Entrenamiento deportivo
Relación entre capacidad de salto y rendimiento en ciclismo de BMX
Relación entre capacidad de salto y rendimiento en ciclismo de BMX
Apunts Educación Física y Deportes, vol. 36, núm. 140, pp. 37-43, 2020
Institut Nacional d'Educació Física de Catalunya

Recepción: 12 Abril 2019
Aprobación: 03 Julio 2019
Resumen: El objetivo de este trabajo fue valorar la relación existente entre el resultado obtenido en diferentes test de salto vertical y la mejor marca registrada durante una prueba de BMX (Bicycle Moto-Cross), y el rendimiento del corredor. Para ello, participaron en este estudio 10 corredores: 5 considerados grupo élite (GE) (edad: 18.8 ± 3.7 años, peso: 68.4 ± 8.5 kg, talla: 174 ± 9 cm y experiencia previa en la práctica de BMX: 8 ± 3.8 años), y 5 considerados como grupo recreativo (GR) (edad: 19,8 ± 4.8 años, peso: 69.2 ± 11.7 kg, talla: 170 ± 9 cm, experiencia previa en BMX: 4.2 ± 1.3 años). La capacidad de salto vertical fue obtenida mediante el protocolo de Bosco, o sea salto vertical sin contramovimiento (JS), salto vertical con contramovimiento (CMJ), salto con caída (DJ) y saltos repetidos (RJ) y se determinó el tiempo en carrera dentro de un circuito de BMX. Los resultados indican la existencia de una relación directa entre el tiempo empleado en completar el circuito y la altura de salto alcanzada en SJ (r : –.801; p: .017), CMJ (r : –.798; p: .018) y DJ (r : –.782; p: .022), lo que sugiere que la valoración de la capacidad de salto mediante el test de Bosco puede resultar una herramienta interesante para la valoración del rendimiento en BMX.
Palabras clave: BMX, test de salto, rendimiento, ciclismo, potencia.
Introducción
El Bycicle Motor-Cross (BMX), considerado deporte olímpico desde Beijing 2008, es una especialidad deportiva en la que un grupo de ocho corredores (riders) compiten entre sí en un circuito de longitud variable (200-400 m). Se considera que el primer corredor que traspasa la línea de meta es el ganador de la carrera o manga (Rylands et al., 2013). Las competiciones constan de cuatro mangas clasificatorias en las que los cuatro pilotos más rápidos se clasifican para la siguiente carrera, determinándose bajo este formato de competición una final con los mejores pilotos de las cuatro anteriores rondas. El período de recuperación entre mangas es de 30 minutos y es establecido por la normativa (Mateo et al., 2011).
Por la duración de las competiciones, entre 30 y 45 segundos, y el tipo de esfuerzo realizado, intensidad máxima, el BMX es considerado como un deporte de resistencia a la fuerza explosiva (Zabala et al., 2009). Las características de los recorridos y la disposición de la salida en pendiente descendente provocan que la capacidad de aceleración sobre la bicicleta, que requiere de altos niveles de potencia, resulte fundamental en los primeros metros de la carrera (Cowell et al., 2012; Mateo et al., 2011) y que la complejidad técnica para adaptarse a cada parte del circuito sea muy elevada (Cowell et al., 2012). Por otro lado, se ha sugerido que la aceleración inicial alcanzada por el corredor condiciona enormemente el resultado final de la competición (Herman et al., 2009). Todo ello, parece indicar que las demandas metabólicas se orientan hacia la glucólisis anaeróbica y la vía de fosfágenos (Barbany, 2018), principales responsables del mantenimiento de los niveles de potencia y de velocidad (Zabala et al., 2008), registrándose concentraciones sanguíneas de lactato entorno a los 8 mMol/l de media y valores máximos de 18.6 mMol/l (Louis et al., 2013; Zabala et al., 2009). Además, la glicólisis aeróbica juega un papel fundamental ante la necesidad de repetir esfuerzos de alta intensidad, tanto dentro de la misma manga como entre ellas, condicionando enormemente la capacidad de recuperación del corredor (Louis et al., 2013).
Asimismo, en este deporte la individualización de la carga de entrenamiento resulta primordial para la monitorización de la fatiga, el control de las adaptaciones y la optimización del rendimiento (Capostagno et al., 2014). Para ello, la realización periódica de diferentes valoraciones físicas permitirá conocer el estado de forma del deportista y minimizará el riesgo de padecer lesiones (Lamberts et al., 2010). La selección de una batería de pruebas para la valoración de diferentes parámetros del rendimiento resultará fundamental y dependerá de diversos factores como la duración del esfuerzo a analizar, la intensidad a la que se realiza la especialidad deportiva, el tipo de musculatura implicada en los patrones de movimiento y el momento de la temporada en el que este se realice.
En este sentido, se han utilizado diversos test para valorar el rendimiento en BMX, tanto dentro del laboratorio como en la propia pista de competición. Entre todos ellos, destaca por su elevada fiabilidad, especificidad y bajo coste, la valoración de la capacidad de salto, siendo utilizado como forma de valoración del rendimiento, tanto en corredores de diferentes niveles competitivos (profesional y amateur) (Babault et al., 2018), como en corredores noveles (Ramírez-Vélez et al., 2017) o másters (Del Vecchio et al., 2017). Aunque la utilización de los test de salto, como metodología para la valoración del rendimiento en corredores de BMX, está ampliamente aceptada (Bertucci y Hourde, 2011), el nivel de relación existente entre estos test y el rendimiento en competición se ha observado diferente en función del tipo de prueba, distancia recorrida y nivel del deportista. Así, por ejemplo, Babault et al. (2018) no hallaron correlaciones entre la máxima altura alcanzada en un salto vertical con contra movimiento (CMJ) y el tiempo empleado en una contrarreloj (r: –.25; p: .55), mientras que Paquet et al. (2006) observaron como la máxima potencia generada en un test de salto podía explicar el 60 % de la potencia media generada en el test de Wingate. Pese a estos resultados, no existen estudios en los que se haya analizado la relación existente entre los resultados obtenidos en diferentes tipos de salto y la mejor marca registrada en circuito.
Por todo ello, el objetivo principal de este estudio es valorar el grado de relación existente entre el resultado obtenido en diferentes tipos de salto vertical y la mejor marca registrada durante una prueba de BMX en función del nivel del corredor.
Metodología
Participantes
Participaron en este estudio 10 corredores de BMX; 5 considerados como grupo élite (GE) (edad: 18.8 ± 3.7 años, peso: 68.4 ± 8.5 kg, talla: 174 ± 9 cm y experiencia previa en la práctica del BMX: 8 ± 3.7 años) y 5 considerados como grupo recreativo (GR) (edad: 19.8 ± 4.8 años, peso: 69.2 ± 11.7 kg, talla: 170 ± 9 cm, y experiencia previa en BMX: 4.2 ± 1.3 años) (tabla 1).

Los criterios de inclusión para la configuración de la muestra fueron: 1) Para el GE: 1.a) estar dentro de los 20 mejores ciclistas del ranking mundial del 2018 (publicado por la Federación Internacional de Ciclismo); 1.b) no haber padecido una lesión en los últimos seis meses que pudiese alterar la toma de datos; 1.c) tener una experiencia mínima de por lo menos dos años de trabajo de fuerza bajo la supervisión de un preparador físico. 2) Para el GR, los citeriores de inclusión fueron: 2.a) haber disputado por lo menos tres carreras de nivel nacional durante el año en curso, 2.b) no haber padecido una lesión en los últimos seis meses que pudiese alterar la toma de datos; 2.c) haber realizado trabajo de fuerza en el último año de manera autónoma. Se determinó como criterio de exclusión para ambos grupos: A) haber sufrido cirugía previa en los 12 meses previos a la realización de las pruebas, y, B) padecer cualquier dolor en la extremidad inferior o en el tronco en el momento de la realización del estudio.
Todos los participantes fueron informados verbalmente y por escrito sobre los objetivos de este trabajo, así como sobre los procedimientos relacionados con la recogida de datos, además de los beneficios y posibles riesgos que pudieran derivarse de su participación. Este estudio fue elaborado siguiendo las recomendaciones éticas realizadas por Harriss y Atkinson (2015) y diseñado de acuerdo con la última versión de la Declaración de Helsinki (World Medical Association, 2013). El protocolo de este estudio fue previamente aprobado por el Comité de Ética de Aragón (ref. Nº 07/2019).
Proceso experimental
La recogida de datos fue realizada en dos sesiones de registro diferentes, con una separación mínima entre ellas de 48 horas y de forma cegada por un investigador que previamente no conocía a los participantes; ninguno de ellos realizó esfuerzo máximo en las 24 horas previas a la realización de los test.
En la primera sesión, todos los participantes rellenaron un cuestionario individual donde se recogió información personal sobre los años de práctica, las lesiones sufridas en el pasado y los resultados obtenidos en competición. Los participantes fueron pesados y tallados con una báscula y tallímetro de medición de la marca SECA© (precisión de 1 mm para la altura y de 0.1 kg para el peso). Seguidamente, todos ellos llevaron a cabo un calentamiento estandarizado consistente en pedalear en un cicloergómetro durante 10 min a 50 rpm y a una intensidad entre el 50 %-63 % de la frecuencia cardiaca máxima (McGowan et al., 2015; Yang et al., 2017). A continuación, se realizó el protocolo de saltos verticales descrito por Bosco et al. (1983) y consistente en 3 repeticiones para cada una de las pruebas de SJ, CMJ, DJ (desde una altura de 40 cm) y una para el test de saltos repetidos durante 30 segundos (RJ). La recuperación entre cada una de las repeticiones de cada test y entre distintos test fue de 3 y 5 minutos, respectivamente. Además, se determinó la altura media de los 3 intentos (SJ, CMJ y DJ). Para el cálculo del Índice de Fatiga (IF) se obtuvo la media de los 4 primeros (Hmean_4) y 4 últimos saltos (Hmean_end4j) realizados en el test de RJ y se aplicó la ecuación
IF:[(Hmean_4- Hmean_end4j)/ Hmean_4]*100 (Čular et al., 2018).
Mientras que el Índice de Elasticidad (IE) se obtuvo a partir de la ecuación
IE:[(altura de salto CMJ-altura salto SJ)]*100(Bosco et al., 1983).
Todos los participantes fueron animados verbalmente con la intención de que estos obtuviesen el máximo resultado y se aleatorizó la realización de los diferentes tipos de saltos, con la excepción del RJ que se realizó en último lugar, con el objetivo de evitar que la fatiga acumulada pudiese influir sobre el resto de variables.
En la segunda sesión de valoración, se registró la mejor marca en circuito en las instalaciones del circuito de BMX Bike Park de Vila-sana, de Lleida (E) (figura 1). Este circuito consta de una distancia de 400 metros de longitud con rampa de salida de 8 metros y fue homologado oficialmente por la Unión Ciclista Internacional (UCI) en 2009. Todos los participantes estaban familiarizados con el recorrido ya que habían entrenado o competido en él en diversas ocasiones. Se realizó un calentamiento previo a la toma de tiempos en carrera consistente en pedalear 5 min en el circuito a un ritmo entre el 50 %-60 % de la intensidad máxima percibida. Posteriormente, se realizaron 2 vueltas completas a una intensidad del 80-90 % de la intensidad máxima percibida. Se determinó una recuperación de 5 min entre bloques de calentamiento y posteriormente se tomó el tiempo en carrera al 100 % para cada corredor de manera individual. Antes de efectuar las valoraciones, se solicitó a todos los participantes de que no consumieran ningún tipo de comida o bebida durante los 90 minutos previos al inicio de la prueba. No se permitió realizar esfuerzo físico 24 horas antes al inicio de la toma de datos.

Toma de datos
Para la valoración del tiempo de realización de la prueba se utilizaron 2 fotocélulas de la marca ARTEK® PNP (Proyectos de iluminación técnica avanzada, SL, España) (tiempo de respuesta < 0.5 ms a 1 kHz), que fueron colocadas al inicio y al final del circuito. Con el fin de evitar falsas activaciones, la altura de la primera fotocélula (zona de salida) fue ajustada de modo que pudiese ser conectada al abrirse la puerta de inicio, mientras que la segunda fotocélula se colocó a la altura del eje de giro de la rueda delantera. Todo el sistema cerrado de medición fue sincronizado con un sistema de control de tiempo Voice Box System and the starting Lights de la firma Daktronics® (Zabala et al., 2009).
En relación con la capacidad de salto, esta fue valorada mediante una plataforma de contactos de la marca Chronojump Boscosystem® (29.6 x 21 cm), conectada en serie a un microcontrolador electrónico Chronopic. La recogida de datos se realizado a través del software Chronojump 1.8.1. Ambas herramientas han sido validadas previamente por De Blas et al. (2012).
Análisis estadístico
En primer lugar, se verificaron los supuestos de normalidad mediante el trazo de histogramas y la prueba de Shapiro-Wilks. Seguidamente, se calcularon la media, la desviación estándar y el rango [mín. – máx.] para cada una de las variables analizadas. Los intervalos de predicción se calcularon con una confianza del 95 % y las diferencias entre grupos se evaluaron utilizando la comparación de medidas simples t-test. Las correlaciones entre la marca de cada corredor y el valor obtenido en cada uno de los test de salto fueron calculadas mediante el coeficiente de correlación de Pearson. En todos los test se consideraron diferencias estadísticamente significativas cuando p < .05. Todos los análisis fueron realizados en R (R Development Core Team, 2008).
Resultados
No se observaron diferencias significativas entre la edad de los participantes, el peso o la altura. Sin embargo, los años de experiencia previa en la práctica del BMX fueron significativamente inferiores en el GR respecto al GE (IC95 %: [–10.41, –1.59]; t(4): –3.67; p: .019).
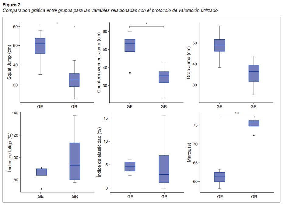
En relación con los diferentes tipos de salto, el GR obtuvo alturas significativamente más bajas que el GE con una diferencia de IC95 %: [-31.83, –0.84] cm (t(6): –2.6; p: .042) en el salto SJ. Del mismo modo, el CMJ fue significativamente menor en el GR (IC95 %: [–32.65, –0.90] cm; t(6): –2.6; p: .041), mientras que el tiempo de carrera fue mayor (IC95 %: [10.39, 17.65] segundos; t(6): 9.52; p < .001). Además, no se obtuvieron diferencias significativas entre grupos para las variables DJ (t(6): 9.52; p: .06), índice de fatiga obtenido en el RJ (t(4): 1.04; p: .364) e índice elástico (t(4): 0.20; p: .852). La comparativa entre los diferentes valores analizados puede ser consultada en la tabla 2 y en la figura 2.


La relación existente entre las diferentes variables de salto, los tiempos obtenidos en carrera y el nivel del corredor aparecen descritos en la tabla 3. El tiempo en carrera correlacionó negativamente con el valor obtenido para el SJ (R2Ajustado: 0.58; F(1.6): 10.76; p: .017), CMJ (R2Ajustado: 0.58; F(1.6): 10.52. p: .018) y DJ (R2Ajustado: 0.55. F(1.6): 9.44; p: .022). Contrariamente, ningún test de salto mostró una interacción significativa con el nivel de pertenencia de los corredores (GR o GE). Además, ni el IF ni el IE reflejaron asociaciones significativas ni con el tiempo en carrera ni con el nivel de los corredores.

Discusión
Este es el primer estudio que quiere dar respuesta a la relación existente entre los valores de rendimiento obtenidos en diferentes test de salto y la mejor marca registrada durante una prueba de BMX, en función del nivel del corredor. Los resultados de este trabajo constatan la existencia de una relación indirecta entre el tiempo empleado en completar el circuito y la altura de salto alcanzada en los saltos de SJ (r: –.801; p: .017), CMJ (r: –.798; p: .018) y DJ (r: –.782; p: .022), lo que sugiere que el desarrollar los diferentes contenidos de fuerza a través de un entrenamiento específico de la capacidad concéntrica (SJ), elástico explosiva (CMJ) y reflejo elástico explosiva (DJ) podría tener una relación directa con los tiempos obtenidos en carrera. Estos resultados van en la línea de los conseguidos por Bertucci et al. (2007), quienes observaron la existencia de una relación estadísticamente significativa entre la altura alcanzada en estos saltos (SJ y CMJ) y el tiempo empleado en recorrer diferentes partes del circuito. Todo ello sugiere que los test de salto pueden ser una herramienta de predicción para el rendimiento en BMX sobre determinadas distancias y circuitos de similares características al utilizado en este estudio.
Por otro lado, no se hallaron relaciones estadísticamente significativas entre el IE, IF y la mejor marca en carrera, resultado que podría deberse a diversas razones. En primer lugar, es posible que el ciclo estiramiento-acortamiento (CEA) que se produce durante una prueba de BMX sea de menor magnitud y se produzca de forma mucho más lenta que el producido en otro tipo de situaciones como las que se dan en el entrenamiento pliométrico. Este hecho generaría un menor nivel de fuerza durante la fase concéntrica del movimiento, ya que se ha constatado la existencia de una relación directa entre una menor duración de la fase de acoplamiento (transición entre fase excéntrica y concéntrica) y la obtención de un mayor impulso durante la fase concéntrica (Wilson et al., 1991). Por otro lado, las posiciones articulares adoptadas durante los distintos patrones técnicos específicos desarrollados a lo largo de la prueba (pedaleo, salto y bombeo), la poca variabilidad en las angulaciones de trabajo (entre 0 % y 5 %) y el importante papel adoptado por los brazos en la reducción del impulso vertical generado podría comportar una menor implicación de las estructuras elásticas durante la realización de las pruebas (Cowell et al., 2012; Doré et al., 2006). Además, se observa que el rendimiento obtenido en los primeros metros de la carrera parece condicionar enormemente el resultado final de la prueba (Cowell et al., 2012;Rylands y Roberts, 2014).
En base a los datos obtenidos en este estudio, proponemos la utilización en BMX de test que permitan obtener información acerca del IF del corredor, ya que el planteamiento de valores relativos obvia elementos relevantes como la producción de fuerza absoluta. Estos elementos serian fundamentales en los primeros metros de la carrera, en los que debe romperse la inercia del corredor y conseguir la máxima aceleración posible. Theodorou et al. (2013) reportó una correlación significativa entre los valores absolutos obtenidos en un test de salto vertical de 30 segundos y la potencia anaeróbica desarrollada en el test de pedaleo de Wingate.
Se deben tener en cuenta varias limitaciones en este estudio. En primer lugar, el tamaño de la muestra analizada. Aunque en este estudio fue reducida, el elevado nivel de los corredores del GE, junto con la necesidad de que el tamaño del GC estuviese en concordancia con el del resto de la muestra analizada, contribuyó a reducir su tamaño. Por otro lado, no se tomaron los tiempos parciales de cada una de las partes del circuito, hecho que podría haber mejorado la sensibilidad de las variables seleccionadas. Además, se deberían estudiar distintos tipos de circuito con la intención de detectar los perfiles de fuerza para cada uno de ellos, motivo por el que son necesarios futuros estudios en los que se analicen muestras de corredores más elevadas y en más circuitos.
Conclusiones
Los resultados de este estudio sugieren la existencia de una relación directa entre la mejor marca obtenida en BMX y la capacidad de salto de los test de SJ, CMJ y DJ. Los valores absolutos en forma de altura de vuelo para los saltos SJ, CMJ y DJ fueron superiores en el GE. No se hallaron diferencias significativas para las variables IE e IF a pesar de que los valores absolutos de GE fueron superiores que los del GR.
Referencias
Babault, N., Poisson, M., Cimadoro, G., Cometti, C., & Païzis, C. (2018). Performance determinants of fixed gear cycling during criteriums. European Journal of Sport Science, 18(9), 1199-1207. https://doi.org/10.1080/17461391.2018.1484177
Barbany, J. R. (2018). Fisiología del ejercicio físico y del entrenamiento (2.a ed.). Paidotribo.
Bertucci, W., & Hourde, C. (2011). Laboratory testing and field performance in BMX riders. Journal of Sports Science and Medicine, 10(2), 417-419.
Bertucci, W., Hourde, C., Manolova, A., & Vettoretti, F. (2007). Facteurs mécaniques de la performance lors de la phase d’accélération en BMX chez des pilotes entraînés. Science and Sports, 22(3-4), 179-181. https://doi.org/10.1016/j.scispo.2007.04.003
Bosco, C., Luhtanen, P., & Komi, P. V. (1983). A simple method for measurement of mechanical power in jumping. European Journal of Applied Physiology and Occupational Physiology, 50(2), 273-282. https://doi.org/10.1007/BF00422166
Capostagno, B., Lambert, M., & Lamberts, R. (2014). Standardized versus customized high-intensity training: Effects on cycling performance. International Journal of Sports Physiology and Performance, 9(2), 292-301. https://doi.org/10.1123/IJSPP.2012-0389
Cowell, J., McGuigan, M., & Cronin, J. (2012). Movement and skill analysis of supercross bicycle motocross. Journal of Strength and Conditioning Research, 26(6), 1668-1694. https://doi.org/10.1519/JSC.0b013e318234eb22
Čular, D., Ivančev, V., Zagatto, A. M., Milić, M., Beslija, T., Sellami, M., & Padulo, J. (2018). Validity and reliability of the 30-s continuous jump for anaerobic power and capacity assessment in combat sport. Frontiers in Physiology, 9, 543. https://doi.org/10.3389/fphys.2018.00543
De Blas, X., Padullés, J. M., Del Amo, J. L. L., & Guerra-Balic, M. (2012). Creación y validación de Chronojump-Boscosystem: un instrumento libre para la medición de saltos verticales. RICYDE: Revista Internacional de Ciencias del Deporte, 8(30), 334-356. https://doi.org/10.5232/ricyde2012.03004
Del Vecchio, L., Stanton, R., Reaburn, P., Macgregor, C., Meerkin, J., Villegas, J., & Korhonen, M. T. (2017). Effects of combined strength and sprint training on lean mass, strength, power and sprint performance in masters road cyclists. Journal of Strength and Conditioning Research, 33(1), 66-79. https://doi.org/10.1519/JSC.0000000000001960
Doré, E., Baker, J. S., Jammes, A., Graham, M., New, K., & Van Praagh, E. (2006). Upper body contribution during leg cycling peak power in teenage boys and girls. Research in Sports Medicine, 14(4), 245-257. https://doi.org/10.1080/15438620600985829
Harriss, D. J., & Atkinson, G. (2015). Ethical standards in sport and exercise science research: 2016 update. International Journal of Sports Medicine, 36(14), 1121-1124. https://doi.org/10.1055/s-0035-1565186
Herman, C., Mcgregor, S., Hunter, A., & Bollt, E. (2009). Power capabilities of elite bicycle motocross (BMX) racers during field testing in preparation for 2008 olympics. Medicine & Science in Sports & Exercise, 45(5), 306-307. https://doi.org/10.1249/01.mss.0000355486.69033.ab
Lamberts, R. P., Rietjens, G. J., Tijdink, H. H., Noakes, T. D., & Lambert, M. I. (2010). Measuring submaximal performance parameters to monitor fatigue and predict cycling performance: A case study of a world-class cyclo-cross cyclist. European Journal of Applied Physiology, 108(1), 183-190. https://doi.org/10.1007/s00421-009-1291-3
Louis, J., Billaut, F., Bernard, T., Vettoretti, F., Hausswirth, C., & Brisswalter, J. (2013). Physiological demands of a simulated BMX competition. International Journal of Sports Medicine, 34(6), 491-496. https://doi.org/10.1055/s-0032-1327657
Mateo, M., Blasco-Lafarga, C., & Zabala, M. (2011). Pedaling power and speed production vs. technical factors and track difficulty in bicycle motocross cycling. Journal of Strength and Conditioning Research, 25(12), 3248-56. https://doi.org/10.1519/JSC.0b013e3181f90847
McGowan, C., Pyne, D., Thompson, K., & Rattray, B. (2015). Warm-up strategies for sport and exercise: Mechanisms and applications. Sports Medicine, 45(11), 1523-46. https://doi.org/10.1007/s40279-015-0376-x
Paquet, Y., Bertucci, W., & Hourde, C. (2006). Influence de variables psychologiques sur la performance au test de Wingate chez des pilotes de BMX. Science and Sports, 21(5), 297-299. https://doi.org/10.1016/j.scispo.2006.06.008
R Development Core Team. (2008). R: A language and environment for statistical computing. (R Foundation for Statistical Computing, Ed.) (1.a ed., Vol. 2). R Foundation for Statistical Computing.
Ramírez-Vélez, R., García-Hermoso, A., Agostinis-Sobrinho, C., Mota, J., Santos, R., Correa-Bautista, J. E., Amaya-Tambo, D. C., & Villa-González, E. (2017). Cycling to school and body composition, physical fitness, and metabolic syndrome in children and adolescents. Journal of Pediatrics, 9(18), 57-63. https://doi.org/10.1016/j.jpeds.2017.05.065
Rylands, L., Roberts, S., Cheetham, M., & Baker, A. (2013). Velocity produktion in elite BMX riders: A field based study usiing a SRM power meter. Journal of Exercise Physiology, 16(3), 40-50.
Rylands, L., & Roberts, S. J. (2014). Relationship between starting and finishing position in World Cup BMX racing. International Journal of Performance Analysis in Sport, 14(1), 14-23. https://doi.org/10.1080/24748668.2014.11868699
Theodorou, A., Paradisis, G., Panoutsakopoulos, V., Smpokos, E., Skordilis, E., & Cooke, C. (2013). Performance indices selection for assessing anaerobic power during a 30 second vertical jump test. The Journal of Sports Medicine and Physical Fitness, 53(6), 596-603.
Wilson, G. J., Wood, G. A., & Elliott, B. C. (1991). Optimal stiffness of series elastic component in a stretch-shorten cycle activity. Journal of Applied Physiology, 70(2), 825-833. https://doi.org/10.1152/jappl.1991.70.2.825
World Medical Association. (2013). World Medical Association Declaration of Helsinki. Ethical principles for medical research involving human subjects. Journal of American Medical Association, 310(20), 2191-2194. https://doi.org/10.1001/jama.2013.281053
Yang, W., Liu, C., & Shiang, T. (2017). Warm-up effects from concomitant use of vibration and static stretching after cycling. The Journal of Sports Medicine and Physical Fitness, 57(4), 362-368. https://doi.org/10.23736/S0022-4707.16.06115-X
Zabala, M., Requena, B., Sanchez-Muñoz, C., González-Badillo, J. J., García, I., Ööpik, V., & Páásuke, M. (2008). Effects of sodium bicarbonate ingestion on performance and perceptual responses in a laboratory-simulated bmx cycling qualification series. Journal of Strength and Conditioning Research, 22(5), 1645-1653. https://doi.org/10.1519/JSC.0b013e318181febe
Zabala, M., Sánchez-Muñoz, C., & Mateo, M. (2009). Effects of the administration of feedback on performance of the BMX cycling gate start. Journal of Sports Science and Medicine, 8(3), 393-400.