Artículos de Investigación, Reflexión y Artículo de Revisión
ACTITUD DE LOS CONDUCTORES INVOLUCRADOS EN ACCIDENTES DE TRÁNSITO CON DAÑOS MATERIALES. CASO DE ESTUDIO: MUNICIPIO LIBERTADOR DEL ESTADO MÉRIDA
Attitude of drivers involved in traffic accidents with property damage. Case study: municipality liberator of the state of Mérida
ACTITUD DE LOS CONDUCTORES INVOLUCRADOS EN ACCIDENTES DE TRÁNSITO CON DAÑOS MATERIALES. CASO DE ESTUDIO: MUNICIPIO LIBERTADOR DEL ESTADO MÉRIDA
Sapienza Organizacional, vol. 6, núm. 12, pp. 182-216, 2019
Universidad de los Andes

Recepción: 04 Noviembre 2018
Aprobación: 13 Diciembre 2018
Resumen: Los accidentes de tránsito son considerados un problema de salud pública con repercusión social, económica y gubernamental. Procurar cambiar los comportamientos imprudentes exige diferentes abordajes, uno de los cuales puede hacerse desde el campo de las actitudes y sus componentes. Las actitudes, aunque relativamente estables pueden modificarse y en ese sentido, existen teorías que plantean formas de hacerlo. En este contexto el presente estudio se propone caracterizar las actitudes de los conductores involucrados en los accidentes de tránsito con daños materiales del municipio Libertador del estado Mérida y proponer algunas acciones. A partir de un estudio descriptivo, mixto, de campo, con muestreo sistemático uniforme y análisis factorial, se analizaron los componentes cognoscitivo, afectivo y conductual. En los tres componentes se identificaron dos grupos. A nivel cognoscitivo, un grupo de conductores que conoce la ley y otro que demuestra creencias que pueden ocasionar una actuación imprudente. Afectivamente un grupo que valora positivamente la aplicación de normas, pero sin fijar posición con respecto a la funcionalidad del Estado, y otro más sensible y crítico al sistema de seguridad vial. Conductualmente los dos grupos muestran francas intenciones de comportamiento adecuado y respeto al conductor prudente. Se proponen acciones en el contexto de las teorías de refuerzo, aprendizaje social, funcionalidad, disonancia cognitiva y acción planificada.
Palabras clave: Actitudes, Teorías, Cognoscitivo, Afectivo.
Abstract: Traffic accidents are a public health problem with social, economic and governmental repercussions. The reckless behaviour demands different approaches. In that sense, attitudes can also be modified and there are theories that propose ways to do it. In this context, the present study aims to characterize the attitudes of drivers involved in traffic accidents with material damage in the Libertador municipality of the state of Mérida and propose some actions. From a descriptive, mixed, field study, with uniform systematic sampling, the cognitive, affective and behavioural components will be analyzed. In all three components, two groups were identified. At the cognitive level, a group of drivers who know the law and another that demonstrates beliefs that may cause reckless behaviour. Affectively a group that positively assesses the application of standards but without setting a position with respect to the functionality of the State, and another that is more sensitive and critical to the road safety system. Conductually, the two groups show frank intentions of proper behaviour and respect for the prudent driver. Actions are proposed in the context of theories of reinforcement, social learning, functionality, cognitive dissonance and planned action.
Keywords: Attitudes, Theories, Cognitive, Affective, Behavioural.
1.- INTRODUCCIÓN
Los accidentes viales provocan un impacto personal, social y económico de tal magnitud que los Estados consideran la problemática como una enfermedad de salud pública. Según cifras de la OMS (2017), cada año muere alrededor de 1,25 millones de personas por accidentes de tránsito, siendo una de las principales causas de muerte entre los jóvenes de 15 a 29 años. Asimismo, los traumatismos y consecuencias sufridas por los sobrevivientes, sobre todo entre estos grupos jóvenes, son un grave problema que afecta el desarrollo y sobre todo de países más pobres. La afectación del PIB de los países de bajo ingreso puede llegar al 5%, lo cual representa pérdidas importantes que afectan su desarrollo.
El panorama es de tal envergadura que se equipara a problemas como el cambio climático, el tabaquismo y la tuberculosis. Se prevé que para el 2030, los traumatismos por accidentes de tránsito se incrementarán y serán la quinta causa principal de mortalidad (OMS, 2009). Es tal su repercusión que, en marzo de 2010, las Naciones Unidas en asamblea general declararon al período 2011-2020 como el “Decenio de Acción para la Seguridad Vial” con la finalidad de estabilizar y reducir las cifras de víctimas mortales en accidentes de tránsito en todo el mundo. Para tal propósito plantean actividades a nivel nacional, regional y mundial y piden a los Estados miembros su contribución a través de actividades en la materia, es decir, gestión de la seguridad vial, infraestructura vial, seguridad de vehículos, comportamiento de los usuarios de las vías de tránsito, educación para la seguridad vial y atención posterior a los accidentes (Naciones Unidas, 2010).
Asimismo, en la Agenda 2030 para el Desarrollo Sostenible se considera el tema y se pretende para el 2020, reducir a la mitad el número de muertes y lesiones causadas por accidentes de tráfico en el mundo y para el 2030, proporcionar acceso a sistemas de transporte seguros, asequibles, accesibles y sostenibles para todos (Naciones Unidas, 2016).
Enfocado en la situación venezolana, se tiene que para el año 2016 los accidentes viales están asociados con imprudencia de los conductores (62%). A nivel general, el tipo de siniestro predominante fue la colisión entre dos vehículos (35%), seguido por el accidente de un solo vehículo sin colisión (26%) y la colisión con peatón (24%). De acuerdo al Instituto Nacional de Tránsito Terrestre (2015) entre las causas de los accidentes de tránsito prevalecían la imprudencia, exceso de velocidad, alcohol y condiciones del vehículo.
En cuanto al estado Mérida, Santos (2017) en el V Informe sobre la situación de la seguridad vial en Venezuela, le identificaba como la tercera entidad en cuanto a muertes por accidentes viales para el año 2013. Para el año 2015, según las estadísticas del Instituto Nacional de Transporte Terrestre (2015), se encuentra en el lugar doce en cuanto a accidentes de tránsito en general y en el número diez en cuanto a fallecidos en accidentes de tránsito.
Como puede observarse, ya sea a nivel mundial, nacional o estadal es una problemática importante que debe abordarse. Obviamente debe atenderse multifactorialmente pues se trata de un sistema muy complejo donde intervienen conductores, peatones, autoridades y debe necesariamente estar orientado y/o controlado por políticas públicas, normas, leyes.
Ahora bien, al intervenir personas es también importante considerar sus comportamientos para comprender las causas de un accionar indebido. En este campo es importante el estudio de las actitudes de los individuos (conductores) las cuales representan una predisposición que resulta del aprendizaje, creencias, valores, emociones y que pueden generar una intención y comportamiento. Precisamente desde este último enfoque se ha orientado la presente investigación siendo su objetivo clasificar las actitudes de los conductores involucrados en accidentes de tránsito con daños materiales. La intención es comprender la naturaleza de sus actitudes (componentes cognitivos, emocionales y conductuales), clasificarlas (obtener grupos) y proponer acciones para modificarlas a tenor de las diferentes teorías que las explican (y así evitar actuaciones imprudentes)
2.- Actitudes: definición y teorías
El estudio de las actitudes es un tema básico al tratar de comprender el comportamiento humano. Es parte de la vida y se aprenden y modifican de acuerdo a nuestras creencias, valores, educación, interacción social, entre otros. En los comportamientos socialmente aceptables o no, necesariamente intervienen las actitudes.
No existe una definición única, todo lo contrario, ha evolucionado con el tiempo y se ha enriquecido con nuevos enfoques y teorías. En la tabla 1 pueden observarse algunas propuestas de definición de la actitud.

Como puede observarse en el compendio incluido en la tabla, existen coincidencias en las definiciones de la actitud, entre que las que resaltan: el direccionamiento hacia un objeto que puede ser un individuo, grupo, situación, cosa, lugar, conducta, entre otros; son aprendidas a partir de las experiencias y relativamente estables (pueden cambiar); conlleva una actividad mental, creencias, memoria, valores (competente cognitivo), sentimientos, valoraciones favorables o no (componente afectivo) y la posibilidad de un comportamiento físico (componente conductual); se forman tanto de la experiencia como de la situación. Es entoncespropicio el estudio de sus componentes.
2.1.- Componentes de las actitudes
Generalmente las actitudes se enfocan en tres elementos principales: cognoscitivo, afectivo y conductual. De acuerdo a Breckler (1984), lo cognoscitivo responde al conjunto de conocimientos, creencias, opiniones, ideas, hechos, valores, expectativas o pensamientos de un individuo en torno al objeto. Estas percepciones son adquiridas por una combinación de la experiencia directa con un objeto-actitud y de la información obtenida de diversas fuentes. Lo afectivo es la respuesta emocional evaluativa relativa a sentimientos, preferencias, estados de ánimo y las emociones que se evidencian (física y/o emocionalmente) ante el objeto de la actitud, es decir, tienen que ver con la consideración favorable o desfavorable. En cuanto a lo comportamental, refiere a las acciones, intenciones o declaraciones verbales de comportamiento, es decir, tendencia o disposición de actuar de cierta manera con respecto al objeto de la actitud, aun cuando no llegue a cristalizarse en un comportamiento.
Asimismo, los tres elementos forman parte del todo que representa la actitud, pero cada uno de estos pueden variar individualmente, demostrando conductas favorables u hostiles (comportamiento), sentimientos placenteros o desagradables, valoraciones positivas o negativas (afecto) o pensamientos o creencias específicas sobre el objeto (cognitivo). La combinación de posibles respuestas conforma la actitud (Borrella, 2013). Asimismo, así como la interrelación de estos tres componentes pueden preceder a las actitudes, estos pueden también ser consecuencia de las actitudes, es decir, las actitudes preceden a la acción, pero también la puede generar o reforzar la actitud (Bolívar, 1995).
Ahora bien, las actitudes pueden orientarse al cambio para así lograr mejoras en la sociedad y, en el caso de estudio, disminuir las conductas infractoras de tránsito. Para Shiffman y Kanuk (2005) los individuos pueden asumir ideas y tener sentimientos en función de satisfacer sus necesidades y a la larga, generar cambios de comportamiento que contribuyan a mejorar su calidad de vida y su entorno social. Cabe en este contexto modificar las actitudes en función del bien social.
2.2.- Modificación de actitudes
De las características citadas, se tiene entonces que las actitudes son aprendidas, no necesariamente son permanentes y pueden estar influenciadas por la situación del entorno, todo lo cual permite intuir su posibilidad de ser modificadas. Asimismo, entendiendo que la actitud posee elementoscognitivos, afectivosyconductuales, lamodificación de alguno de éstos posiblemente pueda contribuir al cambio de la actitud. En este entendido es menester estudiar lo concerniente al cambio o modificación de las actitudes para lo cual se puede encontrar un extenso compendio de teorías y modelos, entre otras, teorías del aprendizaje- refuerzo, aprendizaje social, disonancia cognoscitiva, teorías funcionales, teoría de la acción razonada y teoría de la acción planificada.
Las teorías del aprendizaje- refuerzo estudian las actitudes en función del estímulo-respuesta. En este grupo se encuentra las teorías del condicionamiento clásico e instrumental, cuyo exponente principal es Pavlov (1927) en la cual se busca una respuesta condicionada a un estímulo. Más tarde Staats (1957) concluye que las actitudes son respuestas condicionadas clásicas que sirven de refuerzos o no para otros comportamientos y si una actitud es premiada, el individuo se propondrá como meta alcanzar esa actitud.
Destaca también Hovland (1959) para quien la actitud es algo emocional que depende de sus creencias, las cuales pueden cambiarse con argumentos persuasivos (teoría de la persuasión). La persuasión se logra si se considera como un proceso que pasa por las etapas de atención, comprensión, aceptación y retención(1) . Siendo así, un mensaje verdaderamente persuasivo debe provenir de una fuente confiable, ser atractivo y apelar a los sentimientos para que logre la atención del individuo; debe también ser simple para que haya una fácil comprensión de su contenido y desarrollarse en un ambiente tranquilo para no distraer la atención; debe incluir una mejora o recompensa que justifique su aceptación; y debe ser capaz de ser recordado para garantizar su retención. Destaca en este grupo de teorías un enfoque cognitivo y afectivo a efectos de producir un comportamiento.
Las teorías del Aprendizaje Social plantean que la formación y el cambio de actitudes dependen en gran parte del grupo del cual se forma parte. El grupo presiona para que las personas tengan determinadas actitudes. Bandura (1977) considera que las actitudes se aprenden influenciadas por factores personales y ambientales es decir se trata de un modelado de conducta a partir de un motivo que induzca el cambio, un modelo a seguir y una recompensa. Puede intuirse en este caso, un enfoque cognoscitivo y emocional.
La Teoría de la Disonancia Cognitiva (Festinger, 1957) postula que ante dos creencias disonantes que generan conflicto en el individuo, éste buscará coherencia y por tanto optará por cambiar de actitud. Para lograr el cambio de actitud se puede cambiar las creencias, agregar una tercera creencia que modifique la importancia de alguna de las dos primeras o cambiar la conducta si es disonante con alguna de las creencias. Ahora bien, la disonancia surge luego de evaluar el comportamiento, lo que puede hacer que cambien las creencias previas o elementos cognoscitivos de la actitud.
Las teorías Funcionales plantean que las actitudes surgen de acuerdo a las necesidades del individuo y las respectivas funciones para satisfacerlas. Estas funciones pueden ser instrumentales ante lo cual se genera una actitud positiva hacia aquello que le es útil; Función ego defensiva o de externalización ante lo cual se genera una actitud negativa ante objetos que representen riesgo a su persona; función cognitiva o de percepción objetiva, ante lo cual se genera una actitud positiva hacia el conocimiento que le permite a su vez organizar su conocimiento del mundo; función expresiva de valores: se generan actitudes que permiten autoafirmarse, mostrarse ante los demás y ante sí mismo como alguien valioso (prestigio, poder, admiración…). Se puede decir que existe un importante componente cognitivo y emocional que propicia el comportamiento
La teoría de la Acción Razonada obedece a Fishbein y Ajzen (1975) según la cual el comportamiento está influenciado por la intención (factor motivacional) y ésta a su vez lo está por la actitud hacia el comportamiento (factor psicológico personal) y la norma subjetiva (factor psicológico social). La actitud hacia un comportamiento o predisposición negativa o positiva, depende del desempeño o creencias sobre los resultados que se obtienen del comportamiento en cuestión. Asimismo, también influye la norma subjetiva o las creencias que otros individuos tienen en relación a un comportamiento específico, lo que presiona o influye para que se ejecute; por otra parte, existe la motivación para satisfacer las expectativas de estos individuos significativos para el individuo y si la motivación es suficiente, les complacerá cambiando su comportamiento.
Esta teoría es mejorada más tarde y surge la Teoría de la Acción Planificada de Ajzen (1988), según la cual la intención para realizar un comportamiento dependerá tanto de la actitud y la norma subjetiva relativa al comportamiento y adicionalmente del control conductual percibido, es decir, la facilidad o dificultad que percibe la persona para realizar el comportamiento (obstáculos internos como falta de habilidades y competencias y externos o situacionales como la poca accesibilidad, falta de colaboración de otros, entre otros). En este grupo de teorías prevalecen los enfoques cognoscitivos que pueden propiciar una intención y un comportamiento.
Como puede observarse, no son pocos los enfoques dispuestos a explicar el cambio de actitud. Ahora bien, como toda teoría, tienen adeptos y detractores. No obstante, en el presente estudio, es pertinente lo expresado por Arnau y Montané (2010: 46):
Parece que un proceso formativo para el cambio de actitudes centrado únicamente en la transmisión de contenidos lógicos, perceptivos y cognitivos es insuficiente si se quiere intervenir para mejorar las actitudes y los hábitos de conducción. Son numerosos los autores que relacionan los procesos de pensamiento con las emociones y los hábitos de comportamiento con el cambio de actitudes …En este sentido, para desarrollar actitudes positivas y comportamientos favorables a la seguridad vial, será necesario incidir no solo en la información o en los procesos de la percepción, sino en los condicionamientos del hábito y en las emociones en relación con la conducción.
Se trata entonces de intervenir en los componentes cognitivos, afectivo y conductuales del individuo.
3.- Método
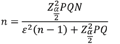
Esta investigación presenta un enfoque mixto, pues luego de la recopilación de datos cualitativos se cuantifican para describir aspectos relacionados con las actitudes del conductor infractor. Asimismo, se realizó un estudio de campo de carácter transversal con un muestreo probabilístico sistemático. Se contó con el marco muestral conformado por los expedientes de 1610 accidentes de tránsito con daños materiales del año 2012, suministrado por el Departamento de Daños Materiales de la Insectoría de Tránsito Terrestre del municipio Libertador del estado Mérida, Venezuela. Concretamente, se consideró el diseño muestral sistemático uniforme de paso k. La obtención de la muestra sistemática de tamaño n de una población de N elementos se consiguió a través del siguiente procedimiento:

Donde:
N = Tamaño de la población = 1610. Margen de confiabilidad del 95% = 1,96
P = Probabilidad de ocurrir el evento = 0,90
Q = Probabilidad de no ocurrir el evento = 0,10 Error muestral = 5%
n = tamaño de la muestra

Así, se obtuvo como tamaño de la muestra, 127 expedientes de conductores involucrados en accidentes de tránsito con daños materiales. El salto sistemático k está dado por k = N/n = 1610/127 =12,68 tomando entonces el entero inmediato inferior 12. Se elige un número aleatorio entre 1 y k (=arranque aleatorio) para elegir la primera unidad muestral, para lo cual se eligió el número aleatorio entre 1 y 12, correspondiente a = 3. A partir de la posición = 3, se realiza un salto de k=12 unidades, obteniendo la segunda unidad de la muestra µ+k y así sucesivamente. De acuerdo a este procedimiento, la lista de expedientes para aplicar los instrumentos del trabajo de campo, se muestra en la tabla 2.

Por otro lado, fue utilizada como fuente de información primaria la encuesta por vía telefónica y el cuestionario como instrumento de recolección. La información recabada permitió clasificar y analizar las actitudes (nivel cognoscitivo, afectivo y conductual) de los conductores involucrados en los accidentes de tránsito con daños materiales.
La validez de la investigación estuvo respaldada por tres expertos, una prueba piloto y el método de consistencia interna Alfa de Cronbach resultando el índice con un 0,76, considerado aceptable. Se utilizó el análisis estadístico descriptivo y el Análisis de Componentes Principales el cual permitió reducir la dimensionalidad del conjunto de datos y ordenarlos por importancia a los efectos de determinar asociaciones de acuerdo a niveles cognoscitivo, afectivo y conductual de los involucrados en accidentes de tránsito. A partir del análisis de los grupos identificados, se recomiendan algunas acciones a la luz de las diferentes teorías consideradas.
4.- Resultados
Para iniciar este apartado se describe el perfil de los conductores involucrados en accidentes de tránsito con daños materiales. Los conductores tienen edades entre los 26 y 40 años y específicamente resalta que el 35% corresponden a edades entre 31-35 años, el 87% corresponde al sexo masculino, en el 61% de los casos el estado civil es soltero, 52% tiene hijos, el 48,8% posee un nivel de instrucción universitaria y un 26,8% nivel de secundaria.
A continuación, se muestran los resultados a nivel cognoscitivo, afectivo y conductual de los conductores involucrados en accidentes de tránsito con daños materiales a través del análisis factorial. En cada caso es necesario realizar la prueba de esfericidad de Bartlett. Así si Sig. (p-valor) < 0.05 aceptamos H0 (hipótesis nula) asumiendo así que es posible aplicar el análisis factorial. En la aplicación de la técnica se generaron matrices de Varianza Total Explicada para identificar los componentes retenidos y de Componentes Rotados para explicar la composición de los componentes. Finalmente se obtienen los gráficos que agrupan los componentes principales para poder establecer las características de los grupos de conductores encuestados.
4.1.- Análisis factorial del nivel cognoscitivo
La valoración del nivel cognoscitivo considera lo que los conductores creen o consideran como la causa de los accidentes de tránsito y el conocimiento de la ley sobre aspectos específicos que inciden en los siniestros.
En cuanto a la aplicación de la técnica de componentes principales, en la tabla 3 se puede observar la buena adecuación muestral, con lo cual puede aplicarse el análisis factorial.

Asimismo, las relaciones entre el nivel cognoscitivo se muestran en la tabla 4 con seis componentes retenidos que explican el 63,65% de la varianza total de las variables. Asimismo, en la tabla 5 se incluye la denominación de cada variable y sus componentes rotados. De esta forma se definen las variables que explican cada componente principal.


De acuerdo a la información contenida en la matriz de componentes rotados, se definen a continuación las variables sobre el conocimiento de la ley que explican cada componente principal
Componente 1, definido por las variables: Conducir7_DA (Cumplir las normas de tránsito = 0,523)
Componente 2 conformado por: Conducir6_DA (No provocar ruidos contaminantes =0,838), Conducir11_DA (No permitirle el paso a los peatones que estén cruzando la vía pública = 0,701).
Componente 3 constituido por: Conducir12_DA (Llevar los niños menores de 6 años en el asiento trasero del vehículo = 0,757)
Componente 4 asociado por: Conducir5_DA (Que los ocupantes usen el cinturón de seguridad = 0,684), Conducir9_ DA (No superar los 40 kms/hora en áreas urbanas = 0,703).
Componente5 definido por: Conducir13_DES (Hacer caso omiso a las indicaciones de los semáforos = 0,638).
Componente 6 asociado por: Conducir2_DA (Estarinscritos en el Registro Nacional de Vehículos y Conductores= 0,803), Conducir15_DES (Aumentar la velocidad cuandootro vehículo lo esté adelantando = 0,803).
Así, el gráfico 1 de componentes en espacio rotados, muestra los componentes 1 y 2 los cuales explican la mayor varianza de las variables. Las coordenadas de una variable en cada componente se corresponden con las saturaciones de la variable en dichos componentes. En el gráfico se observa la formación de un patrón discriminado en dos grupos o nubes de puntos, cada nube representa características específicas del perfil ante el nivel cognoscitivo. A saber:
La nube ubicada en la parte superior asocia a los conductores que adjudican a la imprudencia la ocurrencia de accidentes de tránsito. Se trata de ciudadanos que conocen las leyes, sanciones, prohibiciones y agravantes de la misma (están inscritos en el Registro Nacional de Vehículos y Conductores, saben que deben tener buena salud para manejar un vehículo, que deben llevar los niños menores de seis años en el asiento trasero del vehículo, cumplir las normas de tránsito, no provocar ruidos contaminantes, no superar los 40 kms/hora en áreas urbanas (y más aún en casos de niebla densa, lluvia intensa y nubes de polvo). Sin embargo, no creen que sea indebido según la ley, el uso de equipos electrónicos y de telecomunicaciones mientras conducen.
La nube ubicada en la parte inferior está compuesta por conductores que también asumen que los accidentes de tránsito son causados por la imprudencia. Asimismo, conocen las leyes y las repercusiones de su incumplimiento pues reconocen que es incorrecto llevar a los niños pequeños en el asiento delantero (aun cuando se trate de un buen conductor), hacer caso omiso a las indicaciones de los semáforos, cambiar de canal frecuentemente, aumentar la velocidad cuando otro vehículo lo esté adelantando o adelantar a un vehículo de transporte escolar. No obstante, no creen indebido obstaculizar el paso al peatón cuando está cruzando la vía.

En términos generales, los dos grupos encontrados en más o menos magnitud, demuestran un conocimiento aceptable de la ley. Sin embargo, son infractores potenciales pues muestran desconocimiento de algún aspecto tal como la utilización de equipos electrónicos o de telecomunicación mientras maneja y no ceder el paso al peatón que está cruzando la vía pública. Cualquiera de estas infracciones conlleva el riesgo de accidentes de tránsito con gran probabilidad de daños propios y a terceros.
a. Análisis factorial del nivel afectivo
Para describir la actitud a nivel afectivo, se preguntó por los daños emocionales que causaban los accidentes tanto al conductor y acompañantes. Asimismo, se indaga cómo valora el conductor infractor el desempeño o funcionamiento del sistema de seguridad vial o cómo valora algunas acciones que podrían mejorar la seguridad vial.
Al observar la tabla 6 se evidencia buena adecuación muestral, pudiéndose aplicar el análisis factorial. La tabla 7 muestra los valores de los componentes rotados, con ocho componentes retenidos que explican el 65,98% de la varianza total de las variables. De igual forma, en la tabla 8, se definen las variables que explican cada componente principal.



En este caso, las variables que explican cada componente principal son los siguientes:
Componente 1, definido por las variables: Sistema6_DES (Seguimiento apropiado luego de los accidentes = 0,732) y Sistema7_N (los procedimientos durante y luego de los accidentes son efectivos = 0,756)
Componente 2 conformado por: Mejora1_DA (Mejorar las leyes de tránsito = 0,732), Mejora2_DA (Incrementar la cantidad de inspectores de tránsito = 0,832).
Componente 3 constituido por: Mejora12_DA (Incrementar la educación vial = 0,793)
Componente 4 asociado por: Mejora14_DES (Aumentar la edad para obtener la licencia de conducir = 0,716).
Componente5 definido por: Sistema1_DA (Las normas y reglamentos son suficientes = 0,818).
Componente 6 asociado por: Mejora10_DES (Prohibir circulación de bicicletas y motos en las avenidas = 0,757).
Componente 7 asociado por: Mejora8_DA (Obligar a mantener en mejor estado los vehículos = 0,701).
Componente 8 asociado por: Mejora6_DA (Exigir un examen más riguroso para obtener licencia de conducir = 0,722).
El gráfico 2 de componentes en espacio rotados, muestra la formación de un patrón discriminado en dos grupos o nubes de puntos con características del nivel afectivo, a saber:
La nube ubicada en la parte superior muestra conductores que coinciden en que la secuela emocional más importante después de un accidente de tránsito, es el estrés al manejar. Asimismo, valoran favorablemente que para minimizar los riesgos de tener accidentes de tránsito, se implementen medidas dirigidas el incremento de la educación vial afianzadas en campañas de educación vial; se promueva que las personas utilicen más transporte colectivo y menos su auto particular; se obligue a los conductores, al menos una vez al año, a recibir educación vial; se mejore el estado de las vías y señalizaciones; que se mantenga en mejor estado los vehículos y que se exija un examen más riguroso para obtener licencia de conducir. Por otra parte, valoran negativamente que se establezca un día de parada, que se prohíba circular bicicletas y motos en las avenidas y que se aumente la edad para obtener la licencia de conducir. Por último, le es indiferente o neutral el hecho de que aumenten los costos y penas de las multas.
La nube ubicada en la parte inferior representa a los conductores que consideran que el mayor impacto asociado al accidente de tránsito, se refleja en los daños materiales. Asimismo, consideran favorable y suficiente las normas y reglamentos y las sanciones. No valoran favorablemente las políticas nacionales que existen en materia de tránsito, ni sienten que fomenten el desplazamiento adecuado de ciclistas, motorizados y peatones, que sean suficientes las inversiones para mejorar el tránsito o que el servicio de salud esté capacitado para atender a los accidentados; tampoco valoran positivamente el seguimiento luego de producido el accidente de tránsito. Asimismo, valoran favorablemente que se mejoren las leyes de tránsito, se incremente la cantidad de inspectores de tránsito y se mejore su formación, aunque les es indiferente los procedimientos aplicados durante y luego de los accidentes de tránsito.

Como se observa, existe un grupo que valora favorablemente el que se apliquen normas más rigurosas orientadas a la educación y mantenimiento de vialidad y vehículos, pero sin mostrar ninguna posición con respecto a la funcionalidad del Estado en la atención de las condiciones de seguridad vial y la aplicación de la norma vigente de tránsito terrestre. Asimismo, el otro grupo se muestra, sin duda, más sensible y crítico en este sentido.
Análisis factorial del nivel conductual
En este componente se estudia el comportamiento (o intención) al conducir de la persona involucrada en el accidente de tránsito con daños materiales. En la tabla 9 se observa la comprobación de la adecuación de la muestra. La 10 muestra los valores de los componentes rotados y las relaciones en el nivel conductual con tres componentes retenidos que explican el 59,55% de la varianza total delas variables. De igual forma, en la tabla 11, se definen lasvariables que explican cada componente principal.



Para el nivel conductual, los componentes de conforman de la siguiente manera:
Componente 1, definido por las variables:Experiencia7_DES (Deberían sancionar a los conductores prudentes, pues lejos de mejorar la circulación, la obstaculizan= 0,877) y Experiencia8_DES (Cuando hay conductores que quieren competir, debe dárseles una lección y ganarles =0,856)
Componente 2 conformado por: Experiencia1_DES (Hay conductores que manejan lentamente y merecen que les griten e incluso insulten para que se dé cuenta de la situación que causan = 0,879), Experiencia2_DES (Para apurar a los conductores que parecen no tener mucha urgencia, se debe tocar la bocina varias veces o de forma insistente para que den paso = 0,868).
Componente 3 constituido por: Experiencia4_DES (Ante las importantes colas que hay en la ciudad, llegar a tiempo a mis actividades requiere que se realicen, frecuentemente, cambios de canales de circulación = 0,726)
Así, el gráfico 3 muestra los valores de la matriz de componentes rotados, donde se observa la formación de un patrón discriminado en dos grupos o nubes de puntos, con las siguientes características:
La nube ubicada en la parte superior está formada por los conductores con claro descuerdo con la conducción agresiva, es decir, no acostumbran ni apoyan a los conductores que griten e incluso insulten a conductores que manejan lentamente, quienes además les presionan con el toque insistente de bocina para que den paso. Tampoco manejan a altas velocidades ni están de acuerdo en que los conductores expertos puedan hacerlo sin perder el control del vehículo y tampoco están de acuerdo con los cambios frecuentes de canales de circulación, sólo por el hecho de estar apurados.
La nube ubicada en la parte inferior, asocia a los conductores que están en desacuerdo con los individuos que se colocan el cinturón de seguridad sólo cuando observan una alcabala o hacen un viaje largo; tampoco muestran una conducta despectiva ante los conductores prudentes, ni caen en la provocación de competir con otros conductores. De igual forma están en desacuerdo con quienes mantienen que las normas y autoridades de tránsito son innecesarias.

Como se observa, ambos grupos muestran claras evidencias de un comportamiento no agresivo.
De acuerdo con el comportamiento de los grupos estudiados, se proponen en la tabla 12, algunas acciones a tenor de las teorías sobre actitudes.

CONCLUSIONES
El presente estudio caracteriza y evalúa las actitudes de los conductores involucrados en accidentes de tránsito con daños materiales del municipio Libertador del estado Mérida. Según los expertos, las actitudes son aprendidas y relativamente estables (pueden cambiarse), están direccionadas hacia un objeto y conlleva una actividad mental, creencias, memoria, valores (competente cognitivo), sentimientos, valoraciones favorables o no (componente afectivo) y la posibilidad de un comportamiento físico (componente conductual). Entendiendo que la actitud como un conjunto de elementos cognitivos, afectivos y conductuales, la modificación de alguno de éstos posiblemente pueda contribuir al cambio del todo. En esta tarea se plantean diversas teorías que pueden modificarlas y contribuir a fomentar comportamientos socialmente aceptables.
En general, el conductor infractor se identifica con un perfil de 26 a 40 años (prevaleciendo el grupo de 31 y 35 años), la mayoría de sexo masculino, soltero, con hijos, nivel de instrucción universitaria y con conocimiento de Ley. Como puede observarse, el perfil de la mayoría, coincide con personas maduras, con responsabilidad familiar y alto grado de educación, lo cual llama la atención.
Luego del Análisis de Componentes Principales, cognitivamente, se identifican dos grupos de conductores que coinciden en que la causa de los accidentes es la imprudencia y además demuestran un conocimiento aceptable de la ley. No obstante, son potenciales infractores pues el primero no cree que se ilegal utilizar equipos electrónicos mientras manejan y el segundo no considera que se infringe la ley cuando no da preferencia al peatón.
Afectivamente existe un grupo que no muestra ninguna posición valorativa hacia el sistema de seguridad vial o sus instituciones, aunque sí valora favorablemente el que se apliquen normas más rigurosas orientadas a la educación y mantenimiento de vialidad y vehículos. Se identifica un segundo grupo más sensible y crítico con valoraciones negativas hacia el sistema de seguridad vial y que siente que se necesita más educación vial, uso de transporte particular, mejorar las vías y más exigencias para obtener una licencia.
Conductualmente se identifican dos grupos con francas intenciones de comportamiento socialmente aceptable y respeto al conductor prudente. El primero con desacuerdo con la conducción agresiva manejar a altas velocidades o cambios pronunciados de canal; el segundo, en desacuerdocon no usar en todas las ocasiones el cinturón, eludir la ley ocompetir entre conductores.
De acuerdo a las teorías sobre actitudes pueden proponerse acciones de aprendizaje refuerzo, aprendizaje social (educación) y funcional (instrumental, seguridad, ego), o creando disonancia cognitiva que pueda decantar en un cambio de creencias (mensajes de comparación de comportamientos imprudentes y prudentes y sus consecuencias). Lo ideal sería aplicar campañas dirigidas a los diferentes grupos identificados y hacer seguimiento del cambio logrado en sus actitudes y conocer su evolución.
REFERENCIAS
AJZEN, Icek. (1988). Attitudes, personality and behavior. Milton Keynes: Open University Press.
ALLPORT, Gordon (1968). La naturaleza del prejuicio. Buenos Aires, Argentina: Eudeba
ATKINSON, William (1969): «Change of activity: a new focus for theory of motivation», In MISCHEL, Theodore: Human action: conceptual and empirical issues (105-133). New York, US: Academic Press,
BANDURA, Albert (1977). Self-efficacy: toward a unifying theory of behavioural change, Psychological Review, 84, 191-215.
BOLÍVAR, Antonio (1995): La evaluación de valores y actitudes. Madrid, España: Anaya/Alauda
BORRELLA, Soledad (2013). Programa educativo para fomentar actitudes positivas en adolescentes hacia los mayores. Tesis Doctoral. Universidad de Extremadura, España
BRECKLER, Steven (1984). Empirical validation of affect, behaviour, and cognition as distinct components of attitude. Journal of Personality and Social Psychology, 47(6), 1191-1205.
EAGLY, Alice & CHAIKEN, Shelly (1998). Attitude structure and function. In D. T. Gilbert, S. T. Fiske, & G. Lindzey (Eds.), The Handbook of Social Psychology (4th ed., 269-322). New York: Oxford Univeristy Press.
FAZIO, Russell & EWOLDSEN, David. (1994). Acting as we feel: When and how attitudes guide behaviour. In SHAVITT S. & BROCK T.C. (Eds.), Persuasion (71-93). Boston: Allyn Bacon.
Miguel, M.D. (1991). Formación de las actitudes y proceso de cambio. In G. Novel (Ed.), Enfermería psicosocial (31-36). Barcelona, España: Salvat.
FESTINGER, Leon (1957): A theory of cognitive dissonance. Standard, CA, US: University Press.
FISHBEIN, Martin & AJZEN, Icek (1975). Belief, attitude, intention and behavior: an introduction to theory and research Reading. Massachusetts: Addison-Wesley.
HOVLAND, Carl & JANIS, Irving (1959). Personality and persuasibility. New Haven: Yale University Press Instituto Nacional de Transporte Terrestre (2015). Boletín estadístico de productos y servicios INTT y siniestros de tránsito. Ministerio del Poder Popular para las Relaciones Interiores, Justicia y Paz. Caracas, Venezuela. http://www.intt.gob.ve/intt/wp-content/uploads/2015/11/Bolet%C3%ADn- estadistico-INTT-Enero-Agosto-2015.pdf
JUDD, Charles, DRAKE, Roger, DOWNING, John & KROSNICK, Jon (1991). Some dynamic Properties of Attitude structures: Context-induced Response facilitation and polarization. Journal of Personality and Social Psychology, 60, 193-202.
LIEBERT, Robert & NEALE, John (1984). Conducta social. In LIEBERT R. & NEALE J. M. (Eds.), Psicología general (340-383). México: Limusa.
KATZ, Daniel & STOTLAND, Ezra (1959). A preliminary statement to a theory of attitude structure and change. In S. Koch (Ed.), Psychology: A study of a science, 3 (423-475). New York: McGraw Hill.
LAMBERTH, John (1980). Psicología social. Madrid, España: Pirámide.
MCGUIRE, William (1986). Promoting positive attitudes toward aging among children. Journal of School Health, 56 (8), 322-324.
MCGUIRE, William (1969). The nature of attitudes and attitude chabge. In LINDZEY G. Y ARONSON E. (Eds.), The handbook of social psychology III. Adisson-Weskey.
MORALES, Pedro (2000). Medición de actitudes y educación: Construcción de escalas y problemas metodológicos. Madrid, España: Universidad Pontificia Comillas de Madrid
MURPHY, Gardner, MURPHY, Lois, & NEWCOMB, Theodor. (1937). Experimental Social Psychology: An Interpretation of Research upon the Socialization of the Individual. New York and London: Harper & Brothers Publishers.
Naciones Unidas (2010). Mejoramiento de la seguridad vial en el mundo. Resolución aprobada por la Asamblea General, A/RES/64/255.Disponible en: http://www. un.org/spanish/events/calendario/decades/doc_d2011. Html
Naciones Unidas (2016). Agenda 2030 y los objetivos de Desarrollo Sostenible. Una oportunidad para América Latina y el Caribe. Santiago, Chile: Naciones Unidas. Disponible: http://www.sela.org/media/2262361/agenda- 2030-y-los-objetivos-de-desarrollo-sostenible.pdf
Organización Mundialdela Salud(2009). Informesobre la situación mundial de la seguridad vial. Es hora de pasar a la acción. Ginebra: Ediciones de la OMS. Disponible en: http://whqlibdoc.who.int/publications/2009/9789243563848_ spa.pdf
Organización Mundial de la Salud (2017). Control de la velocidad. Switzerland; OMS: Villars-sous-Yens
Organización Mundial de la Salud (OMS) (2015): Informe sobre la situación mundial de la seguridad social. París, Francia; Organización Mundial de la Salud. Disponible: http://www.who.int/violence_injury_prevention/road_safety_status/2015/Summary_GSRRS2015_SPA.pdf?ua=1
PAVLOV, Ivan (1927): Conditioned reflexes: an investigation of the Physiological Activity of the Cerebral Cortex, London: Oxford University Press. Disponible
QUILES, María, MARICHAL, Fátima. & BETANCORT, Verónica. (1998). Las actitudes sociales. In M. N. Quiles (Ed.), Psicologíasocial: Procesos interpersonales (131-159). Madrid: Pirámide.
RNAU, Laura y MONTANÉ Josep. (2010). Educación vial y cambio de actitudes: algunos resultados y líneas de futuro.Edicar, 46, 43-56
SANTOS, Carlos (2017). Análisis del anuario de mortalidad 2013. En: Betancourt, D. (Ed.).. V Informe sobre la situación de Seguridad Vial en Venezuela (8-17). Observatorio de Seguridad Vial: Caracas, Venezuela. http://seguridadvial.org.ve/wp-content/uploads/2017/11/V-Informe-2016- WEB.pdf
SCHIFFMAN, Leon y KANUK Leslie. (2005). Comportamiento del consumidor. Octava edición. México, Naucalpan de Juárez: Pearson Prentice Hall.
STAATS, Arthur & STAATS, Carolyn (1958). Acttitudes established by classical conditioning. Journal of Abnormal and Social Psychology, 57, 27-40.
Notas