EL DESARROLLO HUMANO: UNA PROPUESTA PARA SU MEDICIÓN
HUMAN DEVELOPMENT: A PROPOSAL FOR ITS MEASUREMENT
DÉVELOPPEMENT HUMAIN : UNE PROPOSITION DE MESURE
EL DESARROLLO HUMANO: UNA PROPUESTA PARA SU MEDICIÓN
Aldea Mundo, vol. 22, núm. 43, pp. 65-75, 2017
Universidad de los Andes
Recepción: 15 Enero 2017
Aprobación: 15 Mayo 2017
Resumen: La investigación tiene como objetivo modificar el Índice de Desarrollo Humano (IDH) y el Índice de Desarrollo Humano ajustado por Desigualdad (IDH-D), incluyendo un subíndice de competitividad para 187 países, en el año 2013. Los nuevos índices calculados son: Índice de Desarrollo Humano Modicado (IDHM) e Índice de Desarrollo Humano Modificado ajustado por Desigualdad (IDHM-D).La metodología utilizada es la propuesta por el Programa de las Naciones Unidas para el Desarrollo (PNUD 2010) y por Salas – Bourgoin (2014). Los resultados muestran que algunos países cambian tanto en el valor como en la categoría de los índices mencionados al incluir el indicador de competitividad. Asimismo, los países que tienen un índice de desarrollo humano muy alto y alto, y un índice de competitividad alto no son débiles en la nueva propuesta. Pero cuando los niveles de competitividad son bajos, los índices son más sensibles a los cambios. El IDHM-D muestra cambios signicativos en su valor, para los países con desarrollo humano alto, medio y bajo.
Palabras clave: Desarrollo humano, competitividad, índice de desarrollo humano, libertad, desigualdad.
Abstract: The research aims to modify the Human Development Index (HDI) and the Human Development Index adjusted for Inequality (IDH-D), including a competitiveness sub-index for 187 countries, in 2013. The new indexes calculated are: Index Modified Human Development (IDHM) and Modified Human Development Index adjusted for Inequality (IDHM-D). The methodology used is the result of the proposed by the United Nations Development Program (UNDP 2010) and by Salas - Bourgoin (2014). The results show that some countries change both the value and the category of the mentioned indexes when including the indicator of competitiveness. Also, countries with a very high and high human development index and a high competitiveness index are not weak in the new proposal. But when levels of competitiveness are low, indices are more sensitive to changes. The IDHM-D shows significant changes in its value, for countries with high, medium and low human development.
Keywords: Human development, competitiveness, human development index, freedom, inequality.
Résumé: La recherche vise à modifier l’indice de développement humain (IDH) et l’indice de développement humain ajusté aux inégalités (IDH), y compris un sous-indice de compétitivité pour 181 pays en 2013. Les nouveaux indices calculés sont: Indice de développement humain modifié (IDHM) et Indice de développement humain modifié ajusté aux inégalités (IDHMI). La méthodologie utilisée est celle proposée par le Programme des Nations Unies pour le développement (PNUD 2010) et celle de Salas - Bourgoin (2014). Les résultats montrent que certains pays changent tant dans la valeur commedans la catégorie de l’indice lorsque l’indicateur de compétitivité est inclus. De même, les pays qui ont un indice très élevé de développement humain et un indice de compétitivité haut ne sont pas faibles dans la nouvelle proposition. Mais lorsque les niveaux de compétitivité sont faibles, l’indice est sensible. L’IDHMI montre des changements importants dans la valeur de l’indice pour les pays à développement humain élevé, moyen et faible.
Mots clés: développement humain, compétitivité, indice de développement humain, liberté, inégalité .
1. Introducción
El desarrollo humano es un proceso inacabado y pertinente en el ciclo de vida de las personas. Su medición se realiza a través del Índice de Desarrollo Humano (IDH), indicador diseñado para hacer seguimiento al desarrollo entre los países a través de tres dimensiones básicas: salud, educación e ingresos. Desde su primera publicación en 1990, ha sido el marco de referencia mundial para determinar el desempeño y el camino por recorrer de los países en materia de desarrollo. En el 2010, el Informe sobre Desarrollo Humano publicado por el Programa de las Naciones Unidas (PNUD), ha planteado la nueva metodología para el cálculo del índice, con nuevos indicadores para abordar lo relativo a educación e ingresos.
Las dimensiones utilizadas para calcular el IDH muestran la medición del desarrollo en los siguientes indicadores: años promedio de educación, años esperados de educación, esperanza de vida al nacer e ingreso nacional bruto percápita. Sin embargo, para lograr un nivel alto de desarrollo se requiere superar otros obstáculos inherentes al desarrollo. Así, el 25 de septiembre de 2015, los líderes del mundo adoptaron 17 objetivos de desarrollo sostenible, con el propósito de erradicar la pobreza, proteger el planeta y asegurar la prosperidad para las personas, en un plazo de 15 años (PNUD; 2010).
Para asegurar el progreso del desarrollo, el Informe sobre el Desarrollo Humano (2014), examina dos conceptos: la vulnerabilidad y la resiliencia. Además, hace énfasis en la sostenibilidad ambiental, que es igualmente relevante para estimar avances, retrocesos o estancamientos del desarrollo. Más reciente, el informe del PNUD (2016a) Desarrollo Humano para todos, subraya las libertades humanas como una dimensión universal del desarrollo humano, y destaca que ésta es posible para todos. Asimismo, señala que existen grupos de personas que siguen sin satisfacer sus necesidades básicas y presentan obstáculos para superarlas. En este sentido, se indica en el mencionado informe que la reorientación de las políticas y una reforma de la gobernanza mundial, ayudaría a alcanzar el desarrollo humano para todos.
La medición del desarrollo humano no es definitiva, el mismo PNUD (2016b) ha destacado el carácter multidimensional del mismo. Si bien, el indicador de desarrollo humano, incluye en su cálculo los logros alcanzados en las tres dimensiones básicas del desarrollo: educación, salud e ingreso; no incluye el estado en el que se encuentran los derechos políticos, las instituciones, los derechos sociales, entre otros, que también determinan el progreso hacia el desarrollo. En este sentido, se plantea como objetivo, construir un indicador de desarrollo humano agregando un indicador de competitividad denominado Índice Global de Competitividad (IGC), que está formado por tres subíndices: el subíndice de competitividad en requerimientos básicos (IRB); el subíndice de innovación y sofisticación (IIS) de los negocios; y el subíndice de mejoradores de eficiencia (IME). A través de la investigación se establecerá una relación causal entre competitividad y desarrollo humano configurando un aporte a lo que en la literatura se ha denominado “competitividad humana”, iniciativa que muestra el estado en que se encuentran otros aspectos fundamentales del desarrollo (como la infraestructura, la tecnología, la innovación, las instituciones, entre otros) y su contribución con el desarrollo humano. El análisis comprende una muestra de 141 países, seleccionados a partir de la disponibilidad de estadísticas para la variable competitividad, publicadas por el World Economic Forum, en el informe: The Global Competitiveness Report 2013-2014. La agregación del IGC a la medición del desarrollo humano contribuirá con el debate sobre la definición del desarrollo humano, que cada vez profundiza y prioriza sus propósitos hacia la riqueza humana por encima de la riqueza material.
Luego de la introducción, el presente artículo presenta las siguientes secciones: en la sección II se desarrolla el marco teórico que sustenta la investigación; en la tercera, se aborda la metodología utilizada para calcular el Índice de Desarrollo Humano (IDH), el Índice de Desarrollo Humano modificado (IDHM) y el Índice de Desarrollo Humano ajustado por Desigualdad (IDHM-D); en la cuarta sección se presentan los resultados obtenidos y, en la sección quinta se exponen las conclusiones.
2. La libertad, el crecimiento económico y la competitividad en el desarrollo humano
2.1. El papel de la libertad en el desarrollo humano
El PNUD (1990) define el desarrollo humano como un proceso mediante el cual se amplían las oportunidades de las personas; estas oportunidades son diversas y pueden cambiar en el tiempo, pero las más esenciales para cualquier nivel de desarrollo son: una vida prolongada y saludable, el acceso a la educación y disponer de los recursos para disfrutar de un nivel de vida decente; otras oportunidades que valoran los individuos son las libertades políticas, económicas y sociales, el respeto de los derechos humanos, la posibilidad de ser creativo y productivo, el respeto a sí mismo, entre otras. Hernández (2007: 37) define el desarrollo humano en función de su evolución y de las dimensiones que lo caracterizan como:
…un proceso a través del cual se ofrecen nuevas oportunidades/opciones a las personas [PARA la gente], para que se desarrollen ellas mismas y sus instituciones [POR la gente] a través de la expansion de sus capacidades [De la gente] para administrar recursos de diferente índole, a fin de obtener un progreso sostenible y distribuido equitativamente que permita un mejoramiento en sus calidad de vida consistente con sus propias aspiraciones”, […].
La importancia de la libertad en el proceso de desarrollo y en el nivel de bienestar alcanzado por los países ha sido centro del debate en la definición del desarrollo humano. Sen (2003) destaca el papel de las libertades en el desarrollo, señalando que el desarrollo es un proceso de expansión de las libertades que disfrutan los seres humanos. Por lo tanto, considera que, la expansión de las libertades es el fin primordial y el medio principal de desarrollo. Así, el proceso de desarrollo “…debe crear en cada sociedad un ambiente favorable a las libertades, al respeto a los derechos humanos, a la creatividad, al aumento de la autoestima personal y a la generación de riqueza” (Velázquez y Gutiérrez, 2006: 37).
La idea de libertad de Sen (1995) se resume en Korsgaard (1998) citado en Vethencourt (2007: 24):
…a menos que se satisfagan cierta condiciones básicas de bienestar y se proporciones recursos y oportunidades, no podemos […] pretender que la sociedad esté preservando y protegiendo la libertad de todos. Los pobres, los que carecen de trabajo o de atención médica, los que no tienen vivienda y los que no poseen educación no son libres, sin importar los derechos que les haya asignado la Constitución […] Dejar de satisfacer las necesidades básicas de las personas y de proporcionar las habilidades y oportunidades esenciales es dejarlas sin recursos, y éstas, sin recursos, no son libres.
En este contexto, para el análisis del concepto de libertad y su vinculación con el desarrollo, Sen (1998) propone dos variables focales de igualdad: las capacidades y los funcionamientos, “…las capacidades tienen que ver con las posibilidades de las personas y los funcionamientos con los […] logros reales alcanzados por ellas: su nivel de nutrición, el goce de buena salud, su alcance para prevenir posibles enfermedades y mortalidad prematura, las actividades desempeñadas entre otras (Vethencourt, 2007: 25-26).
De acuerdo con Sen (1995) los funcionamientos comprenden tanto las cosas elementales (tener buena salud, evitar enfermedades, estar adecuadamente alimentado, tener respeto propio) como las realizaciones más complejas del ser humano (ser feliz, tener dignidad, entre otras). Para Cohen (1998) los funcionamientos llaman la atención sobre la situación en que se encuentran los individuos (ejemplo: su nivel de nutrición) que a su vez, no está determinado por la cantidad de bienes que posee (ejemplo: su provisión de alimentos) ni por su nivel de bienestar (ejemplo: la satisfacción al consumir determinados alimentos).
Por su parte, el término capacidad, de acuerdo con el planteamiento de Sen (1995: 82) es equivalente a “…libertad, libertad para realizarse, y permite evaluar las alternativas reales que poseen los individuos para elegir el vivir como deseen”. Desde esta perspectiva, exigir la igualdad de capacidades es exigir la igualdad de libertades políticas, económicas, civiles, sociales, entre otras, […] para aumentar las opciones de las personas y alcanzar los fines valorados (Vethencourt, 2007).
Desde la perspectiva del PNUD (2016a) las capacidades son las numerosas combinaciones de funcionamientos que pueden lograr un individuo o la sociedad. Al respecto, Sen (2001:18) argumenta que:
…el éxito de una sociedad debe ser evaluada, en principio, por las libertades individuales sustantivas que los miembros de una sociedad disfrutan y que ellas son: i) significantes por sí mismas para la satisfacción de la libertad total personal e; ii) importantes para promoverlas oportunidades de las personas para tener resultados valiosos
En este sentido, Sen (2001) citado en Hernández (2007: 39) hace una distinción de las libertades del desarrollo en: Libertades Individuales Sustantivas y Libertades Instrumentales; las primeras, hacen referencia a la valoración de la libertad por parte de las personas, para enriquecer la vida humana, vinculadas con las dimensiones básicas del desarrollo como evitar la inseguridad alimentaria y aquella asociadas con la capacidad de leer, entre otras. Las segundas se definen como aquellas que amplían las capacidades de los individuos o la sociedad, se constituyen en un medio para lograr el desarrollo, destacan: las libertades políticas; las facilidades económicas; oportunidades sociales, las garantías de transparencia, la seguridad protectora, entre otras.
El énfasis de las libertades destaca en el informe del PNUD (2016a) donde el desarrollo humano consiste:
… en ampliar las libertades de modo que todos los seres humanos puedan aprovechar las posibilidades que consideren más valiosas. Estas libertades tienen dos aspectos fundamentales: la libertad de bienestar, representada por los funcionamientos (functionings) y las capacidades (capabilities), y la libertad de agencia (freedom of agency), representada por la voz y la autonomía.
En un marco analítico, los aspectos funamentales de las libertades en el desarrollo humano se presentan en la figura No. 1.
2.2. Crecimiento económico y desarrollo humano
Sen (1995) explica la relación entre crecimiento económico y desarrollo humano desde el utilitarismo (ciencia de la decisión y de la elección) cuando señala que la equidad de ingresos, sobre la que se basa la economía del bienestar, al no tomar en cuenta la diversidad humana, promueve desigualdades de bienestar y libertad; porque los individuos valoran de modo diferente las distintas opciones, de acuerdo con sus capacidades y las oportunidades para ejercerlas; así, cuando se exige igualdad de algo, a través de una variable focal, por ejemplo: el ingreso, se promueve desigualdad en otra variable focal, por ejemplo, la nutrición.
El ingreso es un medio que permite alcanzar logros valiosos para el desarrollo humano; considerando las variaciones interpersonales del individuo, determinadas por su capacidad, para convertir dichos medios en resultados aceptablemente esperados (Vethencourt, 2007). De acuerdo con el PNUD (2016a: 2)“…El enfoque de desarrollo humano cambió el discurso del desarrollo, que pasó de perseguir la opulencia material a mejorar el bienestar humano, de maximizar los ingresos a aumentar las capacidades, de optimizar el crecimiento a ampliar las libertades...”. Más aún, el PNUD (2016b:2) en el Informe Regional sobre Desarrollo Humano para América Latina y el Caribe, denominado: Progreso Multidimensional: bienestar más allá del ingreso, señala que los retos del desarrollo deben superar las variables relativas al ingreso como criterios para medir el nivel de desarrollo de algunos países; en consecuencia, la noción de progreso multidimensional planteada en el documento, trasciende los umbrales de ingreso y carencias para dar repuesta a los problemas del desarrollo considerando la idea de progreso mencionada “…como un espacio de desarrollo con límites normativos, en que nada que disminuya los derechos de las personas y las comunidades, ni nada que amenace la sostenibilidad ambiental del planeta, puede considerarse progreso”.
En este contexto, se reconoce que los nexos entre crecimiento económico y desarrollo humano no son automáticos. Al respecto, Ranis y Stewart (2002) estudian la relación de doble causalidad entre crecimiento económico y desarrollo humano, planteando dos cadenas: A y B.
En la cadena A, donde el desarrollo humano (DH) depende del crecimiento económico (CE) encuentran que existe una relación de causalidad, pero que “… estas conexiones no son automáticas: la solidez de los eslabones de la cadena A varían de acuerdo con una amplia gama de factores, incluida la estructura de la economía, la distribución del ingreso y de los bienes y las opciones de política” (Ranis y Stewart, 2002: 9-10). En la cadena B, donde el CE depende del desarrollo humano, los autores también encuentran una relación de causalidad, pero argumentan que “…la educación, la salud, y la nutrición no pueden por sí solas transformar la economía. El volumen y la calidad de la inversión […], junto con el entorno general de políticas son también factores importantes que determinan el desempeño económico” (Ranis y Stewart, 2002: 12). En esta cadena los vínculos son más fuertes, lo cual evidencia la necesidad de promover estrategias pro desarrollo humano, las cuales se refuerzan con el crecimiento económico, mientras que éste, a su vez, promueve más desarrollo humano, generando un círculo virtuoso en el cual el crecimiento se convierte en un medio capaz de alcanzar los fines del desarrollo humano.
2.3. La competitividad y el desarrollo humano
Una definición general de competitividad hace referencia a la capacidad que tiene una empresa, un país o una región para participar en el mercado internacional e incrementar el nivel de vida de la población (PNUD, 2005). Los procesos de integración económica son importantes para fortalecer la competitividad, en la medida en que estos avancen hacia niveles más altos de integración, eliminando las barreras del comercio y las del mercado de trabajo, entre otras.
Desde la perspectiva del PNUD (2005), la competitividad vista desde el plano económico hace referencia a la combinación de un conjunto de habilidades humanas y dotación material que permite a las empresas individuales, industrias o cadenas productivas que poseen ventajas competitivas, participar con ciertas ventajas, derivadas de las políticas económicas, en los mercados externos. Esta posición económica sobre la competitividad es parcial, no todas las empresas o las unidades de producción, pueden acceder al mercado externo; limitando sus esfuerzos para competir en el mercado interno. Por lo tanto, los consumidores nacionales no se favorecen de una producción mejorada en calidad, precios accesibles y oportunidades.
El PNUD (2005) describe la “competitividad humana” como la competitividad para el desarrollo humano; haciendo referencia a la competitividad económica no como un fin en si misma, sino que considera la existencia de un objetivo superior (el ser humano) sobre el que debe dirigirse la competitividad económica. Explícitamente, el PNUD (2005:36-37) la define como:
…como un atributo de los agentes en el mercado que constituye un rasgo y una meta intermedia para llegar al desarrollo humano. Esta competitividad incorpora al trabajador y sus familias en tanto personas y hace de ellas el objetivo principal del incremento en la productividad, de la expansión e inserción en los mercados, de los cambios tecnológicos y de los beneficios resultantes que permiten la ampliación de las libertades de la población.
De acuerdo con lo mencionado anteriormente, desde el punto de vista económico, la competitividad es un medio para lograr el desarrollo humano, en tanto que éste, es un instrumento para elevarla. Por otro lado, humanizar la competencia requiere de la interacción con otros factores como la calidad de las instituciones, el estado en que se encuentran algunas dimensiones básicas del desarrollo, los procesos de innovación y sofisticación de los negocios y la protección del medio ambiente.
3.Metodología
De acuerdo con Méndez (2001) el estudio es descriptivo y el método es deductivo. A través del estudio descriptivo se comprueba la asociación y el comportamiento entre el desarrollo humano, sus dimensiones básicas (salud, educación e ingreso) y la competitividad; utilizando informes y documentos publicados por otros investigadores e instituciones del área de conocimiento. El método deductivo permite a partir de situaciones generales explicadas en la teoría sobre el desarrollo humano y su medición, identificar situaciones particulares en los países, derivadas de los valores modificados que presentan los índices y su contrastación con los valores promedio de clasificación del PNUD (sin modificar) obtenidos para el año 2013. El total de la muestra es de 141 países de una población de 187 países para los que el PNUD calcula el IDH y el IDH-D, el tamaño de la muestra fue seleccionado a partir de la disponibilidad de estadísticas para el IGC, indicador utilizado para modificar los índices mencionados.
3.1. Definición de variables
De acuerdo con el (PNUD, 2010) se definen las siguientes variables:
a) Los años de educación promedio es la educación que reciben las personas de 25 años y más durante su vida.
b) Los años esperados de instrucción son los años de instrucción que un niño en edad de ingresar a la escuela puede esperar recibir, si las tasas de matriculación vigentes, especificadas por edad se mantuvieran constantes durante toda su vida. Con este indicador y los años esperados de instrucción se construye el subíndice de la dimensión educación.
c) El Índice de Desarrollo Humano (IDH) es el índice que mide el promedio de los avances en tres dimensiones básicas del desarrollo humano: salud, educación e ingreso.
d) El INB per cápita en términos de la paridad del poder adquisitivo (PPA) es el ingreso nacional bruto en dólares estadounidenses en términos de (PPA), dividido por la población.
e) La esperanza de vida al nacer son los años que un recién nacido puede esperar vivir si los patrones de mortalidad por edades que existen en el momento de su nacimiento permanecen constantes durante toda su vida.
El Fórum Económico Mundial determina la competitividad por el conjunto de instituciones, políticas y otros factores que determinan la productividad de un país. En la medición de la competitividad se calcula el denominado Índice Global de Competitividad (IGC). El índice se obtiene de organizaciones multilaterales y de entrevistas a expertos en el área de información. Los subíndices y los factores determinantes de la competitividad y productividad de un país se resumen en el Cuadro No. 1.

El Programa de las Naciones Unidas para el Desarrollo, en su informe del año 2010, propone la metodología a usar para el cálculo del IGC. Igualmente, el informe propone la nueva metodología para calcular el IDH. Una vez que se definen los valores mínimos y máximos, los subíndices del IDH se calculan de la siguiente forma:
(1)En el caso de la educación, a partir de la ecuación 1 se aplica a cada uno de los dos subcomponentes (años de educación promedio y años esperados de instrucción); luego se calcula un subíndice compuesto utilizando la ecuación 1, donde se vuelve a aplicar la media geométrica de los índices usando el valor mínimo (0) y la media geométrica más alta de los índices resultantes del período considerado como valor máximo.
Para el caso de los ingresos, se aplica el logaritmo natural de los valores mínimos y máximos reales. El IDH se obtiene de la media geométrica de los índices de las tres dimensiones:
(2)De acuerdo con la metodología propuesta por Salas– Bourgoin (2014)1, de la fórmula (2) se obtiene el IDHM modificado:
(3)El procedimiento es el siguiente:
Tomando los datos aportados por el Fórum Mundial de Competitividad (2013), se aplica la formula (1) para calcular el subíndice de competitividad. Si, por ejemplo, para Australia el valor del IGC es igual a 5,12 (de acuerdo con la puntuación utilizada entre 1 y 7), y el máximo del IGC es de 5,72 puntos para Suiza (en un total de 141 países), y el mínimo es de un punto (mínima puntuación factible de conseguir para el IGC), se tiene:

El índice de desarrollo humano modificado para Australia se obtiene aplicando la fórmula (3):
Índice de
Desarrollo Humano modificado 
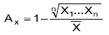
Asimismo, el PNUD (2010: 238-239) obtiene el índice de Desarrollo Humano Ajustado por Desigualdad (IDH-D) haciendo uso de las mediciones de desigualdad de Atkinson en el año 1970, fijando el parámetro de aversión ε en uno. La medida de desigualdad se expresa de la siguiente forma:

Los índices de las dimensiones ajustados por la desigualdad, se obtienen multiplicando por (1 – Ax) los índices de las dimensiones básicas del IDH:

Posteriormente, obtenemos el IDH ajustado por la desigualdad (IDH-D) calculando la media geométrica de los índices de las tres dimensiones ajustados por la desigualdad. Se calcula el IDH-D que incluye el índice de ingresos sin transformación logarítmica (IDH-D*)


Luego, se calcula el IDH sobre la base del índice de ingresos sin transformación logarítmica (IDH*). Entonces, el valor que tendría el IDH-D* si todos los logros se distribuyeran de manera equitativa, se expresa:

A su vez, la pérdida porcentual del IDH* debido a las desigualdades en cada dimensión se calcula así:

Bajo el supuesto que la pérdida porcentual debido a la desigualdad en la distribución del ingreso es exactamente igual, tanto para el ingreso promedio como para su logaritmo, el IDH ajustado por la desigualdad (IDH-D) puede calcularse:

Utilizando el mismo procedimiento para obtener el índice de desarrollo humano modificado ajustado por desigualdad (IDHM-D),al incluir en el IDHM-D, la variable competitividad, entonces el IDHM-D, se puede calcular como:

4. Resultados
En el cuadro 2 y el gráfico 1, se muestran los cálculos del IDH y del IDHM para países seleccionados de acuerdo con los valores del Índice Global de Competitividad para destacar los cambios en la clasifiación del IDHM y del IDHM-D. Los países con IDHMA que presentan IGC alto, es decir, cerca de uno, no cambian en la clasificación del índice. Resulta claro que las libertades valoradas desde el punto de vista de la competitividad cumplen y mantienen su rol en el desarrollo; no ocurre lo mismo con los demás países seleccionados, principalmente, con Argentina y Venezuela con IDHMA e IDMA, respectivamente, donde la falta de libertades debilita el avance del desarrollo humano, dejando en evidencia, la importancia de las libertades para el desarrollo.
Del cuadros 2 y el gráfico 1, los resultados muestran que:
a) Al incluir la variable de competitividad en el cálculo del índice, casi todos los países muestran cambios en el valor del IDHM con respecto al IDH, con la excepción de Alemania que aumenta el valor del índice y Canadá mantiene el valor. En relación, con la categoría, algunos países como Australia, Noruega, Alemania, Canadá, Nigeria y Brasil mantienen la categoría IDHMA, mientras que otros como Venezuela y Argentina pasan a una categoría menor.
b) En los países con índice de desarrollo humano muy alto (IDHMA) la fortaleza en materia de desarrollo humano se sustenta en los tres indicadores básicos. Cuando se obtiene el IDHM incluyendo el indicador de competitividad, la valoración de los requerimientos básicos (IRB) de innovación y de sofisticación (IIS) y de eficiencia (IME) es baja para algunos países.
c) En todos los países del Mercosur el IDHM disminuye. Argentina y Venezuela empeoran tanto en sus valores como en la categoría. Argentina cambia de categoría de IDHMA a IDHA y Venezuela cambia de IDHA a IDH Medio. Son los casos más sensibles con respecto a la influencia de la competitividad en el desarrollo humano. Uruguay supera a todos los países del bloque en la nueva propuesta. No cambia de categoría en el índice. Brasil supera a Venezuela en la nueva propuesta del índice, pero mantiene su categoría. Por su parte, Paraguay el país con menor desarrollo humano dentro de los países del Mercosur desmejora en el nuevo cálculo.


Argentina y Venezuela (República Bolivariana de) son los países en los que el subíndice de competitividad tiene mayor influencia al estimar el IDHM, pero más aún en Venezuela.
5.Conclusiones
Los resultados encontrados son un aporte a la definición del desarrollo humano y a su medición, pues el debate sigue abierto. Lo que sí está claro en las discusiones sobre el desarrollo humano es el papel de las libertades y los aportes de Amartya Sen. Desde esta perspectiva se sobrepasa el umbral del ingreso como medición del desarrollo, centrándose en la riqueza humana más que en la riqueza material de las personas. Esta riqueza va más allá de garantizar conocimiento y una vida larga y saludable. De esta manera, el progreso multidimensional se plantea para explicar los problemas del desarrollo humano, con límites normativos, donde no se disminuyan o se coloquen en riesgo los derechos fundamentales de las personas ni se amenace la sostenibilidad ambiental del planeta.
La propuesta del IDHMes un aporte para mejorar la capacidad del IDH en la medición de los avances en el desarrollo humano. Se sustenta en una nuevo indicador que se considera fundamental en la creación y ampliación de opciones y oportunidades: la competitividad, que a su vez comprende tres subíndices derivados de fuentes confiables que hacen referencia a: los requerimientos básicos (IRB): la eficiencia (IME) y la innovación y sofisticación (IIS).
El cálculo de la nueva propuesta sigue la misma lógica del IDH, es decir, se calcula la media geométrica de los subíndices que lo componen. Disponer individualmente de estos subíndices, permite reconocer las debilidades y fortalezas del desarrollo humano en un país, calificarlos y clasificarlos de acuerdo con los valores del índice; además de determinar los logros y caminos por recorrer en materia de desarrollo.
El subíndice incorporado se muestra sensible para resaltar las diferencias entre países. Muestra de ello es que los países cambian en la clasificación del índice, lo que demuestra que la competitividad es determinante para promover el desarrollo. Se encuentra también que mientras más bajo es el índice de competitividad más sensibles son los países tanto en el valor del índice como en los cambios en la categoría. Así, países con desarrollo humano medio cambian significativamente el valor en el IDHM, incluso cambian de categoría en su clasificación, es el caso de Argentina y Venezuela; lo que significa que las libertades son importantes como medio principal y fin primordial para el desarrollo humano, en la medida que permitan a las personas evaluar y valorar las alternativas reales que estas tienen para elegir el vivir que deseen en un determinado contexto político, económico y social.
Finalmente, los resultados obtenidos no desestiman los logros en materia de desarrollo humano, sino que muestran otras alternativas de discusión en torno a las dificultades existentes para mejorar el desarrollo humano en un contexto multidimensional.


Referencias bibliográficas
GUTIÉRREZ, Alejandro y VELÁSQUEZ, Efraín. (2007). “Desarrollo Humano y Crecimiento económico en Venezuela”. En: Hernández, Ángel (Compilador), El Desarrollo como problema ¿Igualdad de qué?. Caracas, Venezuela, Universidad Central de Venezuela-Consejo de Desarrollo Científico y Humanístico-Facultad de Humanidades y Educación, pp. 111-138
HERNÁNDEZ, Ángel. (2008). “El desarrollo humano”, En: Hernández, Ángel (Compilador), El Desarrollo como problema ¿Igualdad de qué?. Caracas, Venezuela, Universidad Central de Venezuela-Consejo de Desarrollo Científico y Humanístico-Facultad de Humanidades y Educación, pp. 35-48.
NACIONES UNIDAS. (2015). Proyecto de documento final de la cumbre de las Naciones Unidas para la aprobación de la agenda para el desarrollo después de 2015, en línea: http://www.un.org/es/comun/docs/?symbol=A/69/L.85 [consulta 05-02-2016].
MÉNDEZ A., Carlos E. (2001). Metodología. Diseño y desarrollo del proceso de investigación. Bogotá-Colombia: McGraw- Hill Interamericana, S.A.
PNUD. (1990). Informe sobre Desarrollo Humano 1990. Definición y medición del desarrollo humano. En línea: http://hdr.undp.org/sites/default/files/hdr_1990_es_completo_nostats.pdf[consulta 10-03-2016].
PNUD. (2010). Informe sobre Desarrollo Humano 2010. La verdadera riqueza de las naciones: Caminos al desarrollo humano. En línea: http://hdr.undp.org/sites/default/files/hdr_2010_es_complete_reprint.pdf[consulta 15-05-2016].
PNUD. (2014). Base de datos sobre desarrollo humano. En línea: http://hdr.undp.org/es/data[consulta 05-02-2016].
PNUD. (2014). Informe sobre Desarrollo Humano 2014. Sostener el Progreso Humano: Reducir vulnerabilidades y construir resiliencia. New York, ONU-PNUD.
PNUD. (2016a). Informe sobre Desarrollo Humano: Desarrollo humano para todos. Disponible en: http://www.undp.org/content/undp/en/home/librarypage/hdr/2016-human-development-report.html [consulta 20-02-2016].
PNUD. (2016b). Informe Regional sobre Desarrollo Humano para América Latina y el Caribe. Progreso multidimensional: bienestar más allá del ingreso. New York: PNUD.
PNUD. (2005). El desarrollo humano y la competitividad. Disponible en: http://repositorio.minedu.gob.pe/itstream/handle/123456789/425/241.%20Informe%20sobre%20desarrollo%20humano.%20Per%C3%BA%202005.%20Hagamos%20de%20la%20competitividad%20una%20oportunidad%20para%20todos.pdf?sequence=1&isAllowed=y. [consulta 25-06-2017].
RANIS, G. y STEWART, F. (2002). “Crecimiento económico y desarrollo humano en América Latina”. Revista CEPAL, vol. 78, pp. 7-24.
SALAS- BOURGOIN, María A. (2014). “Una propuesta para la modificación del índice de desarrollo humano”. Revista CEPAL, no. 112, pp. 31-46.
SEN, Amartya. (2003). Desarrollo y Libertad. Bogotá, Editorial Planeta.
SEN, Amartya. (1998). “Teorías del desarrollo a principios del siglo XXI”. En Emmerij, Louis y Nuñez del Arco, José (Comps.), El desarrollo económico y social en los umbrales del siglo XXI. Banco Interamericano de Desarrollo.
SEN, Amartya. (1995). Nuevo Examen de la Desigualdad. Madrid, Alianza Editorial.
VELÁZQUEZ, E. y GUTIÉRREZ, A. (2006). Crecimiento económico y desarrollo humano en Venezuela: una evaluación de su posible doble causalidad. Caracas, Consejo de Economía Nacional-PNUD, Documento No. 3.
VETHENCOURT, Fabiola. (2008). “La perspectiva de las capacidades de Amartya Sen”. En: Hernández, Ángel (Compilador) El Desarrollo como problema ¿Igualdad de qué?. Caracas, Venezuela, Universidad Central de Venezuela-Consejo de Desarrollo Científico y Humanístico- Facultad de Humanidades y Educación, pp. 19-48.
World Economic Forum. (2014). Índice Global de Competitividad,. En línea: http://reports.weforum.org/global-competitiveness-report-2014-2015/report-highlights/[consulta 25-05-2016].
World Economic Forum (2014). The Global Competitiveness Report 2013–2014. En línea: http://www3.weforum.org/docs/WEF_GlobalCompetitivenessReport_2013-14.pdf. [consulta 25-04-2016].
Notas