Resumen: La rehabilitación de personas con discapacidad motora, derivada de la amputación transtibial, es una tarea compleja que requiere del uso de diferentes ayudas técnicas, como prótesis, para una efectiva realización. Según el análisis de los antecedentes consultados, las diferentes soluciones presentan una limitada información sobre el procedimiento de diseño seguido para asegurar un adecuado comportamiento en un determinado entorno. En este sentido, considerando el contexto colombiano, este trabajo propone el diseño axiomático para la especificación de un mecanismo pie-tobillo de una prótesis transtibial, que permita emular la marcha natural. Por lo que, centrándose en el usuario, se realizó un refinamiento progresivo de los requisitos funcionales que permitió definir claramente la secuencia de especificación de acuerdo con los parámetros de diseño, favoreciendo el análisis y síntesis de la solución en diferentes aspectos relacionados con la estética y función.
Palabras clave:amputación transtibialamputación transtibial,mecanismo pie-tobillomecanismo pie-tobillo,diseño axiomáticodiseño axiomático.
Abstract: The rehabilitation of people with motor disabilities derived from transtibial amputation is a complex task that requires the use of different technical aids, such as prostheses, for effective performance. According to the background analysis consulted, the different solutions present limited information on the design procedure followed to ensure proper behavior in a given environment. In this sense, this work proposes the axiomatic design of a foot-ankle mechanism to emulate natural gait in the Colombian context. Where, focusing on the user, a progressive refinement of the functional requirements was carried out that allowed to clearly define the specification sequence of the design parameters, favoring the analysis and synthesis of the solution in different aspects related to aesthetics and function.
Keywords: below knee amputation, axiomatic design, foot-ankle mechanism.
Artículos
Diseño axiomático de un mecanismo pie- tobillo de una prótesis transtibial en el contexto colombiano
Axiomatic design of a foot-ankle mechanism of a transtibial prosthesis in the Colombian context

Recepción: 12 Enero 2020
Aprobación: 17 Marzo 2020
Publicación: 30 Abril 2020

En Latinoamérica, Colombia es el segundo país que posee mayores índices de discapacidad con el 6.3%, solo superada por Brasil [1]. El 20% de esta población presenta dificultad para caminar o desplazarse, en su mayoría, por amputaciones de miembro inferior [2]. Específicamente, es la amputación transtibial, la que se refiere a la extirpación quirúrgica o traumática del pie y tobillo dejando algo tibial remanente, la de mayor frecuencia en ocurrencia [3]. Aunque las causas son diversas, resaltan en primer lugar los politraumatismos y en segundo lugar las enfermedades.
En relacion con la primera causa, el conflicto armado interno es uno de los factores que han contribuido a esta problemática. Según los datos reportados en [4] la población afectada por minas antipersonales, entre 1990 y 2018, es de 11.567 víctimas. Otro factor creciente de esta problemática son las lesiones físicas derivadas de accidentes vehiculares, de acuerdo con el Instituto de Medicina Legal en Colombia los usuarios de motocicleta representan el 51% de los heridos en accidentes de tránsito [5].
En relación con la segunda causa, las lesiones físicas relacionadas con la diabetes son las de mayor frecuencia [6]. Según las estadísticas, el 80% de los afectados están localizados en países de ingresos bajos y medios, como Colombia. Según su edad y género, el mayor número de personas con diabetes está dentro del grupo de edad de 40 a 59 años [7].
En Colombia el grupo poblacional que concentra la mayor capacidad productiva y responsable del núcleo familiar está entre las edades de 25 y 54 años [8], coincidiendo gran parte de su rango con el anterior. En consecuencia, una amputación transtibial para una persona de este grupo poblacional genera altos impactos negativos: sociales y económicos.
La rehabilitación de una persona con este tipo de discapacidad es compleja. Esto debido al amplio espectro de servicios que demanda, los cuales van desde lo individual, por ejemplo, el autocuidado, la independencia, el desarrollo personal, entre otros, hasta lo colectivo y público, evidenciado en: costos de atención por comorbilidades asociadas, pérdida de mano de obra tanto del individuo afectado como de su cuidador, adaptaciones estructurales de las ciudades, entre otros [2] [9]. (Error 8: La referencia: [2] está ligada a un elemento que ya no existe) (Error 9: La referencia: [9 está ligada a un elemento que ya no existe)
Cuando se presenta una amputación transtibial la actividad relevante, para la recuperación de la autonomía y calidad de vida de la persona afectada, es la capacidad de caminar. Siendo que, se torna indispensable la disponibilidad de uso de una prótesis correcta que le permita desarrollar de forma natural sus actividades, tanto cotidianas como laborales. Sin embargo, las actuales soluciones tecnológicas siguen presentando inconformidades en la comodidad (52%), función (38%), estética (7%) y costo (4%) [10]. Las dos primeras causas de rechazo están relacionadas con la calidad y diseño del socket o anclaje entre el muñón del usuario y la prótesis, el tipo de componentes usados y la alineación [11], mientras los otros factores están relacionados con el proceso de diseño y de manufactura [12].
Según el análisis de antecedentes realizado, [13] [14] [15] [16] [17] [18] [19] [20] [21] [22] [23] [24] [25] [26] [27] [28] [29] [30] [31], se evidencia una limitada información relacionada con el procedimiento de diseño, seguido para la especificación de las diferentes soluciones. Específicamente, la mayoría de los trabajos consideran contextos de economías desarrolladas y se minimizan aspectos de importancia para la población de economías en desarrollo, como la colombiana, por ejemplo: mantenibilidad y facilidad en ajuste operacional. En su mayoría se centran en la verificación de la solución planteada, minimizando aspectos relacionados con la validación. Como consecuencia, varias presentan un limitado comportamiento acorde con las necesidades del usuario.
Este trabajo, enmarcado en el contexto colombiano, se centró en la aplicación del diseño axiomático para la especificación del mecanismo pie- tobillo de la prótesis de que se usa con mayor frecuencia en el país, la transtibial, para una población representativa del grupo poblacional que soporta la familia y la economía nacional, como lo es la comprendida entre los 25 y 54 años de edad [8]. Adicionalmente, la definición de una solución técnica tuvo en cuenta una configuración mecánica que facilitará el mantenimiento por parte del usuario.
Según la fuente citada en [32], la locomoción es la acción motora que permite un cambio en la posición del cuerpo entero dentro de un ambiente. Por su parte, la marcha es el tipo de locomoción bípeda que caracteriza a los humanos. Esta define una actividad alternada de los miembros inferiores, los cuales ejecutan una sucesión de zancadas [33].
El ciclo de marcha se divide en dos fases: i) portante (ST por sus siglas en inglés), ii) oscilante (SW por sus siglas en inglés). Por su parte, la ST se subdivide en 5 etapas: contacto del talón 0%, pie plano 15%, elevación del talón 30%, despegue 45% y despegue del dedo 60%. Mientras, la SW se subdivide en tres etapas: aceleración 70%, elevación de los dedos 85% y desaceleración-contacto del talón 100%, ver Figura 1.
Se trata de una propuesta de diseño realizada en los años ochenta, en el Massachusetts Institute of Technology (MIT), por el Profesor Nam Suh [35]. En ella, se estructura de forma detallada el problema de diseño, facilitando el análisis y la síntesis de los requisitos de este, las posibles soluciones y los procesos involucrados [35].
El Diseño Axiomático se basa en dos axiomas: i) mantener una independencia funcional entre los componentes; ii) tener la mínima entropía, es decir, el mínimo contenido de información necesario. Además, presenta los siguientes conceptos:
El diseño establece una relación entre cuatro dominios: usuario, funcional, físico y proceso, ver Figura 2.
Las alternativas de solución son creadas por la descripción en detalle de los requisitos especificados en un dominio, para establecer los parámetros característicos en el dominio siguiente.
Las restricciones son definidas como los valores límites, especificaciones o fronteras, que una solución de propuesta de diseño debe satisfacer.
El proceso relación entre dominios, puede ser expresado formalmente en términos de los vectores característicos que definen el objetivo del diseño y la solución de diseño.
La salida de cada dominio desarrolla los conceptos de lo abstracto a una información detallada de forma jerárquica priorizada. La descomposición jerárquica, en un dominio puede no ser llevada a cabo independientemente de otros dominios, así, la descomposición sigue una relación en zigzag entre dominios adyacentes.
La existencia de los axiomas de diseño, provee una base racional para evaluar las alternativas de solución propuesta y la subsecuente elección de la mejor alternativa a desarrollar.
La existencia de los axiomas de diseño, provee una base racional para evaluar las alternativas de solución propuesta y la subsecuente elección de la mejor alternativa a desarrollar.
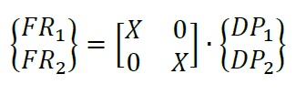
Para el caso de tres requisitos funcionales que se cumplen con tres parámetros del dominio físico, su relación se representa mediante la siguiente expresión:
(1)Donde, FR, DP y A son los vectores de requisitos funcionales y parámetros de diseño y, la matriz de diseño, respectivamente. El término de la fila i y columna j de A (Aij) se interpreta como el efecto que tiene el parámetro de diseño j sobre el requisito funcional i.
Para cumplir con el axioma de independencia, la matriz de diseño debe ser de tipo diagonal o triangular, denominándose desacoplada en el primer caso o semidesacoplada en el segundo [35]. Caso la matriz de diseño sea semidesacoplada, la independencia de los requisitos funcionales (FR) se garantiza mediante una determinada configuración secuencial de los parámetros de diseño (DP).
La definición de los requisitos funcionales en una prótesis de extremidad inferior se basa, principalmente, en dos fuentes de información: i) Evaluación de profesionales de la salud apoyados en la clasificación funcional de medicare (Medicare Functional Classification Levels o MFCL), ver Tabla 1 [36]. La valoración de los niveles K se realiza mediante el predictor de movilidad de amputados (AMP por sus siglas en inglés), ver Tabla 2 [37]; ii) Registros experimentales de la evaluación de marcha en laboratorios instrumentados.
En un enfoque heurístico, los profesionales de la salud realizan entrevistas semiestructuradas al amputado, identificándose la solución multifuncional que le permitirá realizar las diversas actividades relevantes de la vida diaria, tales como: caminar o simplemente permanecer de pie en el lugar, también se podrían incluir actividades con un mayor índice de especialidad, como por ejemplo, subir escalares, levantarse, sentarse, caminar en pendientes, correr, cargar y recoger objetos, entre otros [38]. Lo anterior es complementado con pruebas experimentales de actividad física realizadas en laboratorios de marcha [3].
En un enfoque experimental, como en [39], se utiliza un dispositivo tecnológico en conjunto con un algoritmo para determinar el nivel K de cada individuo. Con el dispositivo se cuantifica y registra el historial de pasos (cadencia en pasos/minuto) de un paciente en un intervalo de siete días. Esto permite definir tres parámetros: i) gasto energético basado en pasos diarios totales, ii) tasa de pasos promedio en 60 minutos, iii) relación de pasos medido en alto (>40 pasos/min), medio (16-40 pasos/min) o bajo (0-15 pasos/min). Estos parámetros definen un indicador de escala entre 0 a 4.9 (mediante el algoritmo) equivalentes a los niveles de K0 a K4 de la Tabla 1.
Para el diseño del mecanismo pie-tobillo se plantearon tres fases: conceptual, básico y de detalle. En la primera fase se establecieron los requisitos basados en los datos experimentales de [40] y en los datos de movilidad para una población representativa en el contexto colombiano.
Posteriormente, se realizó la definición de los parámetros fundamentales para especificar una solución en el dominio físico. Para esto, se siguió la orientación de refinamiento progresivo, top-down, en forma de zig zag, propuesta en la metodología de diseño axiomático. Como resultado de esta fase, fueron definidas las características que identifican el tipo de solución propuesta.
Seguidamente, fueron complementadas las características geométricas y mecánicas, de materiales en las diferentes partes, así, como la relación entre ellas. De esta forma, el resultado conceptual evoluciono hasta generar la información que caracteriza una propuesta básica.
En esta fase, se realizó una verificación del comportamiento de la propuesta para lo cual fue definido un procedimiento que incluyó varias herramientas, analíticas y computacionales. También, fue considerada una etapa de evaluación experimental de un prototipo funcional basado en la norma ISO 10328-2016 [41], [42]. Finalmente, la última fase de diseño se centró en complementar la informacion requerida en el proceso de manufactura y uso por parte de la poblacion objetivo. De acuerdo con esto, se tuvieron en cuenta los procedimientos de verificacion dimensional y de ensamble, el manual de usuario, entre otros.
Por razones de espacio, el contenido de este trabajo se centra en el procedimiento seguido en la fase del diseño conceptual, orientada en la metodología de diseño axiomático. Los resultados de las otras fases serán presentados en un futuro trabajo.
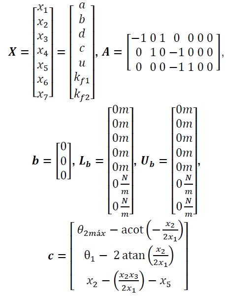
Para el desarrollo de este trabajo, fue definido el requisito funcional de nivel K1, ver Tabla 3. Igualmente, se consideró un peso de 67kg y una altura 1706mm, el cual representa el promedio de la población colombiana entre 30 y 50 años [43]. Paralelamente, la solución se restringió a lo especificado en una prótesis pasiva, para favorecer aspectos de mantenimiento de un grupo poblacional con un nivel socioeconómico limitado, escenario frecuente en Colombia [8]. Por otra parte, fueron definidas como restricciones el peso (< 2.5% del peso del cuerpo) y la altura (18cm) de la prótesis [44]. Así como, los materiales y procesos de fabricación usados debían de ser asequible en el territorio nacional.

En [40] fueron cuantificadas experimentalmente las variables cinemáticas y cinéticas relacionadas con el comportamiento del par pie-tobillo, en relación con el peso de la persona. Tales variables son: el desplazamientos (lineales y angulares), las fuerzas y los momentos.

La Figura 3 muestra datos para una cadencia natural de
[40]. En esta aparecen las siguientes variables: la fuerza vertical, Vn, por unidad de masa actuante en el pie, debido a la reacción del suelo; el momento torsor, Tn, por unidad de masa al cual se encuentra sometido el tobillo, este es negativo si va en dirección de la flexión plantar. También, la velocidad angular del tobillo, 𝜔, medida en grados por segundo y posición angular del tobillo, 𝜃𝑎, medido en grados, ambas positivas en dirección de la dorsiflexión; la relación no lineal del torque con la posición angular del tobillo; y por último, la potencia generada y absorbida, 𝑃n , por los músculos que controlan la articulación. Según lo anterior, en los requerimientos definidos se determinaron la fuerzas, torques y desplazamientos utilizados para la validación del diseño propuesto en este trabajo.
Inicialmente, fue considerado el nivel de mayor abstracción, el cual relaciona los dominios de requisitos, FR, y parámetros de diseño, DP, acorde con la Figura 4.

FR ≡ Deambular en superficies niveladas a una cadencia fija. Para satisfacer este requisito funcional, se propuso el parámetro de diseño.
DP ≡ Prótesis de pie-tobillo.
A continuación, el requisito funcional, FR, de mayor nivel de abstracción fue detallado conforme se muestra en la Figura 5.

Esta desagregación presenta la siguiente representación matricial que evidencia un diseño desacoplado, representada por la matriz diagonal, acorde al axioma de independencia:
(2)En el dominio físico, para DP1 se consideró conceptualmente una placa de longitud 𝐿 y alto 𝑧=𝑧(𝐿), ver Figura 6. Según [40], 𝐿 fue definido en función de la altura de la persona, H:

La definición de DP2 se orientó a dar cumplimiento a FR2. Para esto, se consideró el modelo funcional propuesto por Palmer en [45]. Donde, la articulación del tobillo para una marcha horizontal en el plano sagital es considerada como la combinación de elementos mecánicos, tales como: resortes, amortiguadores (elementos pasivos) y actuadores (elementos activos). Siendo la posición y velocidad angular del tobillo las variables de entradas mientras el torque la variable salida. Este modelo fue validado en otros escenarios en [46]. Estas referencias clasificaron la fase ST en tres subfases: i) flexión plantar controlada (controlled plantarflexion o CP), ii) dorsiflexión controlada (controlled dorsiflexion o CD) y iii) flexión plantar motorizada (powered plantarflexion o PP), ver Figura 7. Cada una de las cuales se asoció al comportamiento específico de elementos mecánicos, a saber:

CP: Subfase entre los puntos 1-2 que describe el comportamiento de un resorte lineal.
CD: Subfase entre los puntos 2-3 que describe el comportamiento de un resorte no- lineal
PP: Subfase entre los puntos 3-4 que describe el comportamiento de la interacción en paralelo entre una fuente de torsión, ejemplo motor, con el resorte de CD, [47].
Siguiendo la orientación de diseño axiomático, la descomposición de los requisitos funcionales que debe cumplir DP2 son presentados en la Figura 8.

La representación matricial de esta desagregación es una matriz diagonal que evidencia un diseño desacoplado, respetando el axioma de independencia:
(3)El diseño conceptual se presenta en la Figura 9. Durante la subfase CP, el resorte torsional en la articulación A (Tobillo A) genera un torque opositor que es proporcional al cambio del ángulo del tobillo (equivalente al cambio del ángulo entre las barras AD y AN) a medida que el eje del pie (línea BC) avanza en flexión plantar, mientras el resorte que se encuentra en la línea EF permanece sin deformarse.
Durante la subfase CD, el resorte torsional mantiene la deflexión con la que finalizó en CP; además, a medida que el eje de la pierna (línea DE) avanza en dorsiflexión el resorte en EF aumenta la rigidez torsional gradualmente en la articulación D (Tobillo D) y un mecanismo de bloqueo, presentado posteriormente, restringe el giro del tobillo A. En la subfase PP, el mecanismo de bloqueo mantiene la deflexión del resorte torsional y el resorte en EF ofrece una propulsión al pie hacia adelante. Por último, en la fase SW el mecanismo de bloqueo se desactiva, permitiendo que la energía almacenada en el resorte torsional se libere reposicionando al pie para un nuevo ciclo de marcha.
Por cuestiones de economía del lenguaje, se presenta un ejemplo del desglose propuesto.

La propuesta conceptual, del mecanismo de reinicio de posición, está integrada por dos barras cuyas posiciones están definidas por los parámetros 𝑎 y 𝑏 y, un resorte torsional, con una constante de rigidez torsional 𝑘𝑇 y un posicionamiento angular de sus brazos 𝜙, ver Figura 10.

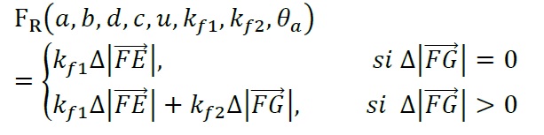
La energía almacenada por este mecanismo, necesaria para el reinicio de posición, es directamente proporcional al torque opositor dado por el resorte en CP. La expresión para este torque, dependiente de la constante del resorte torsional, 𝑘𝑇 , y del torque inicial en CP, 𝐶1, está dada por El requisito funcional FR21 y su respectivo parámetro de diseño DP21 se desagregan como se muestra en la Figura 11.
(4)

El requisito funcional FR22 y su respectivo parámetro de diseño DP22 se desagregan como se muestra en la Figura 12.

La Figura 13 muestra dos resortes de compresión en paralelo, unidos en uno de sus extremos a una de las barras del mecanismo de reinicio de posición (punto F), y la línea de acción de estos, que pasa por un punto fijo de la barra ED (Punto E).
Es importante aclarar que, la contribución de estos resortes se hace de manera secuencial. El primero, identificado con constante de rigidez 𝑘𝑓1, presenta una variación en su longitud
debido al movimiento relativo del punto E respecto a la barra DA. Cuando el punto E alcanza la posición de G, el segundo resorte, con rigidez 𝑘𝑓2, se comprime experimentando un cambio de longitud
.
La fuerza 𝐹𝑅 se determina mediante las constantes de los resortes y sus elongaciones mediante:
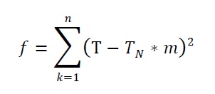
(5)El torque opositor en CD es el resultado de la componente de FR en dirección perpendicular a la barra DE y está dado por las ecuaciones (6) y (7).

(6)De esta forma, el torque presenta una relación no lineal con el ángulo del tobillo 𝜃𝑎, el cual emula la rigidez cuasiestática en CD.
Siguiendo el procedimiento de diseño axiomático, el refinamiento o desagregación final de los FR y DP, ver ecuación (8), presenta una matriz triangular inferior que evidencia una solución al cumplir el axioma de independencia funcional.
La estructura de la matriz de diseño define una secuencia para configurar los parámetros de diseño, correspondientes con los diferentes subsistemas que conforman la prótesis. Como consecuencia, fueron establecidas cuatro fases para la definición en los parámetros del diseño conceptual: i) de la placa pie; ii) del mecanismo de reinicio de posición del pie; iii), del mecanismo de rigidez no lineal; iv) del mecanismo de bloqueo. De esta forma, inicialmente, fue definido el valor del parámetro L de la placa del pie. Luego, se determinaron los parámetros 𝑎 y 𝑏. La definición el mecanismo de reposición fue complementado con los parámetros 𝑘𝑇 y 𝜙 , los cuales no influyen en los parámetros de rigidez no lineal del mecanismo, aplicados al tobillo planteado. Seguidamente, se definieron los parámetros 𝑐, 𝑑, 𝑘𝑓1, 𝑘𝑓2 y 𝑢 del mecanismo de rigidez no lineal. Por último, se establecieron los parámetros del mecanismo de bloqueo 𝑝, 𝑠, 𝑟 y 𝑘𝑅.
(7)
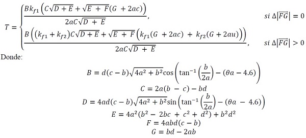
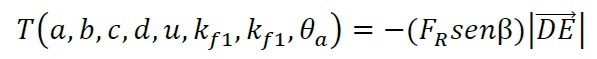
(8)Para la configuración de los valores fue definida la suma de los cuadrados de los residuos, como la función objetivo a minimizar:
(9)donde 𝑇, 𝑇𝑁, y 𝑚 definen el torque del modelo matemático propuesto para la prótesis, ecuación (7), los datos de torque por unidad de masa reportados por Winter en [40] y la masa del paciente, respectivamente. Por otra parte, 𝑛 es 19 que corresponde a los puntos (𝑇𝑁,𝜃𝑎) en CD donde la rigidez es no lineal.
Para la minimización de la expresión anterior fue utilizada la función “fmincon” de MatLab [48] definida como:
(10)donde, 𝑐 y 𝑐𝑒𝑞 son funciones no lineales que devuelven vectores, 𝑨 y 𝑨𝒆𝒒 son matrices, mientras 𝒃 y 𝒃𝒆𝒒 son vectores los cuales, en conjunto, describen sistemas de ecuaciones y de desigualdades lineales, 𝑿 es el vector de entrada de la función 𝑓 y los vectores 𝒍𝒃 y 𝒖𝒃 son sus límites inferiores y superiores. Todos estos vectores y matrices se definen como sigue:
(11)Como resultado de las iteraciones se configuraron los siguientes valores de los parámetros: a=60mm, b=40mm, d=60mm, c=130mm, u=122mm, kf1=113 N/mm, Kf2=200N/mm que presentaron un factor de correlación del 98%, 𝑅2=0.98.

El diseño conceptual fue complementado y generando las especificaciones de las geometrías en los diferentes componentes del mecanismo. El diseño básico del mecanismo pie-tobillo generado se presenta en la Figura 14.
Este trabajo partió de la dificultad de emular el comportamiento natural del conjunto pie-tobillo, mediante una efectiva solución de una ayuda técnica. Por ello, se definió un procedimiento de diseño para especificar un mecanismo en una prótesis de pie -tobillo con regeneración cinemática, bajo el abordaje de diseño axiomático. Para esto, se adoptó un abordaje de refinamientos sucesivos donde, a partir de la definición de características específicas de un ejemplo de aplicación, se alcanza un nivel de detalle en el procedimiento que permite su generalización.
Basado en la clasificación funcional de Medicare, fue definido un paciente cuyas necesidades se cumplen con el nivel K1 y, además, la cinemática y cinética de su marcha fueron acopladas a los datos reportados por Winter en [40]. Lo anterior, permitió establecer los requisitos funcionales del ejemplo en la aplicación de prótesis pie-tobillo de este trabajo. De esta forma, se referenciaron varias fuentes de información para la definición de requisitos funcionales en el diseño de una prótesis de extremidad inferior.
Dada la complejidad del problema, el desglose de los requisitos funcionales y de los parámetros de diseño, basados en el abordaje de diseño axiomático, permitieron una secuencia para el establecimiento de los valores en los parámetros de diseño. Específicamente, facilitó la configuración de los parámetros de diseño, mediante la minimización de los residuos entre el perfil del torque en el tobillo dentro del modelo matemático de la prótesis y del perfil del torque reportado por Winter en [40]. Esto se presenta como consecuencia del cumplimiento del axioma de independencia. El cual, ante un cambio de un parámetro de diseño ubicado en una posición determinada de su secuencia, permite evidenciar claramente la no alteración, así como el cambio de los que lo anteceden y de los que le suceden, respectivamente. Lo anterior, implica un replanteamiento de los segundos para cumplir con sus requisitos funcionales respectivos. Es decir, conociendo la secuencia de diseño se reduce el proceso de iteración para configurar las características del prototipo inicial hasta alcanzar un producto final.
Este trabajo asegura la independencia del reinicio de posición del pie y de la emulación de la rigidez no lineal, a través de dos tobillos y, un sistema de bloqueo que garantiza su activación conceptual, comparado con el diseño reportado en [29]. Además, se usó la idea conceptual, de dos resortes lineales inclinados que, aseguren el aumento de la rigidez del tobillo, a medida que el ángulo avance hacia la dirección de dorsiflexión. La anterior referencia se tomó de [26], con la diferencia del cumplimiento de la independencia funcional. Como consecuencia, el diseño presentado evidencia mejoras comparado con estas propuestas bases.
Como citar: P. Pontoja-Caicedo, R. Cano-Buitrón, J. García-Melo, “Diseño axiomático de un mecanismo pie-tobillo de una prótesis transtibial en el contextocolombiano,” Rev. UIS Ing., vol. 19, no. 3, pp. 1-14, 2020. doi: https://doi.org/10.18273/revuin.v19n3-2020001
Los autores desean agradecer a la Universidad del Valle por el apoyo financiero que permitió el desarrollo de esta investigación.













