Resumen: Las armas menos letales (AML) han sido objeto de debate en la aplicación de la ley. Gran parte de la literatura se centra en su legalidad y conveniencia, en lugar de su efectividad, particularmente para los organismos de seguridad. Para abordar esa brecha, el presente estudio utiliza un análisis de riesgos financieros avanzados y simulación de escenarios para modelar el retorno de la inversión (ROI, por sus siglas en inglés) del uso de las AML. Utilizando un tipo de AML (The Alternative) como caso de estudio, se encuentra que, si bien los eventos extremos con AML ocurren relativamente con poca frecuencia, en comparación con las armas de fuego convencionales, su impacto en la sociedad es significativo. Por ejemplo, las agencias policiales pueden obtener un ROI entre el 1564% y el 2728%. Por cada dólar invertido en adquirir, equipar y capacitar a un oficial con AML, el beneficio adicional se sitúa entre 16 y 28 dólares. Por lo tanto, las AML no solo reducen el daño colateral, el riesgo reputacional y legal, sino que también previenen muertes innecesarias que erosionan la legitimidad policial y la confianza pública.
Palabras clave: armas, análisis cuantitativo, inversión, justicia, policía, política pública, seguridad.
Abstract: Less-Lethal Weapons (LLWs) have been a topic of debate in law enforcement, with much of the literature focusing on their legality and convenience rather than their effectiveness, in particular for police agencies. To address this gap, this study employs advanced financial risk analytics and scenario simulation to model the return on investment (ROI) of LLWs usage. By using a type of LLW (The Alternative) as a case study, the results suggest that while extreme events in LLW occur relatively infrequently compared to conventional firearms, their impact on society is significant. For instance, police agencies can have ROI between 1564% and 2728%. For each dollar invested in acquiring, equipping, and training an officer with LLWs, the added benefit is seen between USD$16 and USD$28. Hence, LLWs not only reduce collateral damage, reputational and legal risk, but also prevent unnecessary deaths which erode police legitimacy and public trust.
Keywords: investment, justice, police, public policy, quantitative analysis, security, weapons.
MISCELÁNEO
El valor de las armas menos letales en seguridad pública
The Value of Less Lethal Weapons in Public Safety
Recepción: 12 Abril 2023
Aprobación: 25 Junio 2023
Publicación: 30 Septiembre 2023
La violencia armada tiene un importante impacto económico. La Geneva Declaration Secretariat (2008) ha enfatizado que el costo de la pérdida de productividad de la violencia criminal o no conflictiva por sí sola es de unos 95 billones de dólares y puede alcanzar como máximo hasta 163 billones de dólares al año. El manejo de esa carga global de violencia armada requiere un fuerte compromiso político para mejorar las instituciones, la recopilación de datos locales y el desarrollo basado en evidencias sobre las relaciones costo-beneficio.
En tal sentido, el uso de la fuerza por parte de las organizaciones del orden público ha sido un asunto divisivo, sin embargo, existen numerosos ejemplos sobre la brutalidad policial y el uso excesivo de la fuerza, que han captado la atención pública en las armas de fuego convencionales o armas letales (Cano, Silva y Pérez Correa 2022). Cabe destacar que ya en el 2014 América Latina contaba con una tasa de 14,3 por 100 000 en los homicidios de jóvenes por armas de fuego (Otamendi 2019) con fuerte incidencia en el accionar policial. Por otro lado, de acuerdo con Naghavi et al. (2018), entre 1990 y 2016 se evidencia que de los seis países donde se producen la mitad de las muertes por arma de fuego en el mundo, cinco son latinoamericanos. Esta lista la encabeza Brasil, seguido de Estados Unidos. México ocupa el tercer lugar y le siguen, en el orden, Colombia, Venezuela y Guatemala. Todo ello genera impactos significativos en el área emocional, física, legal y económica en los afectados y en sus comunidades (Alpers y Wilson 2023). Por ejemplo, la violencia con armas de fuego en Estados Unidos cuesta cada año 2,6% del Producto Interno Bruto −PIB− (Naghavi et al. 2018), y en América Latina y el Caribe representa alrededor del 3% del PIB regional (Caprirolo et al. 2017).
De acuerdo con Ávila, Proaño y Gómez (2014), las armas de fuego convencionales son las que, por diseño o conversión, constan de por lo menos un cañón por el cual un proyectil sale por la acción de un explosivo. Este tipo de armas en materia de acción policial y seguridad ciudadana expone a los departamentos de policía y las agencias federales a daños colaterales, riesgo reputacional y jurídico, principalmente por las muertes injustas e innecesarias.
Como resultado de los casos mencionados, ha aumentado el interés en las armas menos letales (AML o LLW por sus siglas en inglés) como alternativa a las armas de fuego convencionales (Demir, Tekiner y Turan 2022). Las AML están diseñadas para incapacitar a un delincuente o sospechoso; pero, en lo posible, sin causar la muerte, daños severos y lesiones significativas (Lewer y Davison 2005; Reina Arias 2018) mientras se realizan procedimientos de protección y seguridad ciudadana enlistados en las leyes. Dentro de las AML se incluyen las de electrochoque, denominadas Taser, los proyectiles de captura de balas de reducción de velocidad, las balas de goma, bolsas de frijoles y otros proyectiles menos letales utilizados en los departamentos de policía, las agencias federales y locales de aplicación de la ley, en las operaciones policiales militares y para uso público. Las AML, incluso las antes mencionadas, han sido tema de debate significativo en los últimos años (Sheppard y Welsh 2022).
En América Latina, por ejemplo, el Centro Regional de las Naciones Unidas para la Paz, el Desarme y el Desarrollo en América Latina y el Caribe (UNLIREC) en el 2016 estudió los retos y oportunidades de las AML ante la ardua labor policial por mantener y vigilar el orden público (UNLIREC 2016). En el 2017, el Ministerio de Defensa Nacional y Policía Nacional de Colombia (MDNPNC 2017) expidió un reglamento para el empleo de dispositivos menos letales, ajustado a lineamientos de organismos internacionales como la Organización de las Naciones Unidas, el Comité Internacional de la Cruz Roja, la Corte Interamericana de Derechos Humanos, entre otras. En México, en el 2021, la Oficina del Alto Comisionado de las Naciones Unidas para los Derechos Humanos (ACNUDH 2021) introdujo recomendaciones sobre el empleo de las AML en el mantenimiento del orden, y en Perú, Serna-Mora (2021), concluyó que la implementación del uso de las ALM por la policía puede fortalecer la seguridad ciudadana, si se basa en un marco normativo específico e integral con una serie de normas y reglamentaciones. En resumen, la literatura debate su legalidad y conveniencia por parte de los Estados y deja a un lado el valor de la inversión para su implementación efectiva.
Además, en América Latina no hay cifras oficiales y consistentes sobre la violencia armada no letal para medir los impactos económicos del uso de armas no letales por parte de los organismos de seguridad pública (UNLIREC 2016; Álvarez-Velasco 2022). Los objetivos primordiales de los oficiales de seguridad pública son preservar el orden y hacer cumplir la ley al tiempo que protegen los derechos individuales, en última instancia, dichos objetivos se logran con el ejercicio de cierta autoridad coercitiva (Aparicio 2003; Heresmann 2011). Por consiguiente, la sociedad espera que los oficiales de policía actúen con base a su formación y juicio profesional al momento de utilizar la fuerza física para defender a los ciudadanos o para detener a los sospechosos de delitos. En tal sentido, las AML pueden reducir los daños colaterales y riesgos reputacionales y jurídicos que se evidencian en las armas convencionales.
Dadas las limitaciones de acceso a la información en materia de policía y seguridad pública en América Latina y el Caribe (p. ej., violencia por tipos de armas de fuego, daños colaterales, número de policías procesados, entre otros) para estimar los costos por uso de armas (UNLIREC 2016; Naghavi et al. 2018; Álvarez-Velasco 2022; Cano, Silva y Pérez Correa 2022), el presente estudio utiliza datos de dominio público en Estados Unidos. Por ejemplo, la Base de Datos de Financiación de la Policía Nacional (The National Police Funding Database en inglés), las estadísticas de la Oficina Federal de Investigaciones (FBI en inglés) y las estadísticas del Mapeo de la Violencia Policial (Mapping Police Violence en inglés) y del Archivo de Violencia Armada (Gun Violence Archive en inglés). La idea es usar estas fuentes como punto de referencia para estimar los costos de las armas convencionales y para valorar las AML en operaciones de protección y seguridad ciudadana.
Por ejemplo, el Instituto Thurgood Marshall (2022), rector de la Base de Datos de Financiación de la Policía Nacional que promueve prácticas policiales justas y responsables en Estados Unidos, identificó 167 acuerdos anunciados públicamente entre las fuerzas del orden y las víctimas de disparos y sus familias. El monto por compensaciones derivado de dichos acuerdos ascendió a 2 240 000 000 de dólares durante la última década. Asimismo, entre 2005 y 2020, 42 policías no federales fueron condenados por varios tiroteos.
Por otro lado, las últimas estadísticas publicadas por el FBI muestran cuán peligroso es el trabajo de mantener el orden público. El FBI (2021) revela que 2744 oficiales fueron atacados con armas de fuego (6,1% heridos) y 59 oficiales de policía fueron asesinados en el cumplimiento de su deber entre enero y septiembre de 2021. Asimismo, si se revisan los datos del Mapeo de la Violencia Policial en los EE.UU., el gráfico 1 indica que ocurrieron 10 743 muertes por tiroteos policiales entre el 2013 y el 2022. Es importante señalar que hubo múltiples muertes innecesarias de niños menores de 10 años, inclusive, de personas jóvenes entre 11 y 20 años.
La tabla 1 muestra el número de muertes en la última década por disparos del policía, categorizadas por niveles de amenaza y el estado de las armas. En este caso el volumen de casos asociados con ‘presuntamente armado’ y nivel de amenaza ‘ataque’ son elevados. Ello ha puesto a 184 policías bajo investigación penal, según Mapping Police Violence (2023) y Gun Violence Archive (2023). El gráfico 2 muestra que más de 50 oficiales de policía han sido condenados por delitos penales relacionados con el disparo de sus armas de fuegos. Asimismo, en el gráfico sobresale el número de policías condenados por homicidios culposos, homicidios involuntarios y asesinatos. Por último, cabe destacar que las fuentes revisadas no muestran, de manera explícita, información de los costos asociados por el uso de las armas de fuego, sin embargo, el número de muertes es considerable (FBI 2021; Mapping Police Violence 2023; Gun Violence Archive 2023).



Por otro lado, en términos agregados, Reid, Eisler y Smith (2019) mencionan que Reuters documentó un total de al menos 1081 muertes en EE.UU. tras el uso de Taser desde que comenzaron a usarse ampliamente a principios de la década de 2000. Mapping Police Violence (2023) muestra que alrededor de 600 muertes (15 oficiales de policía condenados) han ocurrido a manos de la policía por el uso de AML entre 2013 y 2023. Aunque estos números son muy inferiores al número de muertes por armas de fuego de acuerdo con Borges et al. (2022), estas son una alternativa para que los organismos encargados hagan cumplir la ley y minimicen el riesgo de lesiones graves y muerte y, en consecuencia, los costos asociados. Note que dichas fuentes no muestran de manera explícita los costos asociados con el uso de las AML por parte de organismos de seguridad.
Aunque la implementación de las AML no garantiza evitar muertes o lesiones graves y no elimina por completo la responsabilidad penal de los oficiales de policía, su uso disminuye de modo significativo las probabilidades de dichos riesgos (UNLIREC 2016; Álvarez-Velasco 2022). Si los oficiales actúan dentro de sus deberes y siguen los procedimientos operativos, las agencias de seguridad y el oficial pueden evitar la responsabilidad legal y los riesgos reputacionales. Mediante entrenamiento y tecnología menos letal, el monto de compensaciones a víctimas y familias por acciones negligentes con armas letales se reduce considerablemente. Por lo tanto, este estudio busca estimar el valor de la inversión en AML a través de análisis avanzados de gestión de riesgo y simulación de escenarios, centrándose en la opción The Alternative, desarrollada por Alternative Ballistics Corporation y usada para la intervención policial en materia de seguridad ciudadana.
La estructura del artículo es la siguiente: tras la introducción se desarrolla una revisión bibliográfica de los datos y de la literatura existente en AML para la intervención policial y seguridad ciudadana. En el tercer apartado se propone el enfoque empírico para valorar las AML, se introduce el caso de estudio (The Alternative), se muestra el valor del retorno de la inversión y se presentan algunos escenarios con base en el uso de analíticas avanzadas de simulación de Monte Carlo. En el cuarto apartado se desarrolla la discusión de los resultados, se presentan otros aspectos que se podrían considerar en el enfoque empírico y se abren futuras líneas de investigación o extensión del caso de estudio. En la última sección aparecen las conclusiones principales.
El empleo de la fuerza por parte de oficiales encargados de hacer cumplir la ley ha generado preocupación y debate público, sobre todo, en lo que respecta al uso de la fuerza letal (Naval Studies Board y National Research Council 2003; Mesloh, Henych y Wolf 2008; Sheppard y Welsh 2022). Las AML, como las pistolas de electrochoque, el gas pimienta y las balas de goma se consideran alternativas al armamento letal tradicional (Alexander 2001; Borges et al. 2022) y están diseñadas para incapacitar objetivos sin causar muerte o lesiones graves (ACNUDH 2021). Sin embargo, la literatura aún no ha explorado exhaustivamente la eficacia y los efectos económicos de las AML en la reducción de muertes y lesiones en interacciones con la aplicación de la ley. La capacidad de los oficiales para utilizar tanto fuerza letal como no letal es característica distintiva de la profesión policial (Bittner 1970), pero también aumenta su exposición a riesgos legales y quejas ciudadanas (Archbold 2005).
En América Latina y el Caribe el UNLIREC (2016) ha examinado su contexto y uso en el control de masas y la reducción de fatalidades, y la ACNUDH (2021) ha recomendado su empleo como alternativa menos peligrosa al uso de armas de fuego para mantener el orden y reducir lesiones. No obstante, la discusión hasta ahora se ha centrado en la legalidad y conveniencia de incorporar estas armas, así como su valor cualitativo (Demir, Tekiner y Turan 2022; UNLIREC 2016; Álvarez-Velasco 2022). Bostic (1994) recomienda considerar el impacto económico, ya que las armas en verdad no letales podrían alterar la asignación de fondos en seguridad ciudadana. Por ejemplo, en Estados Unidos y en los países con más crímenes por armas de fuegos se podrían ahorrar grandes sumas en demandas y gastos médicos relacionados con la policía. Informes sugieren que el mal uso de la fuerza, letal y no letal, y la violación del debido proceso en arrestos son situaciones que pueden resultar en indemnizaciones a los ciudadanos (Blalock 1974; Craig 1977).
El uso de las AML es considerado una forma protección para los oficiales de policía, pues el empleo de armas letales genera dudas y ansiedad antes de su utilización. Se argumenta que las armas no letales podrían contribuir a eliminar la brecha existente entre la policía y las comunidades a las que sirven (Bostic 1994; Casey-Maslen, Heyns y Probert 2022). La política actual exige que los oficiales utilicen la menor cantidad de fuerza necesaria durante los procedimientos de aplicación de la ley. Sin embargo, incluso cuando la aplicación de la fuerza es justificable, los oficiales siguen siendo susceptibles a demandas legales. Desde 1961, ha habido un aumento constante en los litigios contra la policía debido a decisiones judiciales, la naturaleza litigiosa de la sociedad y la tendencia de responsabilizar a las autoridades por sus acciones (Hougland, Mesloh y Henych 2005).
Los oficiales de policía deben utilizar la fuerza física de acuerdo con su entrenamiento y criterio, ya sea para proteger a ciudadanos o a sí mismos, o para detener a sospechosos (Bulman 2011; Hirschfield 2023). Sin embargo, el uso de la fuerza por parte de la policía, que resulta en lesiones, plantea preocupaciones de abuso policial, da lugar a demandas y daña la reputación policial (Bulman 2011; Hirschfield 2023). Estas lesiones generan gastos médicos para personas sin hogar, compensaciones laborales para oficiales heridos y daños pagados a través de acuerdos judiciales. Dado que los oficiales a veces necesitan usar la fuerza, que puede incluir armas letales, es inevitable que algunas interacciones resulten en lesiones a individuos y oficiales.
Según Hickman et al. (2021), estas lesiones tienen costos reales como gastos médicos y salarios perdidos, además de costos intangibles como la disminución de la legitimidad policial y la confianza ciudadana, que son difíciles de cuantificar, pero tienen un impacto duradero en las percepciones ciudadanas. La utilización de las AML es una estrategia efectiva para reducir daños, pero se requieren evaluaciones más rigurosas de su uso policial para establecer políticas y prácticas que minimicen el daño en interacciones violentas. Sheppard y Welsh (2022) destacan que los departamentos de policía que consideren adoptar, mantener o ampliar el uso de AML deben hacerlo de manera cuidadosa, basándose en evidencia científica y manteniendo un entrenamiento riguroso. Aunque las AML en América Latina están en una etapa temprana, en comparación con las armas letales, Álvarez-Velasco (2022) sostiene que es crucial mejorar los protocolos y el entrenamiento de la policía para reducir la letalidad.
Muchos estudios han evaluado la eficacia de las AML en una variedad de contextos (Sheppard y Welsh 2022). Según un estudio realizado por el Instituto Nacional de Justicia (NIJ en inglés), los dispositivos de energía dirigida (CED en inglés), como los Taser, reducen el riesgo de lesiones a los oficiales de arresto y a los sospechosos (Adams y Jennison 2007; Alpert et al. 2011; Kjellman 2016; Kunz et al. 2018). Del mismo modo, un metaanálisis de varias investigaciones reveló que los CED son útiles para someter a los sospechosos sin ocasionar lesiones graves (Strote et al. 2010). Más aún, la investigación elaborada por el Foro de Investigación Ejecutiva de la Policía (PERF en inglés) descubrió que el uso de las AML en los encuentros con la policía había reducido las lesiones tanto de los oficiales como de los sospechosos (PERF 2016).
Al analizar las AML la seguridad es de suma importancia. Si bien estas armas están diseñadas para disminuir la posibilidad de daños letales, las AML son capaces de causar daños corporales o la muerte en algunas circunstancias (Kunz et al. 2018; Strote et al. 2010; Reid, Eisler y Smith 2019). Haar et al. (2017) indican, por ejemplo, que el uso del gas pimienta puede producir daños graves o muerte, y Amnistía Internacional (2021) informa sobre casos de muertes debido al uso incorrecto de pistolas Taser por parte de oficiales. Además, las AML podrían ser ineficaces contra ciertos individuos debido a factores como estatura, ropa o problemas médicos, lo que se ha observado en estudios como los de White y Ready (2007) y Dobrowolski y Moore (2005).
Aunque la implementación de AML no garantiza la prevención constante de muertes o lesiones graves se ha notado una disminución drástica en ambos casos con su uso. Siempre que los oficiales actúen dentro de sus deberes y protocolos, es probable que no enfrenten responsabilidad legal o civil. Por tanto, un entrenamiento adecuado en el uso de AML puede reducir considerablemente las acciones imprudentes y situaciones de fuerza, y así se disminuyen las compensaciones a las víctimas y sus familias (Cox 2005; Geis y Binder 1990). De esta manera, los Estados pueden mitigar el riesgo de tener que indemnizar a personas que fueron objeto de un uso ilegal de la fuerza menos letal (ACLU Massachusetts 2015).
En resumen, la investigación existente indica que las AML pueden limitar la probabilidad de lesión o muerte en operativos policiales para hacer cumplir la ley y proteger los ciudadanos. Sin embargo, estas armas tienen desventajas que hay que tener en cuenta, tales como el potencial de su uso indebido o abuso, y la posibilidad de ineficacia en contra de objetivos particulares. No obstante, para la policía las AML se han convertido en una necesidad absoluta. De hecho, se puede decir que los departamentos que no dotan a su policía con AML son negligentes en salvaguardar a la ciudadanía (Kjellman 2016). En este sentido, y para coadyuvar a la toma de decisiones, la siguiente sección desarrolla el enfoque empírico para valorar las AML en términos de retorno de la inversión.
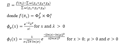
Los autores proponen un modelo beneficio-costo para calcular el retorno cuantitativo de la inversión o ROI analizando el valor de adquirir, capacitar e implementar tecnologías de AML bajo las siguientes suposiciones. Los beneficios monetarios totales dependen de los costos potenciales ahorrados que provienen de la distribución de probabilidad de la frecuencia y la gravedad o consecuencia (daños colaterales, costos reputaciones y legales, entre otros). Con base en dicha información, se crean escenarios de simulación usando como referencia el número de eventos con armas de fuego (p. ej., número de tiroteos) relacionados con la policía y organismos de seguridad pública en un horizonte temporal relevante. Asimismo, se determina el promedio de casos anuales. Estos casos se pueden relacionar con la población promedio u objetivo en una región, ciudad o país durante el período de análisis. Por último, se estima la proporción de casos con relación a la población objetivo y los potenciales beneficios (tangibles e intangibles) derivados de la implementación de tecnologías de AML.
Luego, se requiere ejecutar analíticas avanzadas de simulación estocástica (Mun 2010), por ejemplo, simulaciones de Monte Carlo con un número de pruebas que oscilen de 10 000 a 1 000 000. Se utiliza una distribución de Poisson para la frecuencia y un log-normal , así como distribuciones triangulares para medir la severidad de un resultado, si así ocurre. Es decir, se tiene:

Para culminar, se implementa un modelo aditivo de riesgo financiero o beneficio-costo (Mun 2010), donde el costo total es la suma de los costos individuales (i.e., certificaciones, manejo, precios unitarios) para lasopciones o tecnologías de AML seleccionadas, multiplicado por el número de unidades requeridas . Al comparar los costos versus los beneficios relativos, con base en el análisis estocástico, se estima el ROI (). En otras palabras, por cada unidad monetaria invertida en adquirir, equipar y capacitar a un oficial para usar una AML, se determina cuánto de retorno o valor adicionado se captura en beneficios para la población objetivo. Por tanto, el enfoque permite contrastar información real de la población objetivo y costos de implementación de las AML con escenarios probabilísticos de disminución de los daños colaterales, el riesgo reputacional, las muertes sin sentido por heridas letales, incluidas las reclamaciones por muerte culposa y riesgo penal y legal para los oficiales de policía y/o agentes federales.
A pesar de que existe importante literatura sobre sobre los dispositivos de energía conducida, como las pistolas Taser y otras AML, se decidió seleccionar caso de estudio la opción The Alternative de la compañía Alternative Ballistics Corporation, ubicada en los EE.UU. Todos aquellos aspectos relacionados con su desarrollo e ingeniería están fuera del alcance de esta investigación. Por ejemplo, para los fines de este estudio, se supone que la AML seleccionadaha sido probada y examinada con exhaustividad por oficiales calificados encargados de hacer cumplir la ley. Cualquier discusión sobre su eficacia, facilidad de uso, robustez, confiabilidad y otras propiedades asociadas está fuera del alcance de esta investigación.
La opción seleccionada The Alternative es un acoplamiento opcional patentado, ligero y asequible que se monta en la parte superior de un arma de fuego convencional (Figura 1). Su uso no requiere reemplazar el arma actual ni aumentar el arsenal para operaciones policiales. Una vez instalado, el arma del oficial se convierte en un dispositivo menos letal. De acuerdo con Alternative Ballistics (2021), es compatible con armas comunes como Glock 17, Glock 19, Smith & Weston M&P, CZ-P10 y Sig-Sauer P-229, y admite municiones de 9 mm y calibres .40 y .45. La unidad The Alternative emplea una aleación patentada que permite que una bala disparada se incruste en el proyectil mientras se dirige al objetivo, de modo que funciona como una especie de bolsa de aire para la bala, y así mantiene su impacto contundente para someter al sospechoso.

De acuerdo con algunas especificaciones técnicas y aspectos testeados bajo el protocolo ASTM E3276/E3276M-21 (Alternative Ballistics 2021), se indica que cuando se dispara con la munición Speer Gold Dot 9 mm +P/GDHP 124 Grain, que es la munición elegida por las fuerzas del orden público en todo el mundo, la velocidad de salida es de 1220 fps con 410 pies/lbs frente a disparar con la The Alternative. La velocidad de salida se reduce a 220 fps con 77,5 pies/lbs a 21 pies. Los resultados de estas pruebas indican una reducción entre el 75% y el 85% en la velocidad y la fuerza de impacto, dependiendo de la munición utilizada y la distancia de impacto medida.
Es esencial destacar que, aunque todos los impactos causados por dispositivos menos letales (como el Taser o el gas pimienta) conllevan a una inherente posibilidad de ser letales, el propósito del dispositivo The Alternative es precisamente reducir esta probabilidad al transformar un arma de fuerza letal en un instrumento de menor letalidad para proteger a los oficiales de daños colaterales y riesgos reputacionales y jurídicos. No obstante, esta tecnología también tiene riesgos de fracturas costales o incluso lesiones en el esqueleto torácico, por eso se mantiene en un delicado equilibrio entre ser efectiva sin ser perjudicial en diversas situaciones.
Para calcular el retorno de la inversión (ROI) de la AML seleccionada (The Alternative) o cualquier otra AML se sigue el enfoque empírico propuesto con base en las siguientes suposiciones. Los beneficios monetarios totales están asociados a los costos potenciales ahorrados. Por ejemplo, en los Estados Unidos hubo 11 196 muertes por tiroteos relacionados con la policía en los últimos 10 años (tabla 1), con un promedio de 1120 casos anuales en una población promedio de 360 000 000. Aún más, se asume una incidencia de 0,311 casos por cada 100 000 habitantes con una demanda promedio de 25 000 000 de dólares (con un mínimo de 5 000 000). Note que esto es una suma baja en referencia a lo reportado por el Instituto Thurgood Marshall (2022), que identificó 167 caso anunciados entre las fuerzas del orden y las víctimas de disparos y sus familias, con un monto que ascendió a 2 240 000 000 000 de dólares en compensaciones en los últimos 10 años.
El costo total es la suma de los costos individuales (p. ej. la porta pistolas y la certificación) multiplicado por el número de unidades requeridas por oficial de policía. Las estadísticas nacionales muestran un promedio de 2,5 oficiales de policía por cada 1000 habitantes en los Estados Unidos, donde al año sería suficiente un promedio de tres unidades por oficial, por tanto, el costo prorrateado de The Alternative promedia 100 dólares por unidad. Según Alternative Ballistics (2023), para una ciudad pequeña o suburbio con una población de 10 000, los gastos totales serían unos 10 000 dólares por año para el equipo y la certificación.
Ahora se ejecuta una simulación estocástica de Monte Carlo con 10 000 pruebas, mediante una distribución de Poisson para la frecuencia y un log-normal , así como distribuciones triangulares para medir la severidad de un resultado. De esta manera, los resultados del análisis estocástico muestran que el ROI está entre 1343% y 1841% con una confianza estadística del 95% (gráfico 3). En otras palabras, por cada un dólar invertido en adquirir, equipar y capacitar a un oficial para usar The Alternative, el retorno está entre 14 y 19 dólares.

Ahora bien, para una ciudad un poco más grande con una población de 100 000 (gráfico 4), el impacto del valor esperado es de 7 700 000 de dólares en exposición legal con un 3% de probabilidad de ocurrencia. Aunque la probabilidad de ocurrencia de un incidente de esta magnitud es remota o bastante baja, cuando sí ocurre el impacto es significativo en la comunidad. Las exposiciones legales y financieras son también significativas. Los 10 000 dólares de inversión por la opción The Alternative y AML similares pueden verse como una póliza de seguro contra cualquier daño colateral. Una analogía similar sería la del seguro de hogar contra riesgos de incendio. La casa típica tiene entre 0,03% y 0,05% de probabilidad de un incendio con un costo promedio de seguro de 1000 dólares, en dependencia de la ubicación, el tamaño y el año en que se construyó, entre otras cosas. Uno espera no tener que reclamar el seguro, pero está allí en caso de que ocurra el peor de los escenarios, pérdidas innecesarias de vidas o mitigación de los riesgos de la acción policial.

Observe que estos cálculos presentados en los gráficos 3 y 4 se basan en medidas cuantitativas, no incluyen los beneficios cualitativos tales como la reducción del riesgo reputacional, disminución de los riesgos de disturbios y revueltas civiles, y/o disminución del deterioro de la confianza del departamento de policía o agencia de seguridad pública. El valor de estas mitigaciones de riesgos es incalculable, sin embargo, el impacto más valioso de todos es la posibilidad de evitar la pérdida innecesaria de vidas, sin entrar en valoraciones sobre la población económicamente activa, el género, la edad, entre otros aspectos. Incluso si los 10 000 dólares de costo de implementación evitan la muerte colateral de un niño pequeño, es de suponer que el beneficio es infinitamente mayor e incalculable.
Por último, la tabla 2 proporciona un análisis de escenarios basado en los resultados simulados de ROI para varias ciudades con diferentes tamaños de población (1000 a 10 000 000) y el costo anual prorrateado correspondiente por oficial (adquisición de equipos, repuestos, capacitación y certificación). Por ejemplo, con la opción seleccionada The Alternative a un precio de 100 dólares por oficial, en una ciudad de 10 000 personas con un promedio de 3,4 oficiales por cada 1000 habitantes, el equipar y armar a estos 34 oficiales retornaría en promedio un 1564% en ROI.
Cuanto más grande sea la ciudad, menor es el número promedio de oficiales por cada 1000 habitantes, porque el número total de oficiales aumentaría de manera sustancial y habría una disminución en la proporción marginal, lo que significa que el ROI aumentaría (es decir, de 1564% en una ciudad de 10 000 sube a 2728% a una gran metrópolis de 10 000 000). Además, cuanto más caro sea el equipo menos letal, menor será el ROI. Por ejemplo, un arma de descarga de alta energía que cuesta 1500 dólares por oficial, solo puede producir un ROI del 11% en una ciudad de 10 000 personas.

El enfoque propuesto se centró, grosso modo, en las preocupaciones planteadas por el armamento letal, debido a que los oficiales de policía deben participar de manera ocasional en actos físicos de coerción y, en cierta medida, es inevitable que algunas de estas interacciones resulten en lesiones corporales a las personas o activos, incluidos los propios oficiales. Dichas lesiones tienen costos reales y cuantificables como tratamientos médicos, salarios perdidos, responsabilidad municipal, reclamaciones y acuerdos judiciales, disturbios y exposición legal o incluso criminal.
Por consiguiente, el estudio demuestra que la adquisición, el entrenamiento y la implementación de una AML como The Alternative tiene un retorno de la inversión en poblaciones de 10 000 habitantes que oscila entre 1343% y 1841% con una confianza estadística del 95%. Los beneficios cuantificables por sí solos justifican la adquisición e implementación de dicha opción. Asimismo, esta AML puede producir más del 1564% del retorno de la inversión poblaciones de más de 10 000 habitantes. Es decir, por cada dólar invertido en adquirir, equipar y capacitar a un oficial, el beneficio oculto sería superior a 16 dólares.
Si estos costos (reputacionales, legales, entre otros) obtenidos para Estados Unidos fueran extrapolables en escalas similares para América Latina, en especial, para Brasil, México, Colombia, Venezuela y Guatemala, que encabezan las muertes por arma de fuego en el mundo, se podría observar que cada un dólar invertido en adquirir, equipar y capacitar a un oficial en AML, el beneficio oculto para los organismos de seguridad sería de alrededor 16 dólares. Sin embargo, el usuario debe evaluar los tipos de tecnologías, marco institucional, calidad de información y cuáles son los riesgos aceptables, por ejemplo, disparos en la cabeza o en órganos frágiles tales como el hígado o el corazón pueden resultar en la muerte de una persona. En tal sentido, dicha información requiere ser analizada en el enfoque empírico propuesto.
A pesar de que los resultados son robustos ante la cantidad de escenarios usados, el ROI puede aumentar aún más, si se logra estimar la reducción de los impactos de daños colaterales, de riesgo reputacional para las agencias de seguridad, de casos de muertes por negligencia, de responsabilidad legal y el riesgo penal de los oficiales de seguridad. Por ejemplo, en áreas donde exista alta probabilidad de daños colaterales (daños físicos o ambientales), The Alternative y cualquier otra AML mostrarán porcentajes de ROI muy superiores a los mostrados en el caso de estudio.
En relación con la reducción del riesgo reputacional, UNLIREC (2016) y Cano, Silva y Pérez Correa (2022) han indicado que los incidentes de brutalidad policial o uso excesivo de la fuerza pueden dañar la reputación de una agencia de seguridad. Por tanto, el uso de la opción seleccionada aumentará el ROI por considerarse como un enfoque más humanitario y menos conflictivo del control policial, que contribuye a la confianza y el apoyo ciudadano. Sin embargo, los agentes requieren entrenamiento y capacitación que les permita preservar la vida, integridad física y moral de las personas, además de fortalecer la labor que ofrecen al reducir daños colaterales adheridos a los protocolos necesarios (Naval Studies Board y National Research Council 2003; Oramas, Terrill y Foster 2023).
Finalmente, el riesgo penal se pone en relieve cuando los oficiales de la ley usan su fuerza excesiva (Hougland, Mesloh y Henych 2005). Ello puede generar sanciones penales o civiles al violar los derechos civiles del sospechoso. Las demandas presentadas por homicidio culposo en contra de las agencias del orden y los agentes federales pueden ser costosas. Al proporcionar un medio menos agresivo para detener a los sospechosos por medio del uso de las AML se podría reducir la probabilidad de dichas demandas y evitar sus consecuencias negativas al mismo tiempo que aumentaría el ROI.
Es importante mencionar que cualquier despliegue tecnológico de armas alternativas en las operaciones policiales y federales tiene algunos inconvenientes. Por ejemplo, si las municiones menos letales se manejan de manera incorrecta, las AML pueden ocasionar daños graves como lesiones, discapacidades permanentes o la muerte (Sheppard y Welsh 2022; Kunz et al. 2018; Strote et al. 2010). Las balas de goma y las bolsas de frijoles, inclusive la opción The Alternative, por ejemplo, pueden ocasionar lesiones graves, si se disparan a corta distancia o si golpean una región vulnerable del cuerpo, como la cabeza, el hígado o el cuello. Por consiguiente, no solo más estudios son necesarios, sino que los usuarios deben evaluar los niveles aceptables de riesgo de las AML en sus procedimientos, entrenamientos y protocolos (UNLIREC 2016). Las AML pueden no ser tan eficaces al detener a un individuo como los son las armas de fuego convencionales, por tanto, su empleo puede no ser el adecuado en todas las circunstancias.
En America Latina, el UNLIREC (2016), la ACNUDH (2021) y Naghavi et al. (2018) subrayan que se destaca la importancia de la transparencia y la rendición de cuentas en el uso de armas de fuego. Por tanto, es necesario que las autoridades responsables informen y den cuenta de manera pública de los casos en los que se utilicen armas, incluidas las AML, así como de las investigaciones y sanciones en caso de abusos o mal uso en el ámbito de protección y seguridad ciudadana.
Los resultados empíricos de la presente metodología muestran que la implementación de las AML en operaciones de protección y cumplimiento de la ley es una alternativa económicamente factible con respecto a las armas de fuego convencionales en el contexto de EE. UU. o América Latina. Sin embargo, a pesar de las limitaciones de información en materia de policía y seguridad pública en América Latina y el Caribe, el enfoque empírico propuesto puede facilitar la estimación del valor de la inversión en las AML con un mínimo de supuestos de costos y beneficios.
Este estudio resalta los beneficios de las tecnologías de AML en términos de retorno de inversión (ROI) cuando la fuerza letal no es justificada o se necesita controlar a un individuo sin causar daño fatal. Las AML pueden reducir daños colaterales, daños a la reputación, muertes innecesarias y demandas por homicidio culposo, y así disminuir la responsabilidad penal de los oficiales. No obstante, las AML también tienen riesgos de lesiones mortales, por lo que se mantienen en un delicado equilibrio entre ser efectivas sin ser perjudiciales en diversas situaciones.
En la toma de decisiones estratégicas de aplicación de la ley el uso de análisis avanzados, como la simulación de Monte Carlo, permite evaluar distintos escenarios de ROI en la implementación de las AML. Por ejemplo, en Estados Unidos, la adopción de The Alternative podría generar un ROI entre 1343% y 1841% con un 95% de confianza estadística. Estos beneficios pueden justificar su adopción y ofrecen ventajas intangibles incalculables en poblaciones de más de 100 000 habitantes. Cada dólar invertido en adquisición, equipamiento y capacitación de oficiales resulta en un beneficio oculto de entre 16 y 28 dólares (ROI del 1564% al 2728%).
Este enfoque metodológico y empírico puede aplicarse a cualquier tecnología de seguridad pública, pero es especialmente relevante para estimar el valor de implementar AML más allá de su legalidad y conveniencia estatal. El uso adecuado de AML reduce daños colaterales, riesgos legales y reputacionales asociados a armas de fuego convencionales.
Estos hallazgos tienen implicaciones cruciales, en especial para América Latina y el Caribe, al promover la inversión en AML para el orden público, la protección ciudadana y la reducción de muertes innecesarias. Esto, a su vez, influye en las políticas para la incorporación eficaz y segura de AML, pues se disminuyen costos colaterales, se preservan la legitimidad policial y la confianza ciudadana, y se mejoran las percepciones de seguridad pública a largo plazo.







