Artículos
Dinámica de fluidos computacional en el análisis de intercambiadores de calor de coraza y tubos
Computational fluid dynamics in shell and tube heat exchangers analysis
Dinámica de fluidos computacional en el análisis de intercambiadores de calor de coraza y tubos
Revista UIS Ingenierías, vol. 18, núm. 2, pp. 237-244, 2019
Universidad Industrial de Santander
Recepción: 05 Mayo 2018
Aprobación: 11 Diciembre 2018
Publicación: 08 Marzo 2019
Resumen: Los intercambiadores de calor son equipos utilizados frecuentemente en la industria de los hidrocarburos, para calentar, enfriar, condensar o evaporar fluidos de servicio o de proceso. Los intercambiadores más utilizados son los de coraza y tubos, donde los fluidos se ponen con contacto térmico sin mezclarse. En este estudio térmico se utilizaron dos intercambiadores de coraza y tubos con inclinaciones de deflectores de 0° y 20°. Con respecto a la sección transversal, el agua fluía por los tubos y un hidrocarburo liviano, de gran importancia en refinería, por la coraza. Se implementaron los métodos SST y k-e para describir la turbulencia.
Palabras clave: intercambiador de calor, CFD, SST, análisis térmico, coraza, tubos.
Abstract: The heat exchangers are used frequently in the oil industry to heat, cool, condense or evaporate fluids of services or processes. The most used exchangers are of shell and tube, where the fluids are placed in thermic contact without mixing. In this study, two shell and tube exchangers were used with deflectors inclinations of 0° and 20°. In regard to the cross section, the water flowed through the tubes and a thin hydrocarbon, of great refinery importance, through the shell. The SST and k-e methods were applied to describe the turbulence.
Keywords: heat exchangers, CFD, SST, thermal analysis, shell, tubes.
1. Introducción
La dinámica computacional de fluidos (CFD) es una herramienta que se utiliza comportamiento fluido-dinámico de sistemas, y soluciona las ecuaciones de conservación de momento, continuidad y energía, a través de métodos numéricos [1]. Esto es posible gracias a la ayuda de ordenadores, los cuales, debido al avance tecnológico, permiten resolver numéricamente las ecuaciones de conservación en el espacio y en el tiempo, y convierten a CFD en una solución práctica y eficiente, que no solo genera un diagnóstico de los procesos, sino que también es importante para el diseño de equipos, por medio de la visualización detallada en 2D, 3D y en tiempo real de las propiedades del fluido involucrado, que reduce tiempo y costos en experimentos difíciles de realizar a gran escala [2]. Además, las aplicaciones son diversas, como, en motores diésel [3], flujo multifase gas-sólido [4]-[6], intercambiadores de calor y turbo-máquinas [7]-[9]. En medicina, ha servido para realizar diseño de catéter para hemodiálisis y en estudios de aneurismas [10], [11], en la industria de los hidrocarburos [12]-[14]. Una ventaja de usar CFD es la facilidad de analizar ambientes hostiles (presión y temperatura altas, por ejemplo) para ser realizados de forma experimental. Cuando se analizan intercambiadores de calor, estos presentan numerosas condiciones de temperatura, que son difíciles de visualizar por un humano. No obstante, debido a que estos dispositivos son de gran utilidad en la industria, es importante realizar un análisis del comportamiento de los fluidos y cómo estos realizan la transferencia de energía en la operación. En la industria petrolera, se manejan intercambiadores de calor de diferentes tipos, y, por consiguiente, la elección del equipo adecuado es fundamental; se tienen en cuenta condiciones de operacionales, como temperatura, caída de presión, flujos másicos, etc.
No existe una sola forma de clasificar los intercambiadores de calor; pueden ser catalogados de acuerdo con la construcción, tipo de proceso de transferencia, grado de compactación de la superficie, área y fase de los fluidos involucrados [15].
En la industria se pueden analizar dos tipos de fluidos; el fluido de servicio es aquel que ofrece una actividad y genera un costo, y el fluido de proceso es el que se quiere obtener y generar ganancia.
Los intercambiadores toman su nombre dependiendo de la función que cumpla el fluido de servicio; ejemplo de eso, un enfriador es aquel que utiliza un refrigerante para enfriar el flujo de proceso. Ahora, si existe cambio de fase, como en un condensador, es porque se utiliza un fluido de servicio que condensará el fluido de proceso. y un evaporador, cuando se utiliza un fluido caliente para evaporar el flujo de proceso. El intercambiador de calor más común en aplicaciones industriales de hidrocarburos es el de coraza y tubos. Estos intercambiadores contienen un gran número de tubos empacados con sus ejes paralelos dentro de una coraza.
La transferencia de calor se genera a medida que uno de los fluidos se mueve por dentro de los tubos, mientras que el otro se mueve por fuera de estos, pasando por la coraza. Normalmente son instalados deflectores para aumentar el coeficiente de convección del fluido en el lado de la coraza, lo que induce turbulencia en una componente de velocidad en la dirección del flujo cruzado. Otra función de los baffles es servir de apoyo para los tubos, lo que reduce las vibraciones inducidas por el flujo.
2. Modelamiento matemático
En CFD involucra soluciones de tipo numérico para las ecuaciones que gobiernan la fluido-dinámica del sistema, pues existen situaciones de flujo que impiden dar solución a través de métodos analíticos; las ecuaciones de conservación son ecuaciones diferenciales parciales subespecificadas, lo que involucra que se requieren correlaciones de cierre semiempíricas para logar solucionarlas, a continuación, se presentarán las ecuaciones características de la simulación:
2.1. Ecuaciones de conservación
La ecuación de continuidad para flujo incompresible, en donde la densidad del fluido varía en el tiempo, está representada en la ecuación (1).

Ecuación de cantidad de movimiento

Donde:

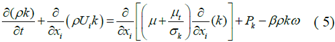
Ecuación de energía

El primer término de la Ecuación (4) representa el cambio de energía local con el tiempo; el segundo es el término convectivo; el tercero corresponde al trabajo de presión, seguido del término de difusión de flujo de calor, y, finalmente, la transferencia irreversible de energía mecánica en calor.
2.2. Modelos de turbulencia
Además, se requiere un modelo submalla para modelar las escalas de turbulencia que no pueden ser resueltas por la discretización de la malla. Smagorinsky [16] utilizó un modelo de submalla para corrección de las viscosidades efectivas, basado en [16] este modelo se asume la viscosidad como función de la tasa de deformación y de parámetros asociados a la frecuencia de corte (dimensiones del volumen de la malla).
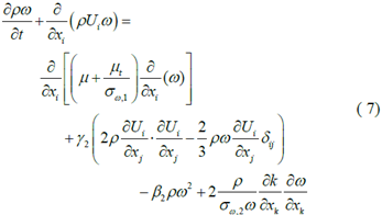
La turbulencia tiene una fuerte influencia en el transporte de masa, momento y calor; por tal motivo, los modelos de turbulencia toman un lugar importante en situaciones en las cuales es necesario predecir el comportamiento del transporte y la dispersión de partículas, y esto funciona como la solución al problema de cierre de las ecuaciones de Navier-Stockes. Dentro de los modelos de turbulencia encontrados en la literatura, están el modelo Spalart -Allmaras (SA), k-ɛ RNG (Re-Normalization Group) y k-ω SST (Shear Stress Transport). Estos tres modelos de turbulencia han sido desarrollados con base en las ecuaciones de Reynolds y Navier-Stockes, y a partir de la relación lineal constitutiva. Los modelos k-ɛ RNG y k-ω SST, pertenecen a la subclase de modelos que da solución a una segunda variable de transporte, disipación turbulenta e y disipación específica ω [17]. Los modelos de turbulencia más usados en el flujo de fluidos con alto número de Reynolds son los modelos de dos ecuaciones, los cuales tienen como función dar cierre al sistema de ecuaciones conservación y son normalmente conocidos como modelos RANS (Reynolds Averaged Navier -Stokes). Para este trabajo fue seleccionado el modelo SST, debido a que se requería describir el comportamiento térmico cerca de las paredes.
2.3. Modelo SST (Shear Stress Transport)
El modelo k-ɛ es utilizado usualmente para describir el flujo en el seno del fluido, lejano a las paredes del tubo, no obstante, el modelo k-ro es apropiado para describir el flujo cercano a las paredes; presenta una ventaja en la formulación del tratamiento de flujo cercano a la pared (bajos números de Reynolds).
Menter [18] presentó el modelo de turbulencia SST para estudiar el flujo de fluidos, realizando cálculos en la región de altas velocidades (seno del líquido), utilizando el modelo k-ɛ; y para las regiones de bajos números de Reynolds (cerca de las paredes), aplicó el modelo k-ω. Este modelo fue seleccionado para dar solución general al problema de cálculo cerca de las zonas en las que se presentan cambios en los gradientes de cada una de las variables del sistema.
El modelo SST trabaja resolviendo la frecuencia de remolinos basado en el modelo k-ω en la pared, y k-ɛ, en el interior del flujo. Esta relación de dos modelos de turbulencia garantiza una buena transición de los modelos y una buena predicción en la estimativa de remolinos.
Energía cinética turbulenta

Donde:

Frecuencia turbulenta

La tabla 1 muestra los coeficientes para el modelo SST.

En importante recordar que se debe hacer un estudio previo del tamaño de los volúmenes cerca de la pared (y+), a fin de garantizar que pueda ser captado el comportamiento en la pared [19].
3. Materiales y metodologías aplicadas
En la metodología computacional se muestran los procedimientos numéricos del desarrollo de las simulaciones. Las simulaciones realizadas en CFD tienen una metodología basada en cuatro pasos principales: identificación del problema, preprocesamiento del proyecto, solución numérica del modelo y posprocesamiento. La figura 1 presenta el esquema general de la metodología de trabajo que será realizada durante la investigación.

Para el estudio fue modelada la transferencia de calor del crudo, el cual fluye por el lado de la coraza del intercambiador, con dimensiones y parámetros tomados de Thundil y Ganne [20], [21] son mostrados en la tabla 2.

La malla consiste en la división del dominio de solución en volúmenes de control, sobre los cuales se resuelven las ecuaciones de transporte, mediante el uso de métodos numéricos. Debido a que la precisión de los resultados de la simulación depende en gran medida de la calidad de la malla, dicha calidad se mide mediante parámetros presentados en la tabla 3. La discretización del volumen de control fue realizada utilizando tetraedros con refinamiento cerca de las paredes, mostradas en la figura 3.



Dado que en las regiones cercanas a las paredes, tanto de los tubos como en la entrada y la salida, los efectos viscosos son significativos, se hace necesario realizar un refino en estas superficies, para resolver con precisión los temperatura en la capa límite [22].
Las propiedades del agua y crudo se muestran en la tabla 4.

El agua fue utilizada para validar el modelo correspondiente a la geometría propuesta por Ozden y Tari [20], y el hidrocarburo (fluido de proceso) circula a través de la coraza de los dos intercambiadores, el cual fue objeto de estudio.
Las condiciones iniciales y el contorno son seleccionadas de acuerdo con la física del modelo; fue utilizada condición No Slip, para las paredes de la coraza, tubos y deflectores, con la cual las velocidades de flujo son reducidas en las zonas próximas a las paredes. Como se observa en la tabla 5, las tasas de flujo y el valor de temperatura con el que el crudo liviano inicia el proceso fueron asignados a la entrada, y la temperatura fija fue asignada a las paredes de los tubos, que corresponde al fluido de servicio que va a transferir su energía al crudo liviano, circulando a través de la coraza.

Cabe mencionar que tanto las paredes de los deflectores como la pared de la coraza estuvieron bajo condiciones adiabáticas. De igual manera, ocurre con el modelo planteado por Ozden y Tari [20], que utilizó agua, y fue desarrollado para su validación.
La tabla 6 presenta las especificaciones de solución, después de definir la física del sistema, se implementó el método de volúmenes finitos y el esquema advección Upwind, y para el criterio de convergencia se estableció 1x10-5, el cual es aceptable para casos de ingeniería. La tabla 7 presenta los resultados para las diferentes simulaciones.


La distribución de temperatura de las configuraciones de intercambiador de calor de 0° y 20° son mostradas en contornos en el plano axial (YZ); en la figura 4, el intercambiador de calor, cuya inclinación de deflectores es de 0° respecto a la vertical, y, por tanto, perpendicular al flujo del crudo liviano que va por la coraza, se pueden observar los tres flujos másicos utilizados: 0,5 kg/s, 1 kg/s y 2 kg/s. El primero da lugar a que la temperatura de salida del fluido en estudio sea mayor, lo que coincide con la literatura, donde cuanto menor sea el flujo másico, mayor será el tiempo de residencia del fluido, representado en el aumento de temperatura, tal como se observa.

Se comparó el rango de temperatura utilizado en los contornos, que fue de 362 K a 374 K (362 K corresponde a la temperatura de entrada del crudo liviano a la coraza, y 374 K es la temperatura de salida más baja alcanzada entre los tres flujos másicos). Un comportamiento similar fue encontrado en el intercambiador cuyos deflectores eran de 20°.
Sin embargo, se puede observar que las temperaturas de salida entre los diferentes ángulos de inclinación no presentan una marcada diferencia, es decir, estos no están influyendo de forma significativa en el calentamiento del fluido en estudio. No obstante, estas inclinaciones repercuten en otros parámetros, como la caída de presión.
En la figura 5 se presentan los contornos de temperatura del flujo másico de 0,5 kg/s, para las tres inclinaciones de deflectores mencionadas anteriormente. Estos fueron construidos en siete planos entre deflectores, igualmente espaciados a lo largo del eje Z. Con fines comparativos, el rango de temperatura utilizado (362 K a 380 K) corresponde a la temperatura de entrada del crudo liviano a la coraza y a la temperatura de salida más baja alcanzada de las dos geometrías.

Sin embargo, se puede observar que las temperaturas de salida entre los diferentes ángulos de inclinación no presentan una marcada diferencia, es decir, estos no están influyendo de forma significativa en el calentamiento del fluido en estudio. No obstante, estas inclinaciones repercuten en otros parámetros, como la caída de presión. Las figuras 6a y 6b se presentan los perfiles de temperatura del flujo másico de 0,5 kg/s, para las dos inclinaciones de bafles. Estos fueron construidos a partir de líneas de longitud de 0,07 m, dibujadas a lo largo de la sección transversal de los intercambiadores de calor. Las líneas correspondientes a la entrada muestran un perfil de temperatura más constante respecto a las demás, es decir, los picos de temperatura alcanzados son más suaves.

A medida que el fluido avanza se observa el calentamiento progresivo a lo largo de la sección transversal, que muestra en las diferentes posiciones del eje Z que la menor temperatura se da en el centro del intercambiador de calor, por las altas velocidades en este, y la mayor hacia las regiones que se encuentran alejadas del centro de la coraza, debido al contacto del fluido con las paredes de los tubos.
4. Conclusiones
La simulación desarrollada para las diferentes configuraciones mostró resultados similares puntuales a la salida; sin embargo, el comportamiento térmico dentro del intercambiador difiere, debido al comportamiento fluidodinámico por la inclinación.
Es claro que la configuración con 0° posee el mayor coeficiente de transferencia de calor, debido a que se presenta mayor turbulencia en sistema.
Es importante realizar un análisis de turbulencia y el uso de la técnica CFD genera numerosas ventajas en la fase de diseño de equipos industriales, como los intercambiadores de calor, pues proporciona amplia información sobre diversos parámetros, como la temperatura, los coeficientes de transferencia de calor, la caída de presión, entre otros, y es efectiva en aquellas situaciones en las que la experimentación no es segura, o en las cuales los métodos teóricos son limitados; por ejemplo, el método Bell-Delaware, considerado el más aproximado para cálculos manuales del lado de la coraza, no contempla la inclinación de deflectores al momento de diseñar, mientras que en el análisis de CFD, logró estudiar su efecto, y generó resultados confiables.
Agradecimientos
Los autores agradecen al profesor José Roberto Nunhez y al personal del Laboratório de Fluidodinâmica Computacional (L-CFD), de la Facultad de Ingeniería Química de la Universidade Estadual de Campinas, por todos los aportes
Referencias
[1] R. Meroney, R. Ohba, B. Leitl, H. Kondo, D. Grawe, and Y. Tominaga, "Review of CFD guidelines for dispersion modeling," Fluids, vol. 1, no. 2, p. 14, 2016.
[2] J. McNay and R. Hilditch, "Evaluation of computational fluid dynamics (CFD) vs. target gas cloud for indoor gas detection design," Journal of Loss Prevention in the Process Industries, vol. 50, pp. 75-79, 2017. doi: 10.1016/j.jlp.2017.08.018.
[3] A. L. Delgado-Mejia, L. C. Olmos-Villalba, and S. E. Rivero-Mejia, "Comparative study of the indicated cycle of a diesel engine using simulation CFD and experimental data," Rev. UIS Ing., vol. 13, no. 1, pp. 2331, 2014. doi.
[4] G. G. Silva, N. Prieto, and I. Mercado, "Large Eddy Simulation (LES) Aplicado a un lecho fluidizado gas sólido. Parte I: Reactor a escala de laboratorio," Rev. UIS Ing, vol. 17, no. 1, pp. 93-104, 2018. doi: 10.18273/revuin.v17n1-2018009.
[5] N. P. Jiménez, G. G. Silva , and A. C. Guerrero, "Estudio fluidodinámico de la combustión no premezclada de coque en regeneradores tipo riser usando CFD," en Conferencia Internacional de Energía Sostenible & Workshop Materiales para Nuevas Tecnologías de Energía - COIES, Bucaramanga, 2017.
[6] G. González, N. P. Jiménez , and O. F. Salazar, "Fluid Dynamics of Gas-Solid Fluidized Beds," en Advanced Fluid Dynamics, InTech, 2012.
[7] J. G. Ardila-Marín, "Intercambiadores de calor de tubo en espiral," Rev. UIS Ing, vol. 11, no. 2, pp. 203213, 2012.
[8] R. N. Pinto, A. Afzal, L. V. D'Souza, Z. Ansari, and A. D. M. Samee, "Computational Fluid Dynamics in Turbomachinery: A Review of State of the Art," Arch Computat Methods Eng, vol. 24, no. 3, pp. 467-479, 2017. doi: 10.1007/s11831-016-9175-2.
[9] S. K. Soni, M. Pandey, and V. N. Bartaria, "Ground coupled heat exchangers: A review and applications," Renewable and Sustainable Energy Reviews, vol. 47, pp. 83-92, 2015. doi: 10.1016/j.rser.2015.03.014.
[10] T. W. I. Clark, G. Isu, D. Gallo, P. Verdonck, and U. Morbiducci, "Comparison of symmetric hemodialysis catheters using computational fluid dynamics," J Vasc Interv Radiol, vol. 26, no. 2, pp. 252-259.e2, 2015.
[11] N. Paliwal et al., "Methodology for Computational Fluid Dynamic Validation for Medical Use: Application to Intracranial Aneurysm," J Biomech Eng, vol. 139, no. 12, p. 121004, 2017.
[12] R. Gharibshahi, A. Jafari, and H. Ahmadi, "CFD investigation of enhanced extra-heavy oil recovery using metallic nanoparticles/steam injection in a micromodel with random pore distribution," Journal of Petroleum Science and Engineering, vol. 174, pp. 374-383, 2019.
[13] F. C. Siqueira, I. S. Farias, D. Moraes Júnior, and A. dos S. Vianna Jr, "CFD simulation of annular oil flow wrapped with water," The Canadian Journal of Chemical Engineering, 2019.
[14] L. Raynal, F. Augier, F. Bazer-Bachi, Y. Haroun, and C. P. da Fonte, "CFD Applied to Process Development in the Oil and Gas Industry - A Review," Oil Gas Sci. Technol. - Rev. IFP Energies nouvelles, vol. 71 , no . 3 , p . 42 , May 2016.
[15] J. Liu, "The classification of the heat exchangers and theory research," AIP Conference Proceedings, vol. 1839, no. 1, pp. 020028, May 2017.
[16] J. Smagorinsky, "General circulation experiments with the primitive equations," Mon. Wea. Rev., vol. 91, no. 3, pp. 99-164, 1963.
[17] R. Zanino, R. Bonifetto, F. Cau, A. Portone, and L. S. Richard, "CFD analysis of the ITER first wall 06 panel. Part II: Thermal-hydraulics," Fusion Engineering and Design, vol. 89, no. 4, pp. 431-441, 2014. doi: 10.1016/j.fusengdes.2014.03.088.
[18] F. Menter, "Zonal two equation kw turbulence models for aerodynamic flows," en 23rdFluid dynamics, plasmadynamics, and lasers conference, 1993, p. 2906.
[19] O. L. P. Galvis, H. R. V. Torres, and J. H. G. Mejía, "Diseño de un sistema de inyección de corriente en pozo (sicp) modelado de la tubería de producción," Rev. UISIng, vol. 7, no. 1, pp. 77-86, 2008.
[20] E. Ozden and I. Tari, "Shell side CFD analysis of a small shell-and-tube heat exchanger," Energy Conversion and Management, vol. 51, no. 5, pp. 10041014, May 2010. doi: 10.1016/j.enconman.2009.12.003.
[21] K. T. R. Raj and S. Ganne, "Shell side numerical analysis of a shell and tube heat exchanger considering the effects of baffle inclination angle on fluid flow using CFD," Thermal Science, vol. 16, no. 4, pp. 1165-1174, 2012.
[22] M. Barone, F. Barceló, J. Useche, A. Larreteguy, and M. Pagnola, "Análisis y simulación del modelo térmico y viscoso del proceso de melt spinning," Rev. UIS Ing., vol. 17, no. 1, pp. 167-172, 2018. doi: 10.18273/revuin.v17n1-2018017.
Notas