Artigos
Productive agglomerations in Paraná and their determinants
Aglomerações Produtivas no Paraná e seus determinantes
Aglomeraciones Productivas en Paraná y sus determinantes
Productive agglomerations in Paraná and their determinants
Redes. Revista do Desenvolvimento Regional, vol. 28, 2023
Universidade de Santa Cruz do Sul

Recepción: 08 Septiembre 2020
Aprobación: 12 Enero 2022
Abstract: This paper aims to analyze the determinants of productive agglomerates in the State of Paraná, southern Brazil, mainly focusing on the effects of economies of specialization and diversification. To achieve its aim, ten industrial sectors (the most representative in terms of job offer) were selected and through panel data (using spatial panel), regressions were estimated, one for each industry, considering the 399 towns and the period between 2000 and 2015. The results from all sectors showed statistically significant externalities originated in the productive specialization, affecting positively the dynamics of industrial growth in the Paraná towns. Moreover, in many sectors, a spatial effect was observed, with spillover of the industrialization dynamics to neighboring towns.
Keywords: Industrialization, Externalities, Specialization, Diversification.
Resumo: Este artigo tem como principal objetivo analisar os determinantes da formação dos aglomerados produtivos paranaenses, focando especialmente nos efeitos das economias de especialização e de diversificação. Para isso, selecionou-se dez setores industriais (os mais representativos em termos de emprego) e estimou, por meio de dados em painel (utilizando painel espacial), regressões, uma para cada indústria, considerando os 399 municípios e o período entre 2000 e 2015. Como corolário, para todos os setores, as externalidades oriundas da especialização produtiva se apresentaram estatisticamente significativas, afetando de forma positiva a dinâmica do crescimento industrial dos municípios do Paraná. Ademais, para boa parte dos setores existiu um efeito espacial, com transbordamento da dinâmica da industrialização para municípios vizinhos.
Palavras-chave: Industrialização, Externalidades, Especialização, Diversificação.
Resumen: Este trabajo tiene como objetivo analizar los determinantes de los aglomerados productivos en el estado de Paraná, en el sur o Brasil, centrándose principalmente en los efectos de las economías de especialización y diversificación. Para lograr su objetivo, se seleccionaron diez sectores industriales (los más representativos en términos de oferta de trabajo) y a través de datos de panel (usando panel espacial) se estimaron regresiones, una para cada industria, considerando las 399 localidades y el período entre 2000 y 2015 Los resultados de todos los sectores mostraron externalidades estadísticamente significativas como consecuencia de la especialización productiva, afectando positivamente la dinámica del crecimiento industrial en las localidades de Paraná. Además, para gran parte de los sectores se observó un efecto espacial, con desbordamiento de la dinámica de industrialización a las localidades vecinas.
Palabras clave: Industrialización, Externalidades, Especialización, Diversificación.
1 Introduction
The spatial distribution of productive activities is seen as a decisive factor in the process of economic development of a certain region. When a company sets up business in a specific location, positive feedback might be generated, reinforcing local externalities and attracting new businesses (Krugman, 1991). This positive process leads to the expansion of the agglomerate, a direct consequence of workforce concentration, presence of infrastructure, centralization of specialized services and technological spillovers, among other factors.
Therefore, the initial point of installation of a productive unit tends to benefit it, generating direct jobs within its specific sector, as well as in other segments chained to the new enterprise. Moreover, the income effect appears, favoring other local activities and indirectly promoting economy growth.
These effects might go beyond the territorial limits, benefitting neighboring regions, through the absorption of workforce, purchase of raw material and, also the installation of satellite companies in the surrounding area (Hirschman, 1958). That is, the initial agglomeration in a specific location of certain space might generate benefits for the surrounding environment, forming an important productive chain regarding productivity, employment and income.
Other regional spaces are expected to benefit, ex post, of these agglomeration economies, developing their productive parks and raising the industry productivity. Saboia and Kubrusly (2008) observed the importance of this decentralization in the industrial development, mainly due to the overflows that coming and/or emerging industries bring to the region, as for example, qualified workforce, technological spillovers, optimization of costs due to the proximity with their suppliers and infrastructure provided, among other elements.
In such context, identifying the determinants of the distribution of the industrial agglomerates becomes relevant for the regional development process. Thus, the objective of this paper is to analyze the factors that lead to agglomerations in Paraná, considering the 10 most representative industrial sectors between 2000 and 2015 (CNAE 95, DIV). With this purpose, the model by Glaeser et al (1992) was used, in which three theories are tested: Marshallian economies, Porter’s competitiveness, and Jacobian externalities.
According to Marshall (1890), economies of agglomeration originate from an increase in the production scale, resulting from the geographical concentration of businesses of the same industry. These are economies which are external do the company but internal to the industry, whose increase in the productivity of factors results from the gains in specialization (hereinafter, economy of specialization). Marshall (1890) highlights three sources for these externalities: concentration of qualified workforce, promoting collective learning processes; centralization of services, with intersectoral chains and technological spillovers, creating an innovative industrial atmosphere, which tends to promote more effective technological and organizational combinations, with intra industry technological spillovers.
This leads to the assumption that the higher the concentration of companies of the same industry in a large space is, the greater the attraction of specialized workforce is, available for all companies. In addition, it lowers the global costs of each company, due to the proximity between the industry chain links, also presenting a significant local offer of specialized services. Adding to that, the formation of an industrial atmosphere results in more efficient technological and organizational combinations and technological overflows for the companies located in that space. The hypothesis is that these externalities attract new companies intensifying even more the spatial concentration.
These externalities are also seen in Porter’s competitiveness theory (1990, 2000), through his view of the competitiveness of the industrial clusters. That author foresees, just like Marshall, that the companies grow faster when they specialize, by benefitting from the agglomeration effects. The difference is that Porter (1990, 2000) assumes that local competition accelerates imitation and improves innovative ideas, and that even if the returns of innovation are reduced, there is an increase in the pressure to innovate. Such proposal differs from Marshall’s (1890), which defends that the local monopoly is the greatest booster of this process. Porter (2000) also suggests that clusters can become an important forum, with open dialogue between companies, government agencies and local institutions (such as schools, universities and public entities), elements which lead to the generation of externalities for the agglomerated companies.
For Jacobs (1969), however, industrial diversification rather than productive specialization leads to agglomeration in a certain space. This attraction would result from the availability of public assets and specialized services (such as the organizational, technological, and financial fields, transportation, entrepreneurship qualification, etc.) allied to the existence of a large consumer market. In addition, an incubator of productive factors with a large and qualified job market would exist, providing the population with institutions of academic and entrepreneurial qualification, such as research centers. Moreover, the existence of knowledge spillovers between the companies of different industries is expected, since the companies are likely to adopt technological solutions for their bottlenecks based on the solutions found by others. These and other elements make up inter industrial externalities, called economies of diversification, which tend to make the productive concentration even more dynamic.
From these three categories, Glaeser et al (1992) tested the elements that led to industrial growth in some cities in the United States between 1956 and 1987. His results were favorable to the diversification of the activity, also identifying the importance of smaller companies in the dynamics of industrial concentration (Porter’s hypothesis).
As far as this work is concerned, the general objective is to test whether the economies of specialization or the economies of diversification lead to the formation of productive agglomerates in the State of Paraná. The empirical model to be estimated will be specified following Glaeser et al (1992), whose parameters are estimated through the spatial data panel technique.
More recently, Loibl et al (2018) analyzed the agglomerations of Asia, Europe and America and inferred that transport infrastructure (roads, public transport systems) is a factor that triggers spatial dynamics that cause certain concentration effects. In addition, urban governance also has an impact on the development of agglomerations, both elements resulting from industrial diversification.
Following this introduction, the work has other four sections. In the second, the theoretical model by Glaeser et al (1992) is described since it will be the reference for the specification of the empirical model. Next, the empirical strategy is presented. The fourth section discusses the results obtained, while section five presents our final considerations.
2 Determinants of industrial agglomeration: The model
2.1 Initial consideration
Theoretically, the intensification of the productive activity concentration (intra or inter-industrial) results from the individual quest of companies to obtain economies of agglomeration, which does not necessarily explain the beginning of the agglomeration1, but determine the elements that intensify it cumulatively. In the model by Glaeser et al (1992), three theories are put forward that explain the factors driving this productive concentration and test the effect of economies of diversification and economies of specialization.
The economies of specialization originate in Marshall’s arguments (1890) about externalities which are achieved when companies of the same industry set up their businesses in the same space. These externalities result basically from the concentration of specialized workforce, centralization of services and technology spillovers resulting from the linkages between these companies. Likewise, Porter (1990) defends the specialization of industries aiming at a more intense growth, mainly for the fact that the companies learn from each other when they are closely located. The point that differs from Marshall refers to competitiveness, since Porter understands that externalities are maximized in regions with geographically specialized and competitive industries.
Economies of diversification, in turn, originate in the concentration of companies of different industries, which benefit from technological spillovers, resulting from the diversified environment they are inserted in, with the interaction of different types of knowledge, in addition to the availability of services, workforce and a consumer market (Jacobs, 1969).
Glaeser et al (1992), when analyzing some cities in the United States, observed superiority of the effects of diversification for the productive agglomeration process. In addition, they identified a more dynamic industrial growth in those cities where the industries were smaller, with increased local competition between the companies.
2.2 Glaeser et al (1992) theoretical model

The national technology growth captures the product price change as well as the changes in the techniques that occur all over the country. Locally, the technology is assumed to growth at an exogenous rate for the company, however, it depends on the technological externalities present in the industry of that town, that is:

Specialization (esp) refers to the industry concentration in the town, which according to Marshall (1890) and Porter (1990), tends to increase technological progress. The local monopoly (monlocal) is defended by Marshall (1980) as a positive element for the appropriation of technology due to the certainty that innovation will result in profits. However, Porter (1990) disagrees with that, assuming that although competition reduces innovation returns, higher competition raises the pressure for innovation. Therefore, both Porter and Marshall agree that specialization impacts the local technology dynamics, however, Porter understands that competition is important for this process, while Marshall considers monopoly more efficient in promoting innovation.

Hypothesis (8) defends that the national industrial sector growth captures national technology and price changes. In addition, the workers are assumed to participate in the national market and that the salary growth is constant in all industries in the town. Therefore, in (8), employment growth in one industry of the town is related to the different measurements of externalities.
Glaeser et al (1992), when testing (8) for some American cities, found a negative relation between specialization (Marshallian economies) and the industrial employment growth. This result is different from that theoretically expected. Regarding the variable ‘local competition’, it obtained a positive and statistically significant coefficient, inferring that more companies from one sector . increase this sector employment growth, confirming Porter’s and Jacobs’s hypotheses. Likewise, Jacobs’s interpretation of the relevance of the industrial diversification to achieve industry growth was confirmed, demonstrating the importance of inter-industrial knowledge spillovers for the productive concentration.
3. Methodology
This work central hypothesis is that agglomeration externalities are important for the industrial growth of the towns in Parana. Therefore, this effect was identified through the analysis of the growth of such externalities in each sector of each town, verifying in which of them the industry growth rate is more intense.
That is, (8) was estimated for each sector selected, considering the 399 cities in Paraná. The proxy used to measure the industry dynamics in each sector corresponded to the variation of formal employment [log (final employment/initial employment)], with RAIS data. Ten sectors were chosen (classification CNAE 95- DIV) which presented the highest participation in the industry job generation in the initial year (2000).
As described in equation (8), the employment growth in an industrial sector of a city depends on the specialization of this industry in that city, the local competition, and the existing industrial diversity.
Regarding specialization, it was measured through the location quotient (QL), according to Glaeser et al (1992):


Where: E refers to the employment; t is the year; i is the industrial sector under evaluation; QL is the locational quotient; HHM is the Modified Hirschman-Herfindal Index; CL is the local competition; W is the salary; MEP refers to the change in the employment in industry i in the State.
It seems relevant to emphasize that for the variable HHM, the quadratic functional form was used, following methodological procedures by Klein and Crafts (2015), seeking to measure the effects of the economies of agglomeration. According to those authors, diversification externalities depend on the size of the cities, inferring a negative effect on the industrial dynamics when they are small and a positive effect when they are medium and high demographic density cities.
As an empirical strategy for (13), a spatial data panel was built (given the spatial dependence assumption, confirmed by the statistics presented in the previous analysis[2]), considering the 399 cities in Paraná, in the years 2000, 2005, 2010, and 2015. The use of a spatial data panel aims at controlling the non-observable spatial heterogeneity which manifests in the regression parameters, mainly in the intercept. The spatial heterogeneity must be controlled, either by using fixed effect or random effect models, whose choice was based on the Hausman test, opting for the fixed effect model in all sectors.
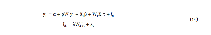
The general specification of the spatial fixed effect model can be represented by (14).

Where: α is the non-observed heterogeneity; ρ and λ are scalar spatial parameters; W is the spatial weighting matrix; ; W1yt corresponds to the variable dependent spatial gap; W1X are the spatially gaped exogenous explaining variables; and W.ξ.represents the spatially gapped error term. From this general model and imposing some restrictions to the behavior of parameters ρ, τ and λ, one can specify different forms of spatial fixed effect models.
This article tested four specifications: spatial gap (SAR), spatial error model (SEM), Durbin spatial (SDM), and Durbin error spatial (SDEM). Regarding SAR, the specification indicates that changes in the explaining variable of a region affect not only the region itself due to the direct effect but can also affect the value of the dependent variable in all regions through indirect effects (ALMEIDA, 2012). These indirect effects are interpreted as spatial spillovers, represented by . In type SEM models, the spatial dependence appears in the error term, highlighting that the errors associated to any observation are an average of the errors of the neighboring regions, to which a random component was added. This model informs that the effects on the dependent variable do not result only from the shock (represented by the error term) of a region, but from the spillover of shocks coming from neighboring regions, which are captured by λ. The SDM model joins the spillover idea through the explaining variable gap (WX), to which the dependent variable is added ( P ). Finally, the SDEM includes the spillover through the explaining variable gap (WX), along with the spillover of shocks coming from other neighboring regions (λ).
To choose which model is better adjusted to the data, the Akaike criterion was used along with the spatial analysis of each model residues (choosing the one that eliminated by a larger magnitude the spatial dependence of residues. From the ten models estimated, two showed SAR as the most suitable, four showed SEM as the most suitable, while another four did not present spatial dependence when the MQO residue was analyzed (ordinary least square), and, therefore, it was estimated using a conventional panel. Finally, regarding spatial models, the gap matrix choice took into consideration the type of matrix that best modelled the error spatial dependence.
4. Productive agglomerates in Paraná and their determinants
When a company sets up business in a region, theoretically externalities are generated that benefit, ex post, the development of other productive activities. Therefore, the initial location of companies is seen as fundamental for the industrial development of a region. As regards Paraná, the industrial sector was highly concentrated at the beginning of the 2000s, with 49% of the employment concentrating in only 2.5% of the towns in the State. In 2015, the spatial centralization of the productive activity was kept, however, the participation of the ten main cities creating industrial jobs (that is, 2.5% of the cities) was reduced to 40% of the industrial employment, evidencing a reduction (even if small) in the industrial concentration throughout the State.
| Table 1 – Ten cities with the highest contribution to the formation of industrial employment – cities in Paraná – 2000 and 2015 | |||||
| 2000 | 2015 | ||||
| City | Employment | % | City | Employment | % |
| Curitiba | 67,308 | 19.2 | Curitiba | 81,438 | 12.7 |
| Londrina | 19,612 | 5.6 | São José dos Pinhais | 30,667 | 4.8 |
| Maringá | 16,581 | 4.7 | Maringá | 28,335 | 4.4 |
| São José dos Pinhais | 16,493 | 4.7 | Londrina | 23,025 | 3.6 |
| Ponta Grossa | 10,987 | 3.1 | Cascavel | 18,255 | 2.8 |
| Arapongas | 10,532 | 3.0 | Toledo | 16,939 | 2.6 |
| Toledo | 7,963 | 2.3 | Arapongas | 15,549 | 2.4 |
| Pinhas | 7,678 | 2.2 | Ponta Grossa | 15,422 | 2.4 |
| Campo Largo | 7,657 | 2.2 | Araucária | 14,724 | 2.3 |
| Apucarana | 7,583 | 2.2 | Apucarana | 12,557 | 2.0 |
| Total | 172,394 | 49.0 | Total | 256,911 | 39.9 |
| Source: RAIS, with data organized by the authors. | |||||
Figure 1(a,b) shows the spatial distribution of industrial jobs in the State of Paraná, in 2000 and in 2015, both maps are seen to show the same profile, concentrating the highest values in more peripheral areas with a large empty area in the center. It seems relevant to emphasize that mainly in peripheral areas, the cities that already presented high percentage of industrial employment showed the highest employment variations; this is confirmed in Figure 1(.). In general, this is in accordance with the theoretical arguments (for example, Krugman, 1991) who highlighted the generation of externalities in places where there is high productive density. That author stated that the spatial concentration of companies ends up attracting other companies to the region, starting a virtuous circle of development.

A superficial analysis of the spatial distribution of industrial jobs in 2000 and 2015 suggests that the distribution of this variable is not random in space, on the contrary, it presents a strong spatial component. This means that one town might be more likely to become industrialized if it is geographically located close to an industrialized town; and might show lower probability of becoming industrialized if it is geographically isolated. This hypothesis is confirmed by the Moran I coefficient (Table 2). The values are seen to be positive and statistically significant, in all conventions tested, inferring that on average the cities with high numbers of industrial employment were surrounded by neighboring towns with high values (and vice-versa). At the same time, when comparing the coefficient values from 2000 against 2015 an increase is observed, indicating a process of industrial spatial concentration intensification in specific points of the State.
| Variables | Queen | 4 neighbors | 10 neighbors | 15 neighbors | 20 neighbors |
| Employment 2000 | 0.16* | 0.11* | 0.10* | 0.07* | 0.05* |
| Employment 2015 | 0.20* | 0.15* | 0.13* | 0.09* | 0.06* |
| Employment variation | 0.19* | 0.17* | 0.14* | 0.10* | 0.06* |
| Source: Research results. Note: * significant at a 5% level with 99999 permutations. | |||||
These results signal the existence of externalities resulting from the agglomeration of the productive activity, making the industrialization more dynamic over time. The literature points out two types of agglomerations able to produce externalities: the specialized one and the diversified one. The former, shows the grouping of companies in the same industry, attracting specialized workforce, suppliers, services as well as generating technology spillovers, among others. These elements generate externalities, attracting new companies of the same industry, resulting in a local positive cumulative process with the promotion of the specialized sector growth (Marshall, 1890; Porter, 1990). Regarding the diversified agglomerate, companies of different industries are concentrated, which also benefit from the externalities generated in an agglomerate, such as, for example, the availability of infrastructure, workforce concentration, consumer market, as well as technological spillover between the different industry companies, etc (Jacobs, 1969).
From these hypotheses, the importance of economies of specialization and diversification was tested in the industrial dynamics of the cities in Paraná. To achieve this aim, the ten industrial segments with larger participation in the industrial employment in 2000 were analyzed. They were responsible for 80.98% of the industrial jobs in Paraná (Table 3). Altogether these sectors were responsible for the creation of 246,042 work positions between 2000 and 2015, in which, except for the “wood product manufacture”, all sectors increased their job offer, becoming more dynamic throughout the period.
| Industrial Segment | Employment 2000 | Participation (%) | Variation 2000/2015 |
| Manufacture of food and beverage products | 70,589 | 20.10 | 121,798 |
| Manufacture of wood products | 44,361 | 12.63 | -7,839 |
| Manufacture of clothing and accessories | 34,636 | 9.86 | 25,008 |
| Manufacture of furniture and other related industries | 30,179 | 8.59 | 13,338 |
| Manufacture and assembly of automotive vehicles, trailers, and truck bodies | 20,411 | 5.81 | 12,891 |
| Manufacture of machinery and equipment | 18,928 | 5.39 | 27,758 |
| Manufacture of metal products, except for machinery and equipment | 18,246 | 5.20 | 19,008 |
| Manufacture of non-metallic mineral products | 18,080 | 5.15 | 11,814 |
| Manufacture of rubber and plastic products | 15,055 | 4.29 | 14,199 |
| Manufacture of cellulose, paper, and paper products | 13,931 | 3.97 | 8,067 |
| Total (selected segments) | 635,626 | 80.98 | 246,042 |
Figure 2 shows the initial position of each industrial segment and their variation between 2000 and 2015. The sectors which are less intense in technology, as “manufacture of food and beverage” and “manufacture of wood products”, for example, are seen to be more disperse throughout the State. This is illustrated by the Moran I statistics, indicating that all sectors had a spatial concentration pattern. However, sectors with higher technological content presented a higher coefficient, resulting in higher spatial concentration.
In fact, low technology sectors are related mainly with the primary activity, which is distributed quite homogeneously throughout the State. While the sectors which are more intense in technology show specificities which make their distribution more restrict, being located closer to large centers, where the availability of specialized service, qualified workforce, etc. is more common. These elements justify the greater spatial randomness of the low technology sectors, and higher spatial concentration of industries that are more intense in technology.
Another important element observed refers to the existing correlation between the employment distribution maps and the variation of work positions (Figure 2), which tends to show high values mainly in spaces where the initial employment was high. This fact suggests an intensification in the composition of existing agglomerates in Paraná, with spillovers to the neighboring towns. This evidence was confirmed by the bivariate Moran I in Table 4.

Continua

Continua

| Sector | Queen | 4 neighbors | 10 neighbors | 15 neighbors | 20 neighbors |
| A | 0.05* | 0.05* | 0.04** | 0.03** | 0.04** |
| B | 0.20* | 0.23* | 0.22* | 0.21* | 0.21* |
| C | 0.13* | 0.10* | 0.11* | 0.09* | 0.10* |
| D | 0.16* | 0.14* | 0.12* | 0.10* | 0.10* |
| E | 0.15* | 0.12* | 0.09* | 0.10* | 0.09* |
| F | 0.07* | 0.11* | 0.05* | 0.04** | 0.05* |
| G | 0.07* | 0.04** | 0.04** | 0.04** | 0.04** |
| H | 0.16* | 0.17* | 0.13* | 0.10* | 0.11* |
| I | 0.10* | 0.10* | 0.09* | 0.10* | 0.08* |
| J | 0.15* | 0.16* | 0.19* | 0.11* | 0.09* |
| Source: Research results. Note: * significant at a 5% level; ** significant at a 10% level, with 99999 permutations. | |||||
In this context, once there was intensification of the industrialization all over Paraná, benefitting mainly the points where there was initial industrialization and areas around them, the factors determining these dynamics were investigated. More specifically, part of the literature reports industrial specialization as the main factor for the productive activity spatial concentration process, while others defend industrial diversification.
When the data was analyzed, we could observe that all 10 sectors in the state of Paraná were positively influenced by the productive specialization (Table 5). That is, when one industry is overrepresented in a city, on average there is an increase in the employment in that sector in the following period, a direct consequence of the externalities generated by the industrial concentration. Among the sectors selected, the “manufacture and assembly of automotive vehicles, trailers, and truck bodies” was seen as the most sensitive, with the highest impact of specialization on its growth. Thus, having an already consolidated industry in certain space results in attraction of new companies of the same industry aiming at benefitting from the existing agglomeration economies, making the activity in that city more dynamic.
As regards industrial diversification, it was only statistically significant for the “manufacture of food and beverages” and “manufacture of wood products”. In both sectors, the initial effect was negative up to certain point, from which it started to have a positive effect on the industrial dynamics. Klein and Crafts (2015), when analyzing industrial cities in the United States between 1880 and 1930, also captured a negative initial effect for some sectors, which was transformed into positive while the city developed. Therefore, the impact of diversification for these two sectors in Paraná depended on the size of the city: in small towns, the effect was negative, while larger cities showed positive effect on the industrial dynamics. Lack of statistical significance for the remaining sectors might be linked to the lower local dependence on these sectors, which did not benefit significantly from the externalities generated by other industries, but exclusively from those produced by the specialization of those same sectors.
Thus, considering the ten industrial sectors analyzed in the State of Paraná, empirical evidence shows that the specialization effects according to Marshall (1890) and Porter (1990) predominated in relation to the economies of diversification by Jacobs (1969).
The empirical model estimated also enabled the identification of the industry competition degree and its effects on the sector growth. In this sense, Porter (1990) emphasizes that higher competition tends to generate greater benefits for the industrial development than a monopoly structure, due to the pressure for innovation being higher in a competitive environment. However, Marshall (1980) defends an industry with higher monopoly since the impact in the industrial dynamics tends to be higher due to the certainty of innovation profits. Our results show that Marshall’s hypothesis (1890) is more coherent with the reality of industrial sectors in Paraná. In this case, from the ten sectors under analysis, five showed a negative and statistically significant coefficient, that is, the lower the competition was (or the higher the size of companies), the higher the industrial growth tended to be.
| Industrial sectors selected and method used | ||||||||||
| (A) SAR | (B) SEM | (C) SEM | (D) SEM | (E) SEM | (F) SAR | (G) EF | (H) EF | (I) EF | (J) EF | |
| HHM | 0.02 (0.9) | 0.03 (0.8) | 0.04 (0.3) | 0.67 (0.27) | -0.59 (0.33) | -0.19*(0.05) | -0.13*(0.0) | 0.72 (0.31) | -0.03 (0.7) | 0.22 (0.6) |
| HHMQ | -0.01 (0.8) | -0.05 (0.91) | -0.05 (0.31) | -0.53 (0.3) | 0.62 (0.30) | 0.19*(0.05) | 0.01*(0.0) | -0.76 (0.29) | 0.15 (0.8) | -0.23 (0.66) |
| MEP | 0.10*(0.01) | 0.05 (0.22) | 0.18*(0.01) | 0.55 (0.23) | 1.12*(0.02) | 0.18*(0.00) | -0.51 (0.3) | 0.20 (0.59) | -0.57 (0.4) | -0.40 (0.07) |
| CL | -0.07 (0.3) | -0.02 (0.0) | -0.01*(0.0) | -0.05 (0.6) | -0.01 (0.42) | -0.06*(0.02) | -0.32*(0.0) | -0.24*(0.00) | -0.14*(0.0) | -0.17 (0.28) |
| EMin | -0.02 (0.5) | -0.01*(0.0) | 0.08 (0.1) | -0.02 (0.31) | -0.08 (0.15) | -0.01 (0.46) | 0.01 (0.51) | -0.01 (0.08) | -0.01 (0.0) | 0.01 (0.79) |
| QL | 0.41*(0.0) | 0.20*(0.0) | 0.15*(0.0) | 0.34*(0.0) | 0.30*(0.00) | 0.05*(0.00) | 0.25*(0.0) | 0.20*0.00) | 0.09*(0.0) | 0.88*(0.00) |
| W | -0.01 (0.6) | 0.01 (0.5) | -0.01 (0.10) | -0.01*(0.0) | -0.01*(0.00) | -0.01 (0.69) | -0.01*(0.0) | -0.01*(0.00) | -0.01*(0.0) | -0.01*(0.00) |
| ρ | 0.12*(0.0) | - | - | - | -0.07*(0.05) | - | - | - | - | |
| λ | 0.15*(0.0) | -0.3*(0.0) | 0.15*(0.0) | 0.08*(0.05) | - | - | - | - | ||
Sectors: (A) Manufacture of clothing and accessories; (B) Manufacture of rubber and plastic products; (C ) Manufacture of cellulose, paper, and paper products; (D) Manufacture of machinery and equipment; (E) manufacture of furniture and related industries; (F) Manufacture of food and beverages; (G) Manufacture of wood products; (H) Manufacture of metal products, except for machinery and equipment; (I) Manufacture of non-metallic mineral products; (J) manufacture and assembly of automotive vehicles, trailers, and truck bodies.
The variable “change in the industry employment in the State (MEP)” sought to identify those sectors that were seen to be sensitive to local changes resulting from the changes in the State industrial demand. In four sectors, this variable was seen to be positive and statistically significant, so that, when the State dynamics was intensified due to exogenous factors, there was a local positive trend. That is, these four sectors were sensitive to external actions, which affected their dynamics directly.
Seeking to identify the importance of initial characteristics, the employment and initial salary of each sector were included in the estimates. Glaeser et al (1992) stated that the companies prefer regions where the initial salary is lower to set up their businesses, a phenomenon found in six sectors in Paraná, so that the employment variation in each industry responded, on average, negatively to its initial salary.
As for the industry initial employment, Glaeser et al (1992) defended the existence of production benefits for sectors that have a high employment level in the initial period, even if this sector is not overrepresented in the region. Regarding Paraná, only the “Manufacture of rubber and plastic products” showed a significant coefficient, however, with a signal contrary to that expected. Therefore, cities that have high levels of work positions show, on average, lower employment growth in the following period, indicating the existence of an employment convergence phenomenon in this sector in the whole State. Thus, the industry “Manufacture of rubber and plastic products” is in a process of employment convergence all over the State, benefitting mainly those cities which are closer to the initial points of location of this industry.
Finally, the spatial effect of the industrial employment dynamics (Table 5) was analyzed. Clearly, six estimates presented significant spatial effect, which were: “Manufacture of clothing and accessories”; “Manufacture of food and beverages”; “Manufacture of rubber and plastic products”; “Manufacture of cellulose, paper, and paper products”; “Manufacture of machinery and equipment”; “Manufacture of furniture and related industries”. The first two sectors showed spatial effect modelled by the dependent variable, that is, when a city increases its employment growth, the surrounding area, on average, benefits by the increase in the number of jobs in these sectors, thus triggering a spillover process (Table 6 shows the direct, indirect, and total impacts of these two sectors for each explaining variable). As regards the other four sectors, there was also some impact of the space on the employment growth dynamics. However, the shock was in the error term, that is, the factors that were not included in the estimates. Therefore, the results are in accordance with the theoretical expectations of the intensification of the productive activity on specific points in the space, benefitting the surrounding areas with the externalities generated and, in a cumulative process, concentrating the industry mainly in neighboring cities.
| Industry | Impact | HH | HHQM | MEP | CL | EMin | QL | W |
| A | Direct | 0.08 | -0.05 | 0.01* | -0.6 | -0.0002 | 0.04* | -0.00003 |
| Indirect | 0.01 | -0.002 | 0.01 | -0.008 | -0.00002 | 0.06 | -0.000004 | |
| Total | 0.09 | -0.04 | 0.01* | -0.07 | -0.0002 | 0.04* | -0.00003 | |
| F | Direct | -0.19* | 0.19* | 0.18* | -0.06* | -0.00009 | 0.05* | -0.00002 |
| Indirect | 0.13 | -1.33 | -0.12 | 0.004 | 0.000006 | 0.03 | 0.000001 | |
| Total | -0.17* | 0.18* | 0.16* | -0.06* | -0.00008 | 0.04* | -0.00001 |
Final considerations
The industrial activity development does not occur homogeneously in a region, on the contrary, it concentrates in some specific locations. In the State of Paraná, the productive agglomerates are mainly concentrated in peripheral regions, while the central area remains a great empty space. Taking that into consideration, the main objective of this study was to verify which of the two factors, specialization or diversification, had greater impact on the formation of productive agglomerates in the State of Paraná. The results highlighted superiority of the externalities resulting from the productive specialization rather than the diversification.
All the sectors under analysis presented a positive impact of the productive specialization on the industrial growth; thus, the quest for external economies leads to the installation of new companies close to others of the same industry, benefitting from the external economies resulting from this proximity. Attracting specific workforce to the agglomerate and making it available for all companies in that industry is among these benefits, which also include technology spillovers resulting from the existing productive chain and the spillover of knowledge between similar companies. Moreover, the attraction of specialized services also becomes a benefit which might lead other companies of the same industry to set up business ex post in the region.
It seems relevant to emphasize a spatial effect on the industrialization dynamics in Paraná. Great part of the sectors presented this characteristic and, therefore, one can infer that the productive process induction at a specific location in certain space might generate tensions and repercussions that also affect the industrial process in its neighborhood.
Taking mainly these two results into consideration – specialization externalities and spatial effects – industrial policies might leverage the pace of productive development in Paraná, mainly if focusing on the identification of the industries each city is specialized in, and which would be the cities with higher capability of generating spillovers for the surrounding areas, focusing their resources on certain points, which ex post would make other parts of the State more dynamic.
The policy action should occur mainly for the improvement of externalities that would emerge naturally, by speeding them, as for example: formation of specific infrastructure for each city specialized industry; qualification of this industry workforce, and technological development, with partnerships between the companies, government agencies and universities, with the purpose of developing and/or improving the technology applied to the production line and products, as well as in the solution of bottlenecks of the companies in each sector.
Regarding diversification externalities, it was only significant for two sectors, and in both cases, their effects only started due to the size of the city. Therefore, since the industrial distribution in the State is still heterogeneous, presenting empty areas as regards industrialization, and since there is still a great number of small towns, this industrialization strategy might be postponed to prioritize specialized industrialization.
At the same time, in the long term, considering the diversification of the productive activity in the region might be a good solution aiming to mitigate possible vulnerabilities originated in exogenous adverse events, both sudden and gradual. However, in the short term, productive specialization might create initial conditions so that other companies from different industries decide to set up in the state of Paraná diversifying its economy.
REFERENCES
ALMEIDA, E. Econometria espacial aplicada. Campinas: Editora Alínea, 2012
GLAESER, E. L.; KALLAL, H.D.; SCHEINKMAN, J.; SHLEIFERL, A. Growth in Cities. Journal of Political Economy, Chicago, v. 100, n.6, p.1126-1152, 1992.
HIRSCHMAN, Albert O. The strategy of economic development. New Haven: Yale University Press, 1958.
JACOBS, J. The Economy of Cities.Vintage, New York, 1969.
KLEIN, A.; CRAFTS, N. Agglomeration Economies and Productivity Growth: U.S. Cities, 1880-1930, CAGE Online Working Paper Series, Competitive Advantage in the Global Economy (CAGE), 2015.
LOIBL, W.; ETMINAN, G.; GEBETSROITHER-GERINGER, E.; NEUMANN, H.; SANCHEZ-GUZMAN, S. Characteristics of Urban Agglomerations in Different Continents. History, Patterns, Dynamics, Drivers and Trends. 2018
MARSHALL, A. Principles of Economics. Macmillan, London, 1890.
PORTER, M. The Competitive Advantage of Nations. New York, 1990.
PORTER, M. Location, competition and economic development: Local clusters in a global economy. Economic Development Quarterly, 2000.
SABOIA, J.; KUBRUSLY, L. S. Diferenciais regionais e setoriais na indústria brasileira. Economia Aplicada, v. 12, n.1, p.1:20, 2008.
Notes