Artículos
Optimización termodinámica de la transferencia de calor en flujos internos de gases con insertos tipo anillo cónico
Thermodynamic optimization of heat transfer in internal gas flow with conical ring inserts
Optimización termodinámica de la transferencia de calor en flujos internos de gases con insertos tipo anillo cónico
Revista UIS Ingenierías, vol. 19, núm. 3, pp. 103-116, 2020
Universidad Industrial de Santander

Recepción: 12 Agosto 2019
Aprobación: 23 Enero 2020
Publicación: 22 Mayo 2020
Resumen: El uso de insertos estáticos permite el diseño de intercambiadores de calor de menor volumen, pero también pueden ser implementados en equipos existentes para mejorar su rendimiento. En este trabajo se desarrolla una metodología para la optimización termodinámica de insertos cónicos para el calentamiento de gases en tuberías a partir de un modelo algebraico adimensional. Se plantean y resuelven dos casos de optimización: el diseño de un intercambiador de calor en donde las únicas variables fijas son la temperatura de entrada y la transferencia de calor requerida. El segundo caso es la incorporación de los insertos a un intercambiador existente, en donde la temperatura de carga, flujo de masa y las características geométricas de la tubería son los parámetros fijos. Como resultados se presenta un análisis paramétrico en donde se estudia la influencia de distintos parámetros de diseño en la temperatura de descarga y la irreversibilidad termodinámica. Luego se presentan los resultados del proceso de optimización para distintas combinaciones de parámetros, y se discute las tendencias encontradas en las configuraciones óptimas. Los resultados son aplicados en un ejemplo para ilustrar el interés práctico de la metodología. Se encontró que para ambos casos de optimización las configuraciones óptimas corresponden a la mínima severidad de los insertos, mientras que los diseños óptimos corresponden siempre a la mínima relación de aspecto posible (L/D) para las tuberías, mientras que el número de tubos, contemplado en el número de Reynolds, se ajusta para satisfacer la temperatura de descarga.
Palabras clave: optimización, insertos, anillos cónicos, calentamiento subsónico, segunda ley.
Abstract: The use of static inserts allows reducing the volume of heat exchangers at the design stage, although they could also be installed in operating equipment to enhance their performance. In this work, an original methodology is developed for the thermodynamic optimization of conical ring inserts within cylindrical piping for gas heating, using a dimensionless algebraic model. Two optimization cases are considered: the design of a new heat exchanger, and the retrofitting of an operating equipment. In the former only the mass flow, charge temperature and heat rate are known, whereas all geometrical characteristics are fixed for the latter. As results, this article presents a parametric study for discharge temperature and entropy generation, and the result of optimization methodology applied to several parameter combinations. The trends observed for optimal configurations are discussed and an example is solved to illustrate the practical value of the proposed methodology. It was found that optimum configuration leads to less severe inserts, and that best designs are those with lower pipe aspect ratio (L/D), while the tube count, used in Reynolds number calculation, is adjusted to meet temperature requirements.
Keywords: optimization, inserts, conical rings, subsonic heating, second law.
1. Introducción
El uso de insertos estáticos es una de las técnicas más utilizadas para incrementar la transferencia de calor en flujos internos. El uso de insertos permite el diseño de intercambiadores de calor de menor volumen, pero también pueden ser implementados en equipos existentes para mejorar su rendimiento [1, 2]. Sin embargo, el uso de estos insertos presenta como principal desventaja un incremento de la potencia requerida para mantener el flujo de masa. Incluso se ha encontrado que en ciertas condiciones el uso de insertos puede ser contraproducente cuando se considera un balance global de energía, o incluso un balance termo-económico [3].
El uso de esta técnica ha sido ampliamente estudiado y numerosos tipos de insertos han sido diseñados y evaluados para distintos fluidos y regímenes de flujo [4, 5]. La mayoría de los estudios experimentales generalizan sus resultados mediante el uso del número de Nusselt (𝑁𝑢) y factor de fricción de Darcy-Weissbach (𝑓) para cuantificar el efecto de los insertos sobre la difusión de calor y momentum [6]. El avance de herramientas de dinámica de fluidos computacional ha permitido el estudio detallado del desempeño de intercambiadores de calor y la optimización de superficies extendidas, aletas e insertos. Estos estudios traen como limitante la cantidad de recursos computacionales y el tiempo requerido para alcanzar la convergencia de los resultados de la simulación, por lo que estos estudios abarcan un reducido rango de parámetros de diseño [7]. La optimización en estos casos requiere el uso de técnicas especiales, Hatami et al. utilizaron un diseño central compuesto como matriz de experimentos para utilizar un número mínimo de simulaciones en la optimización de superficies extendidas de un recuperador de calor utilizando dinámica de fluidos computacional [8]. Por el contrario, el uso de modelos algébricos simplificados basados en correlaciones empíricas, utilizan ecuaciones de balance sobre volúmenes de control que abarcan todo el intercambiador de calor. En consecuencia, los modelos algebraicos no ofrecen información sobre qué ocurre internamente en el dispositivo, su ventaja consiste en que son computacionalmente económicos y permiten el análisis de un amplio rango de múltiples parámetros de diseño.
Con la intención de obtener diseños con alta intensidad de transferencia de calor con reducidos impactos en la potencia de bombeo requerida, se han propuesto diversas figuras de mérito como objetivos de optimización en los procesos de diseño. Algunos autores han maximizado el cociente de la transferencia de calor contra la potencia consumida, o en su defecto, funciones de sus equivalentes en términos adimensionales 𝑁𝑢 y 𝑓 [9].
Respecto al uso de estos cocientes Bejan [3] advierte que los mismos no son suficientes si se pretende optimizar la transferencia de calor en un sentido estrictamente termodinámico, y propone comparar las tasas de generación de entropía (destrucción de exergía) con o sin insertos para determinar si es conveniente su uso en una aplicación determinada.
Otros trabajos han propuesto optimizar intercambiadores de calor desde una perspectiva termo-económica donde se minimiza el costo total del dispositivo. En estos estudios la energía es considerada en los costos operativos donde se balancea el costo de la energía mecánica de bombeo y el ahorro ofrecido por la energía térmica recuperada al compararse con el costo de su equivalente en combustibles fósiles (o alguna otra fuente de energía térmica) [10, 11, 12]. Adicionalmente, los análisis exergo-económicos buscan combinar los beneficios del análisis de segunda ley incorporando consideraciones económicas, para esto es clave definir el costo de la exergía o energía utilizable [13]. Ya que la exergía es un concepto termodinámico relativamente moderno, no existe un criterio único para la asignación de su costo y por lo que existen distintas metodologías reportadas en la literatura técnica [14]. Sin embargo, el uso de criterios económicos como objetivos de optimización está sujeto a las fluctuaciones del mercado global y local de la energía, así como el marco legal y las políticas regionales. Por lo tanto, este tipo de estudios son útiles en el diseño en proyectos específicos de ingeniería aplicada, sin embargo, sus resultados son difícilmente generalizables [15, 16]. Los análisis de segunda ley en cambio ofrecen una mejor perspectiva del proceso de transferencia de energía, son generalizables y pueden ser utilizados como punta de partida en análisis técnico-económicos.
Del análisis de segunda ley se observa que, en el proceso de transferencia de calor por convección la irreversibilidad termodinámica puede separarse en dos componentes: el componente térmico, ocasionado por la transferencia de calor a través de una diferencia finita de temperaturas, y un componente dinámico, cuyo origen es la fricción viscosa y se manifiesta como la resistencia al flujo. El uso de insertos tiende entonces a reducir la irreversibilidad térmica mientras incrementa la irreversibilidad dinámica, por lo que existe la posibilidad de encontrar una configuración óptima, que produzca una irreversibilidad mínima, consecuencia del balance de los beneficios térmicos y las penalidades dinámicas. En este sentido Bejan propone como objeto de optimización una expresión adimensional de la tasa de generación de entropía y encuentra que la proporción óptima entre las irreversibilidades térmicas y dinámicas dependen de la magnitud de la temperatura del sistema. Con una metodología similar Nag y Mukherjee [17] y Mukherjee et. al. [18] analizaron el flujo en ductos con temperatura de pared constante con paredes lisas y con insertos, y encontraron que para cada configuración existe una diferencia de temperatura fluido-pared óptima a la entrada del flujo. El uso de la segunda ley de la termodinámica ha demostrado ser una herramienta útil en el diseño de insertos e intercambiadores de calor, que permite profundizar la compresión de los parámetros que afectan el rendimiento de estos dispositivos y dan un sustento objetivo a las decisiones de diseño [19].
El calor específico y la densidad de las sustancias son mucho menores en la fase gaseosa que en la líquida. Por este motivo suelen requerirse altos flujos volumétricos cuando se utiliza un gas como fuente o sumidero térmico [20]. Al mismo tiempo, altos flujos volumétricos están asociados a incrementos en las caídas de presión. Por este motivo, el uso de insertos en flujos de gases requiere particular atención.
En este trabajo se desarrolla una formulación adimensional original para las ecuaciones de energía y entropía, particularizados para flujos estacionarios internos subsónicos de gas. Mediante el uso de correlaciones empíricas para 𝑁𝑢 y 𝑓 se presentan dos ecuaciones que relacionan los parámetros de diseño del ducto y los insertos, las propiedades del fluido, la generación de entropía y las temperaturas de operación. Estas ecuaciones son utilizadas para analizar el efecto e importancia de cada parámetro sobre el proceso de transferencia de calor. Un algoritmo de optimización se aplica a estas ecuaciones para determinar las configuraciones que minimizan las irreversibilidades termodinámicas y se aplica a dos casos de estudio, el diseño de intercambiadores nuevos y la implementación en intercambiadores de calor existente, asociado cada caso a condiciones de optimización específicas. Finalmente, se presenta una metodología de diseño basado en la optimización termodinámica (minimización de la generación de entropía).
A diferencia de los trabajos previos de optimización termodinámica de insertos, la temperatura de operación no se considera un objetivo de optimización, se considera, en cambio, un requerimiento o restricción del proceso. La novedad de este trabajo es aplicar la optimización termodinámica sujeta a las restricciones de dos tipos de problema comúnmente encontrados en la práctica: diseño de un intercambiador de calor, donde las temperaturas de entrada y salida son requerimientos del proceso, pero las dimensiones son desconocidas; y aumento de capacidad de un intercambiador de calor existente, donde la temperatura de entrada es un requerimiento del proceso y las dimensiones del ducto son conocidas. La metodología es luego desarrollada para varias combinaciones de parámetros. Finalmente, un ejemplo es resuelto para ilustrar el interés práctico de esta metodología.
En este trabajo se analiza únicamente insertos tipo anillo cónico divergente en la dirección del flujo. Se utilizan las correlaciones de Promvonge [21] dentro del rango de aplicación propuesto por el mismo autor. Se considera un comportamiento ideal e incompresible del gas en condiciones de flujo estacionarias. Todas las gráficas presentadas utilizan las propiedades del aire en un proceso de calentamiento, las conclusiones obtenidas, sin embargo, son de carácter general.
2. Metodología
2.1. Insertos tipo anillo cónico
El principal objetivo de los insertos es generar patrones de flujo que promuevan la transferencia de calor, los insertos tipo anillo cónico consisten en láminas de mínimo espesor dobladas en forma de cono truncado. Estos conos pueden disponerse divergentes en la dirección del flujo, convergentes en la dirección del flujo o alternados. Según Promvonge [21] la disposición divergente en la dirección del flujo (DR) genera mayores incrementos en la transferencia de calor que las otras configuraciones dentro de su rango de estudio, por este motivo el presente trabajo solo considera esta disposición. En la Figura 1 se presenta un esquema del sistema estudiado y una indicación de las principales variables geométricas y de operación.

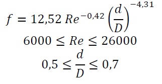
En este trabajo se utilizan las correlaciones propuestas por Promvonge [21] quien estudio el efecto de las relaciones de diámetro de los conos, mientras fijó la relación diámetro-longitud y diámetro-separación a la unidad (𝑙=𝐷). Por lo tanto, Número de Nusselt se correlaciona con el Número de Reynolds, con el Número de Prandtl y con la relación de diámetros del inserto [21]:
(1)Por su parte el factor de fricción se correlaciona con el Número de Reynolds y la relación de diámetros:
(2)Para el cálculo en tuberías lisas utilizado como base de comparación se utilizaron las correlaciones propuestas por Gnielinski [22].
2.2. Modelo matemático
Para flujo en tuberías con temperatura superficial constante, la temperatura del fluido a la salida viene dada por la relación [13]:
(3)En régimen turbulento la ecuación (3) aplica tanto para temperatura superficial constante como para flujo de calor constante, puesto que la distribución de temperatura en el flujo es prácticamente independiente de la condición de contorno térmica en la superficie de la tubería. De igual forma, la ecuación (3) aplica indistintamente para tuberías con y sin inserto, puesto que el efecto de la fluidodinámica en la transferencia de calor se incluye mediante el coeficiente convectivo, siendo este término el que se modifica con el uso de insertos.
El término en el paréntesis en la ecuación (3) puede manipularse para escribirse en función de parámetros adimensionales, de manera que la que la ecuación puede expresarse como:
(4)La rapidez de generación de entropía en el flujo de un gas ideal viene dada por:
(5)El término en el segundo paréntesis de la ecuación 5 puede escribirse de la siguiente forma:
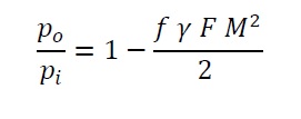
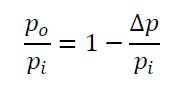
(6)Donde la caída de presión se evalúa a partir de la ecuación de Darcy-Weisbach y la presión en la entrada de la tubería se expresa en función de la temperatura mediante la ley de gases ideales:
(7)Recordando que la rapidez del sonido en un medio gaseoso viene dada por 𝑐2=𝛾 𝑅 𝑇, y empleando la definición de Número de Mach, la ecuación 7 se escribe como:
(8)Sustituyendo la ecuación (8) en la ecuación (5), haciendo uso de la primera ley de termodinámica para evaluar la rapidez de transferencia de calor, y dividiendo toda la ecuación por la capacidad térmica del flujo, la rapidez de generación de entropía en forma adimensional viene dada por:
(9)Como ocurre con la ecuación (4), la ecuación (9) aplica indistintamente al uso de inserto en la tubería. El efecto de cualquier inserto en la rapidez de generación de entropía se incluye explícitamente en el factor de fricción, e implícitamente en la temperatura adimensional a la salida, la cual depende del Número de Nusselt, parámetro modificado también por el inserto. Inspeccionando la ecuación (9) se observa que la generación de entropía adimensional también depende implícitamente del Número de Reynolds, del Número de Prandtl, de la relación de aspecto de la tubería y de la relación de diámetros del inserto, tanto para la determinación de la temperatura de salida como en la correlación para el factor de fricción (ecuación (2) para arreglo DR [12]). Adicionalmente depende del Número de Mach y de la relación de calores específicos del fluido.
El argumento del segundo término logarítmico de la ecuación (9) representa un límite físico para el flujo de gas a través de la tubería. Un valor nulo de este argumento significa que el flujo experimentó la pérdida total del diferencial de presión que tenía a la entrada, es decir, el flujo no tiene potencial para continuar fluyendo. Esta condición permite definir valores límites de un parámetro adimensional si se mantienen los otros fijos. Por ejemplo, en la Figura 2a se muestra la relación de aspecto máxima como función del Número de Reynolds para diferentes valores de la relación de diámetros del inserto y el Número de Mach igual a 0,1, mientras que en la Figura 2b se hace lo propio para Número de Mach igual a 0,05.

En las Figuras 2a y 2b se observa que el valor límite de la relación de aspecto disminuye con la relación de diámetros del inserto y con el Número de Reynolds, esto como consecuencia de un aumento en el factor de fricción producto de una mayor caída de presión. A medida que aumenta el Número de Mach el valor límite de la relación de aspecto disminuye, lo que significa que un aumento en la velocidad del flujo debe ser compensado con una menor longitud de tubería para evitar una excesiva caída de presión. Para el rango de valores utilizados en este estudio se concluye que para Número de Mach altos solo se admite el uso de insertos con reducidos cambios de diámetro en tuberías relativamente cortas, ampliándose el rango de relaciones de aspecto admisibles a medida que disminuye el número de Mach. Se encontró que para 𝑀<0,035 la relación de aspecto máxima es mayor a 200 para toda combinación de 𝑅𝑒 y 𝑑/𝐷 en el rango estudiado. Este valor de 𝐹𝑚𝑎𝑥 significa una longitud de tubería de aproximadamente 10 m para una tubería estándar de 50,8 mm (2′′) por lo que el uso de insertos es admitido en la mayoría de las aplicaciones prácticas para un Número de Mach por debajo del valor mencionado.
2.3. Rango de estudio
Con la finalidad de observar el comportamiento de la temperatura de salida y de la rapidez de generación de entropía en función a los parámetros adimensionales de los cuales dependen, se procedió a graficar las ecuaciones (2) y (8) considerando rangos prácticos de los parámetros mencionados considerando diámetros estándar, en el rango desde 12,7 mm hasta 50,8 mm (12⁄′′−2′′) y longitudes de tubería típicas en el diseño de intercambiadores de calor. El Número de Reynolds y la relación de diámetros del inserto variaron en el rango para el cual las correlaciones de Promvongue son válidas, la relación de aspecto de la tubería se varió entre 10 y 500 para considerar tuberías relativamente cortas y largas, el Número de Prandtl se fijó igual a 0,7 por ser un valor común entre los gases. La temperatura adimensional de entrada se varió entre 0,1 y 0,9. Con relación al número de Mach, se consideraron los límites prácticos de velocidad de gases en tuberías recomendados por fabricantes de intercambiadores de calor (3−30 m s−1) y un amplio rango de temperatura de entrada (273−673 K) para estimar el rango a emplearse en este estudio tal que se cumpla además la condición de flujo incompresible. En la Tabla 1 se muestran los valores de los parámetros adimensionales resultantes de los valores antes mencionados.

2.4. Problemas de optimización
Desde un punto de vista práctico el uso de insertos responde a uno de los siguientes casos: diseño de un intercambiador de calor o aumento de capacidad de un intercambiador existente. En el caso de diseño se conocen el flujo másico y la temperatura de entrada de cierta corriente de gas, y la temperatura requerida a la salida del equipo, y se busca el área de transferencia de calor (geometría) que satisfaga la carga térmica requerida. En este caso el uso de insertos busca reducir el área necesaria para obtener la temperatura de salida requerida. En el caso de aumento de la capacidad del equipo, se conocen el flujo másico y la temperatura de entrada de la corriente del gas, y la geometría de la tubería. En este caso el uso de insertos busca aumentar la carga térmica transferida, traduciéndose en una temperatura de salida más alta o baja, según se trate de una aplicación de calentamiento o de enfriamiento. Estos dos casos permiten definir dos problemas de optimización descritos a continuación.
2.4.1. Problema n.° 1: diseño
Para cierto gas (𝑃𝑟 fijo) y dado un flujo másico, la carga térmica requerida se satisface con diferentes combinaciones de relación de aspecto de la tubería y relación de diámetros del inserto, generándose un conjunto de soluciones factibles cada una con un Número de generación de entropía asociado. El objetivo del problema de optimización es encontrar la combinación de 𝐹, 𝑑/𝐷 y 𝑅𝑒 tal que satisfaga la 𝜃𝑜 requerida y minimice 𝑁𝑠.
La inclusión del Número de Reynolds como variable de decisión responde al hecho de que aun cuando el flujo másico es fijo, este parámetro depende del diámetro de la tubería el cual puede tomar diferentes valores distintas combinaciones de 𝐹 y 𝑑/𝐷. La ventaja de optimizar en función del Número de Reynolds es que ofrece flexibilidad para dividir la corriente, esto es disminuir el flujo másico por tubería manteniendo el valor de 𝑅𝑒, lo que permite diseñar en función del número de tubos y del número de pasos por tubos en un intercambiador de calor. La formulación matemática del problema se muestra en la Tabla 2.

2.4.2. Problema n.° 2: aumento de capacidad
Para cierto gas (𝑃𝑟 fijo), dada la geometría de la tubería (𝐹 fija) y el flujo másico (𝑅𝑒 fijo), el uso de insertos ocasionará un aumento en la carga térmica transferida con una penalidad en la caída de presión, generándose un conjunto de soluciones factibles con un número de generación de entropía asociado a cada una.
El objetivo del problema de optimización es encontrar el valor de 𝑑/𝐷 tal que minimice 𝑁𝑠 bajo la condición de que se cumpla el balance de energía. Para garantizar el cumplimiento de esta restricción, se sustituyó 𝜃𝑜 de la ecuación (2) en la ecuación (8) para obtener la función objetivo que se muestra en la Tabla 3. Junto con la formulación matemática del problema de optimización.
Para la solución de ambos problemas de optimización se empleó la función FMINCON de MATLAB con el algoritmo de punto interior. Este es un algoritmo de optimización no lineal que emplea un método iterativo para encontrar mínimos relativos de la función objetivo a partir de una solución inicial factible.
Para garantizar la obtención del mínimo absoluto de la función objetivo se generó un conjunto de valores iniciales factibles para la obtención de un conjunto de mínimos locales, siendo el mínimo absoluto el menor elemento de este último conjunto.


3. Resultados
3.1. Comportamiento de 𝜽𝒐 y 𝑵𝒔 respecto a los parámetros adimensionales
Con la finalidad de observar el comportamiento de la temperatura de salida y de la rapidez de generación de entropía en función a los parámetros adimensionales de los cuales dependen, se procedió a graficar las ecuaciones (3) y (9) considerando rangos establecidos en la Tabla 1.
En las Figuras 3 y 4 se observa que independientemente del Número de Reynolds el efecto del inserto es aumentar la temperatura de salida, es decir incrementar la transferencia de calor. El incremento de 𝐹, equivalente a un incremento de la longitud de la tubería, incrementa la temperatura de salida, lo que es un resultado lógico.
Para 𝑅𝑒 bajos el equilibrio térmico se alcanza para valores de 𝐹 menores, lo que quiere decir que al reducir la relación del flujo contra el diámetro se requieren menores longitudes para alcanzar un determinado cambio de temperatura. También se observa que, a menor relación de diámetros del inserto, su efecto es mayor, sin embargo, a partir de cierto valor de 𝐹, dependiente de 𝑅𝑒 y de 𝜃𝑖, la influencia de este parámetro desaparece. Por último, se observa que mientras menor sea 𝜃𝑖 el beneficio por el uso del inserto es mayor, esto debido a que se aprovecha en mayor medida la diferencia de temperatura entre el fluido a la entrada de la tubería y la pared de la tubería.

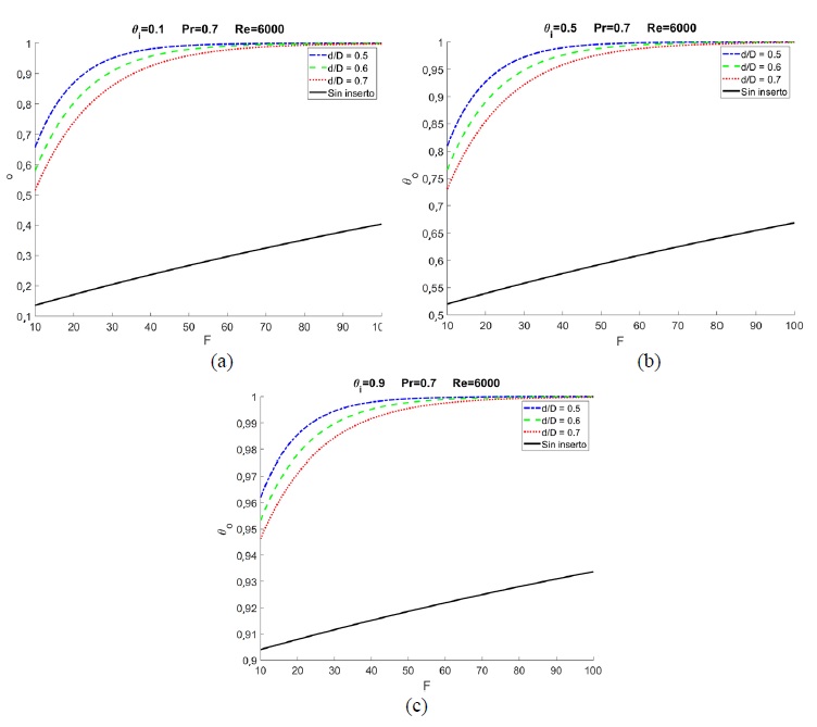
Las Figuras 5a, 5b y 5c muestran el comportamiento de 𝑁𝑠 versus 𝐹 para 𝑅𝑒=6000 y 𝑀=0,1, y diferentes valores de 𝜃𝑖 y de 𝑑/𝐷. Se observa que la rapidez de generación de entropía aumenta con 𝐹, haciéndose asintótica al valor de 𝐹𝑚𝑎𝑥 correspondiente a la combinación de 𝑀, 𝑅𝑒 y 𝑑/𝐷. A mayor 𝑑/𝐷 la generación de entropía es menor para un 𝐹 fijo, y el valor de 𝐹𝑚𝑎𝑥 se incrementa. Esto debido a que la variación del área de flujo por la presencia del inserto disminuye en severidad ocasionando menores caídas de presión, lo que permite la aplicación del inserto en tuberías de mayor longitud, de allí el aumento de 𝐹𝑚𝑎𝑥. Este comportamiento se mantiene para diferentes valores de 𝜃𝑖, observándose que 𝑁𝑠 disminuye al aumentar 𝜃𝑖, lo que es de esperarse por ocurrir la transferencia de calor a través de una menor diferencia de temperatura entre el fluido y la tubería.
Las Figuras 5d, 5e y 5f son similares a la Figura 5a, 5b y 5c pero para 𝑅𝑒=26000. Con el incremento del número de Reynolds disminuye 𝑁𝑠 mientras que el valor límite 𝐹𝑚𝑎𝑥 aumenta. A pesar del aumento en la caída de presión producto del aumento de 𝑅𝑒, el efecto del inserto sobre la transferencia de calor genera una disminución en la rapidez de generación de entropía.
El efecto de disminuir el Número de Mach en la rapidez de generación de entropía se observa al comparar la Figuras 5a, 5b y 5c con las Figuras 5g, 5h e 5i, donde se muestra 𝑁𝑠 versus 𝐹 para 𝑅𝑒=6000 y 𝑀=0,01. Se evidencia que el efecto de disminuir 𝑀 es similar al de aumentar 𝑅𝑒, esto es, disminuye la rapidez de generación de entropía y aumenta el valor de 𝐹𝑚𝑎𝑥. Dentro del rango de estudio las irreversibilidades están dominadas por el fenómeno térmico, esto se confirma al observar que todo cambio de parámetros afecta similarmente a 𝜃𝑜 y 𝑁𝑠 independientemente del efecto dinámico.
Para cada combinación de 𝐹,𝑑/𝐷, 𝑅𝑒 y 𝜃𝑖 presentada, Ns es siempre superior en la configuración con insertos que la tubería lisa, pero esto se debe principalmente al incremento de la transferencia de calor (ultimo termino en ecuación 5). Por este motivo, la evaluación de la conveniencia del uso de insertos debe realizarse en base a la a la cantidad de energía que se desea transferir. En general el uso de insertos está contraindicado para relaciones de aspecto (𝐹) elevadas y diferencias de temperatura reducidas a la entrada (𝜃𝑖 elevados para casos de calentamiento del gas), donde las temperaturas de descarga tienden a independizarse de la existencia o configuración de los insertos pero las penalidades dinámicas se hacen importantes, particularmente para altos números de Mach.
3.2. Problemas de optimización
En primer lugar, se presentan resultados del problema de optimización n.° 1. El problema se resolvió para diferentes combinaciones de 𝜃𝑖 y 𝜃𝑜 para 𝑀=0,01 y 0,1, dejando libre la caída de presión (𝑝𝑜/𝑝𝑖). En el primer caso se encontró que para todas las combinaciones estudiadas la relación de diámetros que minimiza la generación de entropía adimensional fue 𝑑/𝐷=0,7, mientras que si el calentamiento requerido no es muy elevado (𝜃𝑜 cercano a 𝜃𝑖) valores altos de 𝑅𝑒 y bajos de 𝐹 producen el valor mínimo de 𝑁𝑠. A medida que el valor de 𝜃𝑜 aumenta, 𝑅𝑒 disminuye manteniéndose fijo 𝐹 en su extremo mínimo, hasta que 𝑅𝑒 alcanza su valor mínimo y 𝐹 debe aumentar para satisfacer el balance de energía.
En la Tabla 4 se muestran resultados para el caso particular de 𝜃𝑖=0,2 y 𝑀=0,1, indicándose además de las variables de decisión que minimizan a 𝑁𝑠, los valores de 𝑝𝑜/ýý𝑖 obtenidos, los cuales aumentan al incrementarse 𝜃𝑜 debido al aumento en el factor de fricción y 𝐹 (mayor longitud o menor diámetro) que originan un aumento en la irreversibilidad por fricción. Esto, junto al incremento en la irreversibilidad por transferencia de calor produce un efecto neto de aumento en la generación de entropía.
También se presentan los valores de 𝜃𝑜 y 𝑝𝑜/𝑝𝑖 obtenidos para una tubería sin inserto considerando los mismos 𝐹 y 𝑅𝑒 que minimizan 𝑁𝑠 con inserto. Se observa que el incremento en la temperatura de salida es significativo con el uso de insertos a costo de un incremento en la caída de presión. La Tabla 5 muestra los resultados para 𝜃𝑖=0,2 y 𝑀=0,01. Se observa que los valores de las variables de decisión son los mismos que para M=0,1, solo cambiando Ns y po/pi.
Al fijar las temperaturas de entrada y salida se fijan los gradientes de temperatura y por lo tanto la irreversibilidad por transferencia de calor, por lo que el método minimiza la irreversibilidad por fricción satisfaciendo el balance de energía. La combinación que minimiza la resistencia al flujo va a ser la misma para todos los Números de Mach, siendo este responsable de cambiar, en este caso disminuir, la generación de entropía, pero la relación funcional respecto a 𝑑/𝐷,𝑅𝑒 y 𝐹 es la misma.
Los resultados del problema de optimización n.° 1 muestra tendencias similares a las reportadas por otros trabajos de optimización de intercambiadores de calor con gas como fluido de trabajo. En todos estos estudios la combinación específica de parámetros óptimos depende de las características particulares del intercambiador de calor y el tipo de inserto utilizado, sin embargo, vale la pena desatacar algunas conclusiones generales. Chikh et al [8] reportaron que cuando la diferencia de temperatura entre fuente y sumidero de calor es mayor a 20 K las irreversibilidades son principalmente debido a la transferencia de calor y las configuraciones optimas suelen favorecer el incremento en el área de contacto entre el fluido y el inserto. Mientras que si la diferencia de temperatura es pequeña las irreversibilidades son principalmente producto de la fricción, por lo que las configuraciones optimas tienden a reducir el tamaño de la superficie de transferencia de calor. Khalaji et al [23] encontraron que velocidades de flujo elevados, representados por un alto número de Reynolds, optimizan la operación de intercambiadores de calor operando con pequeñas diferencias de temperatura.


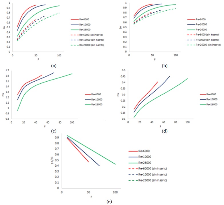
A continuación, se presentan los resultados del problema de optimización n.° 2. Se encontró que, en todos los casos estudiados, la relación de diámetros que minimiza la generación de entropía es 𝑑/𝐷 =0,7 independientemente de los valores de 𝑀,𝐹,𝜃𝑖 y 𝑅𝑒. En la Figura 6a se muestra el valor de 𝜃𝑜 obtenido cuando se minimiza 𝑁𝑠 para 𝑀=0,1,𝜃𝑖=0,1 y varios valores de 𝐹 y 𝑅𝑒, mientras que en la figura 6b se hace lo propio para ,𝜃𝑖=0,5 . Como es de esperarse la temperatura de salida es mayor a menores 𝑅𝑒 y mayores 𝐹, siendo la influencia de 𝑅𝑒 menor mientras 𝜃𝑖 es mayor. Al observar estas figuras es evidente el beneficio del uso del inserto sobre 𝜃𝑜, siendo la influencia del inserto mayor para valores de 𝜃𝑖 bajos, ya que existe mayor potencial de transferencia de calor aprovechable por el inserto. Sin embargo, el uso del inserto es penalizado por la caída de presión generada, representada por 𝑝𝑜/𝑝𝑖.

La figura 6e muestra los valores de 𝑝𝑜/𝑝𝑖 obtenidos cuando se minimiza 𝑁𝑠 para 𝑀=0,1. Es de destacar que esta gráfica es la misma para todos los valores de 𝜃𝑖 ya que 𝑝𝑜/𝑝𝑖 solo depende de 𝑅𝑒, 𝑀 y 𝐹. Se observa que mientras en los casos sin inserto la caída de presión es muy pequeña, el uso del inserto genera importantes caídas de presión, siendo mayor para menores 𝑅𝑒. Esto se ve reflejado en la generación de entropía mínima (Figuras 6c y 6d), ya que para un 𝐹 fijo ésta es mayor para el menor 𝑅𝑒 siendo esa configuración la que presenta el mayor valor de 𝜃𝑜 (mayor generación de entropía por transferencia de calor) y menor 𝑝𝑜/𝑝𝑖 (mayor generación de entropía por fricción).
Comparando las figuras 6c y 6d se observa que al aumentar 𝜃𝑖 disminuye 𝑁𝑠, ya que disminuye la generación de entropía por transferencia de calor (menor 𝜃𝑜/𝜃𝑖) y la generación de entropía por fricción es la misma si 𝑅𝑒 y 𝐹 son fijos. Los resultados obtenidos para 𝑀=0,01 son similares a los ya mostrados, de hecho 𝜃𝑜 para 𝑁𝑠 mínimo es independiente del Número de Mach, solo cambiando 𝑝𝑜/𝑝𝑖 (mayor para mayor 𝑀) y de 𝑁𝑠 (menor para mayor 𝑀).

Para finalizar es importante señalar que en la práctica el aumento de capacidad de un intercambiador de calor puede estar sujeto a una caída de presión disponible. En otras palabras la geometría del inserto debe ser tal que satisfaga dicha caída de presión. En este caso el problema de optimización N.° 2 puede emplearse para hallar el valor de 𝑑/𝐷 que minimiza 𝑁𝑠 sujeto al valor preestablecido de 𝑝𝑜/𝑝𝑖. A manera de comparación con el caso considerando libre la caída de presión, la Tabla 6 muestra los valores de 𝜃𝑜 y el correspondiente 𝑑/𝐷 para 𝑁𝑠 mìnimo y 𝑀=0,1,𝑅𝑒=10000,𝜃𝑖=0,1
En la Figura 6a se observa que con la caída de presión libre y bajo las mismas condiciones de la Tabla 6 se tiene que 𝜃𝑜=0,65 y 𝑑/𝐷 =0,7, y de la Figura 6e, 𝑝𝑜/𝑝𝑖 =0,829. Al comparar estos valores con los mostrados en la Tabla 6 se aprecia que el método de minimización de la generación de entropía resulta en la configuración con la menor caída de presión, sacrificando la temperatura de salida. Por ese motivo el inserto óptimo presenta menor severidad (𝑑/𝐷 mayor). Sin embargo cuando se dispone de caída de presión, la severidad de inserto aumenta a favor de la trasferencia de calor. De allí mayores valores de 𝜃𝑜 y menores valores de 𝑑/𝐷 al disminuir 𝑝𝑜/𝑝𝑖.

4. Conclusiones
El presente artículo presenta una formulación adimensional y metodología de optimización original, que puede ser aplicada a cualquier flujo interno forzado de gas con el uso de insertos. La aplicación de la metodología propuesta permite comprender la importancia relativa de cada uno de los parámetros de diseño en el desempeño térmico y dinámico del intercambiador de calor. Así como obtener orientación hacia las mejores prácticas de diseño e incorporación de insertos estáticos para producir mejoras en la transferencia de calor sin incurrir en excesivas pérdidas dinámicas.
Los resultados obtenidos indican que la inclusión de insertos per se generan un incremento de la transferencia de calor mucho mayor que la que pueda obtenerse a partir de la variación de las características del inserto. Para el caso de anillos cónicos se observa que el aumento en la severidad del inserto produce una mayor penalidad en las irreversibilidades dinámicas que un incremento en sus beneficios térmicos.
Lo anterior se confirma al observar que, para ambos casos de optimización (diseño de nuevos intercambiadores e implementación de insertos en sistemas existentes) el método propuesto conduce a configuraciones donde la irreversibilidad dinámica es la mínima posible, implicando esto dentro del rango estudiado, la menor severidad posible (mayor relación de diámetros) para los insertos. Únicamente cuando se le indica al método de optimización una caída de presión disponible (fijando la relación 𝑝𝑜/𝑝𝑖 por encima del mínimo) el método optará por configuraciones con insertos más severos para producir mayores incrementos temperatura. Se pudo observar adicionalmente que la relación de aspecto de la tubería tiene un mayor efecto sobre la irreversibilidad dinámica que el número de Reynolds.
Al incrementar la demanda de transferencia de calor en diseño de un intercambiador de calor, la metodología sugiere intentar primero una reducción del número de Reynolds, es decir, reducir la relación flujo/diámetro, lo que en la práctica se traduce en un incremento en el número de tuberías. Únicamente cuando 𝑅𝑒 alcanza su valor mínimo permitido (ya sea por alcanzar un valor de velocidad mínima, llegar al límite de la transición de régimen laminar-turbulento, o alcanzar un número de tubos prohibitivo), el método de optimización indicará un aumento en la longitud de las tuberías.
Se encontró que el número de Mach es un indicativo de la importancia relativa de las irreversibilidades dinámicas. A mayor número de Mach mayores las irreversibilidades dinámicas, lo que reduce significativamente la longitud máxima que puede alcanzar la tubería sin producir estancamiento del flujo. Sin embargo, dentro del rango estudiado, las irreversibilidades térmicas resultaron siempre más importantes que las dinámicas. En consecuencia, aunque el incremento de 𝑀, conducía a mayores caídas de presión, las configuraciones óptimas obtenidas resultaron independientes de este parámetro.
En general el uso de insertos está contraindicado para relaciones de aspecto (𝐹) elevadas y cuando la diferencia de temperaturas en el gas es reducida, en estos casos las temperaturas de descarga tienden a independizarse de la existencia de los insertos pero las penalidades dinámicas se hacen importantes.
5. Nomenclatura

Referencias
[1] R. M. Manglik, A. E. Bergles, “Heat Transfer and Pressure Drop Correlations for Twisted-Tape Inserts in Isothermal Tubes: Part I—Laminar Flows,” J. Heat Transfer, vol. 115, no. 4, pp. 881–889, 1993, doi: 10.1115/1.2911383
[2] R. M. Manglik, A. E. Bergles, “Heat Transfer and Pressure Drop Correlations for Twisted-Tape Inserts in Isothermal Tubes: Part II—Transition and Turbulent Flows,” J. Heat Transfer, vol. 115, no. 4, pp. 890–896, 1993, doi: 10.1115/1.2911384
[3] A. Bejan, Entropy Generation Minimization: the Method of Thermodynamic Optimization if Finite-size Systems and Finite-time Processes. Boca Ratón, NY, USA: CRC Press, 1996.
[4] A. E. Bergles, M. K. Jensen, E. Somerscales, R. M. Manglik, “Literature Review of Heat Transfer Enhancement Technology for Heat Exchanges in Gas-Fired Applications,” Instituto de Investigación del Gas, Chicago, IL, USA, Rep. GRI 91-0146, 1991.
[5] A. E. Bergles, Techniques to Enhance Heat Transfer, disponible en Handbook of Heat Transfer, 3ra ed. Nueva York, NY, USA: McGraw-Hill, 1998.
[6] R. M. Manglik, Heat Transfer Enhancement vol. 1., Cincinnati, OH, USA:John Willey & Sons, Inc., 2003.
[7] S. Chikh, N. Allouache, “Optimal performance of an annular heat exchanger with a porous insert for a turbulent flow,” Appl. Therm. Eng., vol. 104, pp. 222–230, 2016, doi: 10.1016/j.applthermaleng.2016.05.069
[8] M. Hatami, D. D. Ganji, M. Gorji-Bandpy, “Investigations of fin geometry on heat exchanger performance by simulation and optimization methods for diesel exhaust application,” Neural Comput. Appl., vol. 27, no. 6, pp. 1731–1747, 2016, doi: 10.1007/s00521-015-1973-1
[9] L. Wang, B. Sundén, “Performance comparison of some tube inserts,” Int. Commun. Heat Mass Transf., vol. 29, no. 1, pp. 45–56, 2002, doi: 10.1016/S0735-1933(01)00323-2
[10] S. Sanaye, H. Hajabdollahi, “Multi-objective optimization of shell and tube heat exchangers,” Appl. Therm. Eng., vol. 30, no. 14–15, pp. 1937–1945, 2010, doi: 10.1016/j.applthermaleng.2010.04.018
[11] H. Najafi, B. Najafi, P. Hoseinpoori, “Energy and cost optimization of a plate and fin heat exchanger using genetic algorithm,” Applied thermal Engineering, vol. 31, no. 10, pp. 1839-1847, 2011, doi: 10.1016/j.applthermaleng.2011.02.031
[12] U. Milovancevic, B. Jacimovic, S. Genic, F. El-Sagier, M. Otovic, S. Stevanovic, “Thermoeconomic analysis of spiral heat exchanger with constant wall temperature,” Therm. Sci., vol. 23, no. 1, pp. 401–410, 2019, doi: 10.2298/TSCI170605150M
[13] C. Casarosa, “Thermoeconomic optimization of heat recovery steam generators operating parameters for combined plants,” Energy, vol. 29, no. 3, pp. 389–414, 2004, doi: 10.1016/S0360-5442(02)00078-6
[14] D. Eryener, “Thermoeconomic optimization of baffle spacing for shell and tube heat exchangers,” Energy Convers. Manag., vol. 47, no. 11–12, pp. 1478–1489, 2006, doi: 10.1016/j.enconman.2005.08.001
[15] M. Di Somma et al., “Design optimization of a distributed energy system through cost and exergy assessments,” Energy Procedia, vol. 105, pp. 2451–2459, 2017, doi: 10.1016/j.egypro.2017.03.706
[16] G. Tsatsaronis, L. Lin, J. Pisa, “Exergy Costing in Exergoeconomics,” J. Energy Resour. Technol., vol. 115, no. 1, pp. 9–16, 1993, doi: 10.1115/1.2905974
[17] P. K. Nag, P. Mukherjee, “Thermodynamic optimization of convective heat transfer through a duct with constant wall temperature,” Int. J. Heat Mass Transf., vol. 30, no. 2, pp. 401–405, Feb. 1987, doi: 10.1016/0017-9310(87)90128-1
[18] P. Mukherjee, G. Biswas, P. K. Nag, “Second-Law Analysis of Heat Transfer in Swirling Flow Through a Cylindrical Duct,” J. Heat Transfer, vol. 109, no. 2, pp. 308–313, 1987, doi: 10.1115/1.3248081
[19] M. Li, A. C. K. Lai, “Thermodynamic optimization of ground heat exchangers with single U-tube by entropy generation minimization method,” Energy Convers. Manag., vol. 65, pp. 133–139, 2013, doi: 10.1016/j.enconman.2012.07.013
[20] K. Altfeld, W. Leiner, M. Fiebig, “Second law optimization of flat-plate solar air heaters Part I: The concept of net exergy flow and the modeling of solar air heaters,” Sol. Energy, vol. 41, no. 2, pp. 127–132, 1988, doi: 10.1016/0038-092X(88)90128-4
[21] P. Promvonge, “Heat transfer behaviors in round tube with conical ring inserts,” Energy Convers. Manag., vol. 49, no. 1, pp. 8–15, 2008, doi: 10.1016/j.enconman.2007.06.009
[22] F. Incropera, D. Dewitt, Fundamentals of heat and mass transfer 6th Ed. Jefferson city, MO, USA: John Wiley & Sons, 2007.
[23] M. N. Khalaji, I. Kotcioglu, S. Caliskan, A. Cansiz, “The Second Law Analysis of Thermodynamics for the Plate–Fin Surface Performance in a Cross Flow Heat Exchanger,” J. Heat Transfer, vol. 141, no. 1, 2019, doi: 10.1115/1.4041498
Información adicional
Como citar: M. Baritto, S. Otero, L. Suarez, J. Bracamonte, “Optimización termodinámica de la transferencia de calor en flujos internos de gases con insertostipo anillo cónico,” Rev. UIS Ing., vol. 19, no. 3, pp. 103-116, 2020. doi: https://doi.org/10.18273/revuin.v19n3-2020011