Resumen: En el siguiente artículo se presenta el diseño y construcción de la estructura mecánica de un brazo robótico antropomórfico de cuatro grados de libertad con fines didácticos. El proyecto inició con una fase de desarrollo de conceptos obteniendo seis propuestas diseñadas para satisfacer las necesidades del cliente. Posteriormente se realizó la selección del concepto a desarrollar tomando como referencia las especificaciones del producto. Para el concepto propuesto se llevaron a cabo siete fases de rediseño que permitieron alcanzar la propuesta de diseño definitiva. Específicamente, se realizaron sucesivas etapas de simulación para analizar la respuesta dinámica de la estructura bajo la aplicación de cargas a través del tiempo, observar el estado de esfuerzos aplicado a cada parte y redimensionar los eslabones considerando las limitaciones y especificaciones previamente definidas. Con los resultados obtenidos, se generó una estructura que cumple con las especificaciones de diseño establecidas inicialmente, tomando en consideración las limitantes relacionadas con los servomotores a emplear y la carga máxima a manipular. Por último, se muestra el modelo cinemático directo e inverso del brazo además del producto final desarrollado.
Palabras clave:brazo robóticobrazo robótico,brazo antropomórficobrazo antropomórfico,diseño mecánicodiseño mecánico,robótica educativarobótica educativa.
Abstract: The following article presents the design and construction of the mechanical structure of an anthropomorphic robotic arm with four degrees of freedom for teaching purposes. The project started with a concept development phase obtaining six proposals designed to meet the customer needs. Subsequently, the selection of the concept to be developed was made taking as reference the product specifications. For the proposed concept were conducted seven phases of redesign that allowed achieving the proposed final design. Specifically, successive stages of simulation were carried out to analyze the dynamic response of the structure under the application of loads over time, to observe the stress state applied to each part and resize the links considering the previously defined limitations and specifications. With the results obtained, a structure was generated that meets the design specifications initially established, taking into consideration the constraints related to the servo motors to be used and the maximum load to be manipulated. Finally, the direct and inverse kinematic model of the arm is shown in addition to the final product developed.
Keywords: robotic arm, anthropomorphic arm, mechanical design, educational robotics.
Artículos
Diseño y optimización de la estructura mecánica de un brazo robótico antropomórfico desarrollado con fines educativos
Design and optimization of the mechanical structure of an anthropomorphic robotic arm developed for educational purposes

Recepción: 27 Octubre 2018
Aprobación: 25 Mayo 2019
La robótica constituye actualmente una de las áreas de investigación y desarrollo con más avances en el campo de la tecnología. Actualmente, los robots están inmersos en distintas áreas tanto del quehacer industrial (brazos robóticos con distintos efectores finales) [1,2] como en diversos entornos de trabajo tales como rehabilitación médica [3], agricultura [4], exploración planetaria [5], búsqueda y rescate [6], actividades militares [7] y lúdicas como parques de recreación [8], cine [9] y museos [10], entre otros. Por lo tanto, es vital para las universidades de corte tecnológico, proveer conocimiento actualizado en esta área ya que, gran cantidad de profesionales se incorporarán a un campo de trabajo cada vez con mayor presencia de robots. Además, desde el punto de vista pedagógico, la robótica educativa surge como una gran herramienta que permite al individuo “poner en juego toda la capacidad de exploración y de manipulación del sujeto cognoscente al servicio de la construcción de significados a partir de su propia experiencia educativa” [11], por lo tanto, la robótica constituye una herramienta útil, no solo desde el punto de vista tecnológico, sino desde el punto de vista pedagógico. De ahí, que muchas instituciones de educación básica hayan utilizado la robótica educativa como un medio para despertar en sus estudiantes habilidades cognitivas de una manera más eficiente que utilizando los métodos tradicionales de enseñanza [12].
Con base en ello, se planteó el diseño de un brazo robótico antropomórfico de 4 grados de libertad (GDL) para cubrir parte de las necesidades presentes en el Laboratorio de Prototipos de la Universidad Nacional Experimental del Táchira (Venezuela), que requería de brazos robóticos de bajo presupuesto para desarrollar sus proyectos de investigación tales como: desarrollo y mejoramiento de sistemas de control monoarticular y multiarticular para seguimiento de trayectorias, control de vibraciones y desarrollo de pequeñas celdas de trabajo utilizando el brazo como elemento actuador. Adicionalmente, se utilizará en prácticas de laboratorio como: caracterización del modelado cinemático y dinámico del robot, seguimiento de trayectorias en el espacio cartesiano, programación y definición de la precisión, repetitividad y resolución del manipulador. Además, por las características deseadas, el brazo diseñado pudiese ser una herramienta útil para la enseñanza de robótica educativa en instituciones de educación básica y media.
Para iniciar el proyecto, se tomaron como referencia varios estudios que abordaron el diseño de brazos robóticos desde diferentes perspectivas. En [13], se propuso el diseño y construcción de un brazo robótico utilizando una metodología sencilla que hizo énfasis en la selección conceptual de sensores y actuadores sobre el dimensionamiento de eslabones y la estimación de la capacidad de soporte de carga en los actuadores. En [14], se propuso el diseño y construcción de un brazo robótico de 5 GDL tomando en consideración el dimensionamiento de eslabones utilizando el estudio cinemático del brazo. En [15] se desarrolló un brazo tomando como premisa preponderante, el sistema de control que se iba a implementar en una estructura mecánica que fue desarrollada utilizando criterios de diseño por dimensionamiento a través del modelado CAD. En [16] se utilizaron técnicas de desarrollo de producto como QFD (Quality Function Development) para la concepción de un brazo robótico. Por último, en [17], se desarrolló un modelo de brazo mecánico sencillo; el autor utilizó el Método de Elementos Finitos (MEF) para estudiar el comportamiento del brazo ante vibraciones, además hizo un análisis estático de esfuerzos y de pandeo para cuatro posiciones consideradas como críticas por el diseñador.
En este artículo, se presenta el desarrollo de la estructura mecánica de un brazo robótico antropomórfico de 4 GDL utilizando una metodología completa, que reúne las bondades de las metodologías anteriormente escritas, pero con dos aportes sustanciales. El primero, se refiere al uso de simulación dinámica (simulación de eventos mecánicos) en lugar de la simulación estática para analizar las posiciones críticas en el brazo mientras este manipula la máxima carga; así, el análisis de esfuerzos en cada eslabón del brazo se realiza en la posición de mayor riesgo garantizando la resistencia del brazo para el rango de posiciones disponibles en su volumen de trabajo. El segundo aporte está relacionado con un proceso de redimensionamiento y optimización de la masa en los eslabones tomando en cuenta los resultados del análisis de esfuerzos sobre los eslabones y los torques ejercidos sobre los actuadores, los cuales son obtenidos en cada etapa de rediseño.
Para el diseño del brazo robótico antropomórfico, se empleó la metodología para desarrollo de productos especificada por [18], que inicia con la definición de las necesidades del cliente a partir de entrevistas y encuestas realizadas a los usuarios finales del brazo. Las necesidades definidas se utilizaron posteriormente para determinar las especificaciones de diseño requeridas. A partir de ellas, y se realizó un proceso de definición de diversos modelos cenceptuales que intentaban cubrir los requerimientos precisados previamente. En esta fase se definieron 6 propuestas que pasarían a la siguiente etapa de diseño.
A continuación, se planteó la fase de selección de conceptos con el propósito de elegir (entre las 6 propuestas ya definidas) el concepto apropiado tomando como referencia las especificaciones del producto. Seleccionado el concepto a desarrollar, se realizaron las distintas fases de rediseño (redimensionamiento) y optimización para obtener una estructura final que cumplió con las limitantes establecidas en las especificaciones objetivo.
En esta fase iterativa, el brazo fue sometido a los análisis cinemático, dinámico (simulación de eventos mecánicos) y de esfuerzos que permitieron obtener la respuesta de la estructura y los actuadores ante la aplicación de la carga en el efector final para las posiciones crítcas de trabajo. Después de cada análisis realizado, se procedió al redimensionamineto del brazo para disminuir masa con el propósito de hacer una estructura más eficiente dimensionalmente, que no falle ante las condiciones de trabajo, que pueda ser accionada por los actuadores disponibles y de construcción viable. A continuación, se muestra el proceso de diseño del brazo robótico antropomórfico de 4 GDL y los resultados obtenidos después de la etapa de rediseño y optimización.
Para establecer las especificaciones de diseño que debería cumplir el brazo robótico propuesto, se necesitó recopilar las necesidades del cliente sin procesar a través de entrevistas y encuestas dirigidas a los usuarios finales del producto. Esta información se documentó y se plasmó en un lenguaje técnico, apropiado para obtener la voz del cliente interpretada. A continuación, las necesidades se priorizaron y a su vez se determinó el nivel de importancia de cada una de ellas. Luego se establecieron las métricas o especificaciones objetivo de diseño para el brazo robótico. Estas métricas fueron las encargadas de establecer el grado con el cual el producto satisface las necesidades del cliente. Es importante acotar que cada métrica satisface a una o más necesidades detectadas. La Tabla 1 presenta las especificaciones objetivo del producto a diseñar, con sus respectivas unidades, valores ideales (V.I.) y valores marginales (V.M.) aceptables para cada una de ellas y su importancia en una escala de 1 a 5, siendo (1) No importante y (5) Muy importante:

Luego de establecer las especificaciones objetivo, se generaron algunas propuestas conceptuales que se ajustaran a dichas especificaciones. Esto permitió contar con una variedad de soluciones del diseño a desarrollar que permitiera la selección de la opción más adecuada. Estas propuestas se obtuvieron por medio de una matriz generadora de conceptos (con base en las funciones internas del brazo robótico, ver Tabla 2), donde se plantearon las distintas opciones disponibles para los sistemas de transmisión de potencia en las articulaciones del brazo.
A continuación, se hicieron diferentes combinaciones entre las opciones planteadas (Tabla 2) para generar 6 conceptos (Figura 1) que abarcaron las posibles configuraciones viables para la construcción de un brazo robótico de 4 GDL que cumpliera con las especificaciones del producto. Así se tiene, por ejemplo, que para el concepto N° 3, la transmisión de potencia se realiza conectando directamente los servomotores a las articulaciones, mientras que el concepto N° 4 emplea los tres sistemas de transmisión de potencia disponibles: engranajes (primera y cuarta articulación), acoplamiento directo del servomotor a la articulación (segunda articulación) y bandas (tercera articulación).


Para la selección de la alternativa a desarrollar se utilizaron algunos criterios que permitieron evaluar en qué medida los conceptos generados cumplen con las especificaciones definidas para el producto. Se utilizaron dos etapas de selección. En la primera se hizo una evaluación cualitativa a través de la matriz mostrada en la Tabla 3, donde cada concepto es valorado con base en las especificaciones previamente establecidas utilizando sus valores marginales. La referencia empleada fue el siguiente código: (+) “mejor que”, (0) “igual a”, (–) “peor que”. A partir de esta evaluación preliminar fueron descartados los conceptos 2, 3, 5 y 6.
Posteriormente se realizó una evaluación cuantitativa ponderada con una escala de evaluación de 1 a 5 para discriminar entre los conceptos restantes (1 y 4) con base en las mismas especificaciones ya descritas. Esta evaluación se resume en la Tabla 4 que muestra una matriz donde resultó seleccionado el concepto No. 6 por tener la más alta calificación de acuerdo a la ponderación realizada.


El concepto a desarrollar (alternativa N° 4) deberá poseer las características que se listan a continuación:
4 GDL con 4 articulaciones rotacionales de un GDL cada una (Figura 2).
Alojamiento en la estructura para 4 servomotores y sus sistemas de transmisión de potencia.
Servomotor acoplado a la primera articulación por medio de engranajes.
Servomotor acoplado directamente a la segunda articulación.
Servomotor acoplado a la tercera articulación a través de banda de sincronización, estando el servomotor ubicado en el primer eslabón.
Servomotor acoplado a la cuarta articulación por medio de engranes, estando el servomotor instalado en el tercer eslabón.
Efector final tipo garra, accionado por medio de un servomotor.
Aluminio como material seleccionado para el diseño de eslabones y demás piezas constituyentes de la estructura mecánica.
Carga de 1 N que puede manipular el efector final.
Espacio para la tarjeta controladora de los servomotores.
Estructura con un factor de diseño (marginal) de 1.2. Este criterio también fue aplicado en el caso la selección de los actuadores.
Utilización de servomotores y otros elementos mecánicos (engranajes) previamente adquiridos por el usuario final del brazo.

La estructura mecánica definitiva se obtuvo después de realizar 6 mejoras sobre un diseño inicial el cual fue sometido a rediseño y optimización (Figura 3). En los 3 primeros diseños, el énfasis se centró en redimensionar la estructura para obtener un brazo adecuado que pudiese cumplir con las especificaciones dimensionales, baja masa e inercia y que pudiese alojar los servomotores y elementos de transmisión de potencia. A partir del rediseño 4 y hasta el rediseño 7, se realizaron simulaciones dinámicas para determinar si los torques requeridos en las articulaciones estaban por debajo de los límites permitidos (Tabla 5), considerando que se tenían los servomotores disponibles para cada articulación. Adicionalmente, se hicieron análisis de esfuerzos utilizando MEF para verificar la resistencia de cada parte al manipular la carga en las posiciones críticas. Con base en estos dos análisis, cada eslabón fue redimensionado para disminuir la masa y el torque ejercido sobre los actuadores (ver Figura 4). Esta optimización se llevó a cabo en aquellas zonas de las piezas donde la concentración de esfuerzos fuese baja, de manera que no afectase la integridad estructural de la parte. Adicionalmente se debe comentar que la reducción de masa continuó hasta que la concentración de esfuerzos fuese considerable o cuando las nuevas dimensiones y geometrías de la parte dificultaran grandemente su proceso de manufactura.
Finalmente, se obtuvo el diseño definitivo (7ma propuesta), el cual presentó una estructura que cumplió con las especificaciones objetivo y generó torques adecuados que no superaron los valores permisibles para los servomotores disponibles (Figura 5).

A continuación, se muestran los resultados obtenidos por medio de las simulaciones dinámicas aplicadas a las articulaciones del diseño definitivo y el análisis de esfuerzos aplicado a las piezas más críticas del mismo.



La simulación dinámica permite analizar de manera cuantitativa los perfiles de posiciones, velocidades, aceleraciones y torques en cada parte y articulación cuando la estructura se mueve manipulando la máxima carga de trabajo (1 N en el efector final). Para ejecutar una simulación de este tipo en una articulación, se hace necesario definir la trayectoria a recorrer por el mecanismo y el perfil de velocidades que seguirá el efector asociado a la articulación.
En la definición del perfil de velocidades se utilizó para el régimen permanente, la velocidad máxima disponible que podía entregar un servomotor cuando utilizaba su torque permisible. Pero, adicionalmente fue importante definir el perfil de velocidad en el arranque del actuador ya que este instante pudiese ser crítico de acuerdo a la posición de los eslabones. Para definir este perfil, se hizo necesario utilizar la constante de tiempo del actuador 𝑡𝑚 [19], que toma en consideración las características propias del motor y las características inerciales tanto de la trasmisión del servomotor como de la carga. Para ello se utilizó:
(1)Donde,
𝐽𝐼= Momento de inercia de la carga, determinada por: 𝐽𝐼=𝐽𝑚𝑒𝑐+𝐽𝑒𝑛𝑔
𝐽𝑚𝑒𝑐= Momento de inercia del mecanismo.
𝐽𝑒𝑛𝑔= Momento de inercia en la caja de engranajes.
𝐽𝑟= Momento de inercia del servomotor.
𝑅𝑚= Resistencia eléctrica medida en el servomotor.
𝐾𝑚= Constante mecánica del servomotor; determinada por:
(2)Donde,
𝑇𝑏𝑙𝑜𝑞 =Torque máximo del servomotor.
𝑉𝑏𝑙𝑜𝑞=Tensión de bloqueo del servomotor.
La simulación dinámica para la primera articulación se llevó a cabo con base en un perfil de velocidad (Figura 6a) definido utilizando la data técnica disponible para el servomotor HS-322HD (actuador de la primera articulación) e información inercial del brazo provista por el software CAD donde se modeló la estructura. Este perfil define el desplazamiento angular de la primera articulación en un movimiento de ida y retorno (Figura 6c). Cabe destacar que, previamente se quiso acoplar el servomotor directamente al eje de la primera articulación. Para este caso, el torque requerido resultó inferior al admisible del actuador. Sin embargo, se demostró que el arranque era excesivamente lento, por tanto, se empleó un sistema de transmisión de potencia por engranes que aligerara los requerimientos de torque en el servomotor. En este caso, el torque máximo requerido fue de 15.5 N-mm (Figura 6d), menor que el valor admisible del servomotor de 302.5 N-mm (de acuerdo con la Tabla 5). Aunque se observa un sobredimensionamiento del servomotor, se garantiza un arranque rápido en esta articulación.
Para la segunda articulación, el servomotor empleado fue un HS-805BB, con un valor de torque máximo de 2019.2N-mm. La simulación dinámica se llevó a cabo para un perfil de velocidad definido para este actuador (Figura 7a) considerando que el servomotor está instalado directamente a la articulación. Se obtuvo un valor de torque máximo de 2005.6 N-mm (Figura 7d), comprobándose de esta manera que el torque generado por la estructura en la articulación no sobrepasa el torque máximo definido para el servomotor.
De igual manera se procedió para tercera articulación. En este caso, el servomotor empleado correspondió a uno modelo Futaba S9206, con un valor de torque máximo de 777.4 N-mm. Este servomotor se alojó en el eslabón 1 y se aplicó un sistema de transmisión por banda y poleas para transmitir la potencia a la tercera articulación, con una relación de transmisión de 1. Para un perfil de velocidad determinado de acuerdo a las características de este servomotor y su carga (Figura 8a), el valor de torque máximo obtenido por medio de la simulación dinámica fue de 757.4 N-mm (Figura 8d), siendo menor al valor máximo permitido por el servomotor.
Por último se describe la simulación dinámica para la cuarta articulación que se llevó a cabo con base en un perfil de velocidad (Figura 9a) definido de acuerdo a las propiedades del servomotor disponible para esta articulación (HS-225BB), el cual transmite el torque al eje de la muñeca por medio de un sistema de transmisión de potencia por engranajes. El valor de torque admisible para este servomotor es de 394 N-mm y el valor de torque máximo requerido por el actuador de acuerdo a la simulación fue de 4 N-mm (Figura 9d), es decir, menor al valor máximo permitido. En este caso se puede afirmar que el servomotor está sobredimensionado respecto al torque requerido por la aplicación, pero se debe recordar que toda la carga ejercida en el efector final (peso de la carga manipulada más el peso de la garra) es soportada por los apoyos de la muñeca. Por tanto, el actuador solo debe ejercer el torque necesario para mover la muñeca de izquierda a derecha, lo cual disminuye grandemente el torque necesario para realizar este movimiento.
Con la data obtenida de la simulación dinámica, es posible definir para cada articulación, la posición crítica donde el actuador debe ejercer el máximo torque para conseguir un movimiento apropiado de acuerdo al perfil de velocidad y trayectoria solicitados. Conocidas estas posiciones críticas, se realizaron diversos análisis de esfuerzos (MEF) sobre los componentes del brazo incorporando los perfiles de carga obtenidos de la simulación dinámica para estas posiciones críticas.




Estos análisis se hicieron de manera específica en cada etapa de rediseño para luego hacer una optimización de las piezas, quitando masa en aquellas zonas donde la concentración de esfuerzos fuese baja. Así, se logró eliminar masa con base en tres criterios: 1) Obtener el factor de seguridad mínimo para la pieza; 2) reducir masa garantizando que la pieza resultante pudiese fabricarse con las máquinas y herramientas disponibles; 3) que la masa de las piezas fuese lo suficientemente baja para garantizar que los actuadores puedan mover el brazo en conjunto con la carga de trabajo.
En la mayoría de los eslabones, no se alcanzó una reducción de masa permitiera lograr eslabones con un factor de seguridad cercano al ideal. En estos casos, el criterio que limitó la reducción de masa fue la factibilidad para la fabricación de las partes, ya que, si se reducía aún más la masa de los eslabones, el proceso de manufactura se haría engorroso y costoso. Así, por ejemplo, el análisis de esfuerzos realizado para el eslabón 2Figura 10) dio como resultado un esfuerzo de Von Mises de 9,961 Mpa, un desplazamiento máximo de 0,01631 mm y un factor de seguridad mayor a 15. A su vez, el análisis de esfuerzos realizado para el eslabón 3 (Figura 11) dio como resultado un esfuerzo de Von Mises de 8,676 Mpa, un desplazamiento máximo de 0,006846 mm y un factor de seguridad mayor a 15.
Por otra parte, la fabricación de otras piezas tales como los ejes de las articulaciones si permitieron una reducción de masa hasta la adecuada de acuerdo a los criterios de optimización propuestos. Por ejemplo, el análisis de esfuerzos realizado para el eje horizontal de la articulación 3 correspondiente al sistema de transmisión por banda (Figura 12) dio como resultado un esfuerzo de Von Mises de 191,9 Mpa, un desplazamiento máximo de 0,1592 mm y un factor de seguridad de 1,43.



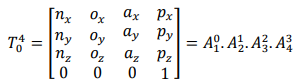
Se realizó el estudio cinemático directo siguiendo la formulación de Denavit - Hartenberg [20] que permitió validar las simulaciones realizadas con la herramienta computacional. El primer paso a seguir fue asignar un sistema de referencia a cada articulación (Figura 13). A partir de esto se dedujo el conjunto de ecuaciones que permiten obtener la posición y orientación del efector final conocidas las variables articulares del brazo (Tabla 6). La solución cinemática directa fue determinada a través de (3), igualando los elementos de la matriz T con los elementos resultantes del producto de las matrices de transformación homogéneas A:
(3)A partir la igualación término a término se obtuvieron las ecuaciones (4) a la (12), correspondientes a los elementos de la matriz orientación del efector final con respecto al sistema de referencia ubicado en la base de la estructura; y las ecuaciones (13) a la (15), correspondientes a los elementos del vector posición del extremo del efector final con respecto al sistema de referencia fijo en la base de la estructura:


(4)
(5)
(6)
(7)
(8)
(9)
(10)
(11)
(12)
(13)
(14)
(15)Para el estudio cinemático inverso se aplicó el método geométrico, donde se obtuvieron las expresiones (16) a la (25), adecuadas para hallar las variables articulares θ1, θ2, θ3 𝑦 θ4, conocidas la orientación del extremo de la estructura 𝑛̅=[𝑛𝑥𝑛𝑦𝑛𝑧] y su posición 𝑟𝑝̅=[𝑝𝑥𝑝𝑦𝑝𝑧] [21]. Para ello, en primer lugar se obtuvo 𝜃1 utilizando a (16):
(16)Donde, my y mx son componentes del vector 𝑟𝑚̅̅̅ que se calculó por medio de (17):
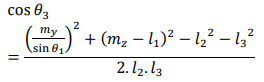
(17)Luego, se calculó 𝜃3 por medio de (18):
(18)Dónde el cos 𝜃3 se obtuvo a través de (19), sí 𝜃1 = 0°:
(19)O por medio de (20), sí 𝜃1 ≠ 0°:
(20)Posteriormente, se obtuvieron dos soluciones características de 𝜃2 para la geometría empleada; estas soluciones son mejor conocidas como solución codo arriba y solución codo abajo:
Para 𝜃1 = 0° (𝐶𝑜𝑑𝑜 ýý𝑟𝑟𝑖𝑏𝑎 (+); 𝑐𝑜𝑑𝑜 𝑎𝑏𝑎𝑗𝑜 (−)):
(21)Para 𝜃1 ≠ 0 (𝐶𝑜𝑑𝑜 𝑎𝑟𝑟𝑖𝑏𝑎 (+); 𝑐𝑜𝑑𝑜 𝑎𝑏𝑎𝑗𝑜 (−)):
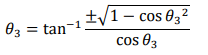
(22)Por último, se calculó 𝜃4 por medio de (23):
(23)Dónde el cos 𝜃4 se obtiene por medio de (24):
(24)Con:
𝑟𝑚= Módulo del vector posición 𝑟𝑚̅̅̅
𝑟𝑝= Módulo del vector posición 𝑟𝑝̅
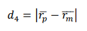
𝑑4= Módulo del vector posición 𝑑4̅̅̅, calculado por medio de (25):
(25)El volumen de trabajo calculado para el brazo robótico (Figura 14), se obtuvo tomando en cuenta los límites articulares presentes en el diseño debido a los topes mecánicos existentes en los servomotores (Tabla 7) y el alcance máximo que está definido por el punto más alejado para el cual el brazo puede posicionar su efector final y que posee una magnitud de 450 mm para este caso. El volumen de trabajo calculado para el diseño definitivo fue de: VTrabajo=0,02965 𝑚3. Este volumen se vio restringido mayormente por la primera articulación, ya que la utilización de un sistema de transmisión por engranajes con una relación de engranajes de 2.8, limitó la variable θ1 a solo 64° de apertura, pero como ya se mencionó, esta transmisión fue necesaria para garantizar que el actuador fuese eficiente durante el arranque facilitando luego la implementación del sistema de control adecuado.


Finalmente, se llevó a cabo el proceso de construcción del conjunto de piezas que constituyen el brazo robótico. Estas fueron fabricadas mediante el proceso de fundición, utilizando aluminio como material constitutivo. Posterior al proceso de fundición, se refinaron las piezas por medio de mecanizado para dar un acabado superficial aceptable a las mismas. Finalmente, el resultado obtenido fue un brazo robótico que se ajusta al diseño realizado en el software Autodesk Inventor® y a las especificaciones del producto inicialmente establecidas (Figura 15).

El brazo robótico diseñado se desarrolló con base en las especificaciones del producto determinadas para satisfacer al cliente. En tal sentido, se logró un diseño que cumplió cabalmente con las métricas solicitadas, quedando todas por encima del valor marginal establecido: la carga de trabajo se estimó inicialmente en un valor mínimo de 0,05 kg; luego del proceso de diseño se estableció que la carga real de trabajo sería de 0,1 kg, quedando por encima del valor mínimo permitido. El alcance máximo del brazo se estimó para un valor mínimo de 0,4 m; luego del proceso de diseño se determinó un alcance total de 0,45 m, quedando de igual manera por encima del valor mínimo permitido. La masa total de la estructura se había establecido para una magnitud menor a 6 kg, pero se obtuvo una masa final de 3,2 kg en la estructura, cumpliendo de manera eficiente con el propósito fundamental de la reducción de masa y el fácil traslado del equipo. El tiempo requerido para mantenimiento regular quedó establecido para ½ hora (definido teóricamente con base en la modularidad del brazo).
Adicionalmente, se diseñó una muñeca que permitiera la intercambiabilidad del efector final y se obtuvo un equipo construido con una apariencia que puede catalogarse como buena. El factor de seguridad de las partes fue superior a 1.2 en todos los casos, constituyendo una estructura que se encuentra bajo los parámetros establecidos. Es importante acotar que algunas piezas presentaron un factor de seguridad mayor a 15; este valor respaldaba la idea de continuar con el proceso de reducción de masa, pero tomando en consideración las limitantes presentes en el proceso de manufactura disponible, se decidió no continuar con el rediseño de partes. Finalmente, el volumen de trabajo solicitado fue de 0,01 m3. En la realidad, el valor obtenido fue de 0,02965 m3, siendo mayor al esperado.
Se presentó el diseño de un brazo robótico ejecutado siguiendo una metodología que incluyó la definición de doce especificaciones de diseño fundamentadas en las necesidades del cliente. A partir de ello se generaron seis conceptos de diseño los cuales se valoraron de acuerdo a dos evaluaciones: una cualitativa y otra cuantitativa, obteniendo el concepto que mejor satisfizo las necesitadas del cliente planteadas inicialmente.
El dimensionamiento y optimización de cada pieza del brazo fue realizada siguiendo tres criterios: mínimo factor de seguridad en cada pieza, factibilidad de fabricación con las máquinas y herramientas disponibles y masa adecuada para garantizar la capacidad de los actuadores. Este proceso se realizó utilizando herramientas computacionales a través de dos tipos de análisis: simulación de eventos mecánicos (simulación dinámica) para obtener las máximas cargas y momentos en cada parte al seguir las trayectorias críticas; y el análisis de esfuerzos utilizando el Método de Elementos Finitos, específicamente en esas posiciones críticas con altas cargas y momentos. Después de siete iteraciones donde se modificó el dimensionamiento de cada pieza y se evaluó con base en los dos análisis mencionados, se obtuvo una estructura optimizada con baja masa que cumple con los criterios establecidos para su definición.
Asimismo, se utilizaron las simulaciones dinámicas para verificar que el torque ejercido por los actuadores es adecuado para seguir todas las trayectorias posibles con el perfil de velocidad requerido.
Adicionalmente, se hizo el modelado cinemático directo utilizando la formulación de Denavit – Hartenberg y el modelado cinemático inverso utilizando el método geométrico. Las ecuaciones obtenidas fueron validadas comparando los resultados de su aplicación con aquellos obtenidos utilizando simulación computacional que permitía configurar el modelo CAD del brazo con distintos valores de las variables articules para definir la posición y orientación final del brazo. Asimismo, se definió, con base en las características constructivas de los actuadores y las relaciones de transmisión presentes en las articulaciones, los límites articules y el volumen de trabajo, el cual también satisfizo el volumen esperado.
Se construyó y se ensambló la estructura mecánica del brazo, utilizando aluminio como material constitutivo y la fundición y el mecanizado como procesos de fabricación. La estructura obtenida cumplió los requerimientos dimensionales y de masa determinados durante las etapas de diseño previas. Finalmente, se debe acotar que los trabajos futuros están dirigidos a desarrollar la estructura electrónica, arquitectura y sistemas de control para la puesta en funcionamiento del brazo.
Cómo citar: K. Morales, C. Hoyos, J. M. García, “Diseño y optimización de la estructura mecánica de un brazo robótico antropomórfico desarrollado con fineseducativos,” Rev. UIS Ing., vol. 18, no. 4, pp. 193-208, 2019. doi: 10.18273/revuin.v18n4-2019017
Este trabajo fue financiado por el Decanato de Investigación de la Universidad Nacional Experimental del Táchira, bajo el proyecto 01-009-2017.





















