Artículos

Recepción: 15 Mayo 2019
Aprobación: 08 Noviembre 2019
Publicación: 25 Febrero 2020
DOI: https://doi.org/10.18273/revuin.v19n2-2020003
Resumen: En el presente artículo se expone el análisis de capacidad realizado a una HetNet mediante la adaptación de un algoritmo empleando control de potencia y asignación de espectro conjunta basada en teoría de juegos; disponiendo de forma aleatoria los usuarios y estaciones base dentro de un escenario de simulación, posteriormente se analiza el comportamiento en términos de capacidad planteada para los servicios de voz y datos. Los resultados obtenidos se comparan utilizando los mismos parámetros de simulación con el algoritmo de control ideal de potencia para los servicios anteriormente mencionados y una asignación aleatoria. Los resultados muestran que la asignación conjunta de recursos, permite que la capacidad del sistema se incremente, al igual que la velocidad alcanzada por los usuarios.
Palabras clave: capacidad, control ideal de potencia, HetNet, teoría de juegos.
Abstract: This article shows the analysis of the capacity carried out in a HetNet, it proposes an adaptation of an algorithm of power control and spectrum allocation based on game theory. For this, users and base stations are randomly arranged within a simulation scenario, then the behavior is analyzed in terms of capacity proposed for voice and voice and data services. The results obtained are compared using the same simulation parameters with the ideal power control algorithm for the previously defined services.
Keywords: HetNet, capacity, game theory, ideal power control.
1. Introducción
El creciente número de usuarios de las comunicaciones globales, hace necesario evaluar cómo cambiarán las infraestructuras de los operadores con el fin de suplir el requerimiento de grandes volúmenes de tráfico de datos [1]; para cubrir estas exigencias, se segmentan las celdas existentes y se evalúa la instalación de un número mayor de Estaciones Base (BS, Base Station) con el propósito de contrarrestar el incremento de la cantidad de dispositivos accediendo a la red y ofrecer una Calidad de Servicio (QoS, Quality of Service) adecuada al usuario [2].
En consecuencia, ante los nuevos requerimientos planteados por las comunicaciones móviles se introducen redes donde el tamaño de las celdas es diverso; respondiendo al incremento del número de usuarios y a las exigencias presentadas por los servicios de datos y voz. En una Red Heterogénea (HetNet, Heterogeneous Networks) se tiene la posibilidad de que un dispositivo localizado en una celda pequeña, tenga más de una estrategia de acceso a los servicios, logrando conectarse a la celda más pequeña o a las celdas de tamaño superior.
Pese a los beneficios que traen las HetNet, se presentan problemas debidos a la cantidad de usuarios ubicados en celdas pequeñas, esto debido a que un importante número de usuarios ubicados en celdas adyacentes con BS configuradas de forma similar generan interferencias que dan paso a la degradación de la calidad de los servicios ofrecidos, causando a su vez una reducción de la capacidad del sistema. Para los problemas mencionados se ofrecen soluciones que mejoran el desempeño de las redes, aplicando conceptos y teorías que permitan hacer uso adecuado de los recursos radioeléctricos, como es el caso de la Teoría de Juegos (GT, Game Theory), la cual presenta un buen desempeño en la reducción del impacto de la interferencia sobre la comunicación móvil, mediante la toma de decisiones a partir de ciertos eventos probabilísticos que brindan soluciones mediante la planificación del enrutamiento y la asignación de recursos en redes [3],[4].
Múltiples trabajos se han desarrollado acerca de la mitigación de la interferencia en una red de comunicación móvil heterogénea con el uso de la GT. En la Facultad de Ingeniería Electrónica y Telecomunicaciones de la Universidad del Cauca se adelantaron trabajos enfocados en el estudio de la mitigación de la interferencia realizando control de potencia [5] y la búsqueda de la mejora del comportamiento de la red controlando el acceso por espectro [6], cada trabajo se desarrolló de manera independiente llegando a la conclusión de la necesidad de hacer control de espectro y potencia conjunto.
Con base en lo anterior, el presente artículo analiza la capacidad en una red heterogénea empleando asignación de espectro y control de potencia conjunta basado en teoría de juegos. Para evaluar los resultados obtenidos se realizan tres comparaciones. La primera se realiza frente a un modelo que implementa asignación aleatoria de espectro con control ideal de potencia (IPC, Ideal Power Control), la segunda frente a los resultados de capacidad a nivel de usuarios cubiertos descritos en [5], y la tercera se hace en relación a los resultados de capacidad definida como Throughput des critos en [6].
Este articulo hace una descripción de manera preliminar de los conceptos básicos de red heterogénea, control de potencia, asignación de espectro, teoría de juegos, luego se presenta el modelo de asignación de espectro y control de potencia conjunta basado en teoría de juegos para pasar luego a los resultados y su respectivo análisis que conllevan a las conclusiones del trabajo.
2. Conceptos generales
2.1. Redes heterogéneas
La constante búsqueda de alternativas para mejorar la capacidad de los sistemas de comunicaciones móviles, permite encontrar en la integración de los diferentes tipos de celdas, tecnologías y demás parámetros para el funcionamiento de una red, resultados que mejoran el desempeño de los servicios provistos por dichos sistemas, a tal integración se le conoce como red heterogénea. Dentro de las redes heterogéneas se permite el despliegue de macro celdas con celdas pequeñas (Picoceldas, Femtoceldas) compartiendo el mismo espacio, estas se ubican dependiendo de los servicios requeridos en ciertas zonas y pueden brindar mejores niveles de cobertura y capacidad de la red; además, la QoS requerida para los servicios que utilizan los usuarios puede mejorar, ya que las HetNets pueden facilitar la conexión de UE que se encuentran ubicados en áreas altamente pobladas y que cuentan con obstáculos como edificios y otras construcciones que interfieren en la propagación de las ondas trasmitidas y recibidas [7].
2.2. Control de Potencia
El control de potencia es unas de las técnicas de la gestión de recursos radio (RRM, Radio Resource Management) que busca mejorar la calidad de un sistema de comunicaciones y el uso eficiente de la energía, este mecanismo es utilizado en las redes móviles celulares para reducir el impacto de la interferencia entre canales y propone la regulación de la potencia de un móvil por la condición de canal y en función de la distancia hasta la BS en la que se encuentra enlazada la comunicación en un momento dado, con el objeto de asegurar una mayor capacidad y QoS a los usuarios. Además, el control de potencia permite minimizar la interferencia co-canal y hacer un uso eficiente de la energía de la batería del equipo móvil.
2.3. Asignación de espectro
El significativo número de conexiones inalámbricas, junto con las políticas de asignación fija del espectro radioeléctrico han reducido significativamente las bandas de frecuencia licenciadas disponibles, evidenciando que el espectro radioeléctrico es un recurso cada vez más limitado [8]; esto sumado al incremento del número de dispositivos móviles para el servicio de voz y datos, motiva el desarrollo de nuevas estrategias para satisfacer la demanda de ancho de banda que el número creciente de usuarios requiere. Dado lo anterior, se han elaborado estudios en escenarios donde las redes se despliegan con diferentes tipos de celdas, cubriendo distintas áreas y con la coexistencia de distintas tecnologías de acceso radio, más la implementación de algoritmos que permitan hacer un uso eficiente del espectro electromagnético.
Para la asignación de espectro en una HetNet, existen diversos algoritmos que introducen la toma de decisiones mediante Teoría de Juegos esta elección se motiva por investigaciones recientes [9], [10], [11], donde se expone que con el uso de esta herramienta se pueden elaborar modelos estratégicos que permitan un reparto más eficiente del espectro radioeléctrico.
2.4. Teoría de juegos
La esencia de la GT es el estudio formal de las interacciones entre varios tomadores de decisiones los cuales tienen conflictos o intereses comunes. Por interacciones se entiende que los otros provocan un impacto en cada tomador de decisión (jugador) y lo que obtendrá de una situación interactiva no solo depende de sus decisiones. En la actualidad, GT se usa en el área de las telecomunicaciones para dar solución a situaciones en donde se busca optimizar los recursos radio disponibles. Toda situación puede ser modelada por medio de GT, si se distinguen los siguientes 4 elementos:
Juego: se define como la situación de conflicto que se requiere analizar.
Jugador: individuo y/o agente involucrado en el juego.
Estrategias: se refiere a las acciones que un jugador toma durante el juego planteado; cada estrategia es un plan muy específico donde se da la descripción completa de una forma determinada de jugar, independientemente de lo que hacen los demás jugadores y de la duración del juego [12].
Utilidad: representa el beneficio que alcanza el jugador al implementar una estrategia determinada.
Usualmente se distinguen dos tipos de juegos, el cooperativo y no cooperativo. En el no cooperativo no se pueden celebrar acuerdos vinculantes y exigibles entre los individuos incluidos en los juegos, debido a esta suposición, la teoría de juegos no cooperativa es intrínsecamente individualista [13]. En contraste, el cooperativo analiza situaciones donde tales alianzas son posibles, permitiendo a los jugadores el establecimiento de comunicación, esto con el fin de poder hacer acuerdos antes de la obtención de resultados, con la ventaja de que los participantes conocen información a priori que les permita conocer si la alianza es valiosa para sus intereses [14]. El concepto de “solución” en este tipo de juego se le da a una propuesta que garantice estabilidad y permita alcanzar los resultados deseados por los participantes [15].
3. Modelo de asignación de espectro y control de potencia conjunta basado en teoría de juegos
Para el estudio de la capacidad de una red heterogénea (HetNet) empleando control de potencia y asignación de espectro conjunta, se realiza una simulación a nivel de sistema en la cual se realiza un análisis global del comportamiento del mismo, donde la HetNet tiene una arquitectura de dos niveles, el nivel superior conformado por una microcelda y el nivel inferior por k número de femtoceldas.
Las características con las que cuenta el sistema son:
Tipos de usuarios: micro Usuarios (mU, microUser) los cuales están asociados a la micro Estación Base (mBS, microBase Station) y los Femto Usuarios (FU, FemtoUser) conectados a las femto Estaciones Base (fBS).
Servicios: Voz y datos en un entorno urbano.
Banda de frecuencia: 1710-1712 MHz.
Además, los elementos del escenario tienen valores iniciales establecidos como: potencia de transmisión, ganancia de antena proporcionada por el fabricante y pérdidas de propagación definida por el modelo de propagación para ambientes exteriores e interiores y peatonales, que es válido para enlaces sin línea de vista (NLOS, Non Line Of Sight), y describe el peor caso de propagación. El Desvanecimiento por Sombra (SF, Shadow Fadding) se modela mediante una variable aleatoria 𝐷 con distribución normal de media 0dB y desviación estándar de 5 dB [5], de manera que las pérdidas de propagación 𝐿 quedan representadas por la ecuación 1.
(1)Donde d es la distancia en 𝐾𝑚 existente entre los UE y la mBS, f la frecuencia de trabajo dada en MHz.
3.1. Definición del juego
La expresión 2 muestra la representación del juego G definido para la asignación conjunta de recursos.
(2)Donde,
N: representa el conjunto de usuarios al interior de la celda de análisis.
𝑃𝑛: representa el conjunto de estrategias, conformado por la combinación de k niveles de potencia y m valores de frecuencia según el servicio al que está conectado el UE.
𝑈𝑛: es el conjunto que contiene las utilidades alcanzados por los usuarios, es decir, el beneficio obtenido al aplicar una estrategia 𝑝𝑛𝜖 𝑃𝑛 y está definida por la expresión 3 que corresponde a la relación señal a ruido (SINR, Signal to Interference plus Noise Ratio) alcanzada por cada UE al aplicar la pareja frecuencia-potencia asignada.
(3)Donde,
𝛼𝑛 es la ganancia del sistema experimentada por el UE 𝑛-ésimo.
𝜂 es la potencia de ruido térmico.
𝑖0 representa la interferencia de canal adyacente que percibe la mBS o un Femto Access Point, debida a los usuarios presentes en la red y la sumatoria hace referencia a la interferencia co- canal.
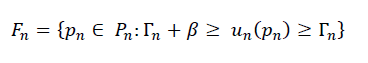
𝐹𝑛: es la función de satisfacción de cada comunicación, y se define mediante la expresión 4.
(4)Para (4) se observa que un usuario se satisface si la utilidad obtenida al aplicar una estrategia determinada, iguala o supera ligeramente un valor umbral (Γ𝑛), el cual es la SINR establecida para un servicio. La cota superior dada por Γ𝑛+𝛽, procura causar la menor interferencia posible sobre las comunicaciones de los demás usuarios del sistema.
Para el diseño del modelo basado en teoría de juegos se consideran un conjunto de estrategias generadas a partir de las frecuencias y potencias a utilizar de la siguiente manera:
Sea la asignación de frecuencia y de potencia dos eventos independientes, se definen dos vectores que contienen m probabilidades para las frecuencias y k probabilidades para las potencias de modo que al multiplicar cada elemento del primer vector con todos los elementos del segundo vector se obtengan todas las posibles combinaciones que puedan surgir entre estos vectores, con la finalidad de obtener un tercer arreglo que contenga los valores de las probabilidades conjuntas a partir de los dos primeros vectores, y se muestran en la expresión 5, además se muestran los conjuntos de estrategias definidas por la pareja de frecuencia potencia, así:
Sean,
(5)Las estrategias conjuntas se definen por la ecuación 6:
(6)Y sean las probabilidades independientes, dadas por la expresión (7),
(7)Las probabilidades conjuntas se definen en la expresión (8):
(8)Una vez obtenidas todas las nuevas probabilidades (expresión 8), serán tomadas en cuenta al implementar el algoritmo que usa asignación de frecuencia y control de potencia basado en teoría de juegos de forma conjunta, además, cada valor generado corresponde a una pareja frecuencia-potencia, el cual con un valor de probabilidad inicial representa las estrategias para la implementación del algoritmo con base en teoría de juegos.
Este modelo de asignación de frecuencia y control de potencia está basado en un juego no cooperativo que incluye aprendizaje reforzado como técnica para determinar los valores que serán utilizados como conjuntos de frecuencia y potencia encaminados a lograr el objetivo de evaluar el desempeño del sistema móvil celular.
3.2. Descripción del algoritmo
El algoritmo considera acciones para t=0 y t>0 para los cuales se tienen definidos los siguientes procesos:
En t=0, se asigna a cada elemento del conjunto de potencias y frecuencias un valor de probabilidad de manera aleatoria, tal que la suma de probabilidades de ocurrencia sea uno, donde existe correspondencia uno a uno. Luego, se conforman las nuevas estrategias integradas por las parejas de potencia-frecuencia mencionadas anteriormente, definidas en el arreglo 𝑒𝑠𝑡𝑟𝑎𝑡𝑒𝑔𝑖𝑎𝑠(𝑡𝑜𝑡𝑎𝑙) y que serán las estrategias con las que el algoritmo empezara a trabajar.
Para t>0, cada UE calcula el valor 𝑏𝑛,𝑡 que está definido por la ecuación 9.
(9)Donde,
𝑏𝑛,𝑡 es un término que indica al UE que tan rápido debe cambiar de estrategia tomada en el instante anterior.
𝑀𝑛 corresponde al máximo valor que puede alcanzar la función de utilidad.
𝑢𝑛,𝑡−1, es la utilidad obtenida en el instante previo por el UE n-ésimo.
Γ𝑛 es el umbral de satisfacción impuesto para cada servicio.
Luego, se actualiza el vector de probabilidades conjuntas de acuerdo a la función descrita en la expresión 10.
(10)Las funciones 𝑔 y 𝑔′ se definen en las ecuaciones 11 y 12, respectivamente.
(11)
(12)Donde,
es la tasa de aprendizaje para cada UE.
Las expresiones 11 y 12 causan un incremento en la probabilidad de la estrategia seleccionada si se satisface la función de utilidad objetivo, en caso contrario se disminuye la probabilidad de la estrategia y se incrementa la del resto de estrategias causando cambio de estrategia por parte del usuario.
4. Simulación y resultados
A continuación, se definen los casos de simulación para la realización de las pruebas en las cuales se implementa un algoritmo de asignación de espectro y control de potencia conjunta basado en GT y otro con asignación aleatoria de espectro, siguiendo una distribución uniforme, y control ideal de potencia [16].
Para las pruebas se considera un sistema de telecomunicaciones con un área de 1 Km2 en el que se tiene una mBS con 400 metros de radio de cobertura, femtoceldas de 50 metros de radio de cobertura y 500 UE ubicados de manera aleatoria siguiendo una distribución uniforme.
Se presentan las pruebas realizadas con la implementación del algoritmo basado en GT y con IPC para cada escenario y caso como se describe en las Tablas 1 y 2.
Para las simulaciones se consideraron 13 niveles de potencia y un número de frecuencias variable en función del ancho de banda requerido para el servicio. Los datos contenidos en las tablas de resultados fueron conseguidos promediando los valores obtenidos en 50 simulaciones en las cuales se realiza 1000 iteraciones del algoritmo.


4.1. Escenario 1
Para cada uno de los escenarios de simulación, se tienen 2 casos: voz, voz y datos y se identifican como UE dentro de la red de análisis los círculos negros y los grises como los UE fuera de esta, los cuadros azules identifican a las femtoceldas y el triángulo negro a la MBS respectivamente. Los ejes X y Y corresponden a la distancia medida en metros. La Figura 1 muestra el escenario de simulación. Al iniciar cada simulación los UE se asocian por criterio de distancia a una fBS o a la MBS.
4.1.1. Voz
En la Figura 2 se muestra el resultado de la implementación del algoritmo de asignación de espectro y control de potencia conjunta basado en teoría de juegos para el servicio de voz, donde los círculos rojos corresponden a los usuarios que alcanzaron la SINR requerida, los círculos negros son aquellos que no lograron conectarse a sistema y los de color gris los que están por fuera de la zona de cobertura de la mBS.
Para este caso, 253 usuarios están en la zona de cobertura de la mBS de los cuales 145 alcanzaron el requerimiento de SINR, lo que corresponde al 57.3% de la totalidad de los usuarios, además, de los 145 el 32.4% corresponden a usuarios conectados a la mBS y el 67.6% a las fBS indicando que los usuarios se conectan con mayor facilidad a las anteriormente mencionadas por la cercanía a estas.
En las tablas 3 y 4 se muestran los resultados para la prueba del servicio de voz, en donde se evidencia como la aplicación de asignación de espectro y control de potencia conjunta basado en GT es superior a los datos arrojados por el modelo que aplica asignación de espectro aleatoria con IPC, tanto en porcentaje de usuarios cubiertos como en velocidad de transmisión.


4.1.2. Voz y datos
En este caso de simulación, el sistema ofrece servicio de voz y datos, teniendo en cuenta que a cada UE se le asigna de manera aleatoria requerimientos de SINR de -7 dB para voz o -4 dB para datos respectivamente.
En la implementación del modelo basado en GT, el escenario resultante se presenta en la Figura 3, donde los círculos rojos representan los usuarios conectados al servicio de voz, los verdes al servicio de datos, los negros son los que no alcanzaron los requerimientos para algún servicio y los círculos de color gris representan usuarios fuera del área de cobertura. El total de UE dentro del radio de cobertura es de 265, logrando conectarse a un servicio 97; de los cuales 75 se conectaron al servicio de voz y 22 al de datos. Esto muestra que los UE atendidos con el servicio de voz es superior al de datos debido a que a los usuarios del servicio de voz se les facilita encontrar una estrategia adecuada dado que el requerimiento de SINR para voz es más bajo que el de datos.



En las tablas 5 y 6, se muestran los resultados para voz y datos donde el comportamiento del algoritmo implementado con GT continúa presentando mejores resultados que el modelo con IPC considerando el número de usuarios cubiertos y la velocidad de transmisión, evidenciando que para los dos modelos se conectan más usuarios al servicio de voz que al de datos, lo cual puede obedecer al menor valor de SINR objetivo para voz.


4.2. Escenario 2
La Figura 4 ilustra el escenario de simulación 2, donde se incrementa el número de femtoceldas a 150, con el objetivo de analizar la capacidad de la red.
4.2.1. Voz
En la Figura 5 se muestra el escenario obtenido al aplicar el modelo basado en GT de donde 171 usuarios son atendidos satisfactoriamente lo que representa un 64.5% de los UE dentro del radio de cobertura de la mBS. Este resultado en términos de capacidad es mayor al mostrado en el escenario 1 para el mismo servicio en un 7.2% indicando que el aumento del número de fBS aumenta la capacidad de la red.
En las tablas 7 y 8 se muestran los resultados para voz en el escenario 2, se puede notar como el porcentaje de usuarios cubiertos mejora notablemente y la velocidad de transmisión no presenta variaciones importantes para el modelo con GT, en cambio el modelo con asignación aleatoria de espectro con IPC presenta mejoras en este escenario, tanto en usuarios cubiertos como en el Throughput, siendo este modelo el más beneficiado por el cambio de numero de fBS.


4.2.2. Voz y datos
En la Figura 6 se presenta el escenario obtenido con la implementación del modelo basado en GT, en el cual, 240 UE están dentro de la microcelda, donde los UE conectados fueron 106, de los cuales, 91 se conectaron con voz y 15 con datos.
En la tabla 9 se relacionan los resultados del escenario 2 aplicando asignación de espectro y control de potencia conjunta basado en GT, voz y datos. En la tabla 10 se presentan los resultados aplicando asignación aleatoria de espectro con IPC, voz y datos.





Las tablas 11 y 12 contienen un resumen de los resultados obtenidos en los escenarios 1 y 2. Estas tablas evidencian que la capacidad de la red vista como cantidad de usuarios atendidos y velocidad de transmisión es mayor en la implementación del algoritmo de asignación de espectro y control de potencia conjunta basado en GT frente al algoritmo con asignación aleatoria de espectro con IPC, además, se muestra el impacto que causa el número de fBS presentes en el escenario, en donde no existen grandes variaciones en el número de usuarios cubiertos, pero si se presenta un leve incremento en la velocidad de transmisión en el escenario 2 donde el número de fBS aumenta de 100 a 150.


5. Conclusiones
La implementación de un algoritmo de asignación de espectro y control de potencia conjunta basado en GT mejora la capacidad de la red vista como cantidad de usuarios cubiertos y velocidad de transmisión de manera significativa en el servicio de voz en comparación al método donde se aplica asignación aleatoria de frecuencia con IPC.
Implementar un algoritmo de asignación de espectro y control de potencia basado en juegos no cooperativos, posibilita que los jugadores escojan una estrategia que les permite lograr la SINR objetivo y obtener un buen Throughput sin afectar en mayor medida a los demás jugadores, causando que más usuarios puedan conectarse a la red.
La implementación de un algoritmo de asignación de espectro y control de potencia conjunta basado en GT, presenta mejores resultados de usuarios cubiertos y de Throughput a nivel de sistema que algoritmos que implementen solo control de potencia o asignación de espectro basado en GT de manera independiente.
El ajuste de las estrategias desde la estimación de las probabilidades permite a los dispositivos ajustarse a la dinámica del sistema, obteniendo un comportamiento más eficiente del mismo.
Referencias
[1] J. G. Andrews, "Seven ways that HetNets are a cellular paradigm shift," in IEEE Communications Magazine, vol. 51, no. 3, pp. 136-144, March 2013. doi: 10.1109/MCOM.2013.6476878
[2] A. U. Ahmed, M. T. Islam, M. Ismail, M. Ghanbarisabagh, “Dynamic resource allocation in hybrid access femtocell network.,” ScientificWorldJournal., vol. 2014. doi: 10.1155/2014/539720
[3] R. Q. Hu and Y. Qian, “An Energy Efficient and Spectrum Efficient Wireless Heterogeneous Network Framework for 5G Systems,” no. May, pp. 94–101, 2014.
[4] S. Yuan and Q. Liang, "Game Theoretical Method for Sum-Rate Maximization in Full-Duplex Massive MIMO Heterogeneous Networks," 2015 IEEE 12th International Conference on Mobile Ad Hoc and Sensor Systems, Dallas, TX, 2015, pp. 610-615. doi: 10.1109/MASS.2015.109
[5] D. Rosero and A. Jordan, “Incidencia de un Algoritmo de Control de Potencia en la Capacidad de una Red Heterogénea,” trabajo de fin de grado, Universidad del Cauca, 2016.
[6] C. Narvaez and I. Teran, “Análisis Del Throughput de una Red Heterogénea que Implemente un Algoritmo de Asignación de Espectro Basado en Teoría de Juegos,” trabajo de fin de grado, Universidad del Cauca, 2016.
[7] H. Zhang, X. Chu, W. Guo and S. Wang, "Coexistence of Wi-Fi and heterogeneous small cell networks sharing unlicensed spectrum," in IEEE Communications Magazine, vol. 53, no. 3, pp. 158-164, March 2015. doi: 10.1109/MCOM.2015.7060498
[8] H. Vásquez, C. Hernández, and I. Páez, “Proactive Spectrum Handoff Model with Time Series PredictionProactive Spectrum Handoff Model with Time Series Prediction,” Int. J. Appl. Eng. Res., vol. 10, no. 21, pp. 42259–42264, 2006.
[9] Z. Mlika, E. Driouch, and W. Ajib, “A fully distributed algorithm for user-base station association in HetNets,” Comput. Commun., vol. 105, pp. 66–78, 2017. doi: 10.1016/j.comcom.2017.01.013
[10] W. Yalong, L. Xi, Z. Heli, and W. Ke, “Resource allocation scheme based on game theory in heterogeneous networks,” J. China Univ. Posts Telecommun., vol. 23, no. 3, pp. 57–88, Jun. 2016. doi: 10.1016/S1005-8885(16)60033-X
[11] A. S. M. Z. Shifat, M. Z. Chowdhury, and Y. M. Jang, “A game theoretical approach for QoS provisioning in heterogeneous networks,” ICT Express, vol. 1, no. 2, pp. 90–93, Sep. 2015.
[12] P. Alvarez Causelo, Teoría de Juegos. Cantrabria, España: OpenLibra, 2015.
[13] V. F. Mirama Perez, “Control de Potencia Basado en Teoría de Juegos en Comunicaciones Inalámbricas,” trabajo de fin de grado, Universidad del Cauca, 2012.
[14] E. Martínez, “Concepto de solución para los juegos cooperativos,” Anuario jurídico y económico escurialense, no. 37, pp. 409-425, 2017.
[15] M. A. Cardenas and J. M. Chapid, “Implementación de un algoritmo de control de potencia basado en la teoría de juegos en un sistema multicelular limitado por interferencia con portadora única,” trabajo de fin de grado, Universidad del Cauca, 2015.
[16] V. F. Mirama Perez and V. M. Quintero Florez, "Control de potencia en sistemas de comunicaciones inalámbricos basado en un juego no formal," Revista GTI, vol. 11, no. 30, pp. 37-45, 2012.
Información adicional
Cómo citar: S. Urban- Buritica, J. Ruano-Morales, V. Miramá-Pérez, “Análisis de capacidad en una red heterogénea empleando control de potencia y asignaciónde espectro basado en teoría de juegos,” Rev. UIS Ing., vol. 19, no. 2, pp. 21-32, 2020. doi: 10.18273/revuin.v19n2-2020003