Resumo: O conceito de desenvolvimento sustentável foi proposto em 1987, o qual buscava um desenvolvimento que encontrasse as necessidades das gerações, daquele momento e futuras; em 2023, a ONU propôs os Objetivos de Desenvolvimento Sustentável. Um dos objetivos propõe “Assegurar a Disponibilidade e Gestão Sustentável da Água e Saneamento Para Todas e Todos”. Neste aspecto, se insere a Região Intermediária (RegInt) de Breves, Pará. A região apresenta grande fator de vulnerabilidade socioambiental. Neste sentido, este artigo tem como objetivo apresentar uma análise das condições socioeconômicas, sanitárias da cidade de Afuá, uma pequena cidade da Região Intermediária de Breves, a partir de uma discussão sobre a vulnerabilidade socioambiental. Foram utilizadas informações de sites governamental, Municipal, Estadual e Federal, informações do DATASUS, imagens de satélite, dados Ministério do Meio Ambiente - MMA, Sistema Nacional de Informações sobre Saneamento SNIS, Instituto Trata Brasil, Dados FIRJAN e IDH. Apesar de vários indicadores econômicos terem avançado, os indicadores de infraestrutura e saúde demonstram uma cidade que não alcançou o desenvolvimento sustentável.
Palavras-chave: Desenvolvimento regional, Vulnerabilidade Sanitária, Pequenas cidades, Afuá.
Abstract: The concept of sustainable development was proposed in 1987, which sought a development that met the needs of generations, at that time and future ones; In 2023, the UN set the Sustainable Development Goals. One of the objectives proposes “Ensuring the Availability and Sustainable Management of Water and Sanitation for All”. In this respect, the Intermediate Region (RegInt) of Breves, Pará, is included. The region presents a great socio-environmental vulnerability factor. In this sense, this article aims to present an analysis of the socioeconomic and sanitary conditions of the city of Afuá, a small town in the Intermediate Region of Breves, based on a discussion on socioenvironmental vulnerability. Information from government, municipal, state and federal websites, DATASUS information, satellite images, data from the Ministry of the Environment - MMA, the National System of Information on Sanitation SNIS, Instituto Trata Brasil, Data FIRJAN and IDH were used. Although several economic indicators have advanced, infrastructure and health indicators demonstrate a city that has not achieved sustainable development.
Keywords: Regional development, Sanitary Vulnerability, Small towns, Afuá.
Resumen: El concepto de desarrollo sustentable fue propuesto en 1987, el cual buscaba un desarrollo que respondiera a las necesidades de las generaciones, en ese momento y las futuras; en 2023, la ONU propuso los Objetivos de Desarrollo Sostenible. Uno de los objetivos propone “Garantizar la Disponibilidad y Gestión Sostenible del Agua y Saneamiento para Todos”. En ese aspecto, se inserta la Región Intermedia (RegInt) de Breves, Pará. La región presenta un factor de vulnerabilidad socioambiental grande. En ese sentido, este artículo tiene como objetivo presentar un análisis de las condiciones socioeconómicas y sanitarias de la ciudad de Afuá, una pequeña ciudad de la Región Intermedia de Breves, a partir de una discusión sobre la vulnerabilidad socioambiental. Se utilizó información de sitios web gubernamentales, municipales, estatales y federales, información de DATASUS, imágenes satelitales, datos del Ministerio del Medio Ambiente - MMA, Sistema Nacional de Información sobre Saneamiento SNIS, Instituto Trata Brasil, Datos FIRJAN e IDH. Aunque varios indicadores económicos han avanzado, los indicadores de infraestructura y salud muestran una ciudad que no ha logrado un desarrollo sostenible.
Palabras clave: Desarrollo regional, Vulnerabilidad Sanitaria, Pequeñas ciudades, Afuá.
Urbanização, Pequenas Cidades e Desenvolvimento Territorial
Desenvolvimento Regional e a Vulnerabilidade Socioambiental das Pequenas Cidades da Amazônia: Um Estudo de Afuá, Pará
Regional Development and the Social and Environmental Vulnerability of Small Cities in the Amazon: a Case Study of Afuá, Pará
Desarrollo Regional y Vulnerabilidad Socioambiental de las Pequeña Ciudades de la Amazonía: Un Estudio en Afuá, Pará

Recepción: 10 Mayo 2023
Aprobación: 31 Octubre 2023
De acordo com Corrêa, Silveira e Kist (2019), a ideia de desenvolvimento, ao longo dos anos, apresentou significados variados, até mesmo proposições metafóricas, como do elefante, segundo a qual é um conceito “fácil de reconhecer, entretanto, difícil de descrever (ROBISON, 1962 apud CORRÊA, SILVEIRA, KIST, 2019, p.4), situação, para os autores, que reflete a complexidade conceitual. Bellingieri (2017) explica que este conceito, a partir do pós-guerra, foi associado ao modelo de desenvolvimento dos países ricos industrializados, determinado pela industrialização, medido pelo PIB, o qual é apresentado como um indicador de atividade econômica. Celso Furtado defendeu a ideia que o desenvolvimento econômico é um mito (DA VEIGA, 2005, p.244).
Esta discussão avançou, de acordo com as diferentes conjunturas, e, nos anos 1970, foi associada à questão ambiental de ecodesenvolvimento, até a década de 1980, quando surgiu o paradigma do desenvolvimento sustentável, que “recomendava o crescimento econômico como forma de se reduzir a pobreza e, por consequência, os problemas ambientais” (BELLINGIERI, 2017, p. 10). Em 1990, a ONU (ORGANIZAÇÃO DAS NAÇÕES UNIDAS) propôs o Índice de Desenvolvimento Humano (IDH), o qual “was created to emphasize that people and their capabilities should be the ultimate criteria for assessing the development of a country, not economic growth alone” (UNDP, 2022). A ONU explica que este índice (IDH) é uma medida resumida de alguns indicadores: expectativa de vida ao nascer, instrução e padrão de renda. Da Veiga (2005) ressalta que este índice não é uma medida compreensiva, pois deixa de incluir, por exemplo, a capacidade de participação de uma comunidade nas decisões que afetam a sua vida. Entretanto, as abordagens de desenvolvimento humano e desenvolvimento sustentável contribuem para “a pesquisa de um conceito de desenvolvimento mais humanista” (MOREIRA; CRESPO, 2012, p. 27).
Moreira e Crespo (2012) explicam que o conceito de desenvolvimento sustentável decorreu do Relatório de Brundtland, de 1987, publicado pela Comissão Mundial para o Ambiente e Desenvolvimento (CMAE ou WCED), das Nações Unidas. Os autores comentam que o conceito traz a menção ao desenvolvimento, entretanto, um “development that meets the needs of the present generation without compromising the ability of future generations to meet their own needs” (WCED, 1987, p.43, apud MOREIRA; CRESPO, 2012, p. 40). Nesta linha de discussão, a ONU propôs, em 2002, os Objetivos de Desenvolvimento do Milénio, um pacto entre as nações para acabar com a pobreza, o que evoluiu para os Objetivos de Desenvolvimento Sustentável-ODS (UNDP, 2023), metas que deveriam ser alcançadas até 2030, um ato considerado pela própria ONU como heroico.
Os 17 ODS são integrados – e reconhece-se que a ação em uma área afetará os resultados em outras e que o desenvolvimento deve equilibrar a sustentabilidade social, econômica e ambiental (UNDP, 2023). Um dos objetivos apresentados refere-se “Assegurar a Disponibilidade e Gestão Sustentável da Água e Saneamento Para Todas e Todos”. A ONU (UNDP, 2023) explica que a escassez de água afeta mais de 40% das pessoas, um número alarmante que deve aumentar com o aumento das temperaturas do planeta. A ONU ainda menciona que, embora 2,1 bilhões de pessoas tenham melhorado o saneamento, desde 1990, a diminuição do abastecimento de água potável está afetando todos os continentes (UNPD, 2023). A ONU ainda menciona que para atingir esta meta, ou seja, garantir acesso à água potável universal e segura a todos, envolve melhorar a acessibilidade para mais de 4,5 bilhões de pessoas, no mundo, que não dispunham de serviços de saneamento administrados com segurança (excrementos adequadamente descartados ou tratados), em 2015, ou 2,3 bilhões que careciam mesmo de saneamento básico (UNDP, 2023).
Neste aspecto, se insere a Região Amazônica, a qual carece de investimentos sociais e, principalmente, de melhoria no acesso universal à água tratada e ao saneamento básico. Ou seja, as questões sanitárias na Região se mostram como características “sine qua non” para se alcançar um desenvolvimento econômico e social. A Região Intermediária (RegInt) de Breves, umas das 30 Regiões Intermediárias da Amazônia brasileira, é um exemplo da situação mencionada. A região apresenta grande fator de vulnerabilidade, pois concentra os piores indicadores: de renda, trabalho, infraestrutura urbana e de saúde do estado do Pará, além de baixos Indicadores de Desenvolvimento Humano (IDH). Segundo dados do IBGE (2023), os seguintes municípios possuem piores IDHs do Pará e do Brasil: Melgaço (0,418), Afuá (0,489), Chaves (0,453), Bagre (0,471), Porto de Moz (0,503), Portel (0,483), Cachoeira do Piriá (0,473) e Anajás (0,484), sendo que, dentre estes, 6 municípios são da RegInt de Breves (Melgaço, Afuá, Chaves, Bagre, Portel e Anajás).
As condições sanitárias de todos as cidades-sedes cidades dos municípios da RegInt são bastante precárias. Por exemplo, não há estação de tratamento dos efluentes domésticos em nenhuma das cidades da RegInt de Breves, assim como não há coleta de esgoto (IBGE, 2010). Ou seja, uma região com precárias condições sanitárias e de oportunidades econômicas para sua população. Apesar desta situação, estas cidades continuam crescendo e atraindo população.
É neste sentido que este artigo se articula, e o tem como objetivo apresentar uma análise das condições socioeconômicas, sanitárias da cidade de Afuá, uma pequena cidade da Região Intermediária de Breves, localizada no estado do Pará, a partir de uma discussão sobre a vulnerabilidade socioambiental.
As cidades com menos de vinte mil habitantes são predominantes na Região Amazônica e correspondiam a mais de 60% do total de cidades da Região, como demonstrou o Censo de 2010. O território de estudo deste artigo, a cidade de Afuá, está localizada, na Região Intermediária de Breves, pertencente ao arquipélago do Marajó, no estuário do rio Amazonas, estado do Pará (Figura 1).
O Marajó está entre a confluência das duas grandes bacias, a do rio Amazonas e a do Tocantins-Araguaia. A cidade de Afuá está margeada pelos rios Marajozinho (a esquerda), Cajuúna (a direita) e Afuá (parte frontal), sendo influenciada pela movimentação das marés desses rios. Em virtude da sua localização geográfica, o povoado logo se desenvolveu e elevou-se à freguesia, em 1874, sendo extinta por duas vezes, até que, em 1889, readquiriu sua condição (LOMBRA; NOBRE JÚNIOR, 2013, p. 5). No ano de 1874, foi elevado à freguesia, e, em 1890, à Vila; o município foi oficializado somente em 1890 e a Vila foi elevada à categoria de cidade em 1896 (COSTA, 2020).
Mesmo pertencendo ao estado do Pará, o município de Afuá, e sua sede, estão mais próximos da capital do Amapá. Sua sede fica a, aproximadamente, 75 km de Macapá (AP). Da capital do seu estado, Belém, está localizada, aproximadamente, a 275.65 km, em linha reta. Essa realidade faz da população afuaense dependente dos recursos de Macapá. Muitos moradores de Afuá, relatam ter familiares que moram, estudam ou trabalham na cidade de Macapá. Dados do Censo Demográfico (IBGE, 2010), demonstram que o município de Afuá possuía 35.042 habitantes, distribuídos entre a área urbana, com 9.478 habitantes (27%), e a área rural, com 25.564 habitantes (73%), e uma extensão territorial de 8.338,438 km..

Ao se aproximar da cidade de Afuá (Figuras 2 e 3), é possível avistar com admiração sua atraente paisagem, conforme descreve Valota (2019, p. 138.) em seus estudos, devido ao colorido das casas, lembrando uma paleta de cores, apesar das semelhanças com outras cidades ribeirinhas. Ainda no encantamento paisagístico do município, Palheta e Rodrigues (2012, p. 172-173) mencionam que “a paleta de cores da cidade chama a atenção imediata do visitante” [...], além da [...] “paisagem natural composta pelo verde fechado da floresta”, rios barrentos e nuvens cinzentas.


Em sua orla, na parte frontal da cidade, é possível avistar as mais diversas edificações atrativas aos turistas, como, por exemplo, hotéis, lojas de roupas, comércios e bares, armarinhos etc, além da igreja e do cartório (MONTOIA, 2018, p. 172). Para Trindade Jr, Silva e Amaral (2008), a cidade ribeirinha na Amazônia se caracteriza por: ter pequena dimensão populacional e diminuto tamanho territorial; ser tradicional no que diz respeito ao ordenamento espacial; e ter funções urbanas de âmbito local, possuindo forte conexão com o entorno, com a floresta e o rio. A partir da contribuição dos autores nota-se na dinâmica urbana de Afuá que a cidade exerce este papel não sendo apenas uma típica cidade ribeirinha amazônica, com peculiaridades marcantes, estando não só situada nas margens dos rios, mas sobre eles o que permite ao afuaense uma conexão com o rio.
O único modo de chegar à cidade é por meio dos rios; não há rodovias de acesso à cidade, e a pista de pouso do local não recebe voos regulares. Nos rios se pratica a pesca, e o banho em suas águas é costumeiro, inclusive é opção de lazer dessa sociedade (MACEDO et al., 2018, p. 164. A natureza da várzea faz de Afuá uma cidade singular, com suas ruas de madeiras amplas, onde circulam somente pedestres e bicicletas, além das criativas invenções, como por exemplo, o bicitáxi (VALOTA, 2019, p. 139) e os veículos do Poder Público “bici-ambulância, bicicoletora de lixo, bici-bombeiro e bici-polícia.
Para este artigo, de caraterística exploratória, apresenta uma pesquisa qualiquantitativa. Foram utilizadas imagens de satélite, disponibilizadas pelo INPE – Instituto Nacional de Pesquisa Espaciais, United States Geological Survey (USGS)®, European Space Agency®, as quais permitiram calcular o crescimento da cidade de Afuá.
Foram utilizados dados censitários, na escala do setor, disponibilizada pelo IBGE (2010). Foram coletados dados por meio da aplicação de formulários, aos domicílios urbanos, que representaram 10% do total, e entrevistas semiestruturadas com representantes do poder públic0 local e representantes da sociedade civil, obtidas no período de 2017 a 2022, durante trabalho de campo, ambos procedimentos aprovados pelo Comitê de Ética em Pesquisa da USP sob processo número 3.100.314. O formulário aplicado objetivou levantar o perfil socioeconômico do morador urbano, o acesso à infraestrutura e o acesso aos serviços públicos.
Foram utilizadas informações de sites governamental, Municipal, Estadual e Federal que serviram para a análise documental, além das informações do DATASUS, IBGE, (2010). Ainda se utilizou de dados do Ministério da Saúde - MS, Ministério do Meio Ambiente - MMA, Sistema Nacional de Informações sobre Saneamento SNIS, Instituto Trata Brasil, Atlas Brasil, PNAD e TerraClas. As informações sobre a variação do Índice Firjan de Desenvolvimento Municipal (IFDM) e do Índice de Desenvolvimento Humano foram coletadas no Sistema FIRJAN (CONFINS, 2020) e IBGE (2022).
O IFDM, de acordo com Confins (2020), “é um estudo do Sistema FIRJAN (Federação de Indústrias do Rio de Janeiro) que acompanha anualmente o desenvolvimento socioeconômico de todos os municípios brasileiros em três áreas de atuação: emprego e renda, educação e saúde”, com base nas estatísticas públicas oficiais, disponibilizadas pelos ministérios do trabalho, Educação e Saúde. A Revista ainda explica que o índice varia de 0 a 1 (máximo), O índice varia de 0 (mínimo) a 1 ponto (máximo) para classificar o nível de cada localidade e sua metodologia possibilita determinar com precisão se a melhora relativa ocorrida em determinado município decorre da adoção de políticas específicas, ou se o resultado obtido é apenas reflexo da queda dos demais municípios. Foram convencionados quatro conceitos para o IFDM: 1) Municípios com IFDM entre 0,0 e 0,4: baixo estágio de desenvolvimento; 2) Municípios com IFDM entre 0,4 e 0,6: desenvolvimento regular; 3) Municípios com IFDM entre 0,6 e 0,8: desenvolvimento moderado; 4) Municípios com IFDM entre 0,8 e 1,0: alto estágio de desenvolvimento.
Ao reforçar a importância dos estudos urbanos que envolvam as pequenas cidades, enfatiza-se a produção territorial de um espaço, sem as disparidades locais metropolitanas. O desenvolvimento territorial atrelado as mudanças econômicas ocorridas no cenário nacional proporcionaram uma movimentação comercial e uma articulação populacional entre as regiões. Nessa linha, essa movimentação, que também foi populacional, fez com que “se imprimissem transformações no território nacional e essas condições se somam ao quadro de produção das cidades” (SPOSITO e SILVA, 2013, p.26). Nota-se que o surgimento das cidades é impulsionado por uma força de concentração, seja ele o fator político, econômico ou de um território herdado, ou seja, as cidades são forjadas pelos processos políticos, econômicos, sociais e territoriais.
O conceito de cidade pequena não é único. Não se impõe uma verdadeira definição sobre o tema, “pois ocorre um horizonte bastante largo para ser explorado na construção conceitual dessa expressão real do fato urbano” (SPOSITO; SILVA, 2013, p.25). De certo, é necessária a implementação de estudos sobre as cidades pequenas brasileiras, pois são elas que possuem papel importante na organização administrativa e na rede urbana regional, além de soberania numérica no território nacional, considerando que mais de 70% das cidades brasileiras possuem menos de 50 mil habitantes.
No olhar sobre as pequenas cidades, Corrêa afirma que
A pequena cidade tem diversas origens, não apenas considerando-se o período de sua criação, mas também face às motivações, agentes sociais e ao padrão de localização que condensa necessidades e possibilidades de criação de núcleos de povoamento (CORRÊA, 2011, p.6).
Predominantemente, algumas cidades pequenas mantiveram sua dinâmica atrelada às suas funcionalidades ao campo, e somente a partir de século XX, houve incentivos e modernização da agricultura, que alcançou parte destas cidades. A partir de então, houve uma mudança significativa na paisagem natural, no tráfego rodoviário, aéreo e portuário, no desenvolvimento de telecomunicações, conectando os pequenos núcleos às grandes metrópoles e até mesmo ao exterior. Corrêa (2011, p.10) comenta que a relativa homogeneidade que caracteriza as pequenas cidades foi fragmentada pelas transformações que ocorreram na sociedade brasileira, fazendo que com essas cidades se tornassem mais diferenciadas, até mesmo mais desiguais entre si.
Nesse sentido, as singularidades das pequenas cidades brasileiras são notáveis pelas diferenciações regionais, domínios territoriais e culturas herdadas. Entretanto, a análise das “diferenças entre os tipos regionais de pequenas cidades nos alerta para o cuidado que se deve ter nos estudos empíricos a serem realizados, considerando as relações entre as pequenas cidades e suas hinterlândias” (CORRÊA, 2011, p.7). Um exemplo são as pequenas cidades amazônicas, que devem ser estudadas considerando-se a relação de sua população com a floresta e a água, elementos que devem ser o ponto de partida e não de chegada de qualquer estudo. O habitante desse espaço pode ser levado inconscientemente a estabelecer a dimensão de espacialidade tomando como ponto inicial o encantamento diante da realidade física (OLIVEIRA, 2006, p.8).
A mudança no cenário econômico e urbano da Amazônia começa a partir do período econômico da borracha, que foi importante, tanto à economia brasileira na época, quanto para a formação da rede urbana amazônica. A aglomeração dos meios de produção e força de trabalho num ponto do espaço, esse simples fato, implica toda uma série de fenômenos que irão modificar profundamente as cidades e criar, genericamente, o urbano contemporâneo (CAMARGO et al. 2007, p.4). O boom da borracha, que se deve ao interesse do mercado exterior, fez aparecer vilas e povoados que deram origem posteriormente a cidades, sendo que os seringais eram os locais de produção, e a cidade, lugar de comércio (CASTRO, 2008, p.18). Observa-se que as cidades de pequeno porte assumiram um papel importante na estrutura regional, fundamentais para o desenvolvimento da rede urbana amazônica. O estudo de Pereira (2006, p.29) revela que a precariedade dos serviços urbanos e portuários, como a limitação da ligação interna das aglomerações a umas poucas vias que margeavam os rios, indicavam a fragilidade para o desenvolvimento da rede urbana amazônica. Entretanto, a rede funcionou e, de maneira simples e funcional, essa rede se tornou operante desde a fundação de Belém, até a década de 1960. Corrêa (1995) expõe que:
A rede urbana amazônica funcionava, em realidade, como um conjunto dendriticamente articulado de localizações cujo papel mais significativo era o de viabilizar a extração de um excedente que, no plano regional, garantia o poder econômico e político de uma elite mercantil localizada em Manaus e, sobretudo, em Belém e, no plano internacional, viabilizava, através dos baixos preços impostos à borracha, novos empreendimentos industriais de países como os Estados Unidos, Inglaterra, França e Alemanha (CORRÊA, 1995, p.52).
Estas cidades possuem posições estratégicas há séculos. Segundo estudo de Lia Machado (MACHADO, 1999, p.110), mesmo na época pré-colombiana, a disposição geográfica do povoamento na região Amazônica obedeceu ao traçado da rede fluvial, por onde se fazia a circulação; os sítios com maior densidade de população indígena eram quase todos localizados na extensa planície de inundação (várzea) que caracteriza grande parte do vale do rio Amazonas e de seus principais afluentes.
O modelo estratégico, aplicado para abrir novos territórios ao mercado, criou oportunidades para a ocupação de áreas geograficamente afastadas dos grandes centros urbanos. Esse período é marcado pelo grande número de pequenos núcleos, que passaram a se destacar no meio regional devido às ofertas de trabalho na área agroextrativista. Entre 1940 e 1950, boa parte dos trabalhadores urbanos passaram a se mudar e se instalar nas ilhas do estuário do rio Amazonas, justamente atraídos pela oferta de trabalho na coleta e no processamento do óleo de palmeiras, entre outros produtos da floresta (PINEDO-VASQUEZ et al., 2001; BRONDIZIO, 2008).
Esse movimento foi relativamente importante para a ocupação das pequenas cidades do Delta do rio Amazonas. Assim, por tempos, as mudanças sociais e de mercado tiveram influência direta na construção urbana na Amazônia, além de acompanhadas por inúmeras transformações nos padrões de assentamento, uso da terra e fluxos migratórios.
Nos anos de 1970, o Estado foi ator principal na definição de estratégias de ocupação da região norte, com consequência na urbanização, compreendida como a expansão da fronteira amazônica. Incentivos fiscais, créditos especiais e baixos juros para determinadas atividades, foram mecanismos seletivos que subsidiaram a iniciativa privada cristalizando-se, em meados da década de 1970, o predomínio de empresas agropecuárias capitalistas na região Norte (BECKER, 1990, p.17). Nesse modelo, a região Norte do Brasil passou a ter um crescimento demográfico e econômico, e a Amazônia se tornou uma floresta urbanizada (BECKER, 1985).
A região passou a ser apresentada como extremamente receptiva aos novos fenômenos da urbanização, pois era considerada praticamente intocada, não possuindo infraestrutura de ponta, nem outros investimentos fixos vindos do passado e que pudessem dificultar a implementação de inovações (SANTOS, 1993 p.61). Porém nota-se que o crescimento populacional da região era concentrado, predominantemente nas pequenas cidades, como expõem Costa e Brondizio (2009), ao afirmarem que:
De 1950 a 2000, enquanto o número de municípios no Brasil aumentou 191,5%, a região amazônica teve um aumento de 280%, com a maior parte desse crescimento ocorrendo a partir de 1988, coincidindo com a nova constituição do país. Os tipos de tendências de urbanização na região, particularmente a disseminação e predominância de pequenas cidades, foram descritos por alguns como um processo de ‘ruralização’ que é marcado pela disseminação de pequenas cidades não estruturadas ao longo de áreas de colonização e expansão agrária (COSTA; BRONDÍZIO, 2009, p. 214).
Quando se trata das pequenas cidades, em pouco mais de uma geração, as informações tornaram-se mais ágeis, pois os lugares foram atingidos por tecnologias que possibilitaram maior circulação de ideias e o acesso à modernização (OLIVEIRA, 2006, p.28). No entanto essas mudanças não tiveram impactos nas questões socioeconômicas e de infraestrutura, não foram expressivas na vida da população, principalmente a ribeirinha, que se manteve com habitações em condições precárias, esgotamento a céu aberto, infraestruturas sanitárias inadequadas ou sem adaptação para a região de várzea.
As cidades ribeirinhas da Amazônia são pequenas em número populacional e perímetro urbano, vida comercial no circuito inferior da economia e população urbana com empregos formais no setor público e transitando entre atividades laborais primárias e terciárias, na busca de geração de renda em uma dinâmica marcada por peculiaridades, que devem ser consideradas dentro do contexto de desenvolvimento regional (MONTOIA, 2018). Esses pequenos núcleos urbanos com menos de vinte mil habitantes, foram se desenvolvendo sem uma presença do Estado. Esse processo de urbanização formou municípios com fragilidades em infraestrutura ou nenhuma por vezes, e têm como base econômica o repasse de recursos públicos, embora apresentem a estrutura de cidade, carecem de atividades econômicas caracterizadas como urbanas (OLIVEIRA, 2006).
Segundo Trindade Jr, Silva e Amaral (2008), a cidade ribeirinha na Amazônia se caracteriza por: ter pequena dimensão populacional e pequena dimensão territorial; ser tradicional no que diz respeito ao ordenamento espacial; e ter funções urbanas de âmbito local, possuindo forte conexão com o entorno, com a floresta e o rio. Compreender os fenômenos que levaram à sua construção socioespacial permite a análises que abordam suas singularidades, modo de vida com forte relação rural-urbana, um urbano intrínseco às redes sociais, e aos aspectos de vulnerabilidade, sem uma visão de apontar carências, mas sim de potenciais e possibilidades para esta população.
Há problemas de ordem estrutural nestes pequenos municípios que interferem não apenas na ordem socioeconômica local, mas nas questões socioambientais, na dinâmica espacial e de saúde. Os estudos de Tângari, Rubens e Pedro (2016) demonstram que há, nessas cidades, peculiaridades que potencializam demandas analíticas que ultrapassam arcabouços e matrizes que temos como “o padrão”. Com isso, não se quer afirmar que as cidades ribeirinhas sejam o “elo perdido” na esfera do urbano ou, ainda, que essas cidades devam ser lidas sob o signo do exotismo; ao contrário, o que se defende é a necessidade de estudo da dinâmica construtiva, das realidades sociocultural e urbana locais (TÂNGARI et al., 2016, p. 3). Assim, dentro dessa realidade, encontram-se cidades como Afuá, no estado do Pará, estudo de caso apresentado neste artigo.
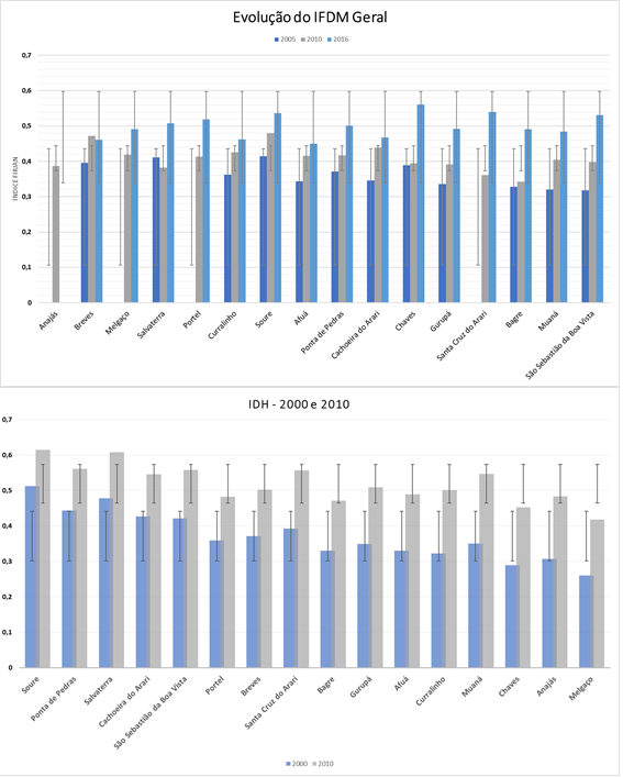
A RegInt de Breves, formada por 16 municípios, é caracterizada por problemas socioeconômicos históricos e estruturais, os quais conferem à Região um perfil de fragilidade social. Na figura 4 é apresentado um gráfico, que mostra a variação do Índice Firjan de Desenvolvimento Municipal (IFDM) e o Índice de Desenvolvimento Humano (IDH), para todos os municípios da RegInt, que exemplifica esta situação. Nestes gráficos é possível observar a tendência de aumento dos dois indicadores, o que significa, nos dois casos, melhoria nos índices no período de 2000 a 2010, para o IDH, e entre 2005 e 2016, para o IFDM.
Para o IFDM, observa-se na figura 4a, que, em 2005, apenas 4 municípios da Região de Breves ficaram abaixo da média do índice (0,2709) e 75% ficaram acima, situação que não se repetiu nos anos subsequentes. Entretanto, no período de 2005 a 2016, 9 municípios (56%) apresentaram um aumento de mais de 30% nos índices. EM 2005, 63% dos municípios da RegInt de Breves, foram classificados como “baixo desenvolvimento” e em 2016 todos os 16 municípios foram classificados como “desenvolvimento regular”.
Quanto ao IDH, todos os municípios apresentaram um aumento dos índices, no período de 2000 a 2010, maior do 20%, sendo que 12 (75%) aumentaram em mais de 30%, o que representa um aumento, para 10 municípios (63%), de escala, alterando a sua condição de muito baixo IDH para baixo ou médio.
Ressalta-se que apesar dos resultados, em 2010, terem sido animadores, cabe verificar a influência das crises econômicas, pós 2010, além da crise sanitária do COVID-19, que ocorreu entre os anos de 2020 e 2022. Reforça-se, também, que os seguintes municípios obtiveram, em 2010, os piores IDHs do Pará e do Brasil: Melgaço (0,418), Afuá (0,489), Chaves (0,453), Bagre (0,471), Porto de Moz (0,503), Portel (0,483), Cachoeira do Piriá (0,473) e Anajás (0,484), sendo que, dentre estes, 6 municípios são da RegInt de Breves (Melgaço, Afuá, Chaves, Bagre, Portel e Anajás).
Bellingiere (2017, p. 15) explica que as políticas de desenvolvimento, até 1980,
caracterizavam-se pela industrialização pesada, centralizada nas grandes empresas, localizadas prioritariamente nas metrópoles nacionais. As grandes empresas não eram pensadas no plano do local, mas, sim, no marco da economia nacional. O local, visto como depositário de recursos e atividades, somente importava enquanto suporte do desenvolvimento da economia nacional.

Entretanto, após este período, é proposto o modelo de desenvolvimento endógeno, segundo o qual as forças livres do mercado ou políticas de planejamento não o definiriam, mas sim os “aspectos intrínsecos ao local, ao território, e pela sua capacidade de usar suas potencialidades de forma a conectar-se ao sistema econômico global” (BELLINGIERE, 2017, p. 15). Este modelo é o que mais se aproxima da realidade dos municípios amazônicos, considerando a relação intrínseca entre economia e os recursos da floresta. Este desenvolvimento endógeno, motivado pela economia da floresta, pode ser o responsável pela melhoria nos indicadores socioeconômicos, como explicado anteriormente. Este aumento também reflete a situação do emprego.
Costa et al. (2023, p. 49) comentam que:
Em relação ao emprego, dados da RAIS (MTE, 2020) mostram que 65% da população ocupada da Região Intermediária de Breves estavam vinculados à administração pública. Em todos os municípios, a porcentagem de vínculos formais de emprego neste setor (adm. pública) varia de 75 a 96,5%, a exceção de Breves (22%) e Salvaterra (60%). O setor de serviços é o segundo mais importante, em termo de emprego formal, possuindo 19,4% da população ocupada e o setor de comércio3 emprega por 9,6%. Breves é o único município que possui 61,7% do pessoal ocupado, formalmente, no setor de serviços.
Este crescimento econômico verificado não se reflete na condição sanitária, ou mesmo na melhoria dos indicadores de vulnerabilidade ambiental dos municípios e de suas respectivas sedes-administrativas. Neste artigo, esta discussão é exemplificada com o estudo de caso da cidade de Afuá.
A Pesquisa Nacional de Saneamento Básico - PNSB, realizada em 2017, pelo Instituto Brasileiro de Geografia e Estatística (IBGE, 2017), revela que a região Norte possui o maior déficit nacional em termos de abastecimento de água e esgotamento sanitário, como também expõe as Unidades da Federação com menores percentuais de municípios com executoras em funcionamento de abastecimento e coleta de esgoto: são os estados da Paraíba (10%), Pará (5%), Rondônia (4,6%) e Amazonas (4,2%), ou seja, três estados da região Norte, possuem os piores indicadores. Quando essa análise se refere ao acesso ao esgotamento sanitário, a região Norte ganha ainda mais evidência diante dos baixos indicadores como demonstrado no mapa da Figura 5.
Mesmo a região Amazônica possuindo grande relevância ambiental, em escala global, a situação não se reverte de igual modo à população local, que lida em seu cotidiano com a falta de serviços de esgotamento sanitário. Essa condição é geradora de vulnerabilidade que interfere na saúde e qualidade de vida das pessoas, além disso, a falta de saneamento básico adequado gera um sério impacto econômico e em saúde.
Diante dessa realidade, discutir o saneamento e saúde pública na Amazônia nos remete a considerar as inúmeras particularidades que imperam em sua grande extensão (GIATTI, 2007, p.136). A região Norte concentra os piores índices de saneamento básico do país, como exposto anteriormente, e essa realidade torna-se mais desafiadora no contexto das pequenas cidades ribeirinhas, como as cidades do Marajó, ao levar em consideração todo um cenário de vulnerabilidade.
A RegInt de Breves, por exemplo, apresenta grande fator de vulnerabilidade, pois concentra os piores indicadores de renda, trabalho, infraestrutura urbana e de saúde do estado do Pará (FAPESPA, 2015). Além disso, muitas comunidades possuem populações que vivem em assentamentos, em comunidades e ilhas que ficam muito distantes dos centros especializados, clínicos e hospitalares, isto é, estão a centenas e/ou a milhares de quilômetros de viagem das capitais (CARDOSO et al., 2020, p.139). Toda essa realidade implica em um cenário de vulnerabilidade. Isto é verificado no cotidiano da área de estudo, Afuá, em que a população vive em um cenário suscetível a vulnerabilidade que implica diretamente na qualidade de vida.
Afuá possui dois bairros (Central e Capim Marinho), que dividem sua área urbana, sendo que no bairro do Capim Marinho existem quatro comunidades, categorizadas pelo Centro de Referência de Assistência Social (CRAS), como demonstra a (Figura 6). O bairro do Capim Marinho teve sua origem, em 1980, com a instalação de palmiteiras e madeireiras na região, que atraiu trabalhadores, em busca de melhores condições de vida; sendo assim, a expansão desse bairro se deu de forma rápida e desordenada (MACEDO et al., 2018, p. 163).

Valota (2019) comenta que essa área foi ocupada aos poucos pelos moradores que vinham da zona rural do município, sendo o Capim Marinho originário de uma ocupação que se iniciou em meados dos anos 2000, sobre a qual o Poder Público não teve controle. Em estudos desenvolvidos por Rocha (2017, p.218) observou-se que o uso residencial correspondia a 70,5% da área ocupada pela cidade, concentrada, principalmente, no Bairro Capim Marinho. O bairro central, composto pelo centro histórico, por ser mais antigo tem uma ocupação mais consolidada e detém maior diversidade de serviços e equipamentos urbanos. No ano de 2022, o bairro central ganhou algumas melhorias paisagísticas nas vias públicas, contribuindo com a sinalização na área central.
A partir das imagens de satélite, foi mapeado o crescimento da cidade de Afuá. A área urbana, em 1986, possuía 0,22 km², passando para 0,50 km², em 1999. Nesses treze anos, Afuá cresceu, aproximadamente, 127%. Após os anos 2000, a cidade ganhou uma dinâmica espacial mais significativa, sendo que no ano de 2005, passou a ter uma área de 0,78km² (56% de aumento, a partir de 1999); passada uma década, o crescimento se intensificou, registrando, em 2016, uma área de 1,18 km², um aumento de 50% (0,40 km²) em 10 anos. Entre 1986 e 2016, ou seja, em 30 anos, a área urbana cresceu mais de 436%, a uma taxa de 14,5% ao ano. Este crescimento é o reflexo do crescimento populacional. Segundo o IBGE (2010), em 1980, a cidade possuía 2.209 habitantes; em 1991, a população urbana aumentou mais de 85%, passando para 4.093; em 2000, a população urbana passou a representar 23% da população total, possuindo 6.782 moradores. No Censo de 2010 (IBGE, 2010), a população da cidade representava 27% do total de moradores do município, somando 9.478 habitantes, tendo crescido 40% entre 2000 e 2010.
Diante de tantas transformações ocorridas no processo de formação urbana desta pequena cidade, não se observou reversão em melhoria na qualidade de vida dos moradores. Nota-se uma ausência em questões relacionadas a saúde, acesso ao abastecimento de água, que ainda são desafios para a população que convivem com serviços de má qualidade. O Índice de Vulnerabilidade Sanitária – IVS calculado em estudos desenvolvidos por Santos (2023, p.84), mostrou que os moradores dos Setores Censitários do Bairro Capim Marinho (Setor 5 e 27) são os que mais padecem com a ausência de uma política pública sanitária. Todas as residências não possuem nenhum sistema de tratamento de esgoto, seja fossa seca, negras ou séptica. A existência de um lençol freático bastante superficial é um complicador para toda a cidade pois dificulta o tratamento dos resíduos domésticos lançados nas fossas, o que causa contaminação da água superficial, muito utilizada pelos moradores para diversas atividades domésticas (figura 7).

Segundo entrevista, realizada em 2022, com a colaboradora da Secretaria de Vigilância Sanitária Epidemiológica e Ambiental em Saúde:
O nosso maior problema, relacionada à veiculação hídrica, é a diarreia. A gente fala isso por resultados, temos um número muito grande de internações por diarreia, em crianças principalmente. Em 2021 teve 153 internações, mas por atendimento foi mais de 1.000 pessoas que passaram pela unidade com diarreia ou outros sintomas similares[...] que está correlacionada às ruas do Capim Marinho que não têm água tratada. Tem casos que, se você perceber que a pessoa, ou criança, vai e volta, vai e volta (na unidade médica) fica naquele ciclo A questão da verminose está relacionada à questão da água. Um município que está coberto por água, e a cidade está na várzea. Então a criança vai lá, toma banho naquela água (Igarapé), ingere a água, até mesmo pelo consumo do Açaí, produtos feitos com a água não tratada. Uma das problemáticas nossa aqui, é esta situação, há mais de 15 anos da vigilância e acompanhamos esses surtos, relacionado à questão da diarreia, como também hepatite A, e várias outras doenças.
O relato da colaboradora revela um cenário endêmico na cidade, que demonstra um quadro de exposição de risco a saúde da população exposta por doenças relacionadas a veiculação hídrica, em especial as mais vulneráveis, vinculadas interferindo no bem-estar do indivíduo. Nos estudos desenvolvidos por Costa e Montoia (2020, p.9):
No urbano das pequenas cidades da Amazônia do Delta, entre elas Afuá, observou-se que a dependência da economia urbana em relação aos recursos da floresta deixou de ser a principal atividade dos moradores urbanos em sua geração de renda. O acesso ao sistema de abastecimento de água melhorou. Entretanto, o número de domicílios conectados à rede geral de esgoto não se alterou e os efluentes domésticos são lançados nos igarapés ou em fossas sépticas
Há, por parte dos moradores, problemas em relação à distribuição de água, pois para ter o acesso aos recursos, em seu domicílio, muitos utilizam de maneira improvisada bombas para conectar ao rio e captar a água necessária para o seu consumo. Alguns optam por fazerem o tratamento via decantação com sulfato de alumínio comprado no comércio. Destaca-se que está prática é mais comum nas comunidades rurais devido à falta de opção para a obtenção de água limpa para o consumo (beber e cozinhar), conforme constatado na Figura 7. No entanto, no urbano os moradores reclamam, de forma constante, da falta de água corrente disponibilizada pelo Poder Público local.
Associados a todas estas condicionantes, os equipamentos de saúde pública são fatores primordiais na capacidade adaptativa para uma população vulnerável. Na cidade de Afuá, tendo em vista os aumentos expressivos de tamanho demográfico, e em área, há grande demanda por equipamentos da saúde e de recursos humanos, que vêm se tornando escassos. Segundo informações prestadas pela Secretaria de Saúde, a Prefeitura oferece um salário de mais de R$ 3o mil a médicos que possam trabalhar, ao menos, 3 vezes por semana e, mesmo assim, esses são escassos, em várias especialidades.
Em uma das entrevistas com o Poder Público, durante trabalho de campo de janeiro de 2022, foi coletado o relato da Coordenadora da Atenção Básica do Município de Afuá, que apresenta uma análise do aumento demográfico na cidade e os impactos desse número na saúde pública do município:
O crescimento é visível. Os dados estão mostrando para a gente. A gente sente isso no dia a dia, nas ações, na oferta de serviços. Porque eu como coordenadora, articulando com os nossos outros coordenadores, o nosso secretário, a gente está com essa visão. A de Capim Marinho (UBS) fechou um relatório mês passado, que era para atender 4 mil pessoas, ela já atende de 10 a 11 mil pessoas, isso pela produção deles, né, de atendimento ali naquela unidade. Como também na equipe do centro que atendeu mais de 10 mil pessoas, porque ela pega essa parte do centro aqui, e ela pega toda a regional do entorno, e acaba pegando essa área (rural) aqui também, que fica descoberta de serviço de saúde e aí acaba vindo para a cidade.
O município de Afuá possui 8.338,438 km², com 8 unidades básicas de saúde no município, 2 na área urbana, mais 13 Unidades Mistas e 12 Unidades Móveis Fluviais, totalizando 33 estabelecimentos de saúde, segundo o Ministério da Saúde (2022). Ao todo, são 25 comunidades rurais, e muitas das vezes não há um suporte em saúde, devido ao distanciamento geográfico, como um dos maiores empecilhos a esse atendimento. Uma alternativa para as comunidades ribeirinhas são as unidades fluviais de saúde[1]. No entanto, em pesquisa de campo, foi constatado que existe apenas uma única unidade móvel fluvial de saúde no município de Afuá, que estava parada, devido ao seu alto custo de manutenção (Figura 7), sendo que o custo de deslocamento varia de 80 a 90 mil reais, dependendo dos serviços oferecidos a bordo (BRASIL. MINISTÉRIO DA SAÚDE, 2023).

Os dados apresentados confirmam que apesar da economia se reverter em melhorias de indicadores, isso não se reverte em melhor saúde pública ou mesmo melhor oferta de serviços urbanos. As precariedades do acesso à infraestrutura básica se mantem, década a década, em uma cidade que cresce em taxas, em área e de população, maiores que algumas cidades de porte médio ou grande, sem acesso aos recursos públicos que poderiam contribuir com a reversão deste quadro.
Uma alternativa é melhorar a economia local, por meio de incentivos à economia verde, que busca a associação entre produção e distribuição, com preservação ambiental, consumo consciente, preocupando-se com a inclusão social. A busca por melhores indicadores sociais, produção eficiente, com baixa emissão de carbono e o aproveitamento dos recursos da floresta pode sinalizar com mudanças no padrão de vida desta população. Ou seja, essas possiblidades podem se transformar em virtualidade para o desenvolvimento local.
Os estudos urbanos sobre as pequenas cidades, de qualquer natureza, mostram-se cada vez mais necessário para se compreender a importância destas cidades, no contexto do território nacional, assim como na Amazônia, onde estas categorias urbanas são predominantes e representam mais de 80% das cidades.
Percebe-se que o embate entre crescimento econômico e qualidade de vida nas pequenas cidades ainda precisa avançar, principalmente no sentido de se perceber que esta relação não é direta, quando se trata de pobreza urbana. Apesar de acreditarmos na máxima proposta por José Aldemir de Oliveira, de que a realidade contemporânea, repleta de complexidade, não permite compreender as pequenas cidades “apenas relacionando-as à crise, emersa nos diagnósticos das carências, mas também como virtualidades, como possibilidades” (OLIVEIRA, 2006, p. 29), também compreendemos as dificuldades de atender as menores necessidades, as mais básicas, como o acesso a condições sanitárias adequadas, com acesso à água tratada para consumo e ambiente sem contaminação por coliformes fecais, entre outros.
Nesta direção, este artigo permitiu identificar a falta de infraestrutura para a população e o quanto este processo rebate de forma direta nas condições do ambiente e saúde da população. A falta de diálogo entre os gestores federais, estaduais e municipais acarretam políticas públicas frágeis que não atendem à demanda da população, em especial aqueles mais carentes.
A redução da oferta de investimentos em infraestruturas de saneamento básico, tratamento de água potável são geradores de condicionantes de vulnerabilidades, principalmente em um ambiente tão frágil como a várzea amazônica. Os problemas socioeconômicos nesta região são históricos e estruturais, os quais se refletem nos indicadores sociais.
Os dados do Índice Firjan de Desenvolvimento Municipal demonstram que alguns municípios da RegInt de Breves ainda apresentam “baixo desenvolvimento”, e nota-se que esta realidade interfere na condição de vulnerabilidade sanitária e ambiental. Ao estudar o espaço urbano de Afuá e suas condições sanitárias ressalta-se a urgência em pensar políticas públicas que possam mitigar danos à saúde e ao ambiente.
A dinâmica social/econômica/ambiental das cidades amazônicas ribeirinhas, como Afuá, estão interligadas ao rio e à floresta. Esta situação cria ambientes e paisagens que lhe são únicas, uma verdadeira singularidade de elementos que não saem da memória ao serem conhecidos. As estivas soerguidas sobre a várzea de inundação manifestam a forma de adaptação da população ao meio e a criação de uma relação linear, geradora de um grande crescimento demográfico. Ou seja, a cidade de Afuá representa o urbano conectado à floresta.
Como nas demais cidades brasileiras, este urbano possui carências, principalmente em infraestruturas urbanas, como acesso à água potável e esgotamento sanitário, questões que se apresentam como desafios em relação ao seu desenvolvimento. De qualquer forma, esta temática não se esgota aqui, muito ainda deverá ser discutido, pensado e estudado a respeito desta temática, mediante a pertinência de avaliar as situações de vulnerabilidade sanitária a que a população de uma pequena cidade amazônica está submetida.
Os autores agradecem as agências de fomento CAPES (Proc. Nº XXXXXXX), CNPq (Proc. Nº 433675/2018-7) e FAPESP (Proc. Nº 2021/05273-1) pesquisa, pelo auxílio financeiro, na forma de bolsa e auxílio à pesquisa, sem o qual não seria possível o desenvolvimento desta pesquisa.






