Artículos
Distribución geográfica de los casos por síndrome de dificultad respiratoria del recién nacido en México: oportunidades para el diseño de estrategias de prevención *
Geographic Distribution of the NRDS Cases in Mexico: Opportunities for Designing Prevention Strategies
Distribuição geográfica dos casos por síndrome da angústia respiratória do recém-nascido no México: oportunidades para o desenho de estratégias de prevenção
Distribución geográfica de los casos por síndrome de dificultad respiratoria del recién nacido en México: oportunidades para el diseño de estrategias de prevención *
Revista Gerencia y Políticas de Salud, vol. 18, núm. 36, pp. 1-20, 2019
Pontificia Universidad Javeriana
Recepción: 17 Abril 2018
Aprobación: 18 Agosto 2018
Publicación: 27 Mayo 2019
Resumen: El objetivo de este escrito es documentar la distribución geográfica de casos de síndrome de dificultad respiratoria del recién nacido, así como su evolución temporal durante la última década en México. El problema estudiado se conceptualiza desde la perspectiva de los determinantes sociales de salud, un abordaje que permite incorporar el vínculo hacia el diseño de políticas públicas. El trabajo se basa en análisis exploratorio de datos (EDA) a partir de los registros de nacimientos recopilados por el Subsistema de Información sobre Nacimientos (SINAC), una fuente oficial con una cobertura nacional que permite lograr estimados comparables en el contexto internacional ya que utiliza la clasificación internacional de enfermedades CIE-10. Los resultados del análisis permiten identificar regiones específicas para la implementación de estrategias preventivas, aspecto útil desde la perspectiva de la aplicación eficiente de los recursos con los que dispone el sistema de salud. Concretamente se ubica la región de la frontera sur como un área de atención prioritaria.
Palabras clave: Salud pública, síndrome de dificultad respiratoria, embarazo, recién nacido, diabetes mellitus, México.
Abstract: This paper aims to document the geographic distribution of the Newborn Respiratory Distress Syndrome (NRDS) cases as well as their time evolution during the last decade in Mexico. The problem studied herein is conceptualized under the perspective of the health social determining factors, an approach that will allow setting a link towards the design of public policies. This work is carried out as an exploratory data analysis (EDA) based on the birth records kept in the Birth Information Sub-System (SINAC), an official source covering the whole nation and allowing to make estimates for comparison to the international context as it uses the international disease classification CIE-10. The analysis results allow identifying specific regions where preventive strategies should be implemented. This is a useful effort regarding the efficient application of the resources available in the health system. In particular, the southern border region is identified as an area requiring priority health services.
Keywords: Public health, respiratory distress syndrome, pregnancy, newborn, diabetes mellitus, Mexico.
Resumo: O objetivo do escrito é documentar a distribuição geográfica de casos de síndrome da angústia respiratória do recém-nascido, bem como a sua evolução temporal durante a última década no México. O problema estudado é conceituado desde a perspectiva dos determinantes sociais de saúde, abordagem que permite incorporar o vínculo para o desenho de políticas públicas. O trabalho é baseado em análise exploratória de dados (EDA) a partir dos registros de nascimentos recopilados pelo Subsistema de Informação sobre Nascimentos (SINAC), fonte oficial com cobertura nacional que permite obter estimativas comparáveis no contexto internacional uma vez que utiliza a classificação internacional de doenças CIE-10. Os resultados da análise permitem identificar regiões específicas para a implementação de estratégias preventivas, aspecto útil desde a perspectiva da aplicação eficiente dos recursos dos que dispõe o sistema de saúde. Concretamente define-se a região da fronteira sul como área de atendimento prioritário.
Palavras-chave: Saúde pública, síndrome da angústia respiratória, gravidez, recém-nascido, diabetes mellitus, México.
Introducción
Durante 2016 se observaron en México 82.764 casos de nacimientos con anomalías, en un rango de 797 padecimientos distintos. No obstante, el 51% de estos casos se concentra en diez causas únicamente, siendo el síndrome de dificultad respiratoria del recién nacido (P220) [1] la tercera causa de mayor frecuencia en el país con 4996 casos [2].
A pesar de que los avances en el entendimiento del manejo de esta condición han permitido reducir significativamente los niveles de mortalidad a escala global ( 1, 2), la progresión de esta condición en los momentos inmediatos al parto es aún responsable de un elevado índice de complicaciones ( 3), como la condición de leucomalacia periventricular, la causa más frecuente de daño cerebral en infantes ( 4), lo que se traduce en el largo plazo en problemas en el desarrollo cognitivo y de comportamiento del niño, incluidas alteraciones musculoesqueléticas secundarias, sensoriales y de percepción.
Si bien se ha documentado que la etiología de esta condición es multicausal ( 3, 5), existe un consenso, tanto en estudios epidemiológicos como experimentales, que indica que la condición de diabetes en la madre es un determinante básico ( 6), por lo que surge la pregunta de si la elevada incidencia de este padecimiento puede ser la expresión de un problema de salud pública más amplio que requiere la implementación de estrategias preventivas focalizadas.
Estudiar el comportamiento espacial del síndrome de dificultad respiratoria del recién nacido (SDR) en este contexto es relevante, entre otros elementos, porque permitiría comprender mejor su relación con otros padecimientos de importancia nacional y en especial dimensionar los impactos de diabetes tipo II, un problema estructural de salud pública que ha alcanzado proporciones epidémicas en México.
El propósito de este trabajo es documentar la distribución geográfica de recién nacidos con SDR, así como su evolución temporal durante la última década, en un esfuerzo por dimensionar las posibles consecuencias de la epidemia de diabetes, un grave problema de salud pública con implicaciones que se extienden hacia una nueva generación.
El análisis integrado entre SDR y diabetes tipo II en México no pretende probar la causalidad entre estos padecimientos, esta relación ya se ha establecido desde una perspectiva clínica en el contexto internacional ( 7) y se ha documentado evidencia empírica extensa ( 8, 9). Por el contrario, el análisis aborda la distribución espacial y la evolución temporal de estas condiciones de salud, con lo que se busca mostrar patrones de localización útiles como referencia para el entendimiento de este fenómeno que, según se ha documentado, obedece a un proceso de salud-enfermedad complejo, no aislado, un proceso más amplio cuyas causas se vinculan estrechamente con determinantes sociales que encuentran su expresión en padecimientos que hoy afectan a una nueva generación y que tiene implicaciones para el futuro desarrollo de nuestras comunidades.
El trabajo integra los hallazgos recientes en el estudio sobre la distribución espacial de la incidencia de diabetes tipo II en México, padecimiento crónico que ha registrado una evolución creciente en el país y que se vincula estrechamente con el incremento en factores de riesgo que influyen directamente sobre el equilibrio metabólico, como la condiciones de sobrepeso y obesidad que afectan a 70% de la población adulta en el país ( 10), y de forma paralela con determinantes sociales como el cambio en los patrones de consumo ( 11).
En este contexto, estudiar la evolución de casos de síndrome de dificultad respiratoria del recién nacido en el contexto de la dinámica espacial de la epidemia de diabetes tipo II en el país permitiría aportar elementos sobre la extensión del impacto de este fenómeno de salud pública para aplicar medidas de política orientadas a la atención de la población en situación de riesgo, incluidas las mujeres con diabetes y sus recién nacidos.
Estudios previos y consideraciones teóricas
El problema estudiado se conceptualiza desde la perspectiva de los determinantes sociales de salud. Esta propuesta busca indagar más allá de las causas inmediatas de la distribución de las condiciones de salud entre las poblaciones, lo que se ha denominado como “el estudio de las causas de las causas” por autores como ( 12). Una discusión que se ubica en el marco más amplio de epidemiología social.
Se considera que entender un fenómeno de salud pública como es la manifestación del SDR, desde su contexto, puede ser de utilidad, en especial al incorporar la relación que se tiene con determinantes como la condición de diabetes tipo II, padecimiento que según se ha documentado desde la década de los setenta tiene una estrecho vínculo con el desarrollo del SDR en recién nacidos ( 13).
De acuerdo con el trabajo pionero de Stubbs y Stubbs, la condición de diabetes mellitus en la madre impacta el desarrollo pulmonar del bebé y es responsable de una creciente incidencia de nacimientos con SDR en madres que padecen diabetes ( 13). Al respecto, en México la incidencia de diabetes es un fenómeno de salud pública que ha alcanzado proporciones epidémicas ( 11) y se ha demostrado que por sí mismo tiene un fuerte componente social asociado a los patrones de consumo y actividad física de la población ( 14, 15, 16).
La perspectiva teórica de los determinantes sociales de salud permite un balance entre las aproximaciones epidemiológicas que enfatizan los métodos sobre las teorías de causalidad en los padecimientos. Según el análisis clásico de Krieger, la teoría de la red de causalidad múltiple, el canon de la epidemiología contemporánea, presenta al menos una debilidad que demerita su utilización como guía para la selección de los factores que explican la estructura de causalidad de los padecimientos. Y esta debilidad es su excesiva dependencia del individualismo médico ( 17). En este sentido, Wilkinson afirma:
From a time when the determinants of health and illness were regarded as the exclusive province of the medical profession, those working on the social determinants of health have successfully demonstrated the intimate links between health and the social, economic and political structure of society. ( 18)
En relación con lo anterior, la Organización Mundial de la Salud (OMS) recientemente ha fomentado una serie de iniciativas centradas en la aplicación de este paradigma, enfatizando su vínculo hacia el diseño de políticas públicas ( 19). Desde el plano empírico, comprender elementos como la distribución territorial de este padecimiento en el contexto de sus determinantes permitiría implementar estrategias de intervención focalizadas y dimensionar las implicaciones de amenazas de salud como lo es la ocurrencia de diabetes mellitus en el país.
Este marco teórico se considera pertinente para estudiar el tema de SDR en México porque permite incorporar elementos explicativos de contexto como la distribución geográfica del padecimiento, así como su trayectoria temporal, información que complementa el abordaje de los aspectos clínicos, que constituyen una expresión de salud cuyas características están claramente identificadas por un cuadro fisiopatológico que se ha establecido con un alto grado de certidumbre y consenso internacional ( 1, 20, 21, 5).
Desde la perspectiva empírica, lo trabajos realizados sobre la incidencia de SDR en México son aún limitados, si bien se tienen importantes esfuerzos dirigidos principalmente a conformar protocolos de manejo clínico ( 22) o, en el contexto latinoamericano ( 23), quienes abordan el caso para los países del Cono Sur, con énfasis en Chile, país en donde el SDR sigue constituyendo una de las principales causas de mortalidad neonatal ( 23). En su estudio, Fehlmann et al. ( 23) aportan sobre la conexión del SDR con otros determinantes, especialmente el nexo con los casos del recién nacidos de muy bajo peso (RNMBP), lo cual es un avance desde el abordaje conceptual ya que reconoce la utilidad de una perspectiva integradora para atender un fenómeno complejo de salud pública.
Adicionalmente, en la región de América Latina se observan iniciativas locales para documentar los factores de riesgo asociados al SDR como ( 24), quienes al investigar el caso de Cuba refieren el SDR como la principal causa de ingresos hospitalarios en servicios de neonatología a nivel local ( 24). No obstante los avances en la región, se percibe la ausencia de estudios que incorporen elementos explicativos de contexto, como la perspectiva espacial de la incidencia, o bien su evolución temporal, ambos elementos de utilidad para caracterizar el fenómeno en un contexto social más amplio.
La desconexión de las investigaciones sobre SDR con la ocurrencia de padecimientos asociados como diabetes es particularmente notoria a pesar del estrecho vínculo documentado, por lo que este aspecto se identifica particularmente como área de oportunidad y se aborda en la presente investigación como un primer esfuerzo en esta dirección en el caso de México.
Consideraciones metodológicas y datos
El trabajo se basa en análisis exploratorio de datos (EDA), a partir de los registros de nacimientos recopilados por el Subsistema de Información sobre Nacimientos (SINAC), una fuente oficial con una cobertura nacional que permite lograr estimados comparables en el contexto internacional ya que utiliza la clasificación internacional de enfermedades CIE-10. En particular, se analizan los siguientes padecimientos: síndrome de dificultad respiratoria del recién nacido (P220) y dificultad respiratoria del recién nacido (P229). El análisis se desarrolla utilizando dos estructuras de datos: corte transversal para medir la incidencia reciente de SDR en México y series de tiempo para evaluar la evolución temporal de esta condición de salud durante el periodo 2008-2016.
En términos espaciales, el trabajo adopta un enfoque en dos escalas: el nivel estatal (las 32 entidades que conforman México) y centro hospitalario, lo que permite indagar la manifestación del problema con un nivel de desagregación local a partir de la clave única de establecimientos de salud (CLUES).
Se estudia, adicionalmente, la incidencia de casos por diabetes tipo II por entidad federativa mediante el cálculo de las tasas de morbilidad, utilizando los registros del sistema nacional de información en salud en la modalidad de egresos hospitalarios; así mismo, se explora la evolución temporal de los casos por defunciones debido a esta condición de salud (códigos E110-E149) para el sexo femenino a partir de los registros del Subsistema Epidemiológico y Estadístico de Defunciones (SEED), lo que permite identificar aquellas entidades con un patrón sistemático de alta incidencia de entre aquellos sitios en donde el padecimiento no ha ocurrido de forma persistente.
En primer lugar, se presenta el escenario base del padecimiento con la incidencia actual de SDR por centro hospitalario, considerando todo el territorio nacional, para lo cual se utilizan herramientas basadas en sistemas de información geográfica. Esta representación tiene la finalidad de ubicar aquellas regiones del país en las cuales esta problemática tiene una alta incidencia sin controlar, por el tamaño de la localidad en la que se ubica el hospital, aspecto que se desarrolla en una segunda fase del análisis.
En la siguiente etapa del análisis se explora la ocurrencia del SDR considerando las características del recién nacido, empleando variables cualitativas en cuanto a sexo, peso, talla y la calificación obtenida de las pruebas de Silverman-Anderson y Apgar, las cuales permiten aportar mayor información sobre la condición del parto y contrastar la consistencia de la base de datos analizada con las relaciones teóricas documentadas previamente, para lo cual se construye un modelo logístico con la siguiente especificación.

La variable binaria dependiente Y toma el valor 1 si se trata de un nacimiento en los códigos P220 o P229 y 0 en caso contrario; las variables de control X 1 = sexo,, con valores: 1: masculino, 2: femenino; X 2 = peso, expresada en gramos, con un valor medio = 3141g; X 3 = talla expresada en centímetros con un valor medio = 59cm; X 4 = el resultado de la prueba Silverman-Anderson, examen que valora la dificultad respiratoria de un recién nacido en una escala en el rango (0-10), donde 0 indica que el bebe no presenta dificultad respiratoria y el valor extremo 10 cuando se observa dificultad respiratoria severa; X 5 = el resultado de la prueba Apgar, aplicada a los cinco minutos posteriores al parto. Esta valora el estado general del recién nacido en cinco áreas: pulso, respiración, tonalidad muscular, reflejos, coloración. Una prueba que se ha convertido en un estándar internacional, desarrollada en la década de los cincuenta por Virginia Apgar ( 24). Tiene una escala en el rango 0-10, donde el valor máximo 10 indica la condición normal del recién nacido y 0 que tiene el pronóstico menos favorable, generalmente indicativo de daño en el largo plazo; X 6 = atención, variable dicotómica para indicar si la madre recibió atención prenatal con los valores 1: atención 0: no recibió atención. Y la variable X 7 = tiempo de gestación, expresada en semanas en el rango 23 a 42.
El modelo se estima con un total de 1.933.579 registros de nacimientos [3] para 2016 y permite determinar los radios de momios (OR) y el contraste con las probabilidades asociadas para las variables explicativas de interés.
En la tercera fase se estudia la evolución temporal de casos por SDR, para lo cual se estiman las tasas de crecimiento de este padecimiento desde 2008 para cada entidad del país y se contrastan con el crecimiento observado en el resto de las causas de nacimiento con anomalías.
Para controlar por el posible sesgo que el tamaño de cada localidad genera en la estimación de la incidencia, se estudia la concentración relativa utilizando el indicador denominado cociente de localización (LQ); este permite controlar por el tamaño de la población ( 25), es un indicador que ha sido aplicado por estudios en el campo de bioestadística y en estudios empíricos de corte epidemiológico dado su potencial para detectar patrones de comportamiento espacial ya que permite medir la concentración relativa. La estimación de cociente de localización (LQ) se realiza mediante la siguiente especificación:

Donde el numerador indica la proporción de casos que la entidad i representa de total de casos por (SDR) en el país, mientras el denominador captura la proporción correspondiente de nacimientos en la entidad i, respecto al total de nacimientos en el ámbito nacional; ambas proporciones se estiman para un periodo de tiempo concreto t.
Por definición, el umbral LQ = 1 indica una situación en la que la proporción por nacimientos con SDR observada, tanto en la entidad i como en la escala nacional (ámbito de referencia), es la misma, mientras valores LQ > 1 indican una situación de concentración relativa superior en el área i relativa al contexto nacional y, por lo tanto, constituyen un área de interés a efectos de esta investigación.
En la etapa final del análisis, la atención se dirige a nivel de centro hospitalario, la escala de mayor desagregación estudiada. El propósito de este análisis es identificar aquellos centros hospitalarios con una incidencia relativa de SDR particularmente importante en el contexto nacional, para lo cual se estima el indicador denominado frecuencia específica ponderada (FEP), con la siguiente especificación:

El primer término, FR, mide la frecuencia con la que ocurre un padecimiento determinado (CIE10 i), relativo al total de causas por anomalías registradas en un centro hospitalario particular (CLUES i). Mientras el segundo término, denominado ponderación específica del padecimiento (PEP), es un factor que mide el grado de especificidad de cada padecimiento dentro de la clasificación CIE-10 y se define de la siguiente manera:

Donde la variable N CLUES consigna el número total de centros hospitalarios en el país con al menos un registro de nacimiento con anomalías, en este caso 2217. La variable n CLUES indica el número de centros hospitalarios que presentaron el i-esimo padecimiento ( CIE10 i) dentro del rango estipulado. La variable PEP permite contar con un ponderador para cada padecimiento, este ponderador tendrá un valor mayor a medida que el padecimiento ocurre en un subconjunto menor de CLUES dentro de la muestra estudiada, lo que indica que se trata de un padecimiento no común, pero específico del área.
Dos umbrales de interés para el ponderador permiten ejemplificar esta relación inversa: el primero es cuando el padecimiento i CIE10 i está presente en todos los centros hospitalarios (CLUES), en tal caso el cociente entre las variables N CLUES y n CLUES tomará el valor de 1 y en consecuencia el logaritmo natural y el PEP serán = 0. De forma análoga, la ponderación será mayor a medida que el denominador en la PEP tiende a cero, lo cual indica que la presencia de la condición o anomalía i en el contexto es más relevante. Este ponderador permite contar con un mecanismo ordinal para detectar aquellos centros hospitalarios que exhiben la presencia de padecimientos específicos del sitio. En última instancia, la magnitud de este indicador permite definir un orden.
Resultados
En la figura 1 se muestra la distribución geográfica de los casos por SDR en México. Esta representación busca ubicar aquellas regiones de importancia y establecer un escenario base, previo al análisis de concentración relativa que incorpora el tamaño de las localidades.

A pesar de que hay una concentración evidente en la región centro del país, explicada por la mayor densidad demográfica de las principales áreas urbanas, la estimación revela que la condición de SDR es mayor en la región de la frontera sur, donde se ubica el centro hospitalario de mayor incidencia, este es el Hospital Regional de Alta Especialidad de la Mujer de Villahermosa, Tabasco.
Por su parte, al norte del país se detectan importantes áreas de concentración que incluyen la ciudad de Durango, Torreón y Saltillo en Coahuila y Nuevo Laredo, Tamaulipas. Mientras en la frontera norte se tiene presencia importante en centros hospitalarios de Ensenada y Mexicali. Esta distribución indica un rasgo importante, ya que no necesariamente las localidades de mayor tamaño presentan la mayor incidencia.
Para controlar el posible sesgo generado por el efecto que el tamaño de las localidades tiene sobre el número de casos por SDR registrado, se estima en enseguida el indicador relativo denominado cociente de localización (LQ) para los 32 estados del país. Se distingue entre aquellos que superan la proporción nacional LQ > 1, estados denominados a efectos de esta investigación como de alta incidencia, y aquellos con niveles inferiores, LQ < 1, considerados como de baja incidencia relativa. La figura 2 muestra los resultados.

La estimación permite notar que los estados de mayor población no necesariamente coinciden con aquellos de mayor incidencia, los casos de Nuevo León y el estado de México, ambas entidades consideradas entre los principales centros poblacionales del país, son un claro ejemplo de esta disyuntiva. Por el contrario, estados con una menor dimensión poblacional aparecen con una elevada incidencia. Ejemplos como Coahuila, Chihuahua o Baja California, en la frontera norte, aparecen dentro del grupo de alta incidencia, incluido el caso de Tabasco, que como se ha mostrado es la entidad en donde se ubica el centro hospitalario con el mayor número de casos en todo el país.
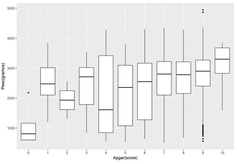
A continuación, se exploran las características de los casos por SDR registrados en México en el 2016. La figura 3 muestra la relación entre la calificación obtenida por el bebé en la prueba Apgar y el peso.

La distribución del peso de los recién nacidos tiende a ser menor a medida que la calificación es inferior, lo cual es particularmente claro entre los niveles 10 al 4. Esta relación directa observada en términos empíricos entre las variables es consistente con la relación teórica, ya que la prueba Apgar califica el estado general del bebé y valores inferiores corresponden con condiciones sub-óptimas del recién nacido. Al mismo tiempo el peso del bebé es un indicativo de su estado general.
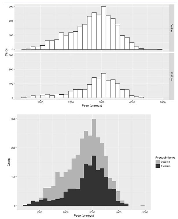
La relación teórica entre el peso del recién nacido y la posibilidad de presentar complicaciones ha sido extensamente documentada y en particular se vincula con el procedimiento del parto, especial atención se dirige en la diferencia entre el parto eutócico, aquel que se desarrolla de manera normal sin la utilización de instrumental especializado y el realizado por vía de cesárea.
La figura 4 muestra la distribución del peso de los recién nacidos en relación con el tipo de procedimiento utilizado para su nacimiento en México durante el 2016.

Se encuentra una mayor frecuencia de nacimientos por el procedimiento cesárea, aunado con una mayor concentración en los rangos de bajo peso, un indicativo que puede tener implicaciones para la condición de salud del recién nacido.
En la tabla 1 se estima el modelo propuesto de regresión logística, para mostrar la relación de los nacimientos con SDR y las variables cualitativas sexo, peso y talla, procedimiento empleado en el nacimiento, Silverman-Anderson score, Apgar score y atención prenatal.

En el caso de las variables peso y talla se tienen ratios de momios estadísticamente significativos equivalentes a OR: 1,59; CI95% 1,48-1,71 y OR: 1,47; CI95% 1,38-1,56, respectivamente, lo que confirma una relación empírica inversa entre los nacimientos con peso y talla inferior al promedio y la posibilidad de presentar SDR. En el caso de la variable que consigna el resultado de la prueba Silverman se observa una relación directa respecto a la posibilidad de desarrollar SDR a medida que el score tiende a 10, con OR estadísticamente significativo = 1,37 [4]. De igual forma, la relación encontrada para la prueba Apgar es consistente con la relación teórica esperada (OR: ,887: CI95% 87-,90).
Así mismo, el contar con atención prenatal por parte de la madre se relaciona con una menor posibilidad del desarrollo del SDR para el bebé. En el caso de la variable procedimiento, se encuentra una clara implicación para el escenario de partos en el procedimiento cesárea, ya que se tiene un OR = 2,26 al pasar de la categoría base, que es parto eutócico, a cesárea. El resultado en el caso de parto distócico es contundente en el mismo sentido, por lo que se concluye que estos procedimientos tienen implicaciones desde el punto de vista de la presencia de complicaciones como el SDR en la población analizada. Por su parte, el parámetro para la variable que consigna el periodo gestacional permite un contraste evidente en el que los bebés prematuros en el rango entre 29 y 32 semanas tienen un incremento significativo en las posibilidades de desarrollar el SDR (OR: 8,10; CI 95% 7,16-.9,16) respecto a los nacidos a un término de 40 semanas.
En la figura 5 se consignan las probabilidades estimadas para la relación entre la variable atención prenatal, el peso de recién nacido y la presencia de SDR.

La trayectoria decreciente entre el peso del recién nacido y la presencia de SDR revela un patrón consistente con la evidencia documentada por estudios experimentales y muestra al mismo tiempo la importancia de los cuidados prenatales, indicando la mayor vulnerabilidad de la población que no tiene acceso a servicios médicos de atención prenatal.
Enseguida se aborda la perspectiva temporal. La premisa es que la evolución temporal puede aportar rasgos adicionales sobre la ocurrencia de SDR, sobre todo para identificar aquellas áreas donde se tiene un comportamiento sistemático, a diferencia de aquellos sitios en los cuales se observa un problema no recurrente. En la figura 6 se muestra la tasa de crecimiento con año base 2008. Para mayor claridad, en la representación se incluye una línea de referencia en 0 correspondiente al nivel en el año base y se incorpora adicionalmente la evolución del resto de causas por entidad.

Las estimaciones permiten identificar que el problema ha tenido un crecimiento sostenido en estados de la frontera sur como Campeche, Yucatán y Tabasco, este último con una tasa de crecimiento que alcanzó 232% en el periodo estudiado, lo que representa la mayor tasa de todo el país. En la región norte se observan también incrementos importantes, como los estados de Sonora y Nuevo León con tasas de 106,7% y 88,73, respectivamente. Si bien la evolución observada en esa región es creciente, su magnitud es comparativamente menor a los casos ya mencionados ubicados en el sur del país.
En segundo lugar, se observa que la tasa de crecimiento por otras causas de anomalía al nacimiento se ha mantenido relativamente estable durante la última década a lo largo del territorio, con algunas excepciones como los estados de Oaxaca, Guerrero, Chiapas y Quintana Roo, información que permite dimensionar la relevancia del fenómeno de SDR en el país.
Dado que la evidencia empírica a escala global encuentra un consenso sobre el papel que el estado de salud de la madre desempeña para el desarrollo de complicaciones del recién nacido ( 26), y considerado que específicamente la condición de diabetes se considera un factor de riesgo extensamente documentado con relación a la incidencia del síndrome de dificultad respiratoria del recién nacido ( 6), a continuación se aborda este fenómeno en México.
Se inicia con la estimación de las tasas de morbilidad ajustadas por edad y sexo, considerando los datos más recientes disponibles a la fecha de la realización de este trabajo (egresos hospitalarios en el año 2015), y se avanza con la concentración geográfica y la evolución temporal en las últimas dos décadas, aprovechando la disponibilidad de las series de tiempo de mayor aliento que se tienen disponibles a través del sistema nacional de información en salud.
La figura 7 presenta los resultados de la estimación de las tasas de morbilidad.

La estimación aporta un contraste de interés entre aquellas entidades que pueden considerarse de alta incidencia (que se ubican a la derecha de la línea punteada de referencia) y el resto de los estados. En especial, se encuentra que las mayores tasas de morbilidad se localizan en la frontera norte en el estado de Coahuila, donde la diabetes tipo II afecta a 222 mujeres y 214 hombres por cada 100.000 habitantes. Entre el grupo de estados de mayores tasas, la región frontera sur ocupa un lugar central. De hecho, únicamente las entidades de esta región representan el 50% del grupo considerado de alta incidencia, con estados como Quintana Roo, Campeche y Yucatán cuyas tasas son 216, 197, 186 y 149 mujeres por cada 100.000 habitantes, respectivamente.
En segunda instancia, la estimación revela que, entre los estados de mayor incidencia, aparentemente la población del sexo femenino es la más afectada.
Con la finalidad de conocer la evolución temporal de diabetes tipo II entre la población del sexo femenino, se incorpora la dimensión de mortalidad y se estima el cociente de localización por defunciones para los 32 estados del país, en cada año en los que se tiene registro por defunciones en México, a través del sistema nacional de información en salud (1998-2015). Este cálculo incorpora la perspectiva temporal al abordaje espacial, al permitir conocer la concentración de este padecimiento controlando por el tamaño de cada entidad. La figura 8 muestra los resultados para las entidades que integran la frontera norte y la frontera sur, selección que obedece a la tendencia observada por la incidencia de SDR, según se ha mostrado en el análisis precedente.

La estimación revela al menos dos rasgos de interés para el contrate. En primer lugar, se observa una diferencia en la evolución por región de esta enfermedad, los datos muestran una trayectoria opuesta entre la frontera sur y las entidades de la frontera norte. Mientras en el primer grupo se observa una concentración creciente, las entidades en la frontera norte han tendido a reducir su participación en la incidencia de casos por diabetes tipo II. En segundo lugar, a pesar del ritmo de crecimiento observado en la mayoría de los estados de la región frontera sur, esta evolución ubica a estas entidades en niveles similares a los observados en el contexto nacional, lo que puede explicarse dado los niveles ínfimos de participación observados al inicio del periodo de estudio en la región; en el caso de Chiapas, por ejemplo, el nivel observado a inicios del periodo era equivalente a dos terceras partes de la concentración en el país LQ = ,63, y situación similar en Yucatán con un LQ = ,78. Esta transición sugiere un cambio estructural en las condiciones de salud de la población con amplias implicaciones para las comunidades de esta región, sin demeritar el impacto financiero que el tratamiento de esta epidemia supone para el sistema de salud.
Aunado a este comportamiento se encuentra evidencia de un proceso de paulatina reducción en los niveles de concentración de casos por diabetes tipo II en las entidades de la frontera norte. No obstante, es posible puntualizar que en los casos de entidades como Coahuila y Tamaulipas, a pesar de la magnitud en trayectoria descendente, aún se registran niveles superiores al entorno nacional, lo que se explica dado el nivel de partida en 1998, que representaba respectivamente 1,41 y 1,32 veces la concentración de esta enfermedad en el país.
Para finalizar, se aborda la incidencia de casos por SDR a escala de centro hospitalario, la perspectiva de mayor desagregación considerada. Se pretende con esta fase aportar información que muestre la carga para el sistema de salud, así como elementos adicionales de contexto, al contar con una perspectiva local. En total, el padecimiento se presentó durante 2016 en uno de cada tres centros hospitalarios, esto es, en 711 de un total de 2217 que registraron nacimientos con anomalías a la largo del territorio nacional. Una pregunta relevante en este contexto es: ¿en qué hospitales esta condición tiene presencia relativa superior?
En la tabla 2 se consignan los resultados de la aplicación del indicador frecuencia específica ponderada (FEP), propuesto para determinar el ordenamiento de los centros hospitalarios de acuerdo con la importancia que este padecimiento representa en el contexto de las causas por anomalías al nacimiento registradas en el país.

La tabla 2 incorpora cuatro elementos complementarios: el número de casos, la frecuencia que los casos por SDR representa para los nacimientos con anomalías en el hospital i, la ponderación específica del padecimiento (PEP), valor único que recoge la importancia que tiene el padecimiento en el contexto, y el FEP, que permite contar con un mecanismo ordinal para los centros hospitalarios donde se presentaron casos de SDR.
En un primer nivel de análisis, considerando la perspectiva institucional, se encuentra que son los centros hospitalarios pertenecientes a la Secretaría de Salud (SSA) los que se tienen una mayor importancia relativa de estos casos, lo anterior a pesar de que los centros hospitalarios del IMSS son mayoría. Este aspecto sugiere un posible vínculo con el estatus socioeconómico de la madre, un rasgo que amerita validación formal y se propone como elemento de análisis para la agenda de investigación en este tema.
La estimación indica que es la Unidad Especializada en Atención Obstétrica y Cuidados Neonatales de Ocotlán, Jalisco, perteneciente a la Secretaría de Salud (SSA), el centro de mayor importancia relativa en el país. La estimación da cuenta de una representación territorial heterogénea con importante presencia de grandes centros urbanos como el hospital Unidad Especializada en Atención Obstétrica y Cuidados Neonatales, el Hospital de Gineco Obstetricia Centro Médico Nacional de Occidente o el Hospital Materno Infantil Esperanza López Mateos, los tres ubicados en la ciudad de Guadalajara. A pesar del papel que tienen los hospitales en las grandes zonas urbanas del país, se encuentra que centros hospitalarios ubicados en zonas con densidades poblaciones considerablemente menores registran una incidencia importante en el tema; tal es el caso del Hospital Regional de Alta Especialidad de la Mujer de Villahermosa, Tabasco, que ocupa la sexta posición entre 711 centros estudiados. En términos similares, el caso del Hospital de la Mujer (clave CHSSA001796), localizado en la ciudad fronteriza de Juárez y segundo en importancia en todo el territorio nacional, permite reforzar la hipótesis del papel que el contexto local puede tener en la explicación de este fenómeno.
Discusión
El análisis realizado sobre la distribución geográfica de la incidencia del síndrome de dificultad respiratoria aporta información para identificar regiones específicas para la implementación de estrategias preventivas y de control, aspecto útil desde la perspectiva de la aplicación eficiente de los recursos con los que dispone el sistema de salud. Concretamente, se ubica la región de la frontera sur como un área de atención prioritaria.
Ante las implicaciones de padecimientos como el SDR y considerando la necesidad de promover comunidades saludables, la evidencia sugiere que es pertinente integrar determinantes como la ocurrencia de diabetes. Esta perspectiva, que retoma el contexto de las causas, es complementaria para explicar los fenómenos de salud pública y contribuye con los aportes de la perspectiva clínica individual mediante la propuesta de una visión multidisciplinaria que incorpora elementos sociales orientados a reducir las disparidades en salud.
Por su parte, los resultados del análisis exploratorio de datos con el modelo logístico son consistentes con las relaciones teóricas esperadas y permiten confirmar un escenario en el que la ausencia de atención prenatal se asocia de manera inversa con la posibilidad de desarrollar la condición SDR, un resultado que permite destacar la importancia del componente social en donde la población sin acceso a servicios de salud presenta mayores niveles de vulnerabilidad.
Por otro lado, la asociación entre la edad gestacional prematura y el incremento en las posibilidades de presentar el SDR se confirma de acuerdo con la relación documentada por otros estudios para México, como ( 24), además de los reportados en el contexto de Latinoamérica ( 27).
Así mismo, se documenta en el caso particular de los bebés del sexo masculino un OR: ,73; CI 95% .66-,74, lo que es consistente con los hallazgos pioneros reportados por ( 28), quienes demostraron por primera vez este vínculo. En el mismo sentido, el procedimiento cesárea se confirmó como un factor relevante (OR: 2,26; CI 95% 2,129-2,40), en línea con la evidencia de estudios clínicos recientes ( 26).
En suma, la evidencia encontrada en la fase de análisis exploratorio indica la consistencia de la base de datos seleccionada para el estudio, un aspecto metodológico importante que como punto de partida da soporte a la calidad de datos los analizados, los cuales son generados bajo un modelo que sigue estándares que permiten su comparación internacional y procesos homogéneos para todo el territorio nacional, tendencia acorde con los esfuerzos institucionales para la integración de sistemas de información sobre salud de algunos países de América Latina como Chile por medio del registro nacional de egresos hospitalarios del Departamento de Estadística e Información en Salud (DEIS).
En el caso de México, el Subsistema de Información sobre Nacimientos (SINAC) permite acceso público, lo que contribuye a su utilización en investigación aplicada a la solución de problemas de salud pública y con ello a reducir las desigualdades persistentes en esta área, una dimensión que teóricos contemporáneos sobre sistemas de información en salud como ( 29) identifican como necesaria para transitar de la información hacia la acción.
Por su parte, la estimación sobre la evolución temporal revela una perspectiva integral del comportamiento de casos por SDR en México y permite identificar qué entidades en la región frontera sur del país han tenido un incremento sostenido en la incidencia de casos por síndrome de dificultad respiratoria del recién nacido. El caso extremo se encuentra en Tabasco. Aunado a lo anterior, los resultados indican que la distribución espacial de mortalidad por diabetes tipo II ha experimentado una redirección territorial en la última década, desde los estados en la frontera norte como los principales centros en el desarrollo de este padecimiento, hacia entidades que tradicionalmente se consideraban como sitios de baja incidencia.
Así, el análisis que se llevó a cabo sobre la última década muestra que en México se registró una transición de la enfermedad hacia la población en el sur del país, región donde se concentra la mayor densidad de población indígena, un segmento demográfico caracterizado por elevados índices de pobreza y que al parecer no es inmune al cambio en los patrones de las expresiones en salud que tiene lugar en México. Esta transición geográfica sugiere un cambio estructural en las condiciones de salud de la población con amplias implicaciones para las comunidades de esta región, sin demeritar el impacto financiero que el tratamiento de esta epidemia supone para el sistema de salud.
Conclusiones
El trabajo constituye el primer esfuerzo por integrar la evidencia empírica sobre la distribución geográfica de los casos por síndrome de dificultad respiratoria del recién nacido en el contexto de los impactos colaterales por diabetes tipo II en México.
La inclusión de la perspectiva espacial, en conjunto con la dimensión temporal, aporta elementos para comprender mejor un padecimiento con implicaciones para el bienestar en nuestras comunidades y, al mismo tiempo, la evidencia generada constituye un insumo para el diseño de estrategias del manejo de este padecimiento. El análisis permite identificar áreas específicas para la dirección de estrategias focalizadas, en particular, se ubica la región frontera sur como una región de atención prioritaria para la implementación de medidas preventivas y el estado de Tabasco como una entidad de particular importancia.
Así mismo, la perspectiva multidisciplinar que ofrece la presente investigación es una apuesta por el logro de ángulos de análisis basados en evidencia empírica dirigidos a la construcción de esquemas de atención y monitoreo eficaces en materia de salud pública.
Referencias
Holme N, Chetcuti P. The pathophysiology of respiratory distress syndrome in neonates. Paediatr Child Health. 2012 Dec 1;22(12):507-12. doi:10.1016/j.paed.2012.09.001
Montan S, Arulkumaran S. Neonatal respiratory distress syndrome. The Lancet. 2006;367(9526):1878-9. doi: 10.1016/S0140-6736(06)68820-X.
Suprenant S, Coghlan MA. Respiratory distress in the newborn: An approach for the emergency care provider. Clin Pediatr Emerg Med. 2016;17(2):113-21. doi: 10.1016/j.cpem.2016.03.004
Imamura T, Ariga H, Kaneko M, Watanabe M, Shibukawa Y, Fukuda Y, et al. Neurodevelopmental outcomes of children with periventricular leukomalacia. Pediatr Neonatol. 2013;54(6):367-72. doi: 10.1016/j.pedneo.2013.04.006
Hegde SV, Greenberg B. Newborn respiratory distress: airway abnormalities. Neonatal Imaging - Part II. 2015;36(2):138-45. doi: 10.1053/j.sult.2015.01.00
Azad MB, Moyce BL, Guillemette L, Pascoe CD, Wicklow B, McGavock JM, et al. Diabetes in pregnancy and lung health in offspring: developmental origins of respiratory disease. Paediatr Respir Rev. 2017;21:19-26. doi: 10.1016/j.prrv.2016.08.007
Reuter S, Moser C, Baack M. Respiratory distress in the newborn. Pediatr Rev. 2014;35(10):417-29. doi: 10.1542/pir.35-10-417
Hibbard JU, Wilkins I, Sun L, Gregory K, Haberman S, Hoffman M, et al. Respiratory morbidity in Late preterm births. JAMA J Am Med Assoc. 2010;304(4):419-25. doi: 10.1001/jama.2010.1015.
Mahoney AD, Jain L. Respiratory disorders in moderately preterm, late preterm, and early term infants. Clin Perinatol. 2013;40(4):665-78. doi: 10.1016/j.clp.2013.07.004
Instituto Nacional de Salud Pública. Encuesta Nacional de Salud y Nutrición [internet]. 2015. Disponible en: https://www.ensanut.insp.mx/ensanut2016/index.php
Manzanares Rivera JL. Expenditure patterns and social determinants of type II diabetes epidemic in the Coahuila-Texas border. Papeles Poblac. 2016;22(89):255-80. Disponible en: https://www.rppoblacion.uaemex.mx/article/view/8273
Wilkinson R, Marmot M. Social determinants of health. The solid facts [internet]. Segunda edición. Copenhague: WHO; 2005. 31 p. Disponible en: https://www.euro.who.int/__data/assets/pdf_file/0005/98438/e81384.pdf
Stubbs W, Stubbs S. Hyperinsulinism, diabetes mellitus, and respiratory distress of the newborn: a common link? The Lancet. 1978;311(8059):308-9. Disponible en: https://www.ncbi.nlm.nih.gov/pubmed/75341
Colditz GA, Willett WC, Rotnitzky A, Manson JE. Weight gain as a risk factor for clinical diabetes mellitus in women. Ann Intern Med. 1995;122(7):481-6. Disponible en: https://www.ncbi.nlm.nih.gov/pubmed/7872581
Day C, Bailey CJ. Obesity in the pathogenesis of type 2 diabetes. Br J Diabetes Vasc Dis. 2011;11(2):55-61. doi: 10.1177/1474651411407418
Manzanares JL. Type 2 diabetes mortality at Mexican borders. Poblac Salud en Mesoamérica. 2017;14:1-19. doi: 10.15517/PSM.V14I2.27028
Krieger N. Epidemiology and the web of causation: Has anyone seen the spider? Soc Sci Med. 1994;39(7):887-903. Disponible en: https://www.ncbi.nlm.nih.gov/pubmed/7992123
Wilkinson RG. Deeper than “neoliberalism”. A reply to David Coburn. Soc Sci Med. 2000;51(7):997-1000. doi: 10.1016/S0277-9536(00)00079-4
World Health Organization (WHO). 2017, Ten years in public health 2007-2017. Ginebra: WHO Press.
Edwards MO, Kotecha SJ, Kotecha S. Respiratory distress of the term newborn infant. Paediatr Respir Rev. 2013;14(1):29-37. doi: 10.1016/j.prrv.2012.02.002
Davis RP, Mychaliska GB. Neonatal pulmonary physiology. Semin Pediatr Surg. 2013;22(4):179-84. doi: 10.1053/j.sempedsurg.2013.10.005
Morales-Barquet DA, Reyna-Ríos ER, Cordero-González G, Arreola-Ramírez G, Flores-Ortega J, Valencia-Contreras C, et al. Protocolo clínico de atención en el recién nacido con síndrome de dificultad respiratoria. Perinatol Reprod Humana. 2015;29(4):168-79. doi: 10.1016/j.rprh.2016.02.005
Fehlmann E, Tapia JL, Fernández R, Bancalari A, Fabres J, Apremont I, García-Zattera MJ, Grandi C, Ceriani Cernadas JM. Impacto del síndrome de dificultad respiratoria en recién nacidos de muy bajo peso de nacimiento: estudio multicéntrico sudamericano. Arch Argent Pediatría. 2010;108(5):393-400. Disponible en: https://www.scielo.org.ar/img/revistas/aap/v108n5/html/v108n5a04.htm
Castro W, Cruz Y, González G, Barrios Y. Factores de riesgo del Síndrome dificultad respiratoria de origen pulmonar en el recién nacido. Rev Cuba Enfermería. 2007;23(3):1-15. Disponible en: https://www.scielo.sld.cu/pdf/enf/v23n3/enf05307.pdf
Apgar J. Further observations on the newborn scoring system. Am J Dis Child. 1962;104(4):419-28. Disponible en: https://www.ncbi.nlm.nih.gov/pubmed/14013437
Djira GD, Schaarschmidt F, Fayissa B. Inferences for selected location quotients with applications to health outcomes. Geogr Anal. 2010;42(3):288-300. doi: 10.1111/j.1538-4632.2010.00794.x
Bricelj K, Tul N, Lucovnik M, Kronhauser-Cerar L, Steblovnik L, Verdenik I, et al. Neonatal respiratory morbidity in late-preterm births in pregnancies with and without gestational diabetes mellitus. J Matern Fetal Neonatal Med. 2017;30(4):377-9. doi: 10.3109/14767058.2016.1174208
Althabe F, Carroli G, Lede R, Belizán JM, Althabe OH. El parto pretérmino: detección de riesgos y tratamientos preventivos. Rev Panam Salud Publica. 1999;5(6):373-85. Disponible en: https://www.iris.paho.org/xmlui/handle/123456789/8930
Swyer PR, Levison H. The current status of the respiratory distress syndrome of the newly born. Can Med Assoc J. 1965;93(8):335-42. Disponible en: https://www.ncbi.nlm.nih.gov/pmc/articles/PMC1928762/
Notas
Notas de autor
a Autor de correspondencia. Correo electrónico: jlmanznares@colef.mx