Artículos
Análisis de eficiencia técnica de las unidades de gestión local del Instituto Nacional de Servicios Sociales para Jubilados y Pensionados en Argentina *
Technical efficiency analysis of the local management units of the National Institute of Social Services for Retirees and Pensioners in Argentina
Análise de eficiência das unidades de gestão local do Instituto Nacional de Serviços Sociais para Pensionistas e Aposentados em Argentina
Análisis de eficiencia técnica de las unidades de gestión local del Instituto Nacional de Servicios Sociales para Jubilados y Pensionados en Argentina *
Revista Gerencia y Políticas de Salud, vol. 19, pp. 1-17, 2020
Pontificia Universidad Javeriana
Recepción: 08 Octubre 2019
Aprobación: 28 Febrero 2020
Publicación: 10 Agosto 2020
Resumen: Objetivo: determinar cuáles Unidades de Gestión Local (UGL) del Instituto Nacional de Servicios Sociales para Jubilados y Pensionados (INSSJyP) se desempeñan con ineficiencia técnica y/o de escala, así como identificar las UGL de referencia que las unidades ineficientes deberían imitar. Métodos: mediante un análisis envolvente de datos con rendimientos variables se estimó la eficiencia técnica y de escala de las UGL, incluyendo 3 insumos (número de médicos de cabecera, número de puntos de vacunación y número de geriátricos) y 4 productos (número de consultas, número de recetas, número de vacunados contra la gripe y número de internados en geriátricos). Esta información fue obtenida de datos abiertos del INSSJyP. Resultados: se identificaron 14 unidades con eficiencia plena, 6 unidades con eficiencia técnica y 18 unidades ineficientes. Para cada una de estas últimas se identificó la unidad eficiente de referencia a la cual deberían imitar reduciendo entre un 2,55 y un 54,88% la cantidad de insumos y/o aumentando hasta un 204,3% la cantidad de productos. Conclusiones: el 47% de las UGL se desempeñan con ineficiencia técnica y de escala. Modificando la cantidad de insumos y/o aumentando la cantidad de productos podrían alcanzar la frontera de eficiencia. Sería recomendable explorar si factores tales como el tipo de contrato con los proveedores de servicios de salud o la densidad poblacional podrían estar causando tal ineficiencia.
Palabras clave: INSSJyP, Análisis Envolvente de Datos, eficiencia técnica.
Abstract: Objective: To determine which Local Management Units (UGL) of the National Institute of Social Services for Retirees and Pensioners (INSSJyP) perform with technical and/or scale inefficiency, as well as identify the reference UGLs to which each of the inefficient units should imitate. Methods: The technical and scale efficiency of the UGLs was estimated, using a data enveloped analysis with variable returns that includes 3 inputs (number of physicians, number of vaccination points and number of nursing homes) and 4 outputs (number of consultations, number of prescriptions, number of vaccinated against influenza and number of hospitalized in nursing homes). This information was obtained through open data from the INSSJyP. Results: It was found 14 units with full efficiency, 6 units with technical efficiency and 18 inefficient units. For each of the latter, the efficient reference unit was identified. The inefficient ones should imitate the reference unit by reducing the number of inputs between 2.55 and 54.88%, and/or increasing the number of outputs up to 204.3%. Conclusions: 47% of UGLs works with technical and scale inefficiency. By modifying the number of inputs and/or increasing the number of outputs, they could reach the efficiency frontier. Nonetheless, it would be advisable to explore whether factors such as the type of contract with health service providers and population density could be causing such inefficiency.
Keywords: INSSJyP, Data enveloped analysis, technical efficiency.
Resumo: Objetivo: determinar quais Unidades de Gestão Local (UGL)– do Instituto Nacional de Serviços Sociais para Pensionistas e Aposentados (INSSJyP) se desempenham com ineficiência técnica e/ou de escala, bem como identificar as UGL de referência que as unidades ineficientes deveriam imitar. Métodos: mediante uma análise por envoltória de dados com rendimentos variáveis estimou-se a eficiência técnica das UGL, incluindo 3 insumos (número de médicos gerais, número de pontos de vacinação e número de geriátricos) e 4 produtos (número de consultas, número de receitas, número de vacinados contra a gripe e número de internados em geriátricos). Esta informação foi obtida de dados abertos do INSSJyP. Resultados: identificaram-se 14 unidades com eficiência plena, 6 unidades com eficiência técnica e 18 unidades ineficientes. Para cada uma destas últimas se identificou a unidade eficiente de referência à qual deveriam imitar reduzindo entre um 2,55 e um 54,88% a quantidade de insumos e/ou incrementando até um 204,3% a quantidade de produtos. Conclusões: o 47% das UGL se desempenham com ineficiência técnica e de escala. Modificando a quantidade de insumos e/ou incrementando a quantidade de produtos poderiam atingir a fronteira de eficiência. Seria recomendável explorar se fatores tais como o tipo de contrato com os provedores de serviços de saúde ou a densidade populacional poderiam estar causando essa ineficiência.
Palavras-chave: INSSJyP, Análise por Envoltória de Dados, eficiência técnica.
Introducción
El Instituto Nacional de Servicios Sociales para Jubilados y Pensionados (en adelante INSSJyP) fue creado en 1971 con el objetivo de brindar “servicios médicos asistenciales destinados al fomento, protección y recuperación de la salud” ( 1) de los beneficiarios del sistema previsional argentino y de su grupo familiar primario. Sus características lo convirtieron en la única institución en el mundo comparable con Medicare en Estados Unidos ( 2), ya que su población cubierta está constituida en 77% por adultos mayores de 65 años ( 3).
La importancia del INSSJyP se ha mostrado en continuo aumento a lo largo de los años a causa del envejecimiento poblacional, en tanto los adultos mayores no solo han crecido en número a lo largo de los años sino también han visto incrementada su esperanza de vida. El envejecimiento poblacional está produciendo retos sin precedentes a los actores responsables de la elaboración de políticas, en general, y a los ciudadanos, en particular, pues exige el mantenimiento de los niveles de seguridad social y económica, así como también garantizar el acceso a los servicios de salud a este segmento poblacional.
En la década de 1970, el INSSJyP lanzó una campaña masiva de afiliación, y comenzó a proyectar su estructura nacional hasta llegar a contar en el año 1976 en cada provincia con una agencia de atención. Durante la década de 1980 se elevaron las fuentes de financiamiento del INSSJyP, argumentando que el envejecimiento poblacional y los crecientes costos sanitarios así lo requerían ( 4, 5).
Sin embargo, desde principios de la década de 1990, la preocupación por el uso eficiente de los recursos conllevó intervenciones del INSSJyP tendientes a: i) adecuar el gasto administrativo, ii) revisar las modalidades prestacionales y contractuales, iii) ordenar las prestaciones básicas y coberturas sociales, iv) racionalizar el gasto en prestaciones y servicios, v) adecuar el servicio de ambulancias, y vi) revisar los programas de prestaciones sociales para que cumplieran con “los principios de economicidad, eficiencia y eficacia desde el punto de vista social” ( 6). Dicha preocupación radicó en la brecha existente entre la disponibilidad de recursos del INSSJyP y la demanda de servicios por parte de sus afiliados, junto con la necesidad de garantizar la accesibilidad, oportunidad y calidad de los servicios.
Desde la década de 1990 se generalizó, en el ámbito académico mundial, el interés por evaluar la eficiencia en la provisión de servicios médicos destinados a adultos mayores. Para lograr dicho objetivo se desarrollaron estudios con diferentes metodologías de tipo cuantitativo. Los estudios de medida de eficiencia pueden clasificarse en análisis frontera y no frontera, según se construya explícitamente una frontera de eficiencia o no. El análisis de no frontera se focaliza en la obtención de indicadores parciales de determinadas dimensiones relevantes para los responsables políticos y gestores sanitarios (costos, productividad, calidad, etc.). En contraposición, el análisis de frontera se fundamenta en la teoría microeconómica tradicional y basa su estrategia metodológica en la construcción explícita de una función de producción para representar la relación entre múltiples insumos y productos ( 7).
Los enfoques utilizados para la estimación de fronteras de eficiencia pueden ser paramétricos o no paramétricos; donde los primeros asumen a priori una relación funcional específica entre los inputs y outputs ( 8); en cambio, las metodologías no paramétricas analizan la eficiencia de las unidades productivas sin especificar previamente ninguna forma funcional que represente las relaciones entre las variables analizadas. El Análisis de Envolvente de Datos (DEA, por sus siglas en inglés) constituye el método más aplicado en el ámbito no paramétrico y permite evaluar el desempeño de un conjunto de entidades, llamadas Unidades de Toma de Decisiones (DMU, por sus siglas en inglés), que convierten insumos en productos. DEA es una metodología dirigida a las fronteras y resulta particularmente útil para descubrir las relaciones de producción que permanecen ocultas a otras metodologías ( 9).
Es posible encontrar en la literatura un gran número de trabajos que aplican la metodología DEA para el análisis de la eficiencia en el desempeño de servicios de salud orientados a adultos mayores, tanto con un enfoque orientado a productos como orientado a insumos. La tabla A1 ( Anexo 1) resume los principales resultados de los artículos revisados. Aquellos autores que trabajan con un enfoque orientado a insumos tienen en cuenta que las unidades de decisión pueden controlar plenamente el insumo, pero no así el producto. Por otra parte, quienes prefieren un enfoque orientado a productos asumen que, dado el nivel de los insumos, debe buscarse el máximo incremento proporcional de los productos, permaneciendo dentro de la frontera de posibilidades de producción.
Los trabajos revisados consideran tanto rendimientos variables como constantes a escala y todos ellos seleccionan un número de DMU’s superior a 20. Autores como Ozcan y Cotter ( 10), Borge y Haraldsvik ( 11), Iparraguirre y Ma ( 12) y Hsiao y Hsiao ( 13), entre otros, utilizan el gasto realizado en servicios de atención para adultos mayores como variable insumo. Asimismo, Björkgren et al. ( 14), Wang y Chou ( 15), DeLellis y Ozcan ( 16), Carreras y García ( 17) y Luasa et al. ( 18), incorporan como variables insumo la cantidad de personal médico y no médico dedicado a la atención de los adultos mayores, así como el número de camas disponibles para el cuidado de los mismos. En cuanto a los productos se encuentra que es común utilizar como variables de este tipo al número de residentes de los centros de atención. Sin embargo, también se encuentra un gran número de trabajos que incorporan variables referidas a la calidad de los servicios de atención, por ejemplo: Wang y Chou ( 15) y Iparraguirre y Ma ( 12), entre otros.
El INSSJyP se encuentra dividido administrativamente en 38 Unidades de Gestión Local (en adelante UGL) distribuidas en todo el territorio argentino. Para la cobertura de servicios de salud, cada UGL contrata prestadores quienes serán responsables de la atención de pacientes. El objetivo general de este trabajo consiste en evaluar la eficiencia de los recursos contratados en cada UGL con base en su producción de servicios sanitarios. Como objetivos específicos se proponen: i) explorar si existen patrones de localización geográfica de las UGL eficientes e ineficientes, y ii) determinar la mejora (reducción input y/o incremento output) que deberían experimentar cada una de las unidades ineficientes para alcanzar la frontera de eficiencia. El fin último es colaborar con los tomadores de decisión a cargo de la gestión del INSSJyP para que cuenten con mayor información útil al momento de diseñar políticas que tiendan a la mejora del desempeño de las UGL.
Para cumplir con los objetivos se evalúa el desempeño de los médicos de cabecera, los puntos de vacunación y las instituciones geriátricas. Un médico de cabecera funciona como el nexo principal entre el paciente y el sistema de salud; es el responsable de realizar un primer diagnóstico, realizar las derivaciones correspondientes a especialistas y autorizar la provisión de medicamentos. Los puntos de vacunación consisten en establecimientos donde acuden los afiliados para la aplicación de vacunas indicadas por su médico de cabecera o previstas en el calendario de vacunación. En Argentina, la vacuna contra la influenza debe ser aplicada a toda la población de riesgo, en la cual se encuentran los mayores de 65 años. El 78% de los afiliados del INSSJyP son mayores de 65 años y, por ende, es relevante la evaluación del desempeño de los puntos de vacunación ( 3). En cuanto a las instituciones geriátricas se trata centros de atención carácter integral destinados al cuidado de los adultos mayores dependientes, entendiendo al cuidado como parte del proceso de salud- enfermedad.
Material y métodos
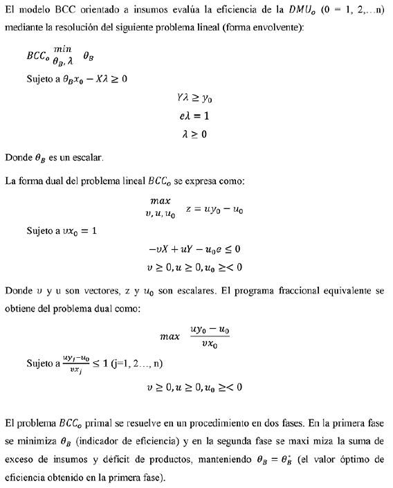
Mediante un DEA orientado a insumos con rendimientos variables ( 21), se estima la eficiencia técnica y de escala de 38 las UGL’s del INSSJyP utilizando tres insumos y cuatro productos. Siguiendo a Cooper et al. ( 22), la eficiencia técnica de una DMU puede descomponerse en eficiencia técnica pura y eficiencia de escala. Dicha descomposición permite identificar distintas fuentes de ineficiencia: i) aquella que es causada por una operación ineficiente (ineficiencia técnica pura), y aquella que es causada por condiciones de escala desventajosas (ineficiencia de escala). En tal sentido, suponer rendimientos variables a escala permite contemplar la posibilidad de que algunas DMU operen en una escala muy pequeña o muy grande y ello les impida posicionarse sobre la frontera de eficiencia construida a partir de suponer rendimientos constantes. En otras palabras, la variante DEA propuesta por Banker Charnes y Cooper (BCC) con rendimientos variables es más flexible que la propuesta originalmente por Charnes, Cooper y Rhodes (CCR) que impone rendimientos constantes. En el Anexo 2 se presenta formalmente el problema de optimización de la variante DEA BCC.
Como variables insumo se consideran: i) la cantidad de médicos de cabecera con contrato vigente en 2018, ii) la cantidad de puntos de vacunación registrados en 2018, iii) la cantidad de geriátricos registrados en 2019. Como variables producto se incluyen: i) la cantidad de pacientes atendidos en demanda espontánea y/ o turnos programados entre enero y septiembre de 2018, ii) la cantidad de recetas expedidas en 2018, iii) la cantidad de pacientes vacunados contra la gripe en 2018, y iv) la cantidad de pacientes internados en instituciones de bien público (IBP), residencias para adultos mayores (RAM) y/ o residencias para adultos mayores con asistencia de psicogeriatría (RAMP) en 2019. Un análisis descriptivo previo demuestra que la asociación entre cada insumo y cada producto, medida a través de un coeficiente de correlación lineal simple, es elevada, apoyando la decisión de su inclusión en el análisis.
En primer lugar, es necesario mencionar que el INSSJyP estipula la existencia de médicos de cabecera; los mismos son los responsables de prescribir medicamentos, indicar prácticas y estudios complementarios, ordenar interconsultas con otros especialistas y desarrollar acciones de prevención, protección y promoción de la salud. Asimismo, los médicos de cabecera disponen de la nómina de establecimientos o centros a los que pueden acudir los afiliados para las distintas prácticas (programadas o de demanda espontánea). Por este motivo, a mayor cantidad de médicos de cabecera con contrato vigente se espera que sea mayor la cantidad de pacientes atendidos y recetas expedidas.
Con respecto a la vacunación antigripal, en Argentina es obligatoria para las personas mayores de 65 años y se aplica de forma gratuita en los diferentes puntos de vacunación. El aumento de los puntos de vacunación y el acceso libre a los mismos contribuye a eliminar las barreras en el acceso a la utilización de servicios preventivos incrementando la cantidad de individuos vacunados ( 23).
Por último, las residencias para mayores son definidas por el Ministerio de Desarrollo Social ( 24) como centros de alojamiento y de convivencia que tienen una función sustituta del hogar familiar, ya sea de forma temporal o permanente, donde se presta a la persona mayor una atención integral que incluye servicio de alojamiento, cuidado personal, control y protección, atención geriátrica y rehabilitadora, atención psicológica, social, etc. Los afiliados al INSSJyP pueden acceder a servicios de residencia geriátrica propios de dicha institución, contratados o de bien público o privados sin fines de lucro. Cuanto mayor sea la cantidad de residencias geriátricas registradas y avaladas por el INSSJyP, mayor será la cantidad de afiliados internados en las mismas. En este sentido, el 15,9% de los adultos mayores de Argentina se encuentra en situación de dependencia y aún existe demanda no satisfecha ( 25).
A partir de los indicadores de eficiencia técnica y de escala obtenidos del análisis, se clasifican a las UGL’s en “unidades con plena eficiencia técnica y de escala”, “unidades con eficiencia técnica” y “unidades ineficientes”. Las UGL así clasificadas se representan geográficamente en un mapa de la República Argentina para detectar posibles patrones espaciales (ver figura 1).
Finalmente, centrando la atención en las unidades ineficientes, mediante la determinación de sus valores objetivos y observados, se procede a encontrar la mejora (reducción input y/o incremento output) que debería experimentar cada una de ellas para convertirse en eficientes. Dicha mejora se debe a un movimiento radial (derivado de la puntuación de eficiencia obtenida) o un movimiento holgura (derivado del desplazamiento a través de la propia frontera) ( 26). De esta forma, la mejora potencial es la suma del movimiento radial más el movimiento holgura. Siguiendo con este razonamiento es posible afirmar que para toda unidad ineficiente es factible encontrar un punto de proyección sobre la frontera eficiente que represente a una unidad eficiente ( 27).
Resultados
Las Gráficas A1 a A3 del Anexo 3 muestran la relación entre cada variable insumo y sus correspondientes variables de producto. En todos los casos se observa una relación lineal directa considerable entre cada par insumo-producto: el coeficiente de correlación lineal simple resulta en todos los casos superior al 0,85.
Al analizar la eficiencia parcial en la producción de cada producto se encontraría que Quilmes es la UGL más eficiente en la producción de consultas, San Luis es la UGL más eficiente en la producción de recetas, Santiago del Estero es la UGL más eficiente en vacunación y San Martín es la UGL más eficiente en internación 1.
Al evaluar la eficiencia global de las UGL en relación a las tres variables de insumo y a las cuatro variables de producto, se encontraron 14 UGL con plena eficiencia técnica y de escala, 6 UGL con eficiencia técnica pero no de escala y 18 UGL’s ineficientes. La figura 1 representa la distribución espacial de las UGL de acuerdo con su condición de eficiencia: i) técnica y de escala, ii) solo técnica e iii) ineficiencia técnica y de escala.

Las 14 UGL con plena eficiencia técnica y de escala son: Mendoza (UGL4), Capital Federal (UGL6), San Martin (UGL8), Mar del Plata (UGL11), Neuquén (UGL16), Chubut (UGL17), Santiago del Estero (UGL19), Formosa (UGL23), San Luis (UGL26), Río Negro (UGL27), Morón (UGL29), Luján (UGL32), San Justo (UGL35) y Quilmes (UGL37). Por otra parte, las 6 UGL que se desempeñan con eficiencia técnica pero no de escala son: Córdoba (UGL3) y Lanús (UGL10) (con rendimientos decrecientes) y La Pampa (UGL20), Catamarca (UGL24), Santa Cruz (UGL28) y Tierra del Fuego (UGL33) (con rendimientos crecientes). Finalmente, las 18 UGL que presentan ineficiencia técnica y de escala son: Tucumán (UGL1), Corrientes (UGL2), Rosario (UGL9), Salta (UGL12), Chaco (UGL13), Santa Fe (UGL15), Misiones (UGL18) y Junín (UGL31) (con rendimientos decrecientes) y Bahía Blanca (UGL5), La Plata (UGL7), Entre Ríos (UGL14), San Juan (UGL21), Jujuy (UGL22), La Rioja (UGL25), Azul (UGL30), Concordia (UGL34), Río Cuarto (UGL36) y Chivilcoy (UGL38) (con rendimientos crecientes). Si bien no se detecta un patrón geográfico claro, pareciera que la región patagónica goza de mejores indicadores de eficiencia que la región central y del norte.
Con relación a las unidades ineficientes la tabla 1 permite identificar las UGL eficientes que se constituyeron en DMU de referencia para las UGL ineficientes.

La tabla 2 presenta la mejora potencial (en porcentaje) que debería experimentar cada unidad de decisión ineficiente en sus inputs y outputs para situarse en la frontera y ser eficiente en el sentido de Pareto-Koopmans; es decir, cuando no se puede reducir ningún insumo o aumentar ningún producto sin aumentar o reducir otro insumo o producto respectivamente. Los resultados obtenidos permiten concluir que todas las UGL’s ineficientes deberían reducir sus insumos entre un 2,55% y 54,88% y algunas de ellas deberían además incrementar sus productos hasta 204,3% con el objetivo de alcanzar la frontera de eficiencia. Por dar un ejemplo, la UGL correspondiente a Bahía Blanca debería imitar a la UGL correspondiente a San Martín, reduciendo un 29,6% sus médicos de cabecera y sus puntos de vacunación y un 54,8% la cantidad de geriátricos, o bien aumentar un 94,9% la cantidad de consultas atendidas y un 15,9% la cantidad de internaciones en geriátricos. Naturalmente, este análisis debiera complementarse con otros que tengan en cuenta qué alternativas resultan más equitativas y convenientes desde el punto de vista de la salud, pues desde la perspectiva de los tomadores de decisión podría resultar conveniente incentivar las consultas con los médicos generalistas que promueven la prevención y evitan la ulterior internación, antes que recortar recursos destinados a contratar médicos de cabecera.

Discusión
El INSSJyP fue creado en la Argentina en la década de 1970 y es una de las pocas instituciones en el mundo comparable con Medicare debido a que su población objetivo está compuesta en gran medida por adultos mayores. Luego de expandirse durante la década de 1980, la preocupación de los tomadores de decisión viró hacia el uso eficiente de los recursos, tendencia que también se verificó en el ámbito académico mundial. Dan cuenta de ello numerosos trabajos que evalúan la eficiencia de instituciones destinadas a la provisión de servicios de salud para adultos mayores. Una de las técnicas más utilizadas para evaluar la eficiencia de este tipo de instituciones es la metodología DEA, la cual permite considerar variables insumo y variables producto sin asumir una forma funcional de la función de producción subyacente.
En este trabajo se efectuó un análisis DEA incorporando tres insumos (número de médicos de cabecera, número de puntos de vacunación y número de geriátricos) y cuatro productos (número de consultas, número de recetas, número de vacunados contra la gripe y número de internados en instituciones geriátricas).
El método propuesto en este trabajo no pretende ser considerado como la única herramienta a ser tenida en cuenta para la evaluación de la eficiencia de las unidades consideradas. Sin embargo, la dificultad para establecer una función de producción vinculada a la provisión de servicios de salud para adultos mayores que combine inputs y outputs en una agregación con valor económico, hace necesaria la utilización de métodos no paramétricos para evaluar la eficiencia en este sector. Se espera que los resultados de este análisis sean de utilidad al momento de decidir dónde invertir mayores recursos en “variables insumo” y dónde no, así como dónde convendría invertir esfuerzos en promover la cantidad de productos obtenidos.
Se encontró que 14 UGL’s (37%) se desempeñan con plena eficiencia técnica y de escala, 6 UGL’s (16%) se desempeñan con eficiencia técnica pero no de escala y las restantes 18 UGL’s (47%) se desempeñan con ineficiencia técnica y de escala.
Las UGL’s ubicadas en el área metropolitana de Buenos Aires (en adelante AMBA), el Gran Córdoba y el Gran Mendoza se encuentran operando bajo eficiencia técnica. Una posible explicación de este resultado es la existencia de características territoriales y sociales que generan barreras al acceso a servicios de salud en el resto del país. El acceso efectivo de la población a los servicios de salud depende tanto de la disponibilidad de prestadores como de su localización y la disposición de los pacientes a hacer uso de los mismos ( 28). El 32% de la población argentina se concentra en el AMBA que ocupa el 0,13% de la superficie total del país ( 29). Asimismo, el Gran Córdoba y el Gran Mendoza son, respectivamente, el segundo y cuarto aglomerado con mayor cantidad de habitantes del país. A medida que la población se aleja de la ciudad de Buenos Aires disminuyen los niveles de concentración y se observan peores indicadores socio-económicos, sobre todo en la población rural ( 30).
Asimismo, los profesionales de la salud tienden a establecerse en los grandes centros urbanos donde la posibilidad de capacitación profesional es mayor y las condiciones laborales son mejores ( 31). De acuerdo con el último censo nacional de población, el 40% de los recursos humanos estaban situados en el AMBA en 2010. La UGL correspondiente a Catamarca, que también opera bajo eficiencia técnica, tiene una oferta de recursos humanos que es proporcionalmente similar al AMBA, siendo la provincia con más profesionales por habitante luego de la Ciudad de Buenos Aires. Se ha encontrado evidencia de que la ubicación geográfica de los prestadores médicos constituye una importante barrera al acceso. Costos indirectos como el costo de transporte y el tiempo del traslado disminuyen la probabilidad de que los potenciales pacientes accedan a servicios de salud ( 32- 34).
También se observa que las UGL’s ubicadas en la zona patagónica, al sur del país, operan bajo eficiencia técnica y/ o de escala. Este patrón puede ser explicado por los incentivos establecidos por el INSSJyP en las condiciones de contratación que tienen por objetivo contemplar la dispersión poblacional y los mayores costos de vida que experimentan algunos distritos. En tal sentido, el INSSJyP incorpora dentro de sus condiciones de contratación incentivos económicos que potencian la oferta de servicios en las regiones desfavorecidas. En el caso de los médicos de cabecera, el importe que percibe cada profesional por consulta es un 20% mayor al establecido si corresponde a una zona rural –población inferior a los 4.000 habitantes ( 35)–. Y por cada paciente asignado el profesional percibe un pago mensual 20% superior al establecido si atiende en la zona patagónica ( 36). Para los servicios geriátricos, el precio de internación por paciente es un 20% superior si se produce en la zona patagónica, con la excepción de Tierra del Fuego en cuyo caso es un 40% mayor a la tarifa habitual ( 37).
El AMBA y la Zona patagónica contienen la totalidad de sus UGL’s operando bajo eficiencia plena o técnica. En el caso del AMBA las causas pueden estar en la mayor disponibilidad de recursos humanos e infraestructura existente producto de economías de aglomeración. En el caso de la Zona Patagónica los niveles de eficiencia detectados pueden tener origen en los incentivos económicos implementados por el INSSJyP que benefician a la oferta de servicios en esta región del país. Sería relevante evaluar la implementación de esquemas similares en otras zonas del país que presenten baja densidad poblacional y escasa oferta de servicios sanitarios.
Las características de los rendimientos señalan potenciales ganancias de eficiencia a través de modificaciones en el tamaño de una UGL. En este sentido, se puede destacar que las UGL’s de Córdoba y Rosario, las cuales concentran la mayor cantidad de médicos de cabecera y puntos de vacunación, operan bajo ineficiencia de escala. El análisis realizado indica que la producción de servicios sanitarios funcionaría de forma eficiente si se dividiera cada UGL en unidades más pequeñas. De forma análoga, se detectaron UGL´s de menor tamaño en las que existe ineficiencia de escala con rendimientos crecientes. Sin embargo, en estos casos, la causa del funcionamiento sub-óptimo puede tener origen en dispersiones altas de la población. Estos resultados difieren de los encontrados para Finlandia ( 14) en donde se observa que las unidades de mayor tamaño operan de forma más eficiente que las más pequeñas. Asimismo, se indica que las mencionadas variaciones en la eficiencia entre unidades pueden mejorarse a partir de una mejor gestión y asignación de los recursos.
Si bien los resultados obtenidos en la tabla 2 permiten concluir que todas las UGL’s ineficientes deberían reducir sus insumos entre un 2,55% y un 54,88% para alcanzar la frontera de eficiencia, es necesario tener en cuenta que modificar el número de prestadores no es un proceso flexible. Sin embargo, los cambios en la dotación de factores señalados, constituyen un indicador para el gestor de salud sobre los sectores en los que debe focalizar su tarea. Es importante conocer con exhaustividad las características propias del funcionamiento de cada UGL ineficiente antes de tomar cualquier decisión, pues podrían detectarse factores que afecten tal ineficiencia e intentar revertirlos. Por otra parte, la recomendación a algunas de estas UGL de elevar la producción podría estar limitada por el perfil epidemiológico de los afiliados de cada región.
Dentro de las limitaciones del estudio se puede considerar la dificultad en la obtención de la información para determinar los inputs y los outputs para la construcción del modelo, ya que solo se contó con la información disponible en datos abiertos del INSSJyP. Esta limitación también fue señalada por Hsiao y Hsiao ( 13) –para el caso de Taiwán– quienes resaltaron la necesidad de contar con datos estadísticos detallados y actualizados que permitan la comparación conveniente y en tiempo real por parte de los tomadores de decisión.
En síntesis, puede afirmarse que los resultados encontrados constituyen insumos importantes a ser tenidos en cuenta por las instancias gubernamentales en Argentina para el mejoramiento de las instituciones destinadas a la provisión de servicios para adultos mayores.
Agradecimientos
Se agradece la colaboración de los gestores de la UGL 5 correspondiente a Bahía Blanca por aclarar las dudas de los autores respecto a la información disponible en datos abiertos del INSSJyP. Proyecto de investigación: “Estudio y aplicación de métodos cuantitativos para el monitoreo, evaluación y análisis de desempeño de servicios hospitalarios y comunitarios en Argentina”. Código: 24/L106. Entidad financiadora: Universidad Nacional del Sur. Fecha de vigencia: desde 01/01/2018 hasta 31/12/2019
Referencias
Ley 19.032. Boletín Oficial de la República Argentina N° 22.184, 28 de mayo de 1971. Buenos Aires: República Argentina.
Lloyd-Sherlock P. Financing health services for pensioners in Argentina: A salutary tale. Int J Soc Welfare. 2003;12: 24-30. https://doi.org/10.1111/1468-2397.00008C
Instituto Nacional de Servicios Sociales para Jubilados y Pensionados. Datos abiertos; 2019. Disponible en: https://datos.pami.org.ar/
Ley 22.245. Boletín Oficial de la República Argentina N° 24.451, 3 de julio de 1980. Buenos Aires: República Argentina.
Golbert L. El envejecimiento de la población y la seguridad social. Boletín informativo Techint N° 251; 1988.
Decreto 1508/91. Boletín Oficial de la República Argentina N° 27.195, 12 de agosto de 1991. Buenos Aires: República Argentina.
Martín JJ, López del Amo MP. La medida de la eficiencia en las organizaciones sanitarias. Presupuesto y gasto público. 2007;49(2007): 139-161. https://www.ief.es/docs/destacados/publicaciones/revistas/pgp/49_medidaEficiencia.pdf
Herrera P, Francke P. Análisis de la eficiencia del gasto municipal y de sus determinantes. Economía. 2009;32(63): 115-121. https://www.researchgate.net/publication/46532022_Analisis_de_la_eficiencia_del_gasto_municipal_y_de_sus_determinantes
Cooper W, Seiford L, Zhu J. Data envelopment analysis: History, models, and interpretations. In: Handbook on data envelopment analysis. Boston, MA: Springer; 2011. p.1-39.
Ozcan Y, Cotter J. An assessment of efficiency of area agencies on aging in Virginia through data envelopment analysis. Gerontologist. 1994;34(3): 363-370. https://doi-org.eres.qnl.qa/10.1093/geront/34.3.363.
Borge L, Haraldsvik M. Efficiency potential and determinants of efficiency: an analysis of the care for the elderly sector in Norway. Internat Tax Public Financ. 2009;16(4): 468-486. https://doi.org/10.1007/s10797-009-9110-7
Iparraguirre JL, Ma R. Efficiency in the provision of social care for older people. A three-stage data envelopment analysis using self-reported quality of life. Socio-Econ Plan Sci. 2015;49: 33-46. https://doi.org/10.1016/j.seps.2014.10.001
Hsiao S, Hsiao L. Application of Data Envelopment analysis to evaluating elderly social welfare performance. Revista de Cercetare si Interventie Sociala. 2015;48: 69-82. https://www.rcis.ro/images/documente/rcis48_07.pdf
Björkgren MA, Häkkinen U, Linna M. Measuring efficiency of long-term care units in Finland. Health Care Manag Sci. 2001;4(3): 193-200. https://link.springer.com/article/10.1023/A:1011444815466
Wang YH, Chou LF. The efficiency of nursing homes in Taiwan: An empirical study using data envelopment analysis. Fu Jen Manag Rev (輔仁管理評論). 2005;12(1): 167-194. http://www.airitilibrary.com/Publication/alPublicationJournal?PublicationID=10254412
DeLellis NO, Ozcan YA. Quality outcomes among efficient and inefficient nursing homes: A national study. Health Care Manag Rev. 2013;38(2): 156-165. https://doi.org/10.1097/hmr.0b013e31824bec38
Carreras M., García LI. La eficiencia de las residencias de mayores: Propuesta de medición y resultados en la provincia de Zaragoza. Atlantic Rev Econ. 2016;1: 3-28. https://zaguan.unizar.es/record/64505/files/texto_completo.pdf
Luasa SN, Dineen D, Zieba M. Technical and scale efficiency in public and private Irish nursing homes–a bootstrap DEA approach. Health Care Manag Sci. 2018;21(3): 326-347. https://link.springer.com/article/10.1007/s10729-016-9389-8
Kooreman P. Nursing home care in The Netherlands: a nonparametric efficiency analysis. J Health Econ. 1994;13(3): 301-316. https://doi.org/10.1016/0167-6296(94)90029-9
Garavaglia G, Lettieri E, Agasisti T, Lopez S. Efficiency and quality of care in nursing homes: an Italian case study. Health Care Manag Sci. 2011;14(1): 22-35. https://link.springer.com/article/10.1007/s10729-010-9139-2
Banker R, Charnes A, Cooper W. Some models for estimating technical and scale inefficiencies in Data Envelopment Analysis. Manage Sci. 1984;30(9): 1078-1092. https://doi.org/10.1287/mnsc.30.9.1078
Cooper W, Seiford L, Tone K. Data envelopment analysis: a comprehensive text with models, applications, references and DEA-solver software. 2 nd ed. Springer, New York: Sage Publications; 2007.
Sarriá A, Timoner, J. Determinantes de la vacunación de la gripe en personas mayores de 65 años. Revista española de salud pública. 2002;76: 17-26. https://www.scielosp.org/article/resp/2002.v76n1/17-26/
Ministerio de Desarrollo Social, Secretaría de niñez, adolescencia y familia. Dirección Nacional de Políticas para el Adulto Mayor. (2006) Informe sobre la situación, necesidades y demandas de las personas mayores. Argentina. En: OISS, Situación, necesidades y demandas de las personas mayores en los países del Cono Sur. Apuntes para un diagnóstico. Proyecto sobre personas mayores, dependencia y servicios sociales en los países del Cono Sur; 2006.
OISS Organización Iberoamericana de Seguridad Social. II informe del Observatorio Iberoamericano sobre adultos mayores. Programa Iberoamericano de Cooperación sobre la situación de los Adultos Mayores en la Región, 2012-2014; 2013.
Villarreal F, Tohmé, F. Análisis envolvente de datos. Un caso de estudio para una universidad argentina. Estudios gerenciales. 2017;33(144): 302-308. https://doi.org/10.1016/j.estger.2017.06.004
Coll V, Blasco O. Evaluación de la eficiencia mediante el análisis envolvente de datos; 2006. http://www.eumed.net/libros/2006c/197.
Tanahashi T. Health service coverage and its evaluation. Bulletin of the World Health organization. 1978;56(2): 295-303. https://www.ncbi.nlm.nih.gov/pmc/articles/PMC2395571/
Instituto Geográfico Nacional; 2019. Disponible en: http://www.ign.gob.ar/NuestrasActividades/Geografia/DatosArgentina/DivisionPolitica
Velazquez GA. Geografía y bienestar: situación local, regional y global de la argentina luego del censo de 2001. Buenos Aires: Eudeba; 2008.
Abramzón M. Argentina: recursos humanos en salud en 2004. Buenos Aires: Organización Panamericana de la Salud; 2005.
Goodridge D, Lawson J, Rennie D, Marciniuk D. Rural/urban differences in health care utilization and place of death for persons with respiratory illness in the last year of life. Rural Remote Health. 2010;10(2): 1349. https://www.ncbi.nlm.nih.gov/pubmed/20438281
Seidel J, Beck C, Pocobelli G, Lemaire J, Bugar J, Quan H, Ghali W. Location of residence associated with the likelihood of patient visit to the preoperative assessment clinic. BMC Health Serv Res. 2006;6(1): 13. https://doi.org/10.1186/1472-6963-6-13
Wellstood K, Wilson K, Eyles J. ‘Reasonable access’ to primary care: Assessing the role of individual and system characteristics. Health & Place. 2006;12(2): 121-130. https://doi.org/10.1016/j.healthplace.2004.10.010
Resolución N° 1.124. Boletín Oficial del Instituto de Servicios Sociales para Jubilados y Pensionados, 23 de septiembre de 2008. Buenos Aires: INSSJP.
Resolución N° 1.895. Boletín Oficial del Instituto de Servicios Sociales para Jubilados y Pensionados, 26 de octubre de 2016. Buenos Aires: INSSJP.
Resolución N° 2.408. Boletín Oficial del Instituto de Servicios Sociales para Jubilados y Pensionados, 28 de diciembre de 2016. Buenos Aires: INSSJP.
Anexos
Anexo 1

Anexo 2

Anexo 3



Notas
Notas de autor
a Autora de correspondencia. E-mail: gisela.gonzalez225@gmail.com