CLASSIFICAÇÃO NÃO-SUPERVISIONADA DE IMAGENS RAPIDEYE NO MAPEAMENTO DA COBERTURA DAS TERRAS DO DELTA DO PARNAÍBA, PIAUÍ
UNSUPERVISED CLASSIFICATION OF RAPIDEYE IMAGES IN THE MAPPING OF LAND COVERAGE OF DELTA DO PARNAÍBA, PIAUÍ
CLASIFICACIÓN NO SUPERVISADA DE IMÁGENES RAPIDEYE EN EL MAPEO DE LA COBERTURA DE LAS TIERRAS DEL DELTA DEL PARNAÍBA, PIAUÍ
CLASSIFICAÇÃO NÃO-SUPERVISIONADA DE IMAGENS RAPIDEYE NO MAPEAMENTO DA COBERTURA DAS TERRAS DO DELTA DO PARNAÍBA, PIAUÍ
GEOSABERES: Revista de Estudos Geoeducacionais, vol. 12, núm. 1, pp. 88-106, 2021
Universidade Federal do Ceará

Recepção: 03 Agosto 2020
Aprovação: 31 Janeiro 2021
Publicado: 01 Fevereiro 2021
Resumo: O objetivo do trabalho foi mapear as classes de cobertura das terras de uma área do Delta do Parnaíba, Piauí aplicando o método de classificação não-supervisionada em imagens RapidEye. Através do processamento digital das imagens em ambiente SIG foi possível mapear 12 classes de cobertura das terras. Os resultados indicaram que o maior percentual da área de estudo é coberta por campos com a presença de vegetação arbustiva e predomínio da pastagem. Outras classes (dunas móveis e cordão arenoso, vegetação rasteira e solo exposto) caracterizam alto nível de vulnerabilidade ambiental e risco de erosão, ilustrando a necessidade de técnicas de manejo sustentáveis. Com base nas técnicas e critérios de avaliação adotados, o mapeamento indicou concordância muito boa, ressaltando a qualidade da interpretação visual da imagem e do método de classificação empregado.
Palavras-chave: SIG, Processamento digital de imagens, Litoral.
Abstract: The aim of this paper was the mapping of the land cover classes in an area of the Delta do Parnaíba, Piauí, NE, Brazil using the unsupervised classification method in RapidEye images. Through digital processing of images in a GIS environment, it was possible to map 12 classes of land cover. The results showed that the highest percentage of the study area is covered by fields with the presence of shrub vegetation and a predominance of pasture. Other classes (mobile dunes and sandy shoreline, undergrowth and exposed land) characterize a high level of environmental vulnerability and risk of erosion, illustrating the need for sustainable management techniques. Based on the techniques and evaluation criterias, the mapping indicated very good agreement, emphasizing the quality of the visual interpretation of the image and the classification method employed.
Keywords: GIS, Digital image processing, Coastal.
Resumen: El objetivo de este trabajo fue mapear las clases de cobertura de las tierras de un área del Delta del Parnaíba, Piauí, NE, Brasil aplicando el método de clasificación no supervisado en imágenes RapidEye. A través del procesamiento digital de imágenes en entorno SIG fue posible mapear 12 clases de cobertura terrestre. Los resultados indicaron que el mayor porcentaje del área de estudio está cubierto por campos con presencia de vegetación arbustiva y predominio de pastos. Otras clases (dunas móviles y cordón arenoso, vegetación pionera y suelo expuesto) caracterizan un alto nivel de vulnerabilidad ambiental y riesgo de erosión, lo que ilustra la necesidad de técnicas de gestión sostenibles. Sobre la base de las técnicas y criterios de evaluación adoptados, el mapeo indicó concordância muy buena, ressaltando la calidad de la interpretación visual de la imagen y del método de clasificación empleado.
Palabras clave: SIG, Procesamiento digital de imágenes, Costa.
INTRODUÇÃO
Nos últimos anos o meio ambiente costeiro tem sido motivo de preocupação nas esferas acadêmica e política devido aos processos de degradação e perda de recursos naturais. A intensa pressão que as sociedades têm exercido, resultante do crescimento e adensamento populacional atrelado ao crescimento econômico tem modificado esses ambientes e comprometido seus recursos hídricos, as coberturas vegetais e a produtividade dos solos.
Para o litoral do Piauí, que tem sido alvo de especulação imobiliária e expansão da atividade turística, existe uma necessidade de estudos e avaliações dos impactos ambientais, do uso e cobertura das terras em escalas cada vez mais detalhadas, para fins de planejamento e ordenamento territorial e ambiental, que visem o desenvolvimento da região e, na mesma medida, a manutenção desse ecossistema.
Nesse sentido, a utilização de técnicas de geoprocessamento e produtos de sensoriamento remoto para análise do meio físico permitem o planejamento e administração da ocupação de forma ordenada e racional, monitorar e avaliar áreas de vegetação natural, entre outras, uma vez que proporcionam maior agilidade no processamento e atualização de dados com menor custo (FLORENZANO, 2008;VAEZA et al., 2010).
A classificação de imagens multiespectrais de sensores orbitais consiste em uma metodologia usada para caracterização, comparação de paisagens, gestão ambiental e ordenamento do território com aplicações na modelagem e monitoramento das mudanças na paisagem (STÉVIC et al., 2016). Para Costa et al., (2016) a utilização de tecnologias como o sensoriamento remoto, que incorpora informações espaciais de maior escala, é uma possibilidade para o refinamento de diversos mapas temáticos. Os dados de sensoriamento remoto fornecem covariáveis para o mapeamento, aplicadas em Modelos Digitais de Elevação (MDEs), índices espectrais, imagens da superfície, dentre outras (SILVEIRA et al., 2013;CHAGAS, 2006).
De acordo com Queiroz et al. (2017), a classificação de imagens pode ser definida como o processo que permite transformar uma imagem numérica multiespectral, constituída por diferentes bandas, em uma carta temática, no decorrer do qual os objetos sobre a superfície terrestre são agrupados e identificados de acordo com as suas características espectrais, espaciais ou temporais, atribuindo cada pixel a uma determinada classe ou categoria previamente definida pelo usuário.
Existem vários métodos de se classificar imagens, que buscam, através de diversas abordagens, identificar com acurácia a informação de cada pixel da imagem, enquadrando-o em categorias e/ou classes. Dentre essas técnicas pode-se destacar a classificação não supervisionada. Para Rosa (2009), ela não requer qualquer informação sobre classes de interesse, somente examinando sem auxílio do analista, os agrupamentos espectrais do alvo e dividindo-os em classes. Esse tipo de classificação trabalha com uma lógica conhecida como análise de agrupamento (clustering), sendo útil quando não se possui informações sobre a área imageada ou quando se pretende fazer uma classificação exploratória, sendo as classes definidas no algoritmo de classificação.
Assim como os métodos de classificação de imagens, os sensores remotos também evoluíram, principalmente, no que diz respeito às suas resoluções temporais, espectrais e espaciais. Nesse contexto, vários autores apontam a eficácia dos sensores a bordo da constelação de cinco satélites RapidEye, que possuem resoluções espacial, radiométrica, temporal e espectral melhoradas (SCHUSTER et al., 2012; RAMOELO et al., 2012;DELEGIDO et al., 2013). Para esses autores o RapidEye proporciona as melhores resoluções espacial e temporal, além de uma banda na região da borda do vermelho, comumente conhecida como “red edge”, propícia para a determinação do estado de saúde fotossintética da vegetação. Essa banda tem sido utilizada com a finalidade de aperfeiçoar o resultado das classificações de uso e cobertura do solo.
Partindo do exposto, o objetivo deste trabalho foi mapear o uso e cobertura das terras em área do Delta do Parnaíba – Piauí por meio da classificação não supervisionada de imagens RapidEye, de alta resolução espacial.
MATERIAIS E MÉTODOS
Área de estudo
A área de estudo está localizada na porção norte do litoral piauiense e no nordeste setentrional do Brasil e compreende parte da Área de Proteção Ambiental Delta do Parnaíba (criada pelo Decreto Federal de 28 de Agosto de 1996) e parte da Reserva Extrativista Marinha do Delta do Parnaíba (criada pelo Decreto Federal de 16 de Novembro de 2000), mais precisamente na região delimitada pelo rio Igaraçu a sudeste, rio Parnaíba a oeste e o Oceano Atlântico ao norte, abrangendo o município de Ilha Grande, e parte do município de Parnaíba. A área estudo tem aproximadamente 282 km2, dos quais 8 km2 pertencem à Resex (Figura 1)(PORTELA et al., 2020).
A área em questão merece destaque pela importância socioeconômica e ambiental que representa para o Estado, tendo em vista a diversidade de ambientes e sistemas naturais que ali se encontram e que subsidiam atividades econômicas importantes, a exemplo da turística, extrativismo, dentre outras. Está regulamentada na legislação brasileira a partir da Lei Federal N° 9.985, de 18 de julho de 2000, que institui o Sistema Nacional de Unidades de Conservação da Natureza (SNUC) (BRASIL, 2000). Esta classifica as unidades de conservação em unidades de proteção integral e de uso sustentável, estando as duas unidades supracitadas classificadas como unidades de uso sustentável.
O Litoral do Piauí é influenciado por diversos agentes oceânicos, atmosféricos e continentais, motivo pelo qual é particularmente sensível a mudanças climáticas (NEVES; MUEHE, 2008). Em relação aos parâmetros climáticos, a área de estudo, que possui clima Tropical Equatorial, é submetida aos efeitos de sistemas geradores das condições de tempo, especialmente no que se refere ao regime das chuvas, cujo sistema responsável pela manutenção é a Zona de Convergência Intertropical (ZCIT). Sua influência se traduz em chuvas intensas e relativamente regulares, principalmente nos meses de março-abril. Outros sistemas atmosféricos que atuam sobre a área, estimulando a formação de nuvens por convecção e causando consequente precipitação, são os Vórtices Ciclones de Altos Níveis (VCANs), as Linhas de Instabilidade (LI), os Complexos Convectivos de Meso-escala (CCMs) e as Frentes Frias (FERREIRA; MELO, 2005).
De acordo com a geologia, no Delta do Parnaíba predominam sedimentos do período Quaternário. Os sedimentos do período Quartenário são representados pelos depósitos praiais, eólicos, marinhos e lagunares e depósitos colúvio-aluvionares. A área encontra-se subdividida em 7 (sete) unidades geológicas, sendo: Delta e Canais Fluviais; Depósito Litorâneos de Praias Recentes; Depósitos Eólicos Litorâneos Móveis; Depósitos Eólicos Litorâneos Fixos; Depósitos fluvioaluvionares; Depósitos de Pântanos e Mangues; e Depósitos arenosos (VALLADARES; CABRAL, 2017).

As unidades geomorfológicas que compõem a área em estudo compreendem os relevos de agradação. Os relevos de agradação são aqueles em que predominam os processos deposicionais, tanto do tipo continental como é o exemplo da planície fluvial, quanto do tipo litorâneo como é o caso da planície costeira, da planície fluvio-marinha, das planícies coluvio-aluvio-marinhas e das planícies flúvio-lagunares, além de dunas móveis, cordão arenoso e praias. Através do mapeamento realizado por Sousa (2015), em escala de 1:100.000 é possível identificar 9 (nove) unidades geomorfológicas na área do Delta do Parnaíba, sendo: Cordão arenoso; Delta e canais fluviais; Dunas estabilizadas; Dunas móveis; Paleodunas; Praia; Planície eólica; Planície fluvio-marinha e; Planície e terraço fluvial.
Com relação à pedologia, a planície do Delta do Parnaíba apresenta solos formados por sedimentos de granulometria variada, destacando a ocorrência das seguintes ordens: Cambissolos, Espodossolos, Gleissolos, Planossolos, Neossolos, Vertissolos e Organossolos, destacando maior nível de abrangência para os Neossolos Quartzarênicos (RQ), Gleissolos Háplicos (GX) e Tiomórficos (GJ), e Cambissolos Flúvicos (CY) (CABRAL et al., 2019; AMORIM, 2019).
A região de estudo possui uma biodiversidade vegetal traduzida nos vários tipos de vegetação encontrados, que predominam na paisagem e se misturam com outras formações como restingas costeiras, vegetação de Cerrado e Caatinga. Segundo Costa e Cavalcanti (2010), a vegetação presente na área tem a maioria de suas espécies lenhosas, caracterizadas por árvores espaçadas com coroas irregulares e aspecto secundário, interposto pela agricultura de subsistência. A vegetação apresenta fisionomias de restinga frutícetos inundáveis e não inundáveis nucleados por espécies arbóreas, sendo estas demarcadas por áreas de depressão, resultante da atividade eólica sobre as dunas, inundáveis, no período chuvoso, bem como formações de campos e carnaubais (SANTOS-FILHO et al., 2010).
Procedimentos metodológicos
Os procedimentos adotados para a execução do trabalho estão apoiados na interpretação visual de imagens de satélite, técnicas de processamento digital de imagens (PDI) e utilização de Sistemas de Informação Geográfica (SIG). Além destes, incursões de campo foram realizadas, bem como a utilização de informações técnicas disponíveis em diversas instituições. O trabalho seguiu as recomendações indicadas no Manual Técnico do Uso da Terra (IBGE, 2013).
Foram realizadas cinco Inspeções de Campo, entre os dias 10 e 13 de dezembro de 2015, entre 24 e 26 de fevereiro de 2016, entre 19 e 20 de dezembro de 2016, entre 30 de janeiro e 04 de fevereiro de 2017 e entre 09 e 12 de Junho de 2018, na qual percorreu-se desde o município de Parnaíba à Ilha Grande, passando pelo Delta, bem como áreas de Mangue. Os campos em questão serviram para conhecimento e observação da área, bem como para obter informações acerca do uso e cobertura, tanto para o mapeamento como para fins de validação. Ao todo foram feitos 100 pontos de amostragem que serviram para avaliar a acurácia do produto final.
Para o mapeamento da cobertura da terra na área de estudo levando-se em consideração os diversos satélites que têm sido lançados, fez-se opção por imagens dos sensores REIS (RapidEye Earth Imaging System) instalados nos cinco satélites RapidEye e adquiridas em 5 (cinco) faixas multiespectrais de resolução radiométrica de 12 bits, ortorretificadas com 5 metros de resolução espacial, georreferenciadas e sob o sistema de coordenadas WGS 1984 UTM Zone 24 South. Essas imagens são disponibilizadas no Geocatálogo do Ministério do Meio Ambiente (MMA). As características das imagens de satélite RapidEye estão na tabela 1. Para a classificação foram necessários recortes de quatro produtos RapidEye 3A. Os produtos utilizados foram as telhas 2437801, 2437802, 2437701 e 2437702 e datam dos dias: 30 de julho, 02 de dezembro de 2012 e 30 de outubro (2), respectivamente.
O método de classificação utilizado consistiu na classificação automática não-supervisionada, na qual o próprio software, sem o auxílio usuário e com base em regras estatísticas, decide quais são as classes a serem separadas e quais os “pixels” pertencentes a cada uma (BERNARDI; DZEDZEJ; CARVALHO, 2007). Na imagem de satélite foi selecionada a composição de bandas falsa cor RGB 4-5-3 (infravermelho limítrofe, infravermelho próximo e vermelho). Após esse procedimento, em ambiente ArcGIS, através da ferramenta Spatial Analyst Tools presente no ArcToolbox aplicou-se a função Multivariate → Iso Cluster Unsupervised Classification, onde foram selecionadas 20 (vinte) classes para a classificação inicial, de modo a diferenciar mais detalhadamente os elementos da imagem.
Após o procedimento inicial de definição das classes, os produtos da classificação foram transformados em arquivos vetoriais através da ferramenta Raster to Polygon (ArcToolbox → Conversion Tools), e os valores de cada cena transformada em shapefile foram gerados, a fim de gerar a tabela de atributos com as informações da área. Em etapa posterior, deu-se início ao refinamento do mapeamento através do processo de correção dos pixels da imagem, onde através de interpretação visual da imagem foi possível fazer associação do uso/cobertura correspondente com a GRIDCODE estabelecido pelo usuário. Após a execução dessa etapa o número de classes passou de 20 (vinte) para 12 (doze).
| Item | Descrição |
| Número de satélites | 5 |
| Órbita | Heliossíncrona com 630 km de altitude |
| Passagem pelo Equador | ±11:00 h em hora local |
| Tipo do sensor | Imageador multiespectral pushbroom |
| Bandas espectrais | Faixa do espectro (nm) |
| Azul (1) | 440–510 |
| Verde (2) | 520–590 |
| Vermelho (3) | 630–685 |
| Red-edge (4) | 690–730 |
| Infra vermelho próximo (5) | 760–850 |
| Espaçamento de pixel | 6,5 m no nadir |
| Tamanho do pixel (ortorretificada) | 5,0 m |
| Tamanho da imagem | Cerca de 77 km de largura, comprimento entre 50 e 300 km, 462 Mbytes/25 km ao longo da órbita para 5 bandas |
| Expectativa de tempo de vida do satélite | Sete anos |
| Tempo de revisita | Diariamente fora do nadir/ 5,5 dias (no nadir) |
| Datum horizontal | WGS84 |
| Bits de quantização | 12 bits |
| Coordenadas do retâgulo envolvente da cena utilizada | X1= 22,57253061 X2= 43,8298294 Y1=44,07102878 Y2=22,34518265 |
A avaliação da acurácia do mapa gerado para a área de estudo foi realizada a partir da validação através dos 100 pontos amostrados em campo. Esses dados foram confrontados com o mapa predito por meio de Matrizes de Erro e a partir dos resultados foram calculadas as seguintes medidas de acurácia: índice Kappa, Exatidão Global, Erros de Omissão e Comissão e Exatidão do ponto de vista do usuário e produtor, descritas por Chuvieco (1990), Congalton (1991), Fidalgo (1995) e Lillesand, Kiefer e Chipan (2004).
A Exatidão Global ou qualidade global (CENTENO, 2003) é definida computando o número de pixels corretamente classificados, conforme equação a seguir:

Onde EG = Exatidão Global; nc = número de pixels corretamente classificados; nt = número de pixels total da matriz.
Por meio deste método é possível verificar o percentual de concordância (C%) e o de discordância (D%), na qual serve como um parâmetro geral de avaliação entre os mapas (SILVEIRA, 2010).
Em uma análise mais rigorosa devem-se levar em consideração os valores nas células marginais da matriz. No caso das linhas, os valores indicam o número de amostras que, pertencendo a uma determinada categoria, não foram incluídos nela. Os Erros de Omissão são calculados por:

Sendo Eo = erros de omissão; Χi+ = marginal da linha e; Χii = diagonal daquela linha.
De igual forma as células nas diagonais das colunas expressam os Erros de Comissão, isto é, pixels que não se incluem em uma determinada categoria, pertencente realmente à outra:

Onde Eco = erros de comissão Χ+i = marginal da coluna Χii = diagonal daquela coluna.
Os erros de omissão e comissão enfocam o mesmo problema. A omissão se refere a uma definição imperfeita da categoria e a comissão se refere a uma delimitação excessiva da categoria. Alguns autores enfocam-na como exatidão do usuário (consumidor) e exatidão do produtor (FERREIRA; DANTAS; MORAIS, 2007).
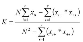
O cálculo do índice Kappa leva em conta o número total de acertos, os erros de omissão e os erros de inclusão e é efetuado conforme a equação abaixo (ELNAGGAR, 2007):

Onde: K é o índice Kappa; N é o número total de posições na matriz de erro; r é o número de linhas na matriz; xii são as entradas diagonais da matriz; xi+ e x+i indicam a soma da linha i e a soma da coluna i da matriz, respectivamente.
Dessa maneira, o índice Kappa expressa o grau de concordância entre os dados estimados e os dados de referência, após a concordância devido ao acaso ter sido eliminada. Em avaliações de mapeamentos, o índice Kappa geralmente varia de 0 a 1, sendo que zero (0) indica ausência de concordância, ou seja, a estimativa e a referência são estatisticamente independentes e um (1) indica total concordância. Para classificação de imagens, de acordo com critérios qualitativos expressos em Landis e Koch (1977) a qualidade do índice Kappa pode ser classificada da seguinte forma (tabela 2):
| Coeficiente Kappa | Qualidade da Imagem |
| Inferior a 0,00 | Péssima |
| 0,01 – 0,20 | Ruim |
| 0,21 – 0,40 | Razoável |
| 0,41 – 0,60 | Boa |
| 0,61 – 0,80 | Muito boa |
| 0,81 – 1,00 | Excelente |
RESULTADOS E DISCUSSÃO
partir da classificação da imagem digital, foi possível a geração do mapa de cobertura das terras do Delta do Parnaíba, que possibilitou a quantificação das 12 classes mapeadas. O mapa encontra-se ilustrado na figura 2. Para a área, as classes de cobertura selecionadas foram: Água – Rios e oceano; Água – Corpos lênticos; Área Urbana; Campos, Dunas e cordão arenoso, Praia, Solo exposto; Vegetação Arbórea Arbustiva; Vegetação Arbustiva Densa; Vegetação de Mangue; Vegetação Paludosa e Vegetação Rasteira. As classes são descritas no quadro expresso na figura 3.

| CLASSES MAPEADAS | DESCRIÇÃO |
| Água – Corpos lênticos | Ambientes aquáticos de água parada. |
| Água – Rios e Oceano | Compreende os principais cursos d’agua da região, tais como o rio Parnaíba e rio Igaraçu, além do Oceano Atlântico. |
| Área Urbana | São áreas em que a vegetação natural foi modificada pelo homem, para diversos usos, principalmente construção e edificação. |
| Campos | Campos naturais abertos com predominância de vegetação herbácea e/ou arbustiva, associada a terrenos alagadiços ou não. |
| Dunas e Cordões Arenosos | Compreende a grandes massas individuais de areias em movimento, constituídas de dunas eólicas simples e/ou compostas, além de grandes faixas de areia alongadas próximo a linha de praia. |
| Praia | Acumulações de areias que ficam entre a base das ondas modais e o limite do espraiamento e que são depositadas principalmente pelas ondas, mas também são influenciadas pelas marés e pela topografia. |
| Solo Exposto | Corresponde às áreas em que toda ou quase toda a cobertura vegetal do solo foi removida, principalmente pelo uso antrópico. No período de estiagem podem ocorrer áreas com vegetação rasteira. |
| Vegetação arbórea arbustiva | Correspondem às áreas com presença de árvores de médio a grande porte, como cajueiros, por exemplo, além de gramíneas e outras espécies de vegetação herbácea e, ainda, proporções variadas de alguns arbustos, com predominância de vegetação secundária. |
| Vegetação arbustiva densa | Representam as áreas em que predominam vegetação de porte arbustivo e fechado/denso. |
| Vegetação de Mangue | Compreende a área próxima ao litoral com o predomínio de manguezais. Essas áreas possuem vegetação arbórea composta por espécies que são típicas para estes locais. |
| Vegetação Paludosa | Compreende os tipos de Vegetação próximos as margens dos rios, associadas a planícies de inundação. |
| Vegetação rasteira | Compreende áreas de campos naturais abertos, com vegetação rasteira, utilizado principalmente pela pecuária extensiva. |
Na figura 4 segue a chave de intepretação com exemplos de classes temáticas representadas em composições coloridas, obtidas através da imagem RapidEye na composição de bandas 4-5-3. As chaves de interpretação consistem na descrição de um conjunto de elementos de interpretação que caracterizam um determinado objeto. Elas sistematizam e orientam o processo de análise e interpretação de imagens. Essas chaves ajudam o intérprete na identificação correta de objetos e feições representados em uma imagem orbital de maneira consistente e organizada (FLORENZANO, 2011).

Legenda: A – representativo de Água – Corpos lênticos; B – representativo de Água – Rios e oceano; C – representativo de Área Urbana; D – representativo dos Campos; E – representativo de Dunas e Cordão arenoso; F – representativo da Praia; G – representativo de Solo Exposto; H – representativo de Vegetação arbórea arbustiva; I – representativo da Vegetação arbustiva densa; J – representativo da vegetação de mangue; K – representativo da Vegetação paludosa; L – representativo da Vegetação rasteira.
Fonte: Adaptado de Florenzano (2011).Através do mapa temático é possível perceber que grande parte da área de estudo apresenta vegetação do tipo arbustiva densa (cerca de 52,20 km²), de forma mais expressiva na porção Centro-Leste. Este extrato vegetacional desenvolve-se pelas superfícies das dunas mais antigas e estabilizadas, e que foram anteriormente colonizadas pela vegetação pioneira. As espécies são predominantemente arbustivas e arbóreas e possuem um caráter subperenifólio, ou seja, em sua maior parte conservam a folhas durante o período seco.
Pode-se associar a essa classe também a vegetação arbórea arbustiva, que abrange 13,24 km², e corresponde às áreas com presença de árvores de médio a grande porte. Dentre as espécies encontradas, ressalta-se a ocorrência de Machaerium lunatum (Jiquiriti), Croton adenocalyx Baill (Caatinga-branca), Combretum laxum Jacq. (Mufumbo), dentre outras (GUZZI, 2012).
Nas porções correspondentes às classes vegetação arbustiva densa e vegetação arbórea arbustiva, observou-se uma alta quantidade de indivíduos da espécie Anacardium occidentale (Cajueiro) (figura 5a). A presença de numerosos indivíduos dessa espécie em áreas dunares do delta piauiense está associada à sua característica fisiológica de alta resistência a solos de textura arenosa e excessivamente drenados. A tabela 3 apresenta os valores quantificados das classes de cobertura das terras do Delta do Parnaíba em quilômetros quadrados e porcentagem:
| CLASSES DE COBERTURA | ÁREA (km²) | PORCENTAGEM |
| Água - Rios e oceano | 44,34 | 15,26 |
| Água - Corpos lênticos | 7,74 | 2,66 |
| Área Urbana | 2,19 | 0,75 |
| Campos | 44,72 | 15,39 |
| Dunas e Cordão arenoso | 32,59 | 11,21 |
| Praia | 4,76 | 1,64 |
| Solo exposto | 31,85 | 10,96 |
| Vegetação Arbórea Arbustiva | 13,24 | 4,56 |
| Vegetação Arbustiva Densa | 52,20 | 17,96 |
| Vegetação de Mangue | 23,37 | 8,04 |
| Vegetação Paludosa | 16,36 | 5,63 |
| Vegetação Rasteira | 17,25 | 5,94 |
| TOTAL | 290,62 | 100% |
A segunda classe de maior predominância na área são os campos, compreendendo 44,72 km² da área, aproximadamente 15,39% do total. Esses campos são áreas com ocorrência de algumas espécies herbáceas e/ou arbustivas, como a Scoparia dulcis L. (Vassourinha) (GUZZI, 2012). Essas áreas podem estar associadas a terrenos alagadiços e/ou mal drenados, predominantemente nos períodos de chuva, onde há uma maior proximidade do lençol freático com a superfície (figura 5b, c).
Vale ressaltar que algumas dessas áreas foram utilizadas para a construção de estradas. Alguns exemplos podem ser destacados como a estrada de acesso à Zona de Processamento de Exportação Parnaíba e as obras de alargamento da rodovia estadual Pedra do Sal, de cerca de 14km de extensão, que teve sua conclusão no ano de 2018.

As classes dunas móveis e cordão arenoso e praia somatizam 37,35 km² (aproximadamente 12,8% da área mapeada). Essas áreas unidades compreendem as grandes massas individuais de areias em movimento, constituídas de dunas eólicas simples e/ou compostas, e as áreas planas resultante de acumulação marinha, podendo comportar canais de maré, cristas de praia, restingas e ilhas barreira (figura 6). Ocorre nas baixadas litorâneas sob a influência dos processos de agradação marinhos. Trata-se de estreitos e alongados depósitos arenosos em contato direto com a faixa de praia.

Do ponto de vista ambiental, são áreas vulneráveis a impactos negativos provocados por um uso antrópico qualquer, de acordo com a avaliação realizada por Sousa (2015). No levantamento do risco de erosão efetivado por Frota (2016) essas unidades foram enquadradas como de muito alto risco, devido principalmente à natureza do seu material inconsolidado.
As áreas de mangue correspondem a 8,04% da área (cerca de 23,37 km²). Apresenta espécies vegetais com aspecto bastante homogêneo tanto do ponto de vista fisionômico quanto de sua composição florística. Um restrito número de espécies forma associações muito densas. Estruturalmente, o manguezal pode se apresentar de forma arbustiva ou arbórea, com árvores que chegam até 40 metros de altura. Dentre as espécies encontradas pode-se destacar Rhizophora mangle (mangue-vermelho), Avicennia schaueriana (mangue negro) e Laguncularia racemosa, (mangue-branco) (GUZZI, 2012).
Na porção piauiense do Delta do Parnaíba é possível deparar-se com áreas, cujas características geomorfológicas e hidrológicas estão relacionadas com características de salinidade associadas às marés. Esta situação confere aos solos a característica de salinidade, na qual a espécie R. mangle (figura 7) possui alta tolerância e adaptabilidade, tornando-se uma espécie frequente nos manguezais piauienses. Além disso, Gonçalves et al. (2018) enfatizam que a maior ocorrência de R. mangle possui relação direta com a ampla tolerância às condições de inundação que essa espécie possui, fator que influencia significativamente para a sua maior dispersão e adaptabilidade nesses ambientes.

As áreas onde há o predomínio de vegetação paludosa (16,36 km²) compreendem os terrenos associados a planícies de inundação. As áreas de maior concentração desse tipo de vegetação estão ao longo das bacias hidrográficas do rio Parnaíba, bem como nas superfícies inundáveis de Ilha Grande (FURPA, 1995) (figura 8a, b). A espécie vegetal de maior ocorrência é a Euterpe oleracea (Açaí), havendo também ocorrências de Copernicia prunifera (Carnaúba), Elaeis guineenses (Dendezeiro), Laguncularia racemosa, Orbignya phalerata (Babaçu), Astrocaryum tucumoides (Tucum) e Mauritia flexosa (Buriti).
Além disso, a utilização dessas áreas merece menção no que diz respeito ao tipo de atividade que é desenvolvida: a lavoura. O cultivo de algumas culturas na margem do rio Parnaíba, por exemplo o arroz (figura 8c) (apenas nas áreas de Vegetação Paludosa – Planície Fluvial), milho, feijão, dentre outras servem de base para a agricultura de subsistência.
A vegetação rasteira, que abrange 17,25 km² (5,94% da área), corresponde às áreas de planície e terraços fluviais onde ocorre o predomínio da atividade de pecuária extensiva, bem como outros tipos de criação, associados a agriculturas de subsistência (figura 9). As espécies compõem, em diferentes associações florísticas, um extrato gramíneo-herbáceo, com porte de, em média, 40 cm (FURPA, 1995). Essas áreas estão intimamente relacionadas às de solo exposto (31,85 km²) devido à escassa cobertura vegetal em determinados pontos. Essas unidades apresentam de moderado a alto risco de erosão e enquadram-se como moderadamente vulneráveis.

Com relação à acurácia do mapeamento, quando validado por meio da matriz de erros (tabela 4), a exatidão global foi de 82% e o índice Kappa de 0,79, indicando concordância muito boa segundo critérios de Landis e Koch (1977). Resultados semelhantes foram encontrados por vários autores (OLIVEIRA et al., 2013; SOUSA, 2015;QUEIROZ et al., 2017;BARBOSA, 2019).
Conforme a tabela, as classes A-CL, A-RO, AU, DM e P apresentaram valor 100 para a exatidão do ponto de vista do produtor (%), isso significa que todos os pontos classificados em campo como pertencentes a essa classe foram preditos corretamente. O mesmo valor foi alcançado para a exatidão do usuário, que mede a probabilidade de um ponto no mapa representar a verdade de campo, também podendo ser chamado de "confiança", o que indica que para essas classes a confiabilidade é alta.
Uma outra forma de analisar a matriz de confusão seria através dos erros. Os erros de omissão foram de 31,2% (C), 13,3% (SE), 6,6% (M), 20% (VAA), 18,1% (VAD), 11,1% (VP) e 54,5% (VR), significando que a porcentagem de cada classe, ou seja, os pontos visitados que deveriam ser classificados corretamente, não foram. Os maiores valores são encontrados nas classes vegetação rasteira e campos, significando que apenas 5 dos 11 pontos de VR e 11 dos 16 de C obtiveram exatidão no mapeamento. Esse resultado pode ser explicado pela semelhança das áreas de vegetação rasteira com as áreas de solo exposto, conforma ilustra a chave de interpretação da figura 3.
| Exatidão Global = 82% Índice Kappa: 0,79 | ||||||||||||||||
| CL | A-CL | A-RO | AU | C | P | DM | M | SE | VAA | VAD | VP | VR | Total | EU (%) | Importar imagen (%) | |
| A-CL | 1 | 1 | 100 | 0 | ||||||||||||
| A-RO | 4 | 4 | 100 | 0 | ||||||||||||
| AU | 4 | 4 | 100 | 0 | ||||||||||||
| C | 11 | 1 | 4 | 16 | 68,8 | 31,2 | ||||||||||
| P | 4 | 4 | 100 | 0 | ||||||||||||
| DM | 5 | 5 | 100 | 0 | ||||||||||||
| M | 14 | 1 | 15 | 93,4 | 6,6 | |||||||||||
| SE | 1 | 13 | 1 | 15 | 86,7 | 13,3 | ||||||||||
| VAA | 1 | 4 | 5 | 80 | 20 | |||||||||||
| VAD | 1 | 9 | 1 | 11 | 81,9 | 18,1 | ||||||||||
| VP | 1 | 8 | 9 | 88,9 | 11,1 | |||||||||||
| VR | 4 | 2 | 5 | 11 | 45,5 | 54,5 | ||||||||||
| Total | 1 | 4 | 4 | 13 | 4 | 5 | 14 | 20 | 4 | 16 | 9 | 6 | 100 | |||
| EP (%) | 100 | 100 | 100 | 84,7 | 100 | 100 | 100 | 65 | 100 | 56,2 | 88,9 | 83,4 | ||||
| Importar imagen (%) | 0 | 0 | 0 | 15,3 | 0 | 0 | 0 | 35 | 0 | 43,8 | 11,1 | 16,6 | ||||
Legenda: CL: classes; Importar imagen : erros de comissão; Importar imagen : erros de omissão; EU: exatidão do usuário; EP: exatidão do produtor; A-CL: água – corpos lênticos; A-RO: água – rios e oceanos; AU: área urbana; C: campos; DM: dunas móveis e cordão arenoso; SE: solo exposto; VAA: vegetação arbórea arbustiva; VAD: vegetação arbustiva densa; VP: vegetação paludosa; VR: vegetação rasteira.
Fonte: organizado pelos autores.Com relação aos erros da classe C, atribui-se ao fato de que as áreas de VAD estão intimamente associadas aos campos, sendo que 4 pontos pertencentes a essa classe foram classificados como vegetação arbustiva densa.
Os erros de comissão mostram os pontos que foram indevidamente incluídos em uma categoria. Pela tabela 4 pode ser observado que 15,3% (2 pontos) da categoria campos, 35% (7 pontos) de solo exposto, 43,7% (7 pontos) de vegetação arbustiva densa, 11,1% (1 ponto) de vegetação paludosa e 16,6% (1 ponto) de vegetação rasteira foram indevidamente incluídos nessas categorias.
CONCLUSÃO
Com base nos resultados obtidos pode-se concluir que o mapa de cobertura das terras do Delta do Parnaíba a partir da classificação digital da imagem RapidEye apresentou índices de exatidão considerados muito bons, ilustrando a qualidade da resposta espectral dos alvos para a interpretação visual da imagem. A classificação não supervisionada permitiu classificar as áreas e a percentagem das classes de cobertura da terra de forma efetiva.
Observou-se que grande parte da área é caracterizada por campos com a presença de vegetação do tipo arbustiva e predomínio da pastagem, além das localidades de solo exposto que merecem mais atenção do ponto de vista do manejo, tendo em vista que por serem áreas que tiveram sua cobertura vegetal retirada, caracterizam um alto nível de vulnerabilidade ambiental e moderado risco de erosão.
O litoral do Piauí, onde o objeto de pesquisa deste trabalho é situado, é composto de uma diversidade de paisagens e fatores que atuam em interdependência na formação e dinâmica do mesmo. Estes, ao atuarem em conjunto trazem transformações significativas ao ambiente modificando-o e modelando-o. Nessa perspectiva, o monitoramento por meio de mapeamentos do uso e cobertura das terras é de grande importância, uma vez que as informações obtidas poderão vir a auxiliar governos, empresas, bem como a sociedade civil organizada na tomada de decisões e um planejamento mais adequado para a área.
Agradecimentos
A CAPES (Coordenação de Aperfeiçoamento de Pessoal em Nível Superior) pelo pagamento de bolsa ao primeiro e terceiro autores. Ao CNPq (Conselho Nacional de Desenvolvimento Científico e Tecnológico) pelo financiamento do projeto “Paisagem Costeira do estado do Piauí” proc. 443176/2014-0 e pela bolsa de produtividade em pesquisa do segundo autor proc. 301254/2017-6. Aos laboratórios de Geomática e Solos e Sedimentos da Universidade Federal do Piauí.
REFERÊNCIAS
AMORIM, J. V. A. Pedometria aplicada ao mapeamento de solos do Delta do Parnaíba – Piauí. 2019. 129 f. Dissertação (Mestrado em Geografia) – Programa de Pós-Graduação em Geografia, Universidade Federal do Piauí, Teresina, 2019.
BARBOSA, W. C. S. Abordagem geoambiental e turismo em Cajueiro da Praia, Piauí. 2019. 100 f. Dissertação (Mestrado em Geografia) – Programa de Pós-graduação em Geografia, Universidade Federal do Piauí, Teresina, 2019.
BERNARDI, H. V. F.; DZEDZEJ, M.; CARVALHO, L. M. T. Classificação digital do uso do solo comparando os métodos “pixel a pixel” e orientada ao objeto em imagem QuickBird. SIMPÓSIO BRASILEIRO DE SENSORIAMENTO REMOTO, 13, Florianópolis, Santa Catarina. In: Anais... Florianópolis, Santa Catarina, 2007, p. 5595-5602. Disponível em: . Acesso em: 16 Maio 2020.
BRASIL. Ministério do Planejamento, Orçamento e Gestão. Instituto Brasileiro de Geografia e Estatística. Manual Técnico de Uso da Terra. 3. ed. Rio de Janeiro : Diretoria de Geociências. IBGE, 2013. 171p. (Manuais técnicos em geociências número 7).
BRASIL (2000). Lei n 9.985, de 18 de julho de 2000. Regulamenta o art.225, §18, incisos I, II, III e IV da Constituição Federal, institui o Sistema Nacional de Unidades de Conservação da Natureza e dá outras providencias.
CABRAL, L. J. R. S.; VALLADARES, G. S.; PEREIRA, M. G.; PINHEIRO JÚNIOR, C. R.; LIMA, A. M.; FROTA, J. C. O.; AMORIM, J. V. A. Classificação dos solos da Planície do Delta do Parnaíba, PI. Revista Brasileira de Geografia Física, v. 12, n. 4, 2019. Disponível em: . Acesso em: 15 Maio 2020. https://doi.org/10.26848/rbgf.v12.4.p1466-1483.
CENTENO, J. A. S. Sensoriamento Remoto e Processamento de Imagens Digitais. Departamento de Geomática da Universidade Federal do Paraná : Curitiba, 2003. 209p.
CHAGAS, C. S. Mapeamento digital de solos por correlação ambiental e redes neurais em uma bacia hidrográfica no domínio de mar de morros. 2006. 223 f. Tese (Doutorado) - Programa de Pós-Graduação em Solos e Nutrição de Plantas, Universidade Federal de Viçosa, Viçosa, 2006.
CHUVIECO, E. Fundamentos de teledection espacial. Madrid: Unigraf, 1990. 453p.
CONGALTON, R. G. A review of assessing the accuracy of classifications of remotely sensed data. Remote Sensing Environment, v. 37, n. 1, 1991. Disponível em: . Acesso: 14 Maio 2020. https://doi.org/10.1016/0034-4257(91)90048-B.
COSTA, J. L. P. O.; CAVALCANTI, A. P. B. Fitogeografia da planície deltaíca do Rio Parnaíba, Piauí/Maranhão – Brasil: análise da distribuição das espécies e interferência antrópica. OBSERVATORIUM: Revista Eletrônica de Geografia, v. 2, n. 4, 2010. Disponível em: Acesso em: 12 Maio 2020.
COSTA, E. M.; ANTUNES, M. A. H; DEBIASSI, P.; ANJOS, L. H. C. Processamento de imagens RapidEye no mapeamento de uso do solo em ambiente de Mar de Morros. Pesq. agropec. bras., Brasília, v. 51, n. 9, 2016. Disponível em: . Acesso em: 12 Maio 2020. https://doi.org/10.1590/s0100-204x2016000900040.
DELEGIDO, J.; VERRELST, J.; MEZA, C.M.; RIVERA, J.P.; ALONSO, L.; MORENO, J. A red-edge spectral index for remote sensing estimation of green LAI over agroecosystems. European Journal of Agronomy, v. 46, 2013. Disponível em: < https://www.sciencedirect.com/science/article/abs/pii/S1161030112001542?via%3Dihub>. Acesso em: 13 Maio 2020. https://doi.org/10.1016/j.eja.2012.12.001.
FERREIRA E.; DANTAS A. A. A.; MORAIS, A. R. Exatidão na classificação de fragmentos de matas em imagem do satélite Cbers-CCD, no município de Lavras, MG. SIMPÓSIO BRASILEIRO DE SENSORIAMENTO REMOTO, 13, Florianópolis, Santa Catarina. In: Anais... Florianópolis, Santa Catarina, 2007, p. 887-894. Disponível em: . Acesso em: 11 Maio 2020.
FERREIRA, A. G.; MELLO, N. G. S. Principais sistemas atmosféricos atuantes sobre a região nordeste do Brasil e a influência dos oceanos Pacífico e Atlântico no clima da região. Revista Brasileira de Climatologia, v. 1, n. 1, 2005. Disponível em: < https://revistas.ufpr.br/revistaabclima/article/view/25215/16909>. Acesso em: 12 Maio 2020.
FIDALGO, E. C.C. Exatidão no processo de mapeamento temático da vegetação de uma área de mata atlântica no estado de São Paulo, a partir de imagens TM-Landsat. 1995. 186 f. Dissertação (Mestrado em Sensoriamento Remoto) – Instituto Nacional de Pesquisas Espaciais, São José dos Campos, 1995.
FLORENZANO, T. G. (Org). Geomorfologia: conceitos e tecnologias atuais. São Paulo : Oficina de Textos, 2008. 318p.
FLORENZANO, T. G. Iniciação em sensoriamento remoto. 3. ed. São Paulo : Oficina de Textos, 2011. 123p.
GUZZI, A. Biodiversidade do Delta do Parnaíba: litoral piauiense. Parnaíba : EDUFPI, 2012. 466p.
LANDIS, J.R.; KOCH, G.G. The measurement of observer agreement for categorical data. Biometrics, v. 33, n. 1, 1977. Disponível em: < https://www.jstor.org/stable/2529310?seq=1>. Acesso em: 13 Maio 2020. https://doi.org/10.2307/2529310.
LILLESAND, T.M., KIEFER, R.W., CHIPAN, J.W. Remote sensing and interpretation. 5 ed. Madison: Wiley, 2004. 763p.
NEVES, C.F.; MUEHE, D. Vulnerabilidade, impactos e adaptação a mudanças do clima: a zona costeira. Parcerias estratégicas, v. 13, n. 27, 2008. Disponível em: . Acesso em: 11 Maio 2020.
OLIVEIRA F. P.; FERNANDES-FILHO E. I.; SOARES. V. P.; SOUZA A. L. Mapeamento de fragmentos florestais com monodominância de Aroeira a partir da classificação supervisionada de imagens Rapideye. Revista Árvore, v. 37, n. 1, 2013. Disponível em: < https://www.scielo.br/scielo.php?pid=S0100-67622013000100016&script=sci_abstract&tlng=pt>. Acesso em: 15 Maio 2020. https://doi.org/10.1590/S0100-67622013000100016.
PORTELA, M. G. T.; ESPINDOLA, G. M.; VALLADARES, G. S.; AMORIM, J. V. A.; FROTA, J. C. O. Vegetation biomass and carbon stocks in the Parnaíba River Delta, NE Brazil. Wetlands Ecol Manage, 2020. Disponível em: . Acesso em: 11 Maio 2020. https://doi.org/10.1007/s11273-020-09735-y.
QUEIROZ, T. B.; SOUSA, R. S.; BALDIN, T.; BATISTA, F. J.; MARCHESAN, J.; PEDRALI, L. D.; PEREIRA, R. S. Avaliação do desempenho da classificação do uso e cobertura da terra a partir de imagens Landsat 8 e Rapideye na região central do Rio Grande do Sul. Geociências, v. 36, n. 3, 2017. Disponível em: . Acesso em: 14 Maio 2020.
RAMOELO, A.; SKIDMOREB, A. K.; CHO, M. A.; SCHLERF, M.; MATHIEU, R.; HEITKÖNIGD, I. M. A. Regional estimation of savanna grass nitrogen using the red-edge band of the spaceborne RapidEye sensor. International Journal of Applied Earth Observation and Geoinformation, v.19, 2012. Disponível em: . Acesso em: 15 Maio 2020. https://doi.org/10.1016/j.jag.2012.05.009.
ROSA, R. Introdução ao sensoriamento remoto. Uberlândia : EDUFU, 2009. 264p.
SANTOS-FILHO, F. S.; ALMEIDA JUNIOR, E. B.; SOARES, C. J. R. S.; ZICKEL, C. S. Fisionomias das restingas do delta do Parnaíba, Nordeste, Brasil. Revista Brasileira de Geografia Física, v. 3, n. 3, 2010. Disponível em: . Acesso em: 15 Maio 2020. https://doi.org/10.26848/rbgf.v3.3.p218-227.
SCHUSTER, C.; FÖRSTER, M.; KLEINSCHMIT, B. Testing the red edge channel for improving land-use classifications based on high-resolution multi-spectral satellite data. International Journal of Remote Sensing, v.33, 2012. Disponível em: < https://www.tandfonline.com/doi/abs/10.1080/01431161.2012.666812>. Acesso em: 14 Maio 2020. https://doi.org/10.1080/01431161.2012.666812.
SILVEIRA, C. T ; OKA-FIORI, C ; SANTOS, L. J. C ; SIRTOLI, A. E. ; SILVA, C. R ; BOTELHO, M. F. Soil prediction using artificial neural networks and topographic attributes, Geoderma, v. 195-196, 2013. Disponível em: . Acesso em: 13 Maio 2020. https://doi.org/10.1016/j.geoderma.2012.11.016.
SILVEIRA, Claudinei. T. Análise digital do relevo na predição de unidades preliminares de mapeamento de solos: integração de atributos topográficos em Sistemas de Informações Geográficas e redes neurais artificiais. 2010. 153 f. Tese (Doutorado em Geografia). Departamento de Geografia, Setor de Ciências da Terra, Universidade Federal do Paraná, Curitiba, 2010.
SOUSA, Roneide dos Santos. Planície Costeira do Estado do Piauí: mapeamento das unidades de paisagem, uso e cobertura da terra e vulnerabilidade ambiental. 2015. 138 f. Dissertação (Mestrado em Geografia) - Programa de Pós-Graduação em Geografia, Universidade Federal do Piauí, Teresina, 2015.
STEVIĆ, D.; HUT, I.; DOJČINOVIĆ, N.; JOKOVIĆ, J. Automated identification of land cover type using multispectral satellite images. Energy and Buildings, v. 115, 2016. Disponível em: . Acesso em: 14 Maio 2020. https://doi.org/10.1016/j.enbuild.2015.06.011
VAEZA, R. F.; FILHO, P. C. O.; MAIA, A. G.; DISPERATI, A. A. Uso e Ocupação do Solo em Bacias Hidrográficas Urbana a Partir de Imagens Orbitais de Alta Resolução. Floresta e Ambiente, v. 17, n. 1, 2010. Disponível em: . Acesso em: 12 Maio 2020. http://dx.doi.org/10.4322/floram.2011.003.
VALLADARES, G S; CABRAL, L. J. R. S. Mapeamento geológico da Planície do Delta do Parnaíba-PI. SIMPOSIO DE GEOLOGIA DO NORDESTE, 27, João Pessoa, Paraíba. In: Anais... João Pessoa, Paraíba, 2017. Disponível em: . Acesso: 11 Maio 2020.