. A final sample of 202 Brazilian adults aged between 18 and 65 years, with and without user experience in digital banking services, enabled the test of research hypotheses by means of a structural equation modeling (PLS-SEM) approach.
The main theoretical contribution of this work is the identification of the predominant influence of emotional barriers, in comparison to functional barriers, on the resistance to innovation in digital banking services. Thus, the findings of this study further extend those of So, Chethana, Daheem, Nidhi, Adam, & Durairaj (2015) and Castro, Zambaldi, & Ponchio (2020) when arguing about the importance of incorporating emotional aspects into studies on resistance to innovation. The results also provide managerial implications, emphasizing that a better understanding of the reasons behind a consumer's resistance to innovation, as well as its mechanisms, is of great importance in designing communication programs capable of minimizing the chances of innovation failure.
The following section presents the main concepts, the theoretical model and the hypotheses tested in this study. Then, the methodological procedures are detailed, followed by the results obtained from the analysis of the collected data. Finally, concluding remarks are presented, which include theoretical and managerial implications, as well as some limitations of the research and suggestions for future studies.
2. Conceptual framework
In the literature, studies that seek to understand the acceptance of use of innovative products and services stand out, as well as studies that seek to examine the rejection of such products and services.
Regarding the first theme, the conceptual framework represented by the unified theory of acceptance and use of technology (also known as the UTAUT model, initially proposed by Venkatesh, Morris, Davis, & Davis, 2003) stands out. This model is based on eight other models: the theory of reasoned action (TRA) by Fishbein & Ajzen (1975); Davis's (1986) technology acceptance model (TAM); the motivational model (MM) proposed by Davis, Bagozzi, & Warshaw (1989); Ajzen's theory of planned behavior (TPB) (1991); the TAM and TPB combined model proposed by Taylor & Todd (1995); the model of personal computer utilization (MPCU) proposed by Thompson, Higgins, & Howell (1991); the innovation diffusion theory (IDT) by Rogers (2003) and the social cognitive theory (SCT) proposed by Bandura (1986). The integration of complementary aspects of these frameworks gave rise to UTAUT, composed of four determinants of the individual's behavioral intention and behavior: (1) performance expectation, which aims to measure the degree to which an individual believes that the use of technology will provide him/her with gains; (2) the expectation of effort, which refers to the perceived ease of use in technology; (3) social influence, understood as the degree to which the individual perceives and believes that other people consider that they should use the new technology; and, finally, (4) enabling conditions, which seek to capture the degree to which an individual believes that an organization has technical infrastructure and support necessary for the use of technology.
Resistance to innovation, on the other hand, is not simply defined as low acceptance. Even though rejection and acceptance are interrelated concepts, both address different attitudinal and behavioral predispositions and have their own dynamics worthy of investigation. In the literature, there are different definitions of resistance to innovation. Ellen, Bearden, & Sharma (1991) conceptualize resistance to innovation as an attitude; Szmigin & Foxall (1998) as an intention or behavior; others associate it to a combination of attitude and behavior, for example, Bagozzi & Lee (1999), Laukkanen, Sinkkonen, & Laukkanen (2008) and Ram (1989).
Over time, some models have been developed to explain resistance to innovation. According to Ram & Sheth's (1989) model, resistance to innovation gives three factors to be considered: (1) perception of the characteristics of innovation, (2) consumer characteristics and (3) mechanisms of propagation. Cornescu & Adam (2013) suggested complementing this model with the insertion of a fourth factor, called the influence of opinion leaders. Resistance can be related to the product, to the consumer and to the situation (Bagozzi & Lee, 1999; Laukkanen, Sinkkonen, & Laukkanen, 2008). The combination of these factors gives rise to two different types of resistance to innovation: passive innovation resistance and active innovation resistance (Bagozzi & Lee, 1999).
For Heidenreich & Handrich (2015), passive innovation resistance is described as a predisposition to resist innovations resulting from an individual's inclination to resist changes and as a satisfaction with the status quo; this type of resistance is formed unconsciously before the evaluation of new products. In the same line of thought, Bagozzi & Lee (1999) define passive resistance as a resistance to changes imposed by an innovation; this resistance evolves from specific factors of the adopter that form the inclination of his/her personality to resist changes and factors specific to the situation that determine his/her status quo. Active innovation resistance, on the other hand, is understood as an attitudinal result that follows an unfavorable assessment of a new product (Nabih, Bloem, & Poiesz, 1997). For Heidenreich & Handrich (2015), active innovation resistance is the formation of a negative attitude driven by functional and psychological barriers that follow a careful evaluation of new products. It is a deliberate form of resistance, which evolves from specific factors of innovation. Consumers shape their attitude toward innovation based on the evaluation of their attributes (Rogers, 2003). If the perception of certain attributes does not meet their expectations, specific barriers to innovation arise (Laukkanen, Sinkkonen, & Laukkanen, 2008).
Complementarily, it is believed that consumers, when thinking about adopting a new technology, combine elements of cognitive and affective nature (Lee, Ha, & Widdows, 2011), thus building a multifaceted response to technology, and this response, unique for each individual, would lead to the acceptance or rejection of a certain technology (Ko, Kim, & Lee, 2009). In this direction, Castro, Zambaldi, & Ponchio, (2020) proposed the addition of emotional barriers in the analysis of functional and psychological barriers. In line with these recent theoretical developments, our research aims at investigating the active resistance to the adoption of services that involve technology based on functional, psychological and emotional barriers.
2.1 Conceptual model and research hypotheses
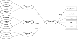
The conceptual model of our study is represented in Figure 1. Subsequently, the functional, psychological and emotional barriers are defined, and the hypotheses of the research are presented.
Functional barriers arise as the consumer perceives any attribute of the product as dysfunctional or inappropriate for his/her personal needs and expectations of use (Bagozzi & Lee, 1999; Nabih, Bloem, & Poiesz, 1997) and is divided into (1) value barrier, which refers to the lack of relative advantage or the lack of superior performance of the innovation over other existing alternatives (Ram & Sheth, 1989); (2) complexity barrier, characterized by the perception of innovation as something relatively difficult to understand (complexity of the idea) or difficult to use (complexity of execution) (Rogers, 2003); and (3) trialability barrier, related to the difficulties perceived in innovation testing before its adoption (Ram, 1987). Other nomenclatures and other facets of functional barriers are found in the literature, such as those of compatibility, codependency, communicability, visibility, convenience and accomplishment; however, they were not incorporated into the model of our study because we considered that they do not bring relevant marginal contribution to the first three, and therefore do not compensate for the loss of parsimony or the elaboration of an excessively long and tiring survey questionnaire. Thus, in line with the theoretical expectation, we hypothesize that
H1.
Functional barriers positively influence resistance to the use of digital banking services.
Psychological barriers, in turn, arise as innovation conflicts with consumers' social norms, values or usage patterns and/or if the use of innovation is perceived as being too risky (Ram & Sheth, 1989). Such barriers are divided into (1) image barrier, related to unfavorable associations attributed to an innovation, such as brand, manufacturer or country of origin (Kuisma, Laukkanen, & Hiltunen, 2007); (2) information barrier, related to perceived information asymmetries that make consumers uncertain about unintended consequences (Kuisma, Laukkanen, & Hiltunen, 2007); and (3) risk barrier, defined here as “subjectively-determined expectation of loss” (Mitchell, 1999, p. 168). Regarding the use of digital banking services, we hypothesize tha
H2.
Psychological barriers positively influence resistance to the use of digital banking services.
Emotions are intentional in the sense that they always refer to and relate to something with tendencies for action. According to this definition, environmental stimuli activate the senses, generating emotional responses, positive or negative, which can boost consumer behavior (Mehrabian & Russell, 1974). Emotions have been described as fundamental factors in understanding consumer behavior (Mogilner, Aaker, & Kamvar, 2012). Russell & Mehrabian (1977) proposed a simpler model (PAD model), composed of only three dimensions: (1) pleasure, which indicates “the relative predominance of positive versus negative affective states across a representative sample of life situations” (Mehrabian, 1996, p. 265); (2) arousal, as a measure of an individual affective state (Mehrabian, 1996); and (3) dominance, which refers to “a person's characteristic feelings of control and influence over his/her life circumstances versus feelings of being controlled and influenced by others or events” (Mehrabian, 1996, p. 266). Castro, Zambaldi, & Ponchio (2020), based on the PAD model, proposed the incorporation of emotional barriers as antecedents of active innovation resistance. In this study, these barriers will be tested as antecedents of resistance to the use of digital banking services:
H3.
Emotional barriers positively influence resistance to the use of digital banking services.
Resistance to innovation can emerge even after new services have been tried or adopted. Datta, Foubert, & van Heerde (2015) note that recipients of free trials of new services are more likely to trust the service and maintain its use; along the same lines, Rogers (2003) states that experimentation (the degree to which an innovation can be experienced before adoption or rejection) is one of the factors that influence the adoption of new services. Meuter, Bitner, Ostrom, & Brown (2005) suggest that a fundamental barrier to the adoption of new technologies is the difficulty of making customers use the technologies for the first time. Patsiotis, Hughes, & Webber (2013) also suggest that the lack of testing may inhibit the adoption of digital banking services. Still, the theory of social learning (Bandura, 1977) advocates that it is easier for experienced consumers to perceive the usefulness and ease of use of new technological services. Thus, we hypothesize that
H4.
Among more (less) experienced users, resistance to the use of digital banking services is lower (higher).
Demographic variables are fundamental in predicting the adoption or rejection of new products or services. Ferreira et al. (2014) suggest that gender, age and income affect consumer acceptance and adoption of innovative products and services. Gender is one of the most studied demographic variables in consumer studies considering electronic services. The literature suggests that men perceive online business activities as less risky and perceive them as being more positive than women, pointing to a predominance of men among users of digital banking services (Garbarino & Strahilevitz, 2004). Gilly & Zeithaml (1985) relate age to consumer attitudes toward innovative services. Laukkanen, Sinkkonen, Kivijärvi, & Laukkanen (2007) point out that the elderly is less prone to adopt new technological services, arguing that mature customers resist the Internet and digital banking services more than younger customers. Income and wealth are generally related to the adoption and diffusion of innovations; Porter & Donthu (2006) proposed that a lower income correlates negatively with the perceived usefulness of new technologies, such as the Internet. Mann & Sahni (2012), in their studies on innovation in banking services, pointed out that higher income positively affects the adoption of digital banking services. For the reasons presented herein, demographic variables of gender, age and income will be controlled to test the hypotheses formulated.
3. Method
To test the hypotheses formulated, data were collected from Brazilian adults, with and without experience of usage of digital banking services. Data were collected through a self-administered online questionnaire without the need for participant identification. The preliminary and final versions of this questionnaire were structured using the software QuestionPro®. The questionnaire was composed of sociodemographic questions (gender, age and income) and questions that aimed at measuring the constructs that make up the conceptual model of the research (experience of use, functional, psychological and emotional barriers, and resistance to the adoption of innovation).
Initially, a qualitative pretest was carried out involving ten consumers of digital banking services in order to identify opportunities for improvement in the presentation and writing of the questionnaire. Some minor adjustments were made at this stage, after which the researchers considered the face validity of the collection instrument adequate.
Then, a quantitative pretest was carried out involving 70 respondents. The purpose of this second pretest was to assess, from a quantitative point of view, the reliability and validity of the constructs being measured. An item from the sub-dimension “value barrier”, one from the sub-dimension “complexity barrier”, and another from the latent construct “resistance to innovation”, all reflective in nature, were discarded, as they had factor loadings below 0.70 (Hair, Hult, Ringle, & Sarstedt, 2017). The final questionnaire was then adjusted in order to eliminate these three items.
As a data collection strategy for the main sample, a digital influencer linked to fashion (without any relationship with financial services) who has about 200,000 followers on the social network Instagram was asked to publish a video asking her followers to support the present study by answering the questionnaire. In return, the researchers would donate food to charities indicated by the digital influencer. In the two days following the release of the video, the questionnaire link was clicked by 729 people, of whom 372 began taking the survey and 223 completed it. After reading the database, 21 questionnaires were discarded as they had excessively short completion times and inconsistent response patterns (identical responses for all items in the questionnaire). Thus, the statistical hypothesis testing of our study was carried out with a sample of 202 respondents. This number is higher than the minimum of 153 that would be required to conduct hypothesis testing within the framework of PLS-SEM, considering effect size = 0.15, α = 0.05, power = 0.95 and number of predictors = 7; the estimation of the minimum sample size was obtained using the software G*Power v3.1 (Faul, Erdfelder, Buchner, & Lang, 2009).
The average age of the 202 respondents was 33.1 years (standard deviation = 10.5, minimum = 18 and maximum = 65), and the sample was composed predominantly of women (129 or 63.9%). In comparison with the Brazilian population, the respondents in the sample present high educational levels (65.8% declared to have higher education diplomas and 23.3% declared to be in higher education). As for individual income, the median value ranged from R$ 4,156.00 to R$ 6,234.00 per month; 23.8% of the respondents declared they did not work and 19.3% declared an income above R$ 10,390.00 per month. Regarding the experience of using digital banking services, 6.4% of the respondents stated that they had never used it, while 10.4, 32.7 and 50.5% declared that they used these services monthly, weekly and daily, respectively.
3.1 Measures
Latent constructs were measured using the scales available in the literature. The original wording of these scales, in English, was translated into Portuguese and adjusted to the context of digital banking services. Respondents should indicate their agreement with each item on a seven-point Likert scale, ranging from (1) strongly disagree to (7) strongly agree.
Thus, nine latent constructs were measured, making a total of 29 items. The original works from which the items were extracted, their wording, their descriptive statistics and the indicators of internal consistency of the latent constructs to which they belong are presented in Table 1. We observed that, with the exception of item RI1, which has a factor loading equal to 0.67, all the others have values above 0.70, i.e. the cutoff limit recommended by Hair et al. (2017). The nine latent constructs have adequate indicators of internal consistency: the values of the average variance extracted (column AVE, Table 1) are greater than 0.50 and the values of composite reliability (column CR, Table 1) are greater than 0.70, which are the minimum limits recommended, respectively, by Fornell & Larcker (1981) and Chin (1998).
4. Analysis and results
The conceptual model of the research (Figure 1) was represented in a statistical diagram using the software SmartPLS version 3.3.2 (Ringle, Wende & Becker, 2015). Functional, psychological and emotional barriers were operationalized as Type II second-order constructs; in this formulation, the second- order latent construct is formed by first-order latent constructs that are reflexive in nature (Jarvis, MacKenzie, & Podsakoff, 2003). Functional barriers are formed by the value, complexity and trialability barriers; psychological barriers are formed by the image, information and risk barriers and, finally, emotional barriers are formed by the barriers of pleasure and arousal. Resistance to innovation was modeled as a first-order reflexive construct. Usage experience was measured with a single item (“How often do you use digital banking services?”, with four response levels ranging from never to daily). Gender, age and income were incorporated into the model as control variables.
Partial least squares (PLS-SEM) was adopted as the measurement strategy. In a first step, the adjustment indicators of the measurement model were evaluated. and, subsequently, the structural model indicators for testing the research hypotheses were evaluated. The path weighting scheme and the value of 5,000 bootstrap samples were adopted to estimate the statistical significance of the model results.
The results of the measurement model are satisfactory. The indicators of construct validity and internal consistency (AVE and CR, reported in Table 1) are above the recommended minimum parameters (0.50 and 0.70, respectively). As for the discriminant validity, we observed that each item has a higher factor loading in the latent construct to which it belongs than in others, which provides discriminant validity according to Chin's (1998) criteria. We also detected that the square roots of the AVE of each construct are greater than the Pearson correlation coefficients among the constructs (see Table 2), which also provide evidence of discriminant validity according to Fornell & Larcker's (1981) criteria. Additional evidence of discriminant validity was obtained using the criterion of heterotrait–monotrait ratio of correlations (HTMT). HTMT values close to 1 indicate a lack of discriminant validity, whereas values lower than 0.90 (Kline, 2011) are indicative of discriminant validity. The HTMT values, indicated in Table 2, are all within the recommended threshold, further supporting discriminant validity.
Figure 2 shows the path estimates for the measurement and structural models. For the estimation of the model, in order to facilitate the interpretation of the coefficients, the scores on the scale items were oriented so that higher values refer to greater perceived barriers and greater resistance to innovation.
As for the structural model, collinearity was assessed using the VIF (variance inflation factor) indicator. The model's VIFs ranged from 1.16 to 3.76, which lies within the recommended maximum limit of 5 (Hair et al., 2017), indicating the absence of multicollinearity.
The coefficient of determination (R2), when the response variable is resistance to innovation, was equal to 50.4%. As expected, due to the use of the repeated indicators approach, the R2 for the endogenous variables of functional, psychological and emotional barriers were equal to one.
To estimate the effect sizes, Cohen's indicators (f2) were calculated. As a reference, values of 0.02, 0.15 and 0.35 are considered small, medium and large, respectively (Hair et al., 2017). A small effect was found for user experience (f2 = 0.023) and for emotional barriers (f2 = 0.037), and a medium effect was found for psychological barriers (f2 = 0.132). The effect of functional barriers was close to zero. The assessment of the Stone-Geisser's Q2 values, which are indicative of the model's predictive relevance, was performed by using a blindfolding procedure – the sample reuse technique (with an omission distance equal to 7). The values were 0.431, 0.559, 0.716 and 0.230, respectively, for functional, psychological, emotional barriers and resistance to innovation. Since all values are larger than zero (Hair et al., 2017), evidence for predictive relevance was obtained.
The interpretation of the path coefficients (see Table 3) allows testing the research hypotheses. It is observed that only psychological barriers (βˆ = 0.470, p-value < 0.001) and emotional barriers (βˆ = 0.191, p-value = 0.016), but not functional barriers (βˆ = 0.014, value- p > 0.05), influence resistance to innovation. There is empirical evidence, therefore, to support hypothesis H2: “Psychological barriers positively influence resistance to the use of digital banking services”, and hypothesis H3: “Emotional barriers positively influence resistance to the use of digital banking services”. We cannot imply, however, that functional barriers positively influence resistance to innovation; therefore, there is no empirical evidence to support H1. Taken together, these results suggest the predominance of psychological and emotional aspects over functional aspects to explain the resistance to digital banking services. This result corroborates the conclusions of recent studies that point to the importance of emotional (and not just cognitive) aspects in understanding barriers to the adoption of innovative products (Castro et al., 2020). We also note that the literature is more inclined to investigate cognitive aspects to the detriment of emotional aspects; given the results of this research, we emphasize the importance of the latter being incorporated in research regarding the adoption of new products.
Finally, there is statistical evidence to support hypothesis H4: “Among more (less) experienced users, resistance to the use of digital banking services is lower (higher)” (βˆ = −0.130, p-value = 0.027).
5. Final remarks
Our study sought to investigate the influence of functional, psychological and emotional barriers regarding the resistance to the use of digital banking services, as well as to analyze whether experienced users, in relation to less experienced ones, are less resistant to the use of these services. The choice of digital banking services as an object of research takes into account its continuous and current transformation, as well as the existence of millions of Brazilian account holders who constitute different segments regarding the probability of adopting these services. In this context, understanding the barriers involved in the resistance to the adoption of these services is not only of theoretical interest but also of managerial and societal importance.
Functional barriers arise as consumers consider the attributes of the product or service inadequate or insufficient for their personal expectations (Talke & Heidenreich, 2014). In this research, no statistically significant evidence was found supporting the assumption that these barriers (whose sub-dimensions are those of value, complexity and experimentation) influence resistance to the use of digital banking services. Perhaps the difference in the findings between these studies lies in the fact that, in the sample of our study that is made up mostly of individuals with a college degree, digital banking services are perceived as satisfactory in functional terms, which do not pose as limitation factors.
Psychological barriers arise from the conflict between norms, social values or usage patterns by consumers and the characteristics of the innovative service being evaluated (Talke & Heidenreich, 2014). In this research, psychological barriers (image, information and risk subdimensions) positively influenced resistance to the use of digital banking services.
The third group of barriers, emotional ones, originates from consumer perceptions that adopting an innovation may trigger negative emotional responses (Lerner, Li, Valdesolo, & Kassam, 2015). In our research, emotional barriers (in the sub-dimensions of pleasure and arousal) positively influenced resistance to the use of digital banking services, in line with previous studies by Lee et al. (2011). This result also converges with that of Castro et al. (2020) and highlights the importance of emotional aspects over cognitive aspects in the prediction of certain consumer behaviors and attitudes.
Regarding usage experience, in line with what was expected, a negative association was found between frequency of use and resistance to use, as also shown by the study by Venkatesh et al. (2003).
5.1 Theoretical and managerial contributions
The literature on the adoption of new products focuses on discussing the positive results of innovations and the main motivating factors in the adoption process, assuming that innovative products and services are always good and should be adopted by all consumers (Kleijnen, Lee, & Wetzels, 2009). There is a clear pro-change bias in the literature, which emphasizes studies that seek to understand the reasons for rejection of innovative products and services (Castro, 2018). In this direction, the findings of our research expand the existing literature in two important aspects. First, resistance to innovation has been described as having cognitive roots, with low importance attributed to emotional factors in consumer behavior. This study shows that, by incorporating emotional aspects as antecedents of resistance to innovation, a better understanding of consumer behavior is obtained in decisions related to the use of technological services. In addition, previous research on innovation has largely focused on product innovation; in this sense, this study contributes to a little studied field in the literature, which consists of investigating innovation in services.
Exploring consumer resistance to the use of digital banking services is not only important for researchers but also for practitioners, given the relevance of innovation in corporate strategies. Marketers need to be aware that consumers are likely to resist innovations launched in the market, either before or after evaluating them. Thus, a better understanding of the reasons why consumers resist the use of digital banking services is of great importance so that communication programs can be designed to reduce the chances of resistance occurring. Different ways of reducing the impact of resistance to innovation in banking services have been raised in several studies (see, for example, Laukkanen, 2016; Joachim, Spieth, & Heidenreich, 2018; Matsuo et al., 2018); however, none of them took the emotional aspects into consideration. Stimulating emotions as a marketing tactic could work to make consumers feel more receptive to evaluating new digital banking services.
5.2 Limitations and suggestions for future research
Our work has some limitations. Nevertheless, we believe our work could be a starting point for future research. First, the empirical analysis focuses on digital banking services; it is possible that the relationships investigated herein behave differently in other services or product categories. Further experimental investigations are needed to test the conceptual model presented herein in different contexts.
Second, the present research includes barriers related to value, complexity, trialability, image, information, risk, pleasure and arousal. However, it is possible that other barriers, such as those involving compatibility and convenience, may also influence resistance to the use of digital banking services.
Third, the sample profile – composed mainly of respondents with high educational background and experience with digital banking services when compared to the Brazilian average – does not allow generalizations. It is recommended that future research seeks to replicate this study with different groups of consumers, especially those with lower income and lower educational background.
Finally, the findings of our study may vary in countries with different cultures. Future research should test the model presented herein in other countries, allowing for multicultural comparisons.


| Value barrier (items adapted from Laukkanen, Sinkkonen & Laukkanen (2008) and Joachim, Spieth & Heidenreich (2018)) | BV1 | Digital banking services are advantageous | 6.14 (0.97) | 0.80 | 0.68 | 0.86 |
| BV3 | Digital banking services offer advantages not offered by traditional banking services | 5.45 (1.66) | 0.81 | |||
| BV4 | In my opinion, digital banking services are superior to traditional banking services | 5.27 (1.60) | 0.87 | |||
| Complexity barrier Laukkanen (2016) | BC1 | In my opinion, digital banking services are easy to use | 5.87 (1.35) | 0.87 | 0.70 | 0.87 |
| BC3 | In my opinion, digital banking services are speedy to use | 6.14 (1.10) | 0.87 | |||
| BC4 | In my opinion, there is a constant improvement in digital banking services | 5.70 (1.24) | 0.76 | |||
| Trialability barrier Joachim, Spieth & Heidenreich (2018) | BX1 | I Know how to use digital banking services | 5.96 (1.36) | 0.66 | 0.63 | 0.83 |
| BX2 | I Would accept to try new digital banking services | 6.12 (1.01) | 0.86 | |||
| BX3 | I Would accept testing new digital banking services over a period of time | 5.90 (1.22) | 0.84 | |||
| Image barrier (items adapted from Laukkanen (2016) and Joachim, Spieth & Heidenreich (2018) | BI1 | In my opinion, digital banking services are often too complicated to be useful | 5.48 (1.67) | 0.85 | 0.66 | 0.89 |
| BI2 | I have an image that digital banking is difficult to use | 5.38 (1.86) | 0.81 | |||
| BI3 | I have only positive feelings about digital banking services. (Reverse) | 5.15 (1.58) | 0.79 | |||
| BI4 | I don't like digital banking | 6.05 (1.39) | 0.80 | |||
| Information barrier Joachim, Spieth & Heidenreich (2018) | BF1 | I am well informed about digital banking services | 5.09 (1.67) | 0.91 | 0.88 | 0.95 |
| BF2 | As far as I'm concerned, I have all the information necessary to evaluate digital banking services | 4.82 (1.75) | 0.95 | |||
| BF3 | I think I have all the necessary information about digital banking services | 4.54 (1.85) | 0.94 | |||
| Risk barrier Heidenreich & Kraemer (2016) | BR1 | I am not sure that digital banking works as promised | 4.78 (1.93) | 0.88 | 0.77 | 0.91 |
| BR2 | I am not sure that digital banking services work satisfactorily | 4.77 (1.85) | 0.89 | |||
| BR3 | I doubt that digital banking services are reliable in use | 5.25 (1.82) | 0.86 | |||
| Pleasure barrier Castro, Zambaldi & Ponchio (2020) | BP1 | The possibility of using digital banking services makes me happy | 5.90 (1.16) | 0.93 | 0.88 | 0.96 |
| BP2 | The thought of using digital banking services is pleasant to me | 5.88 (1.15) | 0.96 | |||
| BP3 | The use of digital banking services really satisfies me | 5.77 (1.23) | 0.93 | |||
| Arousal barrier Castro, Zambaldi, & Ponchio (2020) | BE1 | After using digital banking services, I feel fulfilled | 5.46 (1.32) | 0.90 | 0.74 | 0.90 |
| BE2 | Learning about digital banking services makes me excited | 5.28 (1.46) | 0.87 | |||
| BE3 | Having contact with digital banking services does not excite me at all. (Reverse) | 5.45 (1.46) | 0.82 | |||
| Resistance to innovation Cho and Chang (2008) | RI1 | If possible, I would like to refuse to use digital banking services | 5.64 (1.80) | 0.67 | 0.53 | 0.82 |
| RI3 | I am dissatisfied with digital banking services | 5.28 (1.84) | 0.72 | |||
| RI4 | I have critical thoughts about digital banking services | 4.59 (1.80) | 0.71 | |||
| RI5 | I would prefer to use traditional banking services than digital banking services | 5.91 (1.53) | 0.80 |
| (1) Complexity barrier | 0.836 | ||||||||
| (2) Arousal barrier | 0.482 (0.604) | 0.863 | |||||||
| (3) Image barrier | 0.670 (0.829) | 0.540 (0.652) | 0.814 | ||||||
| (4) Information barrier | 0.615 (0.720) | 0.494 (0.559) | 0.710 (0.808) | 0.936 | |||||
| (5) Pleasure barrier | 0.499 (0.585) | 0.773 (0.875) | 0.621 (0.702) | 0.508 (0.545) | 0.940 | ||||
| (6) Risk barrier | 0.522 (0.644) | 0.334 (0.399) | 0.621 (0.737) | 0.495 (0.553) | 0.434 (0.487) | 0.878 | |||
| (7) Value barrier | 0.480 (0.623) | 0.473 (0.594) | 0.596 (0.747) | 0.603 (0.714) | 0.521 (0.613) | 0.426 (0.527) | 0.825 | ||
| (8) Trialability barrier | 0.531 (0.714) | 0.542 (0.711) | 0.629 (0.820) | 0.557 (0.686) | 0.577 (0.711) | 0.472 (0.611) | 0.457 (0.623) | 0.793 | |
| (9) Resistance to innovation | 0.539 (0.692) | 0.450 (0.576) | 0.693 (0.878) | 0.463 (0.552) | 0.551 (0.648) | 0.584 (0.721) | 0.401 (0.504) | 0.517 (0.694) | 0.725 |
| Value barrier → Functional barriers | 0.397 | 0.000 | [0.337; 0.447] | |
| Complexity barrier → Functional barriers | 0.448 | 0.000 | [0.414; 0.519] | |
| Trialability barrier → Functional barriers | 0.385 | 0.000 | [0.327; 0.441] | |
| Image barrier → Psychological barriers | 0.437 | 0.000 | [0.415; 0.483] | |
| Information barrier → Psychological barriers | 0.385 | 0.000 | [0.342; 0.412] | |
| Risk barrier → Psychological barriers | 0.335 | 0.000 | [0.303; 0.369] | |
| Pleasure barrier → Emotional barriers | 0.584 | 0.000 | [0.566; 0.630] | |
| Arousal barrier → Emotional barriers | 0.477 | 0.000 | [0.437; 0.492] | |
| Age → Resistance to innovation | 0.015 | 0.806 | [0.109; 0.140] | |
| Income → Resistance to innovation | −0.102 | 0.059 | [−0.209; 0.007] | |
| Gender → Resistance to innovation | 0.055 | 0.306 | [−0.062; 0.153] | |
| Functional barriers → Resistance to innovation | 0.014 | 0.876 | [−0.202; 0.192] | There is no evidence to support H1 |
| Psychological barriers → Resistance to innovation | 0.470 | 0.000 | [0.306; 0.676] | There is evidence to support H2 |
| Emotional barriers → Resistance to innovation | 0.191 | 0.016 | [0.035; 0.352] | There is evidence to support H3 |
| Use experience → Resistance to innovation | −0.130 | 0.027 | [−0.241; −0.013] | There is evidence to support H4 |
References
Ajzen, I. (1991). The theory of planned behavior. Organizational Behavior and Human Decision Processes, 50(2), 179-211.
Bagozzi, R., & Lee, K. (1999). Consumer resistance to, and acceptance of, innovations. Advances in Consumer Research, 26(1), 218–225.
Bandura, A. (1977). Self-efficacy: Toward a unifying theory of behavioral change. Psychological Review, 84(2), 191–215.
Bandura, A. (1986). Social foundations of thought and action: A social cognitive theory: Prentice-Hall, Englewood Cliffs, NJ.
Castellion, G., & Markham, S.K. (2013). Perspective: New product failure rates: Influence of argumentum ad populum and self-interest. Journal of Product Innovation Management, 30(5), 976–979.
Castro, C.A.B. (2018), The relationship between affect and consumers´ resistance to innovation, (Doctoral thesis, Fundação Getúlio Vargas, São Paulo, Brazil), FGV EAESP Pesquisa, Available from: http://bibliotecadigital.fgv.br/dspace/handle/10438/20687.
Castro, C.A.B., Zambaldi, F., & Ponchio, M.C. (2020). Cognitive and emotional resistance to innovations: Concept and measurement. Journal of Product and Brand Management, 29(4), 441–455.
Chin, W.W. (1998). The partial least squares approach for structural equation modeling. in Marcoulides, G.A. (Ed.), Modern methods for business research, Lawrence Erlbaum Associates, 295–236.
Cho, D.S., & Chang, D.R. (2008). Salesperson's innovation resistance and job satisfaction in intra-organizational diffusion of sales force automation technologies: The case of South Korea. Industrial Marketing Management, 37, 841–47.
Cornescu, V., & Adam, C.R. (2013). The consumer resistance behavior towards innovation. Procedia Economics and Finance, ., 457–465.
Datta, H., Foubert, B., & van Heerde, H.J. (2015. The challenge of retaining customers acquired with free trials. Journal of Marketing Research, 52(2), 217–234.
Davis, F.D. (1986). Perceived usefulness, perceived ease of use, and user acceptance of information technology. MIS Quarterly, 13(3), 319–340.
Davis, F.D., Bagozzi, R.P., & Warshaw, P.R. (1989). User acceptance of computer technology: A comparison of two theoretical models. Management Science, 35(8), 982–1003.
Ellen, P.S., Bearden, W., & Sharma, S. (1991). Resistance to technological innovations. An examination of the role of self-efficacy and performance satisfaction. Journal of the Academy of Marketing Science, 19(4), 297–307.
Faul, F., Erdfelder, E., Buchner, A., & Lang, A.G. (2009). Statistical power analyses using G*Power 3.1: Tests for correlation and regression analyses. Behavior Research Methods, 41(4), 1149–1160.
Federação Brasileira de Bancos [FEBRABAN] (2020). Pesquisa FEBRABAN de Tecnologia Bancária 2020. Available From: https://cmsportal.febraban.org.br/Arquivos/documentos/PDF/Pesquisa%20Febraban%20de%20Tecnologia%20Banc%C3%A1ria%202020%20VF.pdf.
Ferreira, J.B., Rocha, A., & Silva, J.F. (2014). Impacts of technology readiness on emotions and cognition in Brazil. Journal of Business Research, 67(5), 865–873.
Fishbein, M., & Ajzen, I. (1975). Belief, attitude, intention and behavior: An introduction to theory and research: Addison-Wesley, Boston, MA.
Fornell, C., & Larcker, D.F. (1981). Evaluating structural equation models with unobservable variables and measurements error. Journal of Marketing Research, 18(1), 39–50.
Garbarino, E., & Strahilevitz, M. (2004). Gender differences in the perceived risk of buying online and the effects of receiving a site recommendation. Journal of Business Research, 57, 768–775.
Gilly, M., & Zeithaml, V. (1985). The elderly consumer and adoption of technologies. Journal of Consumer Research, 12, 353–357.
Hair, J.F., Hult, G.T.M., Ringle, C.M., & Sarstedt, M. (2017). A primer on partial least squares structural equation modeling. 2nd ed.: Sage, Thousand Oaks, CA.
Hanafizadeh, P., Keating, B.W., & Khedmatgozar, H.R. (2014). A systematic review of Internet banking adoption. Telematics and informatics, 31(3), 492–510.
Heidenreich, S., & Handrich, M. (2015). What about passive innovation resistance? Investigating adoption-related behavior from a resistance perspective. Journal of Product Innovation Management, 32(6), 878–903.
Heidenreich, S., & Kraemer, T. (2016). Innovations - doomed to fail? Investigating strategies to overcome passive innovation resistance. Journal of Product Innovation Management, 33(3), 277–297.
Jarvis, C.B., MacKenzie, S.B., & Podsakoff, P.M. (2003). A critical review of construct indicators and measurement model misspecification in marketing and consumer research. Journal of Consumer Research, 30(2), 199–218.
Joachim, V., Spieth, P., & Heidenreich, S. (2018). Active innovation resistance: An empirical study on functional and psychological barriers to innovation adoption in different contexts. Industrial Marketing Management, 71, 95–107.
Kleijnen, M., Lee, N., & Wetzels, M. (2009). An exploration of consumer resistance to innovation and its antecedents. Journal of Economic Psychology, 30, 344–357.
Kline, R.B. (2011), Principles and practice of structural equation modeling: Guilford Press, New York, NY.
Ko, E., Kim, E.Y., & Lee, E.K. (2009). Modeling consumer adoption of mobile shopping for fashion products in Korea. Psychology and Marketing, 26(7), 669–687.
Kuisma, T., Laukkanen, T., & Hiltunen, M. (2007). Mapping the reasons for resistance to internet banking: A means-end approach. International Journal of Information Management, 27(2), 75–85.
Laukkanen, T. (2016). Consumer adoption versus rejection decisions in seemingly similar service innovations: The case of the Internet and mobile banking. Journal of Business Research, 69(7), 2432–2439.
Laukkanen, T., Sinkkonen, S., Kivijärvi, M., & Laukkanen, P. (2007). Innovation resistance among mature consumers. Journal of Consumer Marketing, 24(7), 419–427.
Laukkanen, P., Sinkkonen, S., & Laukkanen, T. (2008). Consumer resistance to internet banking: Postponers, opponents and rejectors. International Journal of Bank Marketing, 26(1), 440–455.
Lee, S., Ha, S., & Widdows, R. (2011). Consumer responses to high tech products: Product attributes, knowledge, and emotions. Journal of Business Research, 64(11), 1195–1200.
Lerner, J.S., Li, Y., Valdesolo, P., & Kassam, K.S. (2015). Emotion and decision-making. Annual Review of Psychology, 66, 799–823.
Mann, B.J.S., & Sahni, S.K. (2012). Profiling adopter categories of internet banking in India: An empirical study. Vision, 16(4), 283–295.
Matsuo, M., Minami, C., & Matsuyama, T. (2018). Social influence on innovation resistance in internet banking services. Journal of Retailing and Consumer Services, 45, 42–51.
Mehrabian, A. (1996). Pleasure-arousal-dominance: A general framework for describing and measuring individual differences in temperament. Current Psychology, 14(4), 261–292.
Mehrabian, A., & Russell, J.A. (1974). An approach to environmental psychology: M.I.T. Press, Cambridge, MA.
Meuter, M.L., Bitner, M.J., Ostrom, A.L., & Brown, S.W. (2005). Choosing among alternative service delivery modes: An investigation of customer trial of self-service technologies. Journal of Marketing, 69, 61–83.
Mitchell, V.W. (1999). Consumer perceived risk: Conceptualisations and models. European Journal of Marketing, 33(1/2), 163–195.
Mogilner, C., Aaker, J., & Kamvar, S.D. (2012). How happiness affects choice. Journal of Consumer Research, 39(2), 429–443.
Nabih, M., Bloem, J., & Poiesz, T. (1997). Conceptual issues in the study of innovation adoption behavior. Advances in Consumer Research, 24, 190––196.
Patsiotis, A.G., Hughes, T., & Webber, D.J. (2013). An examination of consumers' resistance to computer-based technologies. Journal of Services Marketing, 27(4), 294–311.
Porter, C.E., & Donthu, N. (2006). Using the technology acceptance model to explain how attitudes determine internet usage: The role of perceived access barriers and demographics. Journal of Business Research, 59(9), 999–1007.
Ram, S. (1987). A model of innovation resistance. Advances in Consumer Research, 14(1), 208–212.
Ram, S. (1989). Successful innovation using strategies to reduce consumer resistance: An empirical test. Journal of Product Innovation Management, .(1), 20–34.
Ram, S., & Sheth, J. (1989). Consumer resistance to innovations: The marketing problem and its solutions. Journal of Consumer Marketing, .(2), 5–14.
Ringle, C.M., Wende, S. and Becker, J.M. (2015). SmartPLS 3. Available From: http://www.smartpls.com (Retrieved 10 May 2020).
Rogers, E.M. (2003). Diffusion of innovations. 5th ed.: Free Press, New York, NY.
Russell, J.A., & Mehrabian, A. (1977). Evidence for a three-factor theory of emotions. Journal of Research in Personality, 11, 273–294.
So, J., Chethana, A., Daheem, H., Nidhi, A., Adam, D., & Durairaj, M. (2015). The psychology of appraisal: Specific emotions and decision-making. Journal of Consumer Psychology, 25(3), 359–371.
Szmigin, I., & Foxall, G. (1998). Three forms of innovation resistance: The case of retail payment methods. Technovation, 18(6/7), 459–468.
Talke, K., & Heidenreich, S. (2014). How to overcome pro-change bias: Incorporating passive and active innovation resistance in innovation decision models. The Journal of Product Innovation Management, 31(5). 894–907.
Taylor, S., & Todd, P. (1995). Understanding information technology usage: A test of competing models. Information Systems Research, .(2), 144–176.
Thompson, R.L., Higgins, C.A., & Howell, J.M. (1991). Personal computing: Toward a conceptual model of utilization. MIS Quarterly, 15(1), 124–143.
Venkatesh, V., Morris, M., Davis, G., & Davis, F. (2003). User acceptance of information technology: Toward a unified view. MIS Quarterly, 27(3),425–478.