EVENTOS DE CHUVAS EXTREMAS ASSOCIADOS AOS RISCOS DE INUNDAÇÕES E DE ALAGAMENTOS EM ARACAJU, SERGIPE
EXTREME RAIN EVENTS ASSOCIATED WITH THE RISKS OF FLOODS IN ARACAJU, SERGIPE
EVENTOS DE LLUVIA EXTREMA ASOCIADOS CON RIESGOS DE INUNDACIONES EN ARACAJU, SERGIPE
EVENTOS DE CHUVAS EXTREMAS ASSOCIADOS AOS RISCOS DE INUNDAÇÕES E DE ALAGAMENTOS EM ARACAJU, SERGIPE
GEOSABERES: Revista de Estudos Geoeducacionais, vol. 12, núm. 1, pp. 256-273, 2021
Universidade Federal do Ceará

Recepción: 17 Septiembre 2020
Aprobación: 20 Junio 2021
Publicación: 20 Junio 2021
Resumo: O crescimento urbano caótico tem propiciado a existência de cenários de riscos provocados, dentre outros, por fatores de ordem climática. Em Aracaju, capital do estado de Sergipe, nordeste do Brasil, esta realidade parece não destoar dos demais municípios brasileiros de médio e grande porte atingidos pelos eventos de chuvas extremas. Assim, o presente artigo teve como objetivo analisar a ocorrência de eventos de chuva e suas relações com inundações e alagamentos na área urbana aracajuana. Com o tratamento de dados históricos coletados junto à estação meteorológica oficial do Instituto Nacional de Meteorologia (INMET), dados da Defesa Civil Municipal e dos registros jornalísticos da imprensa local, foi possível observar, sob a ótica sistêmica, como a dinâmica de produção do espaço urbano da cidade tem refletido em desdobramentos socioambientais por desconsiderar a sazonalidade dos eventos de chuvas.
Palavras-chave: Chuvas extremas, Alagamentos, Inundações, Riscos, Aracaju.
Abstract: Chaotic urban growth has led to the existence of risk scenarios caused, among others, by climatic factors. In Aracaju, capital of the state of Sergipe, northeastern Brazil, this reality does not seem to differ from the other medium and large Brazilian municipalities affected by extreme precipitation events. Thus, this article aimed to analyze the occurrence of rain events and their relationship with floods and inundations at the urban area of Aracaju. With the treatment of historical data series collected from the official meteorological station of the National Institute of Meteorology (INMET), data from the Municipal Civil Defense and from journalistic records of the local press, it was possible to analyze, from a systemic perspective, how the dynamics of urban space production has reflected in socio-environmental issues for disregarding the seasonality of precipitation events.
Keywords: Extreme rainfall, Flooding, Inundations, Risks, Aracaju.
Resumen: El caótico crecimiento urbano ha llevado a la existencia de escenarios de riesgo provocados, entre otros, por factores climáticos. En Aracaju, capital del estado de Sergipe, esta realidad no parece diferir de los otros municipios brasileños medianos y grandes afectados por los eventos de lluvias extremas. Así, este artículo tuvo como objetivo analizar la ocurrencia de eventos lluviosos y su relación con inundaciones e inundaciones en el área urbana de Aracaju. Con el tratamiento de datos históricos recolectados de la estación meteorológica oficial del Instituto Nacional de Meteorología (INMET), datos de la Defensa Civil Municipal y de los registros periodísticos de la prensa local, se pudo analizar, desde una perspectiva sistémica, cómo La dinámica de producción del espacio urbano de la ciudad se ha reflejado en desarrollos socioambientales por desconocer la estacionalidad de los eventos de lluvia.
Palabras clave: Lluvia extrema, Inundación, Inundaciones, Riesgos, Aracaju.
INTRODUÇÃO
A Climatologia geográfica constitui-se em um campo do saber e da pesquisa associado ao meio ambiente, integrando a atmosfera ao espaço geográfico. Destaca-se a atuação desta ciência sobre o espaço urbano, na figura do campo de estudos denominado clima urbano, fonte fundamental de pesquisas a respeito da interação entre os sistemas atmosféricos e a cidade, sendo esta última, concebida como uma complexa transformação da natureza primitiva imposta por agentes sociais, estando relacionada à lógica capitalista de produção do espaço.
O clima urbano, portanto, possibilita o estudo do clima a partir da interação entre a cidade/fenômeno urbano e as variáveis atmosféricas/climáticas, integrando as anomalias que possam surgir a partir de projetos de urbanismo inadequado ao ambiente em que está inserida a cidade, como pontuam Cardoso e Amorim (2016). Tais anomalias tendem a se acentuar em ambientes carentes de serviços públicos onde os indivíduos são privados dos direitos relativos à cidade, trazendo prejuízos ao modo de vida das populações. Para Pinto (2003, p. 5),
(...) a cidade é um excelente laboratório em que se podem experimentar, de forma relativamente simples, os complexos mecanismos desencadeados pela ação humana sobre o clima, as modificações que se produzem como consequência dessas ações e as influências que tais modificações podem ter sobre o homem.
Os impactos provenientes da urbanização têm provocado desequilíbrios ambientais diretamente proporcionais ao nível de adensamento urbano da localidade. As edificações, a grande quantidade de equipamentos, o aumento da população, a impermeabilização do solo, a canalização dos cursos d’água e a retirada da cobertura vegetal original modificam o clima local e são capazes de desordenar a vida social.
Na abordagem de Feltrin; Raia Júnior (2012), as cidades brasileiras desencadeiam, em associação a outros fatores geográficos, eventos de riscos climáticos. Tratando especificamente dos impactos hidrometeóricos, suas manifestações podem ser observadas pela ocorrência de chuvas intensas e de alagamentos. A condição de tropicalidade aliada à ocupação desordenada do solo, à devastação de áreas verdes, à falta de drenagem pluvial e à carência de educação ambiental quanto ao destino do lixo são alguns dos seus principais fatores de riscos (PINTO; BRAZIL, 2016).
Nas últimas duas décadas (2000-2020), no município de Aracaju/SE, a intensificação de projetos urbanísticos acompanhada de uma rede de drenagem insuficiente para o acumulado de chuvas tem favorecido a existência de cenários de alagamentos e de inundações pela malha urbana.
Atualmente, a problemática se repete devido à falta de equipamentos de proteção, de monitoramento, de alerta e de prevenção às chuvas, comprometendo a segurança do cidadão aracajuano diante dos riscos climáticos, evidenciando a ausência de uma melhor gestão pública no ambiente urbano em relação à prevenção de riscos enfrentados pela sociedade.
Diante do exposto, o objetivo deste artigo é analisar os eventos de chuvas extremas na capital do estado de Sergipe (situada no Nordeste brasileiro), considerando a série histórica de dados meteorológicos e analisando como estes eventos associados à produção do espaço urbano desigual têm desencadeado riscos de alagamentos e de inundações.
PROCEDIMENTOS METODOLÓGICOS DA PESQUISA
Neste trabalho se fez uso de uma abordagem quali-quantitativa, aliada a uma perspectiva sistêmica acerca do clima urbano, em específico, sobre os eventos de chuvas extremas e os riscos a eles associados.
Com o intuito de levantar informações peculiares à sistematização deste artigo, foi necessário fazer uso do método comparativo conforme descrito por Coelho (2001): o emprego da memória evolutiva a partir do registro das áreas afetadas por alagamentos e inundações no passado, identificados com o auxílio dos recursos como registros de jornais pela imprensa local, dados estatísticos (série histórica dos anos 2000 a 2019, adquiridos na plataforma do INMET - Instituto Nacional de Meteorologia), uso dos softwares computacionais Excel (Microsoft Office) e R para a tabulação dos dados e para a confecção dos gráficos, além do levantamento de informações disponíveis na plataforma virtual de órgãos públicos competentes.
A base de informações sobre a precipitação em escala diária correspondentes ao período de 2000 a 2019 foi obtida no portal do INMET, a partir dos dados coletados na estação meteorológica localizada no aeroporto de Aracaju/SE, sendo estes organizados no software Excel, com a finalidade de gerar informações detalhadas sobre as características das chuvas. Por sua vez, os dados acerca de alagamentos e de inundações ocorridos na capital sergipana foram extraídos na plataforma virtual da Defesa Civil Municipal de Aracaju.
Quanto ao tratamento de dados no software R, optou-se pelo uso dessa ferramenta por conta de sua precisão nos cálculos, delimitação e resultados do que é solicitado através da linguagem R, oferecida por esse recurso. Com auxílio do Excel, pode-se criar uma tabela discriminando as datas das ocorrências dos eventos, também a variação entre as temperaturas mínimas e as temperaturas máximas, bem como os níveis de precipitação no período delimitado para o trabalho (2000-2019). Ao conciliar a planilha com o programa R, foi indispensável atribuir os comandos corretos, fazendo a escolha de quais etapas seriam essenciais para a confecção dos gráficos.
Ressaltando a análise qualitativa, esta foi realizada mediante a revisão da literatura de publicações científicas, bem como o levantamento de notícias veiculadas pela imprensa local, nos sites de jornais, a respeito dos eventos de inundações e de alagamentos e suas repercussões, com o intuito de compreender as causas desses impactos, baseado na análise da interação existente entre a atmosfera e o ambiente urbano.
Lima e Amorim (2014, p. 197) enfatizam que “a análise conjunta das notícias veiculadas nos jornais e dos dados climáticos correspondentes, podem-se identificar situações potenciais de riscos e áreas potencialmente sujeitas a impactos”.
Assim, as notícias foram consultadas a partir dos verbetes “chuvas, cheias, enchentes, enxurradas, alagamentos e inundações”, no site de busca Google, e organizadas, posteriormente, por datas, locais e fotografias em planilhas. Como procedimento metodológico, a utilização de notícias, na mídia, para análises climáticas qualitativas é um ponto relevante para o desenvolvimento desse tipo de pesquisa; o mesmo procedimento logrou êxito nos trabalhos de Brandão (2001), Vicente (2004), Teodoro (2008), Mendonça (2011), dentre outros.
INCIDÊNCIA DE CHUVAS EXTREMAS COMO VIÉS ANALÍTICO DO CLIMA URBANO
A análise das chuvas e suas repercussões na área urbana de Aracaju se dará a partir do enfoque apresentado pela tese de livre docência de Carlos Augusto Figueiredo Monteiro, publicada em 1976 e intitulada “Sistema Clima Urbano”. Tal trabalho, concebido como um marco acadêmico da climatologia brasileira, contribui para a avaliação do desempenho do quadro natural climático e dos seus reflexos no espaço urbano. Monteiro; Mendonça (2003, p. 10) citam as cidades como sendo “os lugares onde as resultantes ambientais configuram-se como obra conjunta de uma natureza retrabalhada e aperfeiçoada aos propósitos do viver humano”.
O clima urbano é uma linha de pesquisa no campo da Geografia cujo enfoque é a análise do espaço geográfico urbano e sua relação com o clima local (COLTRI, 2006;MONTEIRO, 1976). No ambiente socialmente construído da cidade, a intensificação da urbanização se reflete de maneira imediata na formação do chamado clima urbano. É nesse espaço onde a operação dos agentes atmosféricos torna-se mais evidente, vistos os riscos de vulnerabilidade a que a população está submetida.
O sistema clima urbano procura “tratar a cidade de um ponto de vista sistêmico, ainda que tomando apenas um de seus elementos formadores – a atmosfera / o clima – mas entendendo-o como parte de um sistema maior, a cidade” (MENDONÇA, 2004). Tal teoria explica o fenômeno do clima urbano pela integração entre os diferentes elementos que o compõe, implicando no desempenho e na organização funcional do sistema apreendidos pela percepção humana.
Dentro do Sistema Clima Urbano, o subsistema hidrometeórico agrupa as formas hídricas (chuva, neve, granizo), bem como a relação de influência que esses fenômenos exercem no ordenamento urbano. Também diz respeito aos impactos provocados pelos eventos hidrológicos. Pinto e Brazil (2016, p. 113) consideram “a chuva preponderante sobre a temperatura e pressão diante dos sistemas atmosféricos produtores de tempo”. Os eventos, quando em excesso, por exemplo, podem provocar alteração no escoamento das águas superficiais, ocasionando alagamentos e outros possíveis desastres associados.
Sob o domínio dos climas tropicais é comum acontecerem eventos extremos de chuva concentradas na estação mais chuvosa. Esse tipo de ocorrência, todavia, tem como característica marcante a irregularidade, em especial quando se refere à frequência e à intensidade; e também por seus efeitos perversos sobre as cidades, os quais produzem resultados desiguais em decorrência das tensões entre as classes sociais que ocupam o espaço urbano. Portanto, associados à ocupação do solo pelo homem, os extremos de chuva podem ocasionar problemas socioambientais. Monteiro (2009, p. 13) ressalta:
A precipitação, quando ocorre em grande intensidade e sobretudo quando se lhe associam inundações rápidas (...) em rios e ribeiros artificializados, pode paralisar completamente uma cidade. Estes movimentos rápidos de água e massa podem atingir grandes velocidades (> 6m/s) e arrastar consigo pessoas e bens. Quando rareia, a água, provoca também, nos espaços urbanizados impactos negativos de grande magnitude ao nível da compactação do solo geradora de rupturas nos edifícios e infraestruturas, do abastecimento de água e do saneamento, da saúde pública, etc.
Nas cidades brasileiras, são constantes os problemas derivados das chuvas extremas. Gonçalves (2003) descreve como sendo essas precipitações impulsionadas por questões político-estruturais históricas e pela falta de planejamento adequado à realidade climática do Brasil, cujos impactos afetam as populações de menor poder aquisitivo, tornando a sociedade suscetível a tal fenômeno, vulnerabilidade esta representada pelo número de eventos extremos que causam transtornos econômicos e transtornos sociais.
Conti (2011) ressalta que as chuvas só podem ser consideradas críticas em áreas urbanas quando ultrapassam 50 mm/24h. Entretanto, é possível encontrar na literatura os mais variados limites iniciais para os extremos de chuva. Desse modo, Vicente (2004) delimitou 50 mm/24h para a região metropolitana de Campinas. Já Santos; Galvani (2014) consideram extremos os eventos diários acima de 40 mm, em Caraguatatuba (SP). Pinto; Brazil (2016) definiram 60 mm/24h para a Aracaju/SE. Monteiro; Zanella (2017) estipularam o limiar de 50 mm/24h para as cidades cearenses de Crato, Fortaleza e Sobral; Wanderley et al (2018) delineiam a partir de 25,1 mm/24h para a cidade de Recife.
Wanderley et al (2018, p. 149) ratificam o exposto anteriormente quando cita: “(...) essa desarmonia entre o clima e as feições culturais do espaço pode ser atribuída a não aplicação, no planejamento territorial, da noção de ciclicidade dos fortes episódios de chuva”. Por esta razão, os ambientes urbanos são afetados por eventos climáticos, sendo as inundações e os alagamentos os impactos mais comuns causados pelas chuvas intensas, ou seja, aquelas chuvas de curta duração e de elevado acumulado.
Diante do contexto apresentado, entende-se como extremo o evento em que o acumulado de chuva está fora do padrão climatológico (séries históricas) para determinada área, apresentando magnitudes que ultrapassam a capacidade de resiliência de tal local, as quais promovem, como consequência, impactos em diferentes localidades do município. Tais perdas situam-se como reflexo da intensificação da ocupação das áreas urbanas com elevada impermeabilização do solo e da dificuldade na drenagem das águas pluviais por conta da produção desigual do espaço. Os alagamentos são o resultado das fortes chuvas sobre o ambiente urbano. Eles surgem como efeito da ausência de uma rede de drenagem e da elevada impermeabilização do solo, dificultando o escoamento superficial. Já as inundações ocorrem no período de cheia do rio, quando as águas extravasam pelas margens e inundam a região mais próxima.
Oliver-Smith (2004) sugere serem os processos de urbanização intensos os potencializadores dos desastres, das catástrofes, dos riscos e das vulnerabilidades. Zamparoni (2012) situa os desastres naturais como sendo decorrentes da relação conflituosa estabelecida entre a sociedade e a natureza, resultante da combinação entre as características físicas do lugar, que refletem a suscetibilidade, a fragilidade e a vulnerabilidade da sociedade. À vista disso, um dos grandes desafios das cidades é promover um crescimento e um desenvolvimento urbano que proporcionem conforto de vida social e ambiental para seus habitantes, pois esses problemas tomam maior proporção nos países periféricos.
Mendonça e Leitão (2008) citam a vulnerabilidade da cidade como um conjunto de fatores que tornam os grupos humanos suscetíveis aos impactos provenientes de riscos formados nos contextos urbanos. Nas cidades brasileiras, as comunidades sociais menos favorecidas são forçadas a ocuparem irregularmente e ilegalmente locais de fragilidade ambiental, realidade agravada pelo modelo de apropriação do espaço, que tem como base a desigualdade de acesso aos bens e aos serviços, afetando a qualidade e as condições de vida humana.
Assim, parcela da população é excluída de compor a malha urbana de habitação segura, de ter acesso ao saneamento básico, à educação e aos outros direitos essenciais do cidadão, o qual passa a residir na periferia da cidade, reproduzindo casas em lugares carentes dos serviços básicos cuja infraestrutura oferece riscos diversos à vida diante da ocorrência de processos naturais; quando associados às vulnerabilidades sociais, os riscos geram preocupação e demandam maior envolvimento científico-tecnológico e da política para garantir e gerenciar o tratamento. Jacobi (2004) visualiza os riscos ambientais urbanos como condições de causar danos diretos à saúde, ao conforto, ao patrimônio dos indivíduos, além de comprometer o exercício das funções urbanas, inclusive prejuízos à mobilidade terrestre.
Pinto e Brazil (2016, p. 126) apontam maiores investimentos urbanísticos de áreas consideradas nobres em detrimento das áreas periféricas, acarretando riscos às populações carentes, em função da (in)capacidade que têm de enfrentar os desastres. A citação a seguir reflete um exemplo do que acontece na cidade de Aracaju.
Deste modo, a relação articulada entre o Estado e o setor privado, sobretudo as corporações imobiliárias impulsionam a valoração das áreas de intensa especulação, proporcionando o desenvolvimento estrutural desses espaços para agregar valor aos empreendimentos, em detrimento da periferia que recebe poucos investimentos em infraestrutura urbana, deixando assim a população dessas áreas mais vulneráveis aos riscos associados aos eventos pluviais extremos (PINTO; BRAZIL, 2016, p. 126).
Na conjuntura da abordagem dos riscos socioambientais urbanos, Mendonça et al. (2016) afirmam que um determinado risco pode desencadear outros. Mesmo assim, os problemas de ordem ambiental ou social são passíveis de autorregulação. Nesse processo torna-se possível detectar os desajustes e, atribuir ao ser humano, mediante o poder de decisão, a intervenção e a adaptação ao funcionamento do sistema. Entretanto, Pinto e Brazil (2016, p. 126) assinalam a interferência da falta de planejamento estatal quanto ao enfrentamento dos impactos hidrometeóricos, pois sabe-se que “o trabalho preventivo é superficial, apenas nos momentos de riscos retiram os moradores das casas, desobstruem os esgotos, recolhem o lixo sem, contudo, extinguir os problemas que voltam a acontecer corriqueiramente”.
Dubois-Maury e Chaline (2004) sinalizam, como instrumentos de gestão destes riscos, desde a prevenção ao controle das inseguranças urbanas por parte da população passando pela intervenção do Estado. Estratégias de regulação dependem da capacidade de adaptação, de mudança e das respostas às demandas do ambiente externo; devendo abranger toda a comunidade urbana, em virtude da melhor qualidade ambiental, por meio da prevenção e da correção das fontes de riscos.
Pinto e Brazil (2016) esclarecem a necessidade de uma abordagem integrada entre a urbanização e os impactos sobre o ambiente pautada na intervenção de ações de planejamento e de interações quanto aos diversos usos do solo urbano, permeados pela legislação e norteada visando à sustentabilidade das ações de prevenção e de controles da quantidade e da qualidade de água meteórica. Sendo assim, será possível alcançar o equilíbrio dinâmico do clima urbano a partir da força da ação social através de mecanismos de feedback das ações que desregulam o sistema.
Úgeda Júnior e Amorim (2016), entretanto, visualizam os interesses sociais e econômicos da organização cultural das sociedades brasileiras, na produção do espaço urbano, sobrepondo-se à qualidade de vida social e ambiental. Segundo esse pressuposto, as soluções para os problemas de ordem climática tornam-se cada vez mais difíceis e onerosas. Todavia, é possível mudanças acontecerem, desde que haja soluções técnicas, debate acerca dos interesses econômicos e efetiva participação social.
DISCUSSÃO DOS RESULTADOS
Aracaju é uma cidade litorânea e a maior unidade municipal urbanizada do estado de Sergipe (Figura 1). É o espaço urbano sergipano com mais pesquisas a respeito do clima urbano empreendidas até o momento, com destaque para o campo térmico, embora as pesquisas a respeito da chuva na cidade também já tenham sido efetuadas, a exemplo de Brazil (2016).
É intensa a relação da cidade com as águas, tendo em vista Aracaju ser margeada pelo rio Sergipe e pelos afluentes, ao norte, pelo rio Vaza-Barris, ao sul e tocada pelo oceano Atlântico, ao leste. Corriqueiramente, os eventos de pluviosidade sobre a cidade revelam uma problemática cujos impactos se refletem na desordem das funções urbanas e atingem sobremodo a qualidade de vida da população. Sob o domínio do clima tropical úmido (As, conforme a classificação climática de Köppen-Geiger), a capital conta com uma estação seca entre os meses de setembro a dezembro, com precipitações acentuadas em janeiro e em fevereiro, bem como com chuvas expressivas entre março e julho/agosto, atingindo o acumulado de 1300 mm anuais de pluviosidade.

Para embasar o presente trabalho, foi coletada uma série histórica (abrangendo os anos 2000 a 2019) de dados meteorológicos acerca da precipitação, da temperatura máxima e mínima, a fim de averiguar o comportamento variável interanual desses indicadores.
A Figura 2 pontua o acumulado anual das chuvas ao longo da série de dados analisada e mostra que os anos mais chuvosos atingiram, em média, índices superiores a 1000 mm, com destaque para 2000, 2001, 2006, 2008, 2009, 2010, 2011, 2017 e 2019. Como o ano de 2020 ainda não foi concluído até o fechamento deste artigo, os indicadores para este período não foram computados.
Por sua vez, a variação térmica média de 24ºC a 28ºC ocorre nos meses mais amenos (julho e agosto), enquanto é registrada a média de 27ºC a 29ºC em janeiro, fevereiro e março, configurando-se como meses mais quentes, podendo ultrapassar facilmente a sensação térmica de 30ºC.
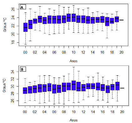
Os dados de temperatura são complementares neste estudo. Nas Figuras 3a e 3b é possível verificar o comportamento da média anual das temperaturas máximas e mínimas como resultado da dinâmica de produção do espaço urbano, onde a intensificação de obras de infraestrutura, a ampliação da malha viária, a construção de edificações verticalizadas e a ampliação do fluxo de veículos automotores colaboraram para o incremento das temperaturas máximas, que oscilaram entre 29ºC e 32ºC desde o início da série histórica e vêm atingindo picos de 34ºC a 35ºC a partir da década de 2010, quando os projetos urbanísticos se intensificaram, corroborando a acentuação do desconforto térmico sentido pelos citadinos.


Elaborou-se, também, o gráfico de dispersão entre as variáveis climáticas (Figura 4), tendo em vista a necessidade de comprovar a relação de causa e de efeito. O caso estudado possibilitou correlacionar as variáveis (temperatura máxima, temperatura mínima e precipitação) com a distribuição dos eventos extremos de chuvas. Ao comparar as variáveis temperatura mínima e índice de chuva, infere-se que a relação entre elas é mínima. Os eventos de chuva registrados no eixo das ordenadas concentram-se em um intervalo de temperaturas do eixo das abscissas. Por sua vez, ao se checar os valores de temperatura máxima e os de precipitação, apreende-se uma leve correlação: conforme se aumenta a temperatura, os valores de chuva decaem.

Para o município de Aracaju, consideram-se eventos pluviais de risco extremo quando o volume de chuvas atinge, estatisticamente, índice igual ou superior a 30 mm/24h, tendo por base o percentil 95. Em outras palavras, pode-se chamar de evento pluvial extremo, considerando-se a dinâmica da cidade, dentre os dias de chuva, os eventos que se situam entre os 5% maiores valores da série histórica estudada. Ao considerar o percentil 99, entende-se que há a existência de eventos de chuva muito extremos cujo índice alcança os 57,2 mm/24h e se aproxima do valor estabelecido por Pinto e Brazil (2016) para os eventos extremos que é de 60 mm/24h. Estes valores podem ser observados na Figura 5; o percentil corresponde à fragmentação da amostra em porções iguais dadas em percentuais.
Com a amostra de dados da Tabela 1, observa-se que foram catalogados cento e quarenta e nove eventos de chuva extrema ao longo da série estudada, utilizando o valor de 57,2mm como limiar. O período mais chuvoso, suscetível a alagamentos na cidade, ocorre nos meses de abril e maio (entre o final do outono e o início do inverno). Pode-se pontuar que os eventos chuvosos diminuem por volta do término do inverno e reaparecem no início do verão, com as chuvas convectivas. Os anos 2000, 2001, 2006, 2009, 2019 e 2020 despontam como os anos que registraram as maiores quantidades de eventos.
Na série histórica, o município de Aracaju apresentou um comportamento variável da pluviometria interanual. Por meio da análise da distribuição do acúmulo mensal de pluviosidade e da quantidade de eventos de chuvas extremas coletados, observa-se a ocorrência de um período chuvoso ou bastante chuvoso, acarretando aumento considerável na frequência desses eventos, conforme apresentado na Tabela 1.
| Ano | Meses | ||||||||||||
| Jan | Fev | Mar | Abr | Mai | Jun | Jul | Ago | Set | Out | Nov | Dez | TOTAL | |
| 2000 | 1 | 2 | 0 | 5 | 0 | 1 | 0 | 0 | 0 | 0 | 0 | 1 | 10 |
| 2001 | 0 | 1 | 0 | 1 | 0 | 3 | 2 | 1 | 1 | 2 | 0 | 0 | 11 |
| 2002 | 1 | 0 | 0 | 0 | 2 | 1 | 0 | 0 | 0 | 0 | 0 | 0 | 4 |
| 2003 | 0 | 0 | 0 | 0 | 2 | 1 | 1 | 0 | 0 | 2 | 1 | 1 | 8 |
| 2004 | 2 | 0 | 0 | 0 | 2 | 0 | 1 | 1 | 0 | 0 | 0 | 0 | 6 |
| 2005 | 1 | 1 | 0 | 2 | 0 | 0 | 0 | 1 | 0 | 0 | 0 | 1 | 6 |
| 2006 | 0 | 0 | 0 | 3 | 3 | 2 | 0 | 0 | 1 | 2 | 0 | 0 | 11 |
| 2007 | 0 | 1 | 1 | 1 | 2 | 2 | 1 | 0 | 0 | 0 | 0 | 0 | 8 |
| 2008 | 0 | 1 | 3 | 0 | 3 | 1 | 0 | 0 | 0 | 0 | 0 | 0 | 8 |
| 2009 | 0 | 0 | 0 | 1 | 7 | 1 | 0 | 2 | 0 | 0 | 0 | 0 | 11 |
| 2010 | 0 | 0 | 0 | 4 | 1 | 2 | 0 | 0 | 0 | 0 | 0 | 0 | 7 |
| 2011 | 0 | 0 | 0 | 2 | 4 | 0 | 0 | 1 | 0 | 1 | 0 | 0 | 8 |
| 2012 | 0 | 1 | 0 | 0 | 1 | 0 | 1 | 0 | 1 | 0 | 0 | 0 | 4 |
| 2013 | 0 | 0 | 0 | 3 | 0 | 1 | 1 | 0 | 0 | 0 | 1 | 1 | 7 |
| 2014 | 0 | 0 | 0 | 1 | 0 | 0 | 2 | 0 | 0 | 0 | 0 | 0 | 3 |
| 2015 | 0 | 0 | 0 | 1 | 3 | 0 | 1 | 0 | 0 | 0 | 0 | 0 | 5 |
| 2016 | 0 | 1 | 0 | 0 | 1 | 3 | 0 | 0 | 0 | 0 | 0 | 0 | 5 |
| 2017 | 0 | 0 | 0 | 1 | 3 | 0 | 1 | 0 | 2 | 1 | 0 | 0 | 8 |
| 2018 | 0 | 1 | 2 | 2 | 1 | 2 | 0 | 0 | 0 | 0 | 0 | 0 | 8 |
| 2019 | 0 | 0 | 1 | 2 | 2 | 2 | 3 | 0 | 0 | 1 | 0 | 0 | 11 |
| 2020 | 1 | 2 | 0 | 5 | 0 | 1 | 0 | 0 | 0 | 0 | 0 | 1 | 10 |
| Total de Eventos | 19 | 10 | 11 | 23 | 34 | 14 | 6 | 3 | 1 | 3 | 1 | 0 | 149 |
As diversas formas de produção do espaço geográfico exercem forte pressão sobre o espaço natural, sendo realizadas sem considerar a vulnerabilidade das populações e do próprio ambiente, conforme pontuam Pinto e Brazil (2016). Sendo assim, os impactos das inundações e de alagamentos revelam um processo segregador da ocupação do espaço urbano aracajuano. Embora as chuvas sejam eventos naturais, a gravidade do fenômeno estará relacionada à capacidade de resposta da sociedade frente aos impactos produzidos. Neste contexto, a cidade encontra-se exposta aos riscos ambientais, tendo o sistema climático como o principal agente causador dos danos.

Buscas feitas em jornais virtuais da imprensa local entre os anos 2000 e 2020 possibilitaram catalogar os principais eventos de inundação e alagamento na cidade. Há a importância de se destacar o fato de que as fontes utilizadas neste estudo são provenientes de instituições de caráter privado.
Por intermédio da leitura das Figuras 6a, 6b e 6c, a ocorrência de eventos pluviais extremos foram percebidos em diferentes espaços da capital, no período adotado, na série histórica de dados, desde os bairros considerados nobres (a exemplo dos bairros Jardins, Grageru e 13 de Julho, todos citados na manchete reportada na Figura 6a) a bairros periféricos (como o Getúlio Vargas, o Santos Dumont e o 18 do Forte, citados na reportagem jornalística expressa na figura 6c), embora os eventos estejam distribuídos em grande parte na zona norte, em que as maiores gravidades situam-se nas áreas de riscos, onde o contingente populacional é mais carente e, portanto, mais vulnerável.
Pelos registros da imprensa, os eventos extremos de chuva são comuns entre os meses de maio e junho, na estação chuvosa, entre o final do outono e o início do inverno. Pinto e Brazil (2016) destacam que os “[...] eventos pluviais são consequência da falta de gestão e de planejamento do uso e ocupação do solo da cidade de Aracaju” e “ [...] a falta de drenagem pluvial é um problema identificado na localidade, gerando assim transtornos à população, ocorrendo inundações e consequentemente risco à população”. A Figura 7 expõe as áreas de risco de inundações por bairro de Aracaju classificadas em quatro classes; os bairros da zona norte, zona de expansão e o bairro Santa Maria (em vermelho) configuram-se como os locais de maiores riscos.
O mapa da Figura 7 foi extraído de Pinto; Brazil (2016). Ele foi produzido a partir dos dados quantitativos dos eventos pluviais extremos com a análise integrada das cartas geomorfológicas de declividade, de drenagem e de uso do solo municipal.
Conforme o mapa que considerou os eventos extremos de chuva entre 2004 e 2014, o bairro Porto Dantas, situado na zona norte, oferece maiores riscos de alagamentos devido à ocupação desordenada acelerada e a ausência de planejamento urbano; no período analisado, este foi um dos bairros que obteve as maiores ocorrências, onde se registraram muitos danos materiais. Por sua vez, na zona sul da cidade, o bairro Santa Maria, além de apresentar as mesmas causas que o bairro Porto Dantas, acrescenta-se a precária rede de drenagem e o entupimento dos bueiros provocados pelos lixos lançados pela população. Quanto à zona de expansão, o local figura-se como de alto risco, tendo em vista que a morfologia lacustre da área foi soterrada a partir de 2009 com a ocupação de famílias de classe média-alta em condomínios residenciais de alto padrão arquitetônico, impactando na macrodrenagem da localidade, o que não acontecia anteriormente.

Infere-se que a ausência de planejamento do uso, bem como a ocupação do solo associada à carência de drenagem pluvial e ao povoamento urbano desordenado em conjuntos habitacionais, que ainda carecem de infraestrutura em projetos urbanísticos, provocam à população, mais comumente, os riscos de inundações derivadas das chuvas. Embora os eventos pluviais extremos atinjam a capital como um todo, em todos os anos pesquisados, submetendo a cidade a impactos, os bairros nobres apresentaram vulnerabilidade socioambiental menos intensa quando comparados aos bairros localizados na zona norte de Aracaju.

A realidade apresentada revela a produção de um espaço urbano irregular, resultante do modelo desigual e contraditório do sistema capitalista, em que a maioria da população da cidade encontra-se à margem dos benefícios proporcionados pelos serviços de infraestrutura e de saneamento básico quando da ocorrência de desastres desencadeados nos períodos de eventos meteóricos de chuva. Além disso, a relação articulada entre o Estado e o setor imobiliário impulsionam a valoração das áreas nobres de intensa especulação para agregar valor em detrimento das áreas tidas como periféricas, onde são inexpressivos os investimentos em infraestrutura urbana, o que torna a população mais vulnerável aos riscos associados aos eventos extremos de chuva.
CONSIDERAÇÕES FINAIS E PERSPECTIVAS
Os dados extraídos do INMET e tratados no software R ratificam a sazonalidade dos eventos pluviais extremos na capital sergipana, enquanto a fonte de informações adquiridas através da Defesa Civil Municipal de Aracaju e dos registros jornalísticos apontam para os transtornos causados pelo excesso de chuva. Os impactos socioambientais urbanos, que vão de prejuízos materiais diversos à mobilidade do tráfego, ao transbordamento dos canais de esgotos, à perda de bens móveis e imóveis, até mesmo aos riscos de morte, são tratados com descaso pelas autoridades, que geralmente intervêm de maneira paliativa, mas não se desdobram para resolver eficazmente os problemas oriundos das chuvas.
A análise dos registros de eventos extremos permite-nos realizar uma delimitação temporal para os meses de abril e maio como os períodos de maior concentração destes eventos, com cerca de 40% das ocorrências, e, portanto, os meses que as autoridades municipais devem estar em alerta. A Figura 8 revela uma relação: a sazonalidade dos eventos extremos em conjunto com os totais mensais de chuva, atestando tal fato evidenciado.

A variabilidade na frequência anual dos eventos extremos também responde diretamente aos volumes de chuva (Figura 9). Percebe-se que os anos com menor número de eventos foram os períodos com volumes de chuva inferior a 1000 mm anuais, como 2012, 2014, 2015 e 2016. Por sua vez, os anos com maior quantidade de eventos foram aqueles igualmente com maiores valores de chuva anual, como 2004, 2005 e 2006. O valor de 1300 mm anuais de chuva mostrou-se como um limiar. Todos os anos, com volumes superiores a este montante, sucederam mais de 10 registros de eventos extremos. Uma regressão linear simples, com nível de confiança de 95%, revelou que cerca de 71% da ocorrência dos eventos de chuva extrema encontra na oscilação natural das chuvas a sua explicação. Assim, ressalta-se que a aparente queda na ocorrência dos eventos extremos e, por consequência, suas repercussões estão diretamente ligadas à recente queda no volume de chuvas.
Reforça-se, neste ponto, a necessidade de estudos voltados para a compreensão da gênese das chuvas e de sua intensidade na região de Aracaju, analisando, sobretudo, o efeito das teleconexões e das precipitações convectivas, na ocorrência de eventos extremos, sobre a capital sergipana.

Por meio da pesquisa, observou-se que os eventos pluviais extremos ocorrem em Aracaju periodicamente, no outono e no inverno, em todos os anos da série histórica; e ocasionam a condição de exposição aos riscos para a população residente na cidade. Embora a distribuição temporal do evento apresente forte correlação com a oscilação natural das chuvas, a espacialidade das ocorrências, indicadas pela Figura 7, revelam como as diferenças de ordem socioeconômica interferem na capacidade de respostas aos eventos de riscos. A parcela da população mais vulnerável, a da zona norte e a da zona de expansão de Aracaju, sofre as consequências de tais eventos com maior intensidade devido à baixa capacidade de enfrentar os desastres quando comparada à população das classes média-alta e alta, menos vulneráveis, já que habitam na parte segura da cidade, local menos exposto aos riscos.
A partir de tais fatos, percebe-se a gravidade da problemática socioambiental decorrente da ineficácia da administração pública com relação ao planejamento do uso e da ocupação desordenada do solo. Portanto, espera-se que tanto a compreensão da ocorrência dos eventos extremos de chuva quanto à desordem causada pelos impactos permitam a previsão e prevenção dos riscos. Dentro desse parâmetro, faz-se necessário que os setores da sociedade, assim como os gestores do Estado, busquem implementar propostas alternativas à segurança socioambiental urbana e à justiça social, como ampliar os serviços básicos de infraestrutura à população mais carente, retirá-la das áreas de risco e remanejá-la para áreas da cidade de habitação segura, priorizando a implementação de equipamentos tecnológicos de monitoramento, proteção, alerta e prevenção às chuvas. De nada serve todo o conhecimento senão para aplicá-los, a fim de resolver os problemas.
As relações mantidas entre o clima e a sociedade dependem das características da atmosfera, também, da estrutura social e do próprio ambiente citadino. Com os estudos do clima urbano é possível verificar os problemas socioambientais na cidade decorrentes da dinâmica atmosférica e da dinâmica das ações humanas, inclusive a ocorrência de eventos climáticos extremos.
REFERÊNCIAS
BRANDÃO, A. M. Clima urbano e enchentes na cidade do Rio de Janeiro. In: GUERRA, A. J. T.; CUNHA, S. B. (org). Impactos Ambientais Urbanos no Brasil. Rio de Janeiro: Bertrand Brasil, 2001.
CARDOSO, R. S.; AMORIM, M. C. C. T. Análise do clima urbano a partir da segregação socioespacial e socioambiental em Presidente Prudente, São Paulo, Brasil. Geosaberes, v. 6, n. 3, p. 122-136, 2015. Disponível em: http://www.geosaberes.ufc.br/geosaberes/article/view/462. Acesso em 07 de maio 2020.
COELHO, M. C. N. Impactos ambientais em áreas urbanas – Teorias, conceitos e métodos de pesquisa. In: GUERRA, A. J. T.; CUNHA, S. B. da (org). Impactos ambientais urbanos no Brasil. Rio de janeiro: Ed. Bertrand Brasil, 2001, p. 19-45. Disponível em: https://periodicos.ufpe.br/revistas/revistageografia/article/view/229259/23626. Acesso em 15 de ago. 2019.
COLTRI, P. P. Influência do uso e cobertura do solo no clima de Piracicaba, São Paulo: análise de séries históricas, ilhas de calor e técnicas de sensoriamento remoto. 2006. Tese de Doutorado. Universidade de São Paulo. Disponível em: http://www.teses.usp.br/teses/disponiveis/11/11136/tde-25102006-123617/pt-br.php. Acesso em: 04 de ago. 2019.
DUBOIS-MAURY, J.; CHALINE, C. Les risques urbains. 2ª ed. Paris: Armand Colin, 2004. In: MENDONÇA, F.A.; LEITÃO, S. A.M. Riscos e vulnerabilidade socioambiental urbana: uma perspectiva a partir dos recursos hídricos. Geotextos, v. 4, n. 1 e 2, p. 145-163, 2008. Disponível em: https://portalseer.ufba.br/index.php/geotextos/article/view/3300/2413. Acesso em 06 de ago. 2019.
FELTRIN, T. F.; RAIA JÚNIOR, A. A. Lei 12.608/12: Instrumento de auxílio à gestão da logística humanitária no enfrentamento de desastres causados por fenômenos naturais. Anais do IX Convibra Administração – Congresso Virtual Brasileiro de Administração, 2012. 13 p.
GONÇALVES, N. M. S. Impactos pluviais e Desorganização do Espaço Urbano em Salvador. In: MONTEIRO, C. A. F.; MENDONÇA, F. Clima Urbano. São Paulo: Contexto, 192p., 2003.
JACOBBI, P. Impactos socioambientais urbanos – do risco à busca de sustentabilidade. In: MENDONÇA, F. (Org.) Impactos Socioambientais Urbanos. Paraná: UFPR, 2004. Disponível em: https://cetesb.sp.gov.br/proclima/2004/05/16/impactos-socioambientais-urbanos-do-risco-a-busca-de-sustentabilidade/. Acesso 07 de ago. 2019.
ÚGEDA JÚNIOR, J.C.; AMORIM, M. C. C. T. Reflexões acerca do sistema clima urbano e sua aplicabilidade: pressupostos teóricos-metodológicos e inovações técnicas. São Paulo: Revista do Departamento de Geografia, volume especial, p. 160-173, 2016. Disponível em: http://www.revistas.usp.br/rdg/article/view/119402/118968. Acesso em: 08/08/2019.
MENDONÇA, F. A. Impactos Socioambientais Urbanos. Paraná: UFPR, 2004.
MENDONÇA, F. A; LEITÃO, S. A. M. Riscos e vulnerabilidade socioambiental urbana: uma perspectiva a partir dos recursos hídricos. Geotextos, v. 4, n. 1 e 2, p. 145-163, 2008. Disponível em: https://portalseer.ufba.br/index.php/geotextos/article/view/3300/2413. Acesso em: 06 de ago. 2019.
MENDONÇA, F.; CUNHA, F. C. A.; LUIZ, G. C. Problemática Socioambiental Urbana. Revista da ANPEGE, v.12, n.18, p. 331-352, 2016. Disponível em: http://ojs.ufgd.edu.br/index.php/anpege/article/view/6409. Acesso em 19 de jul. 2020.
MENDONÇA, V. M. Impactos pluviais na cidade de Presidente Prudente-SP. Monografia (Bacharelado). FCT-UNESP. Presidente Prudente, 2011. Disponível em: . Acesso 19/05/2020.
MONTEIRO, C. A. F.Teoria e clima urbano. São Paulo: IGEOG/USP, 1976.
MONTEIRO, A. As cidades e a precipitação: uma relação demasiado briguenta. Revista Brasileira de Climatologia, 2009. Disponível em: https://revistas.ufpr.br/revistaabclima/article/view/49390/31567. Acesso em 01 de maio 2020.
MONTEIRO, C. A. F.; MENDONÇA, F. (Orgs). Clima Urbano. São Paulo: Contexto, 2003.
MONTEIRO, J. B.; ZANELLA, M. E. A metodologia dos máximos de precipitação aplicada ao estudo de eventos extremos diários nos municípios de Crato, Fortaleza e Sobral- CE. Geotextos, v. 13, ano 13, n. 2, 2017. Disponível em: https://portalseer.ufba.br/index.php/geotextos/article/view/24011. Acesso em 14 de maio 2020.
OLIVER-SMITH, A. Theorizing vulnerability in a globalized world: a political ecological perspective. In: BANKOFF, G.; FRERKS, G.; HILHORST, D. Mapping vulnerability: disasters, development & people. London: Earthscan, 2004, p. 10-24.
PINTO, J. E. S. S. A Climatologia aplicada aos estudos ambientais. X Simpósio Brasileiro de Geografia Física Aplicada. Anais... Rio de Janeiro: 2003, p. 1-9. Disponível em: http://cibergeo.org/XSBGFA/eixo1/1.2/260/260.htm. Acesso em 06 de abr. 2020.
PINTO, J. E. S. S; BRAZIL, J. L. S. Estudos empíricos de impactos meteórico: questões básicas da consistência em Aracaju-SE. Revista de Geografia (Recife), v. 33, n. 4, p. 111-131, 2016. Disponível em: https://periodicos.ufpe.br/revistas/revistageografia/article/view/229259/23626. Acesso em 15 de ago. 2019.
SANTOS, D. D.; GALVANI, E. Distribuição sazonal e horária das precipitações em Caraguatatuba/SP e a ocorrência de eventos extremos nos anos de 2007 a 2011. Ciência e Natura, v. 36, n. 2, p. 214-229, 2014. Disponível em: https://www.redalyc.org/articulo.oa?id=467546173015. Acesso em 15 de maio 2020.
TEODORO, P. H. M. O clima na urbanização e planejamento em Maringá/PR: uma contribuição metodológica e de aplicabilidade urbana para estudos hidrometeóricos. Monografia (Bacharelado em Geografia) – FCT/UNESP. Presidente Prudente, 2008.
VICENTE, A. K. Eventos extremos de precipitação na Região Metropolitana de Campinas. Dissertação (Mestrado). Programa de Pós-graduação em Geografia. Campinas: Unicamp, 2004. Disponível em: . Acesso em 06 de maio 2020.
WANDERLEY, L. S. A; NÓBREGA, R. S.; MOREIRA, A. B.; ANJOS, R. S.; ALMEIDA, C. A. P. As chuvas na cidade do Recife: uma climatologia de extremos. Revista Brasileira de Climatologia, v. 22, ano 14, 2018, p. 149-164. Disponível em: . Acesso em 26 de abr. 2020.
ZAMPARONI, C. A. G. P. Riscos e desastres naturais em ambiente urbano: o exemplo de Cuiabá/MT. Revista Brasileira de Climatologia, v. 10, ano 8, p. 7-20, 2012. Disponível em: https://revistas.ufpr.br/revistaabclima/article/view/30581. Acesso em: 12 de maio 2020.