Artículos
Metodología para la solución de modelos masa-resorte-amortiguador (MRA), mediante algoritmos de optimización global
Methodology to solve Mass-Spring-Dashpot (MSD) models through global optimization algorithms
Metodología para la solución de modelos masa-resorte-amortiguador (MRA), mediante algoritmos de optimización global
Revista UIS Ingenierías, vol. 18, núm. 1, pp. 49-60, 2019
Universidad Industrial de Santander
Recepción: 24 Febrero 2018
Aprobación: 10 Mayo 2018
Publicación: 19 Junio 2018
Resumen: En el presente artículo se propone una metodología para resolver el modelo matemático de un sistema compuesto de masa-resorte-amortiguador (MRA), mediante el uso de un método de optimización global, que, como ejemplo ilustrativo, se utilizó el algoritmo de la luciérnaga virtual (ALV). Con esta estrategia, los problemas MRA se transforman en problemas de optimización (minimización de la frecuencia máxima del sistema para todas sus frecuencias naturales), de tal forma que el valor encontrado es el mínimo global. Se demostró la viabilidad de esta estrategia, mediante la solución de algunos ejemplos demostrativos de sistemas MRA descritos en el artículo. Se concluye que esta estrategia resultó ser de gran ayuda, pues permite concentrar al usuario en el análisis del mecanismo propiamente, en lugar de la metodología de solución del modelo. Resultó igualmente útil como una forma no convencional de resolver este tipo de problemas numéricamente.
Palabras clave: algoritmo de la luciérnaga, frecuencia natural, optimización global, sistemas masa-resorte-amortiguador.
Abstract: This article describes one way to solve the mathematical model of a system, which is made up of a Mass-Spring-Dashpot (MSD), by using the virtual firefly metaheuristic algorithm. By employing this strategy, the MSD problems are transformed into problems of minimization of the system's maximum frequency for all its natural frequencies in such a way that the value found corresponds to the global minimum. The viability of this strategy was demonstrated by solving some typical examples of MSD systems. It was concluded that this algorithm is helpful, for it allows the user to dedicate more time to the analysis of the system itself rather than to the solution methods of the model. It was also significant as an unconventional way to resolve this kind of problems numerically.
Keywords: global optimization, firefly algorithm, mass-spring-dashpot systems, natural frequency.
1. Introducción
Es bien sabida la gran importancia que tiene, en diferentes áreas del conocimiento, modelar un sistema mediante la combinación de una masa, un resorte y un disipador, sean estos últimos lineales o no. Áreas como Es bien sabido la gran importancia que tiene, en la viscoelasticidad lineal, precursora de la teoría moderna diferentes áreas del conocimiento, modelar un sistema de viscoelasticidad no lineal, consideran resortes y disipadores lineales, donde se cumplen las leyes de Hook y la de un fluido newtoniano [1,2]. En ella, el modelo básico que describe el comportamiento de un material viscoelástico cercano a un fluido newtoniano es un disipador (cilindro-pistón). Por otro lado, su comportamiento elástico se modela para deformaciones pequeñas mediante un resorte (muelle). El disipador representa la conversión irreversible de la energía en calor, mientras que el resorte simula la cantidad de energía recuperable y que almacena el cuerpo. La conexión en serie de estos dos elementos constituye el modelo de Maxwell. Cuando esta conexión es en paralelo, se conoce como el modelo de Voigt-Kelvin. La combinación de estos dos modelos constituye el modelo generalizado o estándar de Maxwell y describe satisfactoriamente el comportamiento de solidos viscoelástico, siempre y cuando las deformaciones sean pequeñas [1,2]. De igual forma, es abundante la literatura donde se proponen modelos de sistemas mecánicos, principalmente, en donde los elementos MRA son la parte esencial [3-13].
La solución de estos sistemas es simple, pero se torna engorrosa cuando se tiene un gran número de estos elementos [3]. Si el modelo se compone de cientos o más de estos elementos, su solución se torna demandante y se debe disponer de estrategias sencillas que consuman poco tiempo computacional. En este sentido, el presente artículo, como se explica más adelante, se propone transformarlos en problemas de minimización de la frecuencia máxima del sistema para todas sus frecuencias naturales, de tal forma que el valor encontrado sea el mínimo global.
También, en ingeniería es común encontrar problemas de optimización relativamente sencillos que requieren un esfuerzo considerable para encontrar su solución. En la mayoría de estos casos no existen algoritmos eficientes, y lo suficientemente generales, que permitan encontrar soluciones óptimas en tiempos reducidos. Por esta razón, las técnicas conocidas como de optimización global, que, a pesar de que no poseen un fundamento matemático riguroso aún, surgen como una alternativa viable a los métodos convencionales para la solución de problemas de optimización [14-15]. Existe en la actualidad una gran variedad de estos algoritmos, desarrollados, según sus autores, como un símil de una situación física, o, incluso, debido a una supuesta imitación del comportamiento de grupos o enjambres de animales [14]. Algunas de estas técnicas son los algoritmos genéticos, algoritmos de búsqueda armónica, de enjambres (por ejemplo, colonia de hormigas, colonia artificial de abejas, enjambre de partículas, luciérnaga virtual, etcétera), que han tenido gran acogida por su rápida evolución y mejora en la resolución de problemas complejos de optimización en la ingeniería, la ciencia, la industria y la economía [16-21]. Relacionado con estos se encuentra el algoritmo de la luciérnaga, propuesto por Xin-She Yang en el 2007, que consiste en una luciérnaga virtual (Virtual Firefly)[23]. Según Yang, este algoritmo se basa en un símil del comportamiento de las luciérnagas y de su comunicación a través de destellos luminosos, con el fin de atraer a sus parejas y presas [24-25]. Es claro que se trata de una metáfora alejada de la estricta realidad.
En el presente artículo se reportan los principales resultados del uso del algoritmo de la luciérnaga virtual (ALV), empleado en casos en que los valores propios de un sistema tienen significado físico. A manera de ejemplos demostrativos, se muestran los casos comúnmente utilizados en la teoría de modelado y control, relacionados con los sistemas masa-resorte-amortiguador (MRA). Si bien son elementales, su análisis resulta laborioso cuando existe un número considerable de masas, resortes y amortiguadores en diferentes arreglos. Se resalta que los diferentes arreglos MRA son el fundamento, como se indicó en un inicio, para el modelado del comportamiento viscoelástico lineal y en áreas como la reología, la sísmica y el amortiguamiento mecánico, entre otras. Por otro lado, resulta igualmente interesante abordar el análisis de estos sistemas, comúnmente utilizados en la práctica docente en asignaturas como ecuaciones diferenciales y sistemas de control y modelado. Seguidamente, se describen en este trabajo algunos fundamentos. Asimismo, aparecen varios ejemplos demostrativos junto con su respectivo análisis. El artículo finaliza con algunas conclusiones a las que se llegó con la estrategia propuesta.
2. Fundamentos
Un algoritmo de optimización permite encontrar, en caso de existir, el valor extremo de una función objetivo. En otras palabras, permite encontrar los valores de ciertos parámetros que intervienen en el modelo matemático para obtener el mejor resultado posible [14, 15, 25]. En la búsqueda de ese resultado óptimo han surgido, a través del tiempo, varios métodos, entre ellos se encuentran los denominados metaheurísticos, que son utilizados para resolver problemas de optimización bien definidos, y mediante ensayos y aproximaciones. Por esto, también se les conoce como algoritmos 'a la medida', debido a que son útiles para el problema específico que se analiza [14, 15]. Los algoritmos metaheurísticos se caracterizan por su facilidad de uso e implementación, tienen un propósito general. No obstante, poseen algunas desventajas como el hecho de que carecen de una fundamentación matemática rigurosa y tienen un débil sustento del análisis de su convergencia, que, según lo que hemos visto, se está construyendo paso a paso. Esta situación ha sido foco de muchas críticas, pero es indiscutible su amplio uso y aplicaciones, y, con el paso del tiempo, se fortalecerán sus cimientos estadísticos y matemáticos [26]. Algunos ejemplos de sus aplicaciones en una amplia gama de problemas de optimización de considerable dificultad son el software de control de equipos de robot, la inteligencia artificial, las comunicaciones, el diseño de fármacos, la minería de datos, los mercados financieros, las tácticas militares, el reconocimiento de patrones, el diseño de estructuras, la solución de ecuaciones, entre otros, de una lista que seguirá creciendo [16-21].
2.1. Sistemas masa-resorte-amortiguador
El modelado de sistemas mecánicos, el comportamiento viscoelástico de fluidos no newtonianos puede ser descrito mediante un conjunto de sistemas MRA. Los resortes acumulan energía mediante su deformación, mientras que los amortiguadores la disipan en forma de calor, y esto genera una fuerza opuesta al movimiento [1, 2, 11]. La importancia del estudio de los sistemas MRA se debe al hecho de que son utilizados ampliamente en la teoría de modelado y control, además de las analogías fundamentales en el modelado del comportamiento mecánico de materiales viscoelásticos. Los sistemas MRA están compuestos de masas, m [kg], unidas entre sí, por medio de resortes o amortiguadores, las cuales se pueden desplazar o no sobre superficies con un coeficiente de fricción definido fv. La constante elástica presente en los resortes se denota como k [N/m] (considerando resortes lineales), mientras que el desplazamiento de las masas, como x [m].
2.2. Algoritmo de la luciérnaga virtual
El algoritmo de la luciérnaga virtual (ALV), por alguna razón de semejanza, se desarrolló, según su autor, tratando de imitar la característica más distintiva de las luciérnagas, relacionada con su cortejo nocturno, y que consistente en un "diálogo" entre los machos y las hembras de su especie. Típicamente los machos patrullan en busca de pareja mientras emiten secuencias de destellos de luz; las hembras en presencia de esto responden con destellos específicos de forma que exista la posibilidad de apareamiento. Existe una gran variedad de luciérnagas en la naturaleza, y la mayoría producen destellos cortos y rítmicos de luz. El patrón de estos destellos es único para una especie en particular, y su luz intermitente se genera por el proceso de bio-luminiscencia, que consiste en la emisión de luz con una pequeña elevación de la temperatura [24]. La intensidad de luz de un agente, a una distancia r de la fuente de la luz, obedece a la ley de la cuadratura inversa. Esta dicta que la intensidad de luz I disminuye a medida que el cuadrado de la distancia r aumenta. Por otra parte, el conjunto de partículas presentes en el aire atenúa la luz, y esta se debilita a medida que la distancia entre el observador y la fuente aumenta. Estos dos factores combinados explican por qué la mayoría de las luciérnagas son observables a una distancia limitada. La luz intermitente se puede formular asociándose con la función objetivo. Así, es posible aproximarse, crudamente, a algunas de las características parpadeantes de los agentes, propias para el desarrollo del algoritmo inspirado en las luciérnagas, de la siguiente manera:
Todas las luciérnagas son unisex, para que una luciérnaga se sienta atraída por otra luciérnaga, independiente de su género.
La atracción es proporcional a su brillo, por lo tanto, para cualquier par de luciérnagas, la que presente menor intensidad de luz se moverá hacia la de mayor brillo. La atracción es proporcional a la intensidad de la luz emitida, y en ambos agentes disminuye conforme su distancia aumenta. Si ninguna presenta una luminiscencia significativa, entonces el desplazamiento se realizará al azar.
La intensidad emitida por una luciérnaga es determinada por la función objetivo.
Para el caso de un problema de minimización, el brillo puede ser simplemente proporcional a un valor determinado de la función objetivo [23, 25]. Por simplicidad, se asume que el "atractivo" de una luciérnaga se determina por su brillo, y que a su vez se asocia con la función objetivo. En la formulación más sencilla de problemas de minimización, el brillo de una luciérnaga i en un lugar determinado,
, puede ser elegido como
siendo D el número de dimensiones del espacio de búsqueda y t ∈ (1,2,..., M) el instante de tiempo o la iteración actual. Sin embargo, el atractivo βij depende de la ubicación de las demás luciérnagas, por lo que este varía con la distancia rij entre la luciérnaga i y la luciérnaga j, en el paso t, con i,j ∈ (1,2, ...,N), y i ≠ j. Con lo anterior se puede relacionar el atractivo de una luciérnaga como proporcional a la intensidad de luz I, que decrece en función de la distancia rij para un medio con coeficiente de absorción de luz γ, de acuerdo con

donde β0 es el atractivo cuando se encuentran a una distancia rij = 0, es decir, máxima atracción. Por otra parte, el movimiento de una luciérnaga i hacia una luciérnaga j más atractiva en t + 1, se determina con (2).

El segundo término a la derecha en (2) es el componente de atracción entre las luciérnagas, y el tercer término conformado por un número positivo 𝛼 tal que 𝛼 ∈ [0,1], y un vector
de números aleatorios con distribución normal estándar,
En la figura 1 se muestra el diagrama de flujo del ALV, implementado para los problemas minimax de optimización utilizado en este trabajo.
Fuente: elaboración propia. Aquí 𝜔𝑚á𝑥y (𝜔𝑚á𝑥)í𝑛 son las frecuencias máxima y la mínima de todas estas, respectivamente.

3. Análisis y resultados
Las simulaciones fueron realizadas en una máquina ACER® Aspire™ v5 Q1VZC, con procesador Intel® Core™ i7-3517u de 1,9 GHz, 6 GB de RAM y sistema operativo Microsoft® Windows™ 8 de 64 bits. Para todos los casos, representa el número de luciérnagas utilizadas, el número de dimensiones del problema y M el máximo número de pasos a realizar. Para escoger los valores de 𝛼 y 𝛾 apropiados para cada problema, se seleccionaron aleatoriamente valores entre 0 y 1, con N = M = 100 por simulación. Inicialmente, se utilizaron funciones de prueba para problemas de optimización con el fin de verificar la implementación de ALV. Luego se abordaron problemas, como ejemplos demostrativos de sistemas MRA. Para todas las simulaciones se midieron los errores en función de los valores esperados con respecto a la función de costo.
3.1. Funciones de prueba estándar
Se implementaron varias funciones de prueba estándar a modo de calibración del método, descritas en [27]. Por razones de espacio solo se presentan los resultados obtenidos en una de ellas, i. e., la función Shubert. Esta tiene la forma mostrada en (3), y con D = 2 tiene 18 mínimos globales, f(x*) = -186,7309, en el dominio definido por
siendo x ∈ ℝD.

Como pruebas iniciales se asignaron valores aleatorios a 𝛼 y 𝛾 para minimizar la función de prueba. Cada variación de parámetros generó resultados que se compararon con los mínimos teóricos, a través del cálculo de los errores relativos (εr[%]). De esta manera se seleccionaron los parámetros con el menor valor de error dentro de los hallados, (α*, 𝛾*) = arg inf{εr}. Estos corresponden a α* = 0,1 y 𝛾* = 0,4, con el menor error relativo inf{εr}= 0,002 %. Luego, estos parámetros se utilizaron para resolver el problema variando el tamaño de la población (N), y el número de pasos (M). Los resultados para estas simulaciones, en términos de sus errores, se presentan en la tabla 1.

Al tratarse de una función con múltiples óptimos globales, y de un algoritmo que inicia su búsqueda con valores aleatorios, es aceptable encontrar diferentes puntos (x1 y x2 en la tabla 1) para cada simulación, con la condición de que cada punto hallado sea un mínimo global, esto se demuestra por el porcentaje de error obtenido. Con una población de 50 luciérnagas, se encuentran resultados aceptables, la solución se mejora conforme el número de agentes se incrementa. El histograma de la figura 2 muestra la distribución acumulada del error relativo al hallar el mínimo de la función Shubert. De esta figura se observa que más del 80 % de los resultados tienen un error inferior al 1 %.

3.2. Problemas demostrativos de sistemas MRA
Dado un sistema MRA, se requiere determinar su máxima frecuencia natural de oscilación (𝜔máx), por lo que es necesario modelar la dinámica del sistema. El planteamiento más común para hallar esto parte de la segunda ley de Newton, por lo que el modelo matemático de un sistema MRA tiene la forma general:

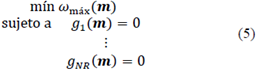
siendo x = (x1, x2,..., xNM)T el vector de desplazamiento para los cuerpos en el sistema, con masas m1,m2, ...mNM, respectivamente. Así, la función fi(t, x, 𝒙̇) es la suma de las fuerzas que interactúan en la dinámica del cuerpo i, y se relaciona con el tiempo t [s], la posición x [m] y la velocidad 𝒙̇ [m/s]. La solución de (4) mediante técnicas tradicionales permite determinar 𝜔máx. Sin embargo, si el objetivo del problema es diseñar un sistema MRA, con una distribución de masas tal que 𝜔máx sea mínima, las técnicas tradicionales pueden llegar a ser excesivamente laboriosas conforme la complejidad del sistema aumenta. Por tal razón en este trabajo se abordó una estrategia alternativa para resolver el problema antes descrito, cuya formulación general es:

donde m = (m1,m2, ...,mNM)T es el vector de masas, gk(m) es la k-ésima restricción de igualdad, NM el número total de masas y NR el número de restricciones de igualdad. Por su parte, la función objetivo o figura de mérito, 𝜔máx(m), se evaluó a través de una secuencia de pasos. Primero, el sistema MRA en (4) se llevó a la forma de un sistema de sistema de ecuaciones ordinarias de primer orden, sin descuidar los cambios de variable requeridos, como se muestra en (6).

Se debe recordar que z presenta el doble de elementos que x, como z = (z1, z2,..., z2NM)T y la matriz de coeficientes A depende de m. La solución de (6) tiene la forma

donde 𝑐𝑘 son constantes de la solución, dada por las condiciones iniciales, y (𝜆𝑘,𝑘) son los eigenpares de 𝑨, en donde los eigenvalores 𝜆𝑘=𝑎𝑘+𝑏𝑘i, son conocidos como frecuencias complejas con parte real (𝑎𝑘=Re(𝜆𝑘)) e imaginaria (𝑏𝑘=Im(𝜆𝑘)). 𝑎𝑘 y 𝑏𝑘 son también llamados factor de amortiguamiento y frecuencia natural del sistema, respectivamente. Además, derivando la expresión en (7) y relacionándola con (6), se obtiene que los valores complejos de 𝜆𝑘 son los valores propios de 𝑨, dada la expresión:

Por lo que, como segundo paso, se resolvió (8) para obtener los valores propios (𝜆1, 𝜆2,…) del sistema. Seguidamente, se obtuvo la máxima frecuencia natural 𝜔máx como,

siendo lm(λk) = bk la parte imaginaria de λk . En la figura 3 se presentan los pasos anteriormente detallados.

Ahora bien, el problema de optimización con restricciones en (5) fue implementado para un conjunto de sistema MRA, a manera de ejemplos demostrativos, y resuelto a través del ALV, usando los pasos descritos en la figura 3. Dado que ALV es un método estocástico, cada caso de estudio se repitió cincuenta veces, manteniendo los valores de N = 100 y M = 100. Adicionalmente, para mayor simplicidad en todos los problemas, se hizo β0 igual a la unidad.
3.2.1. Problema demostrativo 1
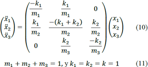
La figura 4 muestra un sistema sencillo, que se desarrolló por medio de dos métodos, uno exacto y el otro iterativo. El primero, a la manera tradicional, consistió en la manipulación algebraica del sistema hasta obtener su solución, de modo que satisfizo todas las condiciones planteadas. La técnica iterativa, basada en ALV, es la que se describió en la sección anterior.

Para excitar el sistema (en la figura 4), se consideró una fuerza constante F, aplicada en un extremo sobre m1, que posteriormente fue retirada. Con esto se generó la condición inicial de oscilación de los tres bloques de masas m1, m2 y w3 con desplazamientos x1, x2 y x3, respectivamente. Por simplicidad, se asumió que las fuerzas debidas al rozamiento son despreciables. Así, se abordó el problema (5) para el sistema, que consiste en seleccionar adecuadamente las masas del sistema, tal que logren hacer mínima la máxima frecuencia de oscilación. Primero, fue necesario plantear el modelo matemático utilizando el balance de fuerzas, tal que se obtuvo (10) para el sistema en la figura 4, junto con las condiciones dadas por (11).

La solución exacta del problema, utilizando métodos tradicionales, fue
con 
Para implementar el método iterativo con ALV, se convirtió (10) a la forma 𝒛̇ = Az en (6), y esto dio lugar a la matriz A mostrada en (12). Con ello, y usando los pasos de la figura 3, se resolvió el problema (5) del sistema en la figura 4, variando los parámetros de ALV.

Primero, se variaron los valores de 𝛼 y 𝛾 de forma aleatoria, para determinar la mejor combinación de estos con respecto a la solución. Los resultados obtenidos se compararon con la solución hallada con el método tradicional, a través del error relativo. Los resultados de las simulaciones se presentan en la tabla 2. Los valores seleccionados fueron 𝛼*= 0,2 y 𝛾*= 0,01.

Seguidamente, utilizando los valores encontrados para 𝛼 y 𝛾, pero esta vez variando N y M en cada implementación de ALV para el problema 1, se obtuvieron los resultados que se presentan en la tabla 3. Se puede notar que, a partir de 25 luciérnagas y 25 pasos, los resultados presentan muy pequeñas variaciones con respecto a la solución teórica. Además, la figura 5 muestra el histograma que describe el comportamiento del error para las 50 repeticiones realizadas, utilizando ALV con N = M = 50. Con esto se observó que más del 80 % de los resultados tienen errores cercanos a cero.


3.2.2. Problema demostrativo 2
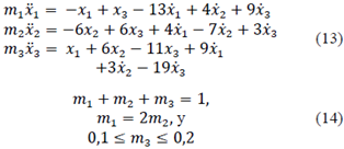
En la figura 6 se presenta un sistema MRA con la particularidad de que la masa m3 corresponde a un contenedor móvil de las masas m1 y m2, configurados en su interior como un subsistema. Este problema se modela como se muestra en (13) y sus restricciones en (14).


La solución exacta corresponde a mín(𝜔máx)≈0,14821042, con 𝑚1∗=60 %, 𝑚2∗=30 % y 𝑚3∗=10 %. Similar al problema 1, primero se seleccionan los valores para 𝛼 y 𝛾, como se muestra en la tabla 4. Se eligen los valores 𝛼*=0,4 y 𝛾*=0,1, con los cuales se obtiene el menor tiempo de cómputo. En seguida, los resultados de las simulaciones se presentan en la tabla 5, donde se observa que el algoritmo responde de manera muy satisfactoria al resolver el problema 2, pues esto es en poco tiempo (0,03 s) y con pocos requerimientos (𝑁=𝑀=10), se obtiene el error mínimo igual a 2,99E-13 %.


3.2.3. Problema demostrativo 3
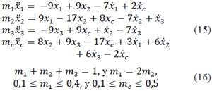
Para el problema 3, el sistema MRA está conformado por un carro, tres bloques, tres resortes y dos amortiguadores, como se muestra en la figura 7, donde los desplazamientos de las masas m1, m2, m3 y mc corresponden a x1, x2, x3 y xc, respectivamente. Además, se supone un deslizamiento ideal entre el carro y el suelo (no hay fuerzas de fricción). Al carro y al bloque de masa m2 se le aplican las fuerzas F1 y F2, respectivamente, ambas de valor constante, que luego son retiradas simultáneamente, lo causa que los bloques comiencen a oscilar. El modelo matemático que describe el sistema MRA de la figura 7 se presenta en (15), al igual que sus restricciones en (16).


Fuente: elaboración propia.


Se realiza el mismo procedimiento que en los anteriores problemas para encontrar los valores de 𝛼 y 𝛾,, para el problema 3 de la figura 7, de donde se escoge α*= 0,4 y γ*= 0,02 porque presentan la menor máxima frecuencia en el menor tiempo, como muestra la tabla 6.
Los resultados de las simulaciones se presentan en la tabla 7, donde se muestra que, después de tres segundos de simulación, se considera que el problema queda resuelto, ya que luego no varían en las seis primeras cifras significativas del resultado obtenido.
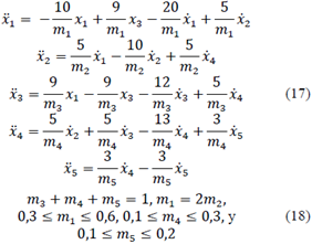
3.2.4. Problema demostrativo 4
Al contrario del problema anterior, el problema 4 incluye amortiguadores y dos conjuntos de masas apiladas con sus respectivos efectos por la fricción. El sistema mostrado en la figura 8 se representa matemáticamente por las ecuaciones dadas por (17) y sus restricciones (18).


Así mismo, se variaron los valores de 𝛼 y 𝛾 de forma aleatoria. Los resultados de las simulaciones aparecen en la tabla 8. Se seleccionaron los valores de 𝛼 y 𝛾 de la tabla 8 como 0,2 y 0,5, respectivamente, para resolver el problema 4 con el ALV empleando 100 agentes y 100 pasos. Así, se obtuvo mín(𝜔máx) = 0,4939277 con masas porcentuales 59,855 %, 29,927 %, 79,772 %, 10,002 % y 10,224 % para m1, m2, m3, m4 y m5, respectivamente, en un tiempo de 27,91 s.

4. Conclusiones
Los resultados mostraron que utilizar un algoritmo de optimización global, para resolver problemas con el objetivo de determinar las frecuencias naturales en sistemas MRA, es una alternativa viable, ya que se logran resultados con una precisión promedio del 0,001 % con respecto a la solución teórica, y en poco tiempo de simulación (menos de 10 s), usando un computador personal típico. Para sistemas pequeños no se observó una ventaja evidente. Manteniendo fijos los parámetros de control del algoritmo, los resultados de las simulaciones variaron, aunque la diferencia entre ellos no sobrepasó el uno por ciento del mínimo encontrado. De igual forma, la reproducibilidad y la repetibilidad fueron altas para los ejemplos desarrollados, lo que indica un buen desempeño en cuanto a precisión y exactitud del algoritmo de las luciérnagas virtuales para el presente caso. Debido a que la inicialización del algoritmo se realiza de forma aleatoria, resultó muy ventajoso para la optimización, en la que no conocíamos los puntos iniciales a priori. Esto facilitó iniciar el proceso de búsqueda con una alta probabilidad de encontrar el valor óptimo, para los sistemas MRA estudiados. Finalmente, mediante la estrategia propuesta para la solución de sistemas MRA, el usuario puede concentrarse más en el análisis de los sistemas, y no en la resolución misma de las ecuaciones diferenciales, que en muchas ocasiones suele ser un trabajo rutinario.
Agradecimientos
Los autores agradecen el apoyo financiero recibido de la Universidad Industrial de Santander, de Colombia, y de la Universidad de Guanajuato, de México.
Referencias
[1] D. R. Bland, The Theory of Linear Viscoelasticity. Dover Publications, 2016.
[2] D. Gutierrez-Lemini, Engineering Viscoelasticity. Springer US, 2013.
[3] H. F. Leung, A. P. Hu, "Modeling the Contact Interface of Ultrasonic Power Transfer System based on Mechanical and Electrical Equivalence," IEEE Journal of Emerging and Selected Topics in Power Electronics, Vol. 6, no. 2, pp. 800-811, 2018. doi: 10.1109/JESTPE.2017.2720852.
[4] T. K. Maiti, D. Navarro, M. Miura-Mattausch, H. J. Mattausch, "Compact modeling approach for electromechanical system simulation," 2017IEEE12thInternational Conference on ASIC (ASICON), Guiyang, 2017, pp. 981-984. doi: 10.1109/ASICON.2017.8252642.
[5] M. Sunar, A.Z. Sahin, B.S. Yilbas, "Entropy generation rate in a mechanical system subjected to a damped oscillation," Int. J. Exergy, vol. 17, no. 4, pp. 401-411, 2015. doi: 10.1504/IJEX.2015.071557.
[6] M. Farid, N. Levy, O. Gendelman, "Vibration mitigation in partially liquid-filled vessel using passive energy absorbers," Journal of Sound and Vibration, vol. 406, pp. 51-73, 2017. doi: 10.1016/j.jsv.2017.06.013.
[7] Y. Bian, Z. Gao, M. A. Fan, "Vibration Absorption Method for Alleviating Impact of the Flexible Robotic Arm," Journal of Computational and Nonlinear Dynamics, vol. 12, no. 4, 2017. doi: 10.1115/1.4035409.
[8] Z. Li, Z. Yin, "Position tracking control of mass spring damper system with time-varying coefficients," 201729thChinese Control and Decision Conference (CCDC), Chongqing, 2017, pp. 4994-4998. doi: 10.1109/CCDC.2017.7979380.
[9] T. Aoki, Y. Yamashita, D. Tsubakino, "Vibration suppression for mass-spring-damper systems with a tuned mass damper using interconnection and damping assignment passivity-based control," Int. J. Robust. Nonlinear Control, vol. 26, no. 2, pp. 235-251, 2016. doi:10.1002/rnc.3307.
[10] M. Dureau, A. Alessandri, P. Bagnerini, S. Vincent, "Modeling and Identification of Amnioserosa Cell Mechanical Behavior by Using Mass-Spring Lattices," IEEE/ACM Transactions on Computational Biology and Bioinformatics, vol. 14, no. 6, pp. 1476-1481, 2017. doi: 10.1109/TCBB.2016.2586063.
[11] P. E. Paredes, F. Ordoñez, W. Ju, J. A. Landay, "Fast & Furious: Detecting Stress with a Car Steering Wheel, "ACM Conference on Human Factors in Computing Systems(CHI2018), Canada, 2018, pp. 10. doi:10.1145/3173574.3174239.
[12] E. Sobhani Tehrani, K. Jalaleddini, R. E. Kearney, "Ankle joint intrinsic dynamics is more complex than a mass-spring-damper model," IEEE Transactions on Neural Systems and Rehabilitation Engineering, vol. 25, no. 9, pp. 1568-1580, 2017. doi: 10.1109/TNSRE.2017.2679722.
[13] C. P. Vidal, L. I. G. Calandín, Modelado de sistemas dinámicos: aplicaciones. Editorial Club Universitario, 2012.
[14] X. S. Yang, Engineering Optimization. USA: John Wiley & Sons, 2010.
[15] X. S. Yang , Engineering optimization: an introduction with metaheuristic applications. USA: John Wiley & Sons , 2010.
[16] G. Beni, J. Wang, "Swarm intelligence in cellular robotic systems," Robots and Biological Systems: Towards a New Bionics?, Springer, 1993, pp. 703-712.
[17] V. Y. Piqueras, J. R. M. Folgado, "Optimización heurística económica aplicada a las redes de transporte del tipo VRPTW," tesis doctoral, Universidad Politécnica de Valencia, 2002.
[18] C. Rodríguez-Ortiz, "Algoritmos heurísticos y metaheurísticos para el problema de localización de regeneradores," trabajo de fin de grado, Universidad Rey Juan Carlos, 2010.
[19] A. E. F. Clementi, P. Crescenzi, P. Penna, G. Rossi, P. Vocca, "On the complexity of computing minimum energy consumption broadcast subgraphs," STACS '01 Proceedings of the18thAnnual Symposium on Theoretical Aspects of Computer Science, Dresden, pp. 121-131, 2001.
[20] E. García, I. Amaya, R. Correa, "Algoritmos de optimización en la estimación de propiedades termodinámicas en tiempo real durante el tratamiento térmico de materiales con microondas," Rev. UIS Ing., vol. 16, no. 2, pp. 129-140, 2017. doi: 10.18273/revuin.v16n2-2017012.
[21] H. G. Sánchez, J. Uscátegui, S. Gómez, "Metodología para la detección de fallas en una estructura entramada metálica empleando las técnicas de análisis modal y PSO," Rev. UISIng., vol. 16, no. 2, pp. 43-50, 2017. doi: 10.18273/revuin.v16n2-2017004.
[22] P. Tymann, C. Reynolds, Schaum's outline of principles of computer science. McGraw-Hill, Inc., 2008.
[23] X. S. Yang , "Firefly Algorithms for Multimodal Optimization," Stochastic Algorithms: Foundations and Applications, International Symposium on Stochastic Algorithms, Sapporo, vol . 5792, pp. 169-178, 2009.
[24] M. A. Branham, J. W. Wenzel, "The origin of photic behavior and the evolution of sexual communication in fireflies (Coleoptera: Lampyridae)," Cladistics, vol. 19, no. 1, pp. 1-22, 2003. doi: 10.1016/S0748-3007(02)00131-7.
[25] I. Fister, X. S. Yang , J. Brest, "A comprehensive review of firefly algorithms," Swarm Evol. Comput., vol. 13, pp. 34-46, 2013. doi: 10.1016/j.swevo.2013.06.001.
[26] K. Sörensen, "Metaheuristics - the metaphor exposed," Int. Trans. Oper. Res., vol. 22, no. 1, pp. 3-18, 2015. doi: 10.1111/itor.12001.
[27] X. S. Yang, "Firefly algorithm, stochastic test functions and design optimization," Int. J. Bio-Inspired Comput., vol. 2, no. 2, p. 78, 2010. doi: 10.1504/IJBIC.2010.032124.
Notas