Artículos

Recepción: 24 Enero 2020
Aprobación: 28 Abril 2020
Publicación: 01 Junio 2020
DOI: https://doi.org/10.18273/revuin.v19n3-2020017
Resumen: Un sensor basado en la permitividad eléctrica del fluido fue usado para análisis de las tomografías en los diferentes patrones que se presentan en flujo multifase aceite y agua (Liquido-Liquido). El estudio experimental fue realizado en un tubo de vidrio borosilicato de 25,4 [mm] de diámetro interno y 12 [m] de longitud. El sensor está formado por una malla de alambre con dos planos de 8 x 8 hilos, llamado sensor de malla de alambre (WMS). Los experimentos fueron efectuados con dos viscosidades diferentes de aceite, una con 200 [cP] y otra de 60 [cP] a 860 [kg / m3]de densidad con el tubo posicionado en la horizontal y levemente inclinado a + 5 grados, para variar la viscosidad del aceite fue usado un intercambiador de calor. El patrón de flujo multifase analizado fue anular, estratificado y disperso. Las tomografías obtenidas por la WMS fueron comparadas con una cámara de alta velocidad para la validación cualitativa de los resultados. Se usaron doce modelos de permitividad eléctrica para el estudio del régimen del fluido presente.
Palabras clave: WMS, multifase, tomografía, permitividad, patrón de flujo.
Abstract: A sensor based on the electrical permittivity of the fluid was used to analyze the tomographies of the different patterns that appear in multiphase oil and water flow (Liquid-Liquid). The experimental study was carried out in a borosilicate glass tube with an internal diameter of 25.4 [mm] and length of 12 [m]. The sensor is made up of two 8 x 8 wire flat wire mesh called a wire mesh sensor (WMS). The experiments were carried out with two different oil viscosities, one with 200 [cP] and the other with 60 [cP] at 860 [kg / m3]density with the tube positioned horizontally and slightly inclined at + 5 degrees, to vary the viscosity of the oil, a heat exchanger was used. The analyzed multiphase flow pattern was annular, stratified and dispersed. The tomographies obtained by the WMS were compared with a high- speed camera for the qualitative validation of the results. Twelve models of electrical permittivity were used to study the current fluid regime.
Keywords: WMS, multiphase, tomography, permittivity, flow pattern.
1. Introducción
Es común encontrar en la industria petroquímica, de alimentos y de producción, flujos multifase especialmente los flujos de aceite y agua (liquido- liquido) hallados en la producción y el transporte de petróleo, llamados fluido bifásico, donde hay varias aplicaciones que involucran este tipo de flujo multifáse. Sin embargo, los estudios a estos tipos fluidos no son tan profundos generando dificultades a la hora de describir el comportamiento del fluido bifásico. Por esta razón no hay una explicación física para un número significativo de fenómenos observados en el flujo de aceite y agua, por ejemplo, conocer el factor de fricción con el tubo que a su vez genera pérdidas de carga; fenomenología mostrada en los diferentes patrones presentes en el flujo, para citar uno de ellos, patrón estratificado ondulado o disperso.
Debido a la necesidad de estudiar las características fenomenológicas del flujo multifase, con sus diferentes patrones es necesario desarrollar instrumentos especializados que permitan medir variables fundamentales para el análisis de estos, en este caso el sensor de malla de alambre (WMS). En investigaciones realizadas con el sensor tipo WMS donde se estudiaron propiedades eléctricas de los fluidos para poder tener más claridad en los fenómeno que se presentan en estos se pueden citar los trabajos de [1], [2], [3], [4], [5] [6], [7] [8], [9] y [10] donde indagaron en paralelo aspectos importantes de flujos multifase, como la caída de presión y el fenómeno de inversión de fase.
Interesantes resultados con técnicas de instrumentación avanzada usando WMS se presentan en [1], para un ducto de geometría anular de gran porte, donde se comparan los datos de la tomografía con los perfiles de velocidad obtenidos por un instrumento basado en velocimetría por imagen de partículas PIV.
El sensor de malla de alambre (WMS) es un instrumento basado en la medición de la permitividad eléctrica de un fluido, este sensor tiene una alta resolución en el tiempo que puede llegar hasta los 5000 cuadros por segundo y una resolución espacial razonable que depende del diámetro del tubo donde podemos tener resoluciones de 8 x 8 alambres para un de diámetro interno de una pulgada y 16 x16 alambres para un tubo de dos pulgadas de diámetro interno. Estudios basados en flujos multifase líquido-líquido, utilizando el sensor tipo WMS para caracterizar patrones de flujo presentes en estos según sus características eléctricas se encuentran los trabajos realizados por [8], [9], [11], [12] y [13].
En la investigación presentada en [14], el WMS se analizó como un sensor intrusivo que determina la fracción de agua en el aceite mediante mediciones de conductividad eléctrica. Debido a la necesidad de medir diferentes fluidos, [11] desarrolló el WMS basado en la permitividad eléctrica del fluido, ampliando el rango de aplicación del sensor. Para identificar el holdup del flujo de agua y aceite [12], utilizó el WMS basado en la permitividad para una tubería horizontal. Por otro lado [15] realizó un estudio del sensor WMS, donde se compararon las diferentes características potenciales del sensor con otras técnicas para identificar las propiedades eléctricas de los flujos de agua y aceite, donde los experimentos se realizaron en una tubería horizontal de 82.8 [mm] de diámetro interno, con el patrón de flujo estratificado de agua y aceite. [16] determino el holdup utilizando el sensor WMS, basado en la conductividad y permitividad eléctrica.
Algunos autores han desarrollado técnicas para relacionar tomografías en flujo multifase de los cuales se puede mencionar el trabajo realizado por Frøystein et al. en el 2005 en el cual se desarrolló un sistema basado en la energía dual generada por un sistema de rayos gamma obteniendo una imagen con bajo contraste [17]. Basado en resonancia magnética [18] midió la fracción de fase de un fluido en sus resultados no presentan imágenes de tomografías de la WMS ni imágenes registradas por video cámaras de alta velocidad. Li y colaboradores en 2005 utilizaron la tomografía basada en la permitividad eléctrica de un fluido multifásico, para la obtención de imágenes del fluido en cuestión [19]. El trabajo desarrollado por [20], midió la conductividad y la permitividad de un fluido simultáneamente en dos fases. En una planta de energía nuclear, se midieron las características eléctricas basadas en un sensor de electrodos, donde se eliminó la interferencia entre estos, fue el trabajo presentado por [21].
El sensor WMS es un instrumento de bajo costo fabricado íntegramente en el Laboratorio de Ingeniería de Térmica y Fluidos (LETeF) de la Escuela de Ingeniería de Sao Carlos (Universidad de São Paulo) en Brasil. La WMS garantiza una alta resolución temporal y una buena espacial; Una de las desventajas de WMS es la intrusividad con el flujo, que en algunos casos perjudica la medición. Dentro de las características principales de este sensor de malla de alambre está la capacidad de medir la permitividad y la conductividad eléctrica simultáneamente.

Los experimentos se realizaron en la Instalación de prueba de flujo multifásico en LETeF, de la Escuela de Ingeniería de Sao Carlos (Universidad de São Paulo) en Brasil.
2. Configuración Experimental
El circuito de flujo multifase se presenta esquemáticamente en la Figura 1. Las pruebas se llevaron a cabo en una tubería de vidrio de borosilicato de 25.4 [mm] de diámetro interno y 12 [m] de longitud. Se usaron agua y aceite (828 [kg / 𝑚3 ] de densidad y con viscosidades de 200 [cP] y 60 [cP]) como fluidos de prueba. El aceite y el agua se almacenan individualmente en tanques de plástico. Ambos fluidos son bombeados, separadamente, a la sección de prueba por una bomba helicoidal de desplazamiento positivo (Weatherford ® LabVIEW® 2WHT53), que fue controlada por un controlador de frecuencia variable a través de la plataforma LabVIEW.
El caudal volumétrico del agua se midió en 3 medidores de flujo dependiendo del caudal, un medidor de tipo engranaje con un rango de medición entre 1 y 35[L/min], un medidor de tipo turbina con un rango de medición entre 30 y 450 [L / min] y un medidor de vórtice con un rango de medición de 30 a 1600[L / min].
El caudal volumétrico del aceite se midió mediante dos medidores de flujo de desplazamiento positivo, uno para caudales bajos (entre 2,5 y 106,7 [L / min]) y el segundo para caudales altos (entre 6,67 y 233,3 [L / min]), [10].
Se utilizó una computadora en la cual se cuenta con el software MATLAB®, programa con el cual se realizó el análisis y tratamiento de los datos recopilados. Las tasas de flujo de agua y aceite de entrada se establecieron mediante un software basado en PXI y LabView™ de National Instruments™, [10].
2.1. Sensor de malla de alambre (WMS)
El sensor WMS consta de dos planos de alambre (acero inoxidable con 0,12 mm de diámetro) montados perpendicularmente. Cada plano está compuesto por 8 hilos, llamados transmisores y receptores. Estos planos forman 64 (8 x 8) puntos de medición de las propiedades eléctricas del flujo (ver figura 2).
Cada malla de alambres tenía una separación axial entre planos de 1.0 mm y 3 mm entre alambres en el mismo plano. El sensor se instaló a 10.3 m de la entrada, colocado entre dos mitades de acrílico transparente llamada sección de visualización, como se muestra en la Figura 2 b. Una foto ilustrativa y un esquemático del ensamblaje hidráulico del sensor de malla de alambre WMS puede ser observada en la Figura 2.

2.2. Sistema de comunicación e instrumentación sistema WMS
La Figura 3 muestra un diagrama de cableado para el sistema WMS. El núcleo del sistema es un sistema de adquisición de datos basado en la tecnología FlexRIO de National Instruments ™. El sistema consta de una PC de alto rendimiento, un chasis industrial (PXIe-1071), una caja de acondicionamiento de señal (circuitos Tx y Rx) y una caja de protección de circuito. En el chasis PXIe-1071 se encuentran el generador de señal (PXIe-5412), FlexRIO (PXIe-7962R), el convertidor analógico-digital (ADC, NI 5751) y la tarjeta de comunicaciones PXIe (PXIe-8381). El NI 5751 ADC se conecta directamente al FlexRIO PXIe-7962R. La conexión de estas dos placas al exterior se realiza a través de dos bloques de conexión. Un bloque de conexión (SMB-2147) permite la conexión de canales analógicos. Un segundo bloque, el SMB-2148 permite la conexión de los canales de entrada y salida digital. Los canales digitales provienen directamente de la tarjeta FlexRIO PXIe-7962R y atraviesan el NI 5751 sin ningún tipo de empaque. La caja de acondicionamiento de señal está compuesta por dos placas, el circuito de transmisión y el circuito de recepción, [10].
2.3 Modelos de permitividad eléctrica sensor WMS
Los modelos de permitividad eléctrica existentes dependen de la distribución de las fases en el área de la sección transversal del flujo, por lo que no son aplicables a todos los patrones de flujo.

Un modelo que representa dos condensadores en paralelo es el modelo paralelo que se usa para medir dos fases inmiscibles, representado por (1).
(1)dónde:
𝜀 es la permitividad relativa.
𝛼 es la fracción de fase volumétrica in situ (holdup)
Los subíndices w, x y o denotan el agua, la mezcla y el aceite, respectivamente.
Cuando la distribución de las fases forma dos condensadores en serie, los mejores resultados se obtienen con el modelo en serie, ecuación (2):
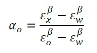
(2)La ecuación (3) proporciona un modelo basado en la ley potencia.
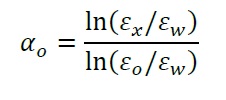
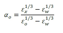
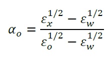
(3)donde 𝛽 no tiene dimensión, y cuando 𝛽 tiende a cero, se llama modelo logarítmico, dado por (4):
(4)Si 𝛽 es
12 y 13 se obtienen los modelos de Birchak y Looyenga [22] con (5) y (6):
(5)
(6)Los tres modelos desarrollados por Bruggeman son dados por (7), (8) y (9):
(7)
(8)
(9)Los modelos anteriores son independientes de cuál es la fase continua y la fase dispersa respectivamente. Sin embargo, otros modelos requieren esta identificación, tal como el modelo Maxwell-Garnett dado por (10):
(10)donde el subíndice 2 identifica la fase dispersa y el subíndice 1 la fase continua.
Para el aceite disperso en agua (o / w), la fracción de aceite in situ se determina mediante el modelo de permitividad dado por (11):
(11)Para el agua dispersa en aceite el mejor modelo viene dado por (12):
(12)Otros modelos para calcular la fracción de aceite in situ, a través de los datos de permitividad fueron desarrollados por Hanai [23] (13). Para aceite disperso en agua y agua dispersa en aceite se utilizan las ecuaciones (14) y (15) respectivamente:
(13)
(14)
(15)3. Resultados y discusión
Los resultados de las tomografías obtenidas por el sensor tipo de malla de alambre fueron realizados para dos viscosidades de 200 [cP] y 60 [cP]. Además, para 60 [cP] se trabajó con la línea de flujo inclinada +5 grados con respecto a la horizontal.
3.1 Tomografías sensor WMS en la horizontal para Aceite de 200 cP de viscosidad
Una ilustración de la tomografía de la sección transversal del tubo obtenida por el sensor de malla de alambre (WMS) puede ser apreciada en la Figura 4 para el patrón de flujo bifásico anular, el cual se genera para tasas de flujo altas. En la figura 5 puede ser observada una instantánea de la vista lateral del patrón de flujo registrado por la cámara de alta velocidad, obtenida por la cámara de alta velocidad a 1000 cuadros por segundo. La tomografía muestra buena consistencia entre la imagen grabada por la cámara en comparación con la tomografía obtenida por WMS, el color rojo representa (aceite) en la parte central y el color azul (agua) en la parte inferior y superior del tubo, con una región degradada (diferentes colores), donde ambas fases están presentes, en la interfaz (mezcla de flujos).


Para el patrón de flujo disperso (gotas de aceite en agua), se observa en Figura 6, imagen de la tomografía obtenida por WMS y en la figura 7 la imagen grabada por la cámara de alta velocidad. En la tomografía obtenida se pueden ver en la región central del tubo gotas de aceite de color rojo que corresponde a las gotas de color negro presentes en la imagen obtenida por la cámara de alta velocidad a 1000 cuadros por segundo.
3.2 Tomografías sensor WMS en la horizontal para Aceite a 60 cP de viscosidad
Ejemplos de tomografías obtenidas usando el sistema WMS pueden ser observadas en las Figuras 8, 10 y 12. Las imágenes también fueron grabadas por la cámara de alta velocidad, figuras 9, 11 y 13. En las tablas 1, 2 y 3, las características de patrones de flujo como velocidades superficiales y holdup de aceite.
La Figura 8 muestra la tomografía para un patrón de flujo estratificado con mezcla en la interfaz STW / MI, con el tubo horizontal, con una cierta degradación en la región de la altura de la interfase, en la parte superior del tubo corresponde al aceite rojo. y en el fondo del tubo solo corresponde al agua azul. La figura 9 muestra la imagen grabada por la cámara correspondiente a la tomografía de la figura 8.





La Figura 10 muestra la tomografía obtenida por el sensor WMS para el patrón de flujo anular, se observa en color rojo que representa aceite, forma un núcleo centrado en la parte superior del tubo, prácticamente creando un anillo de ahí deriva su nombre de patrón anular, el cual muestra cualitativamente una buena tomografía en comparación con la imagen grabada por la cámara de alta velocidad, Figura 11. En la tomografía, se observa una cierta región central solo con aceite en color rojo formando un anillo y la región de los bordes con colores degradados de color azul equivalente al agua o mezcla de agua y aceite.



3.3. Tomografías obtenidas por el sensor WMS para el aceite a 60 cP de viscosidad con el tubo inclinado +5 grados
En el patrón de gotas de aceite dispersas en agua, figura 12 y figura 13. Se observa una alta concentración de gotas en la región superior del tubo, de color rojo, también tiene una concentración de gotas en la región central del tubo, pero en menor medida.



El sensor WMS es de gran importancia para caracterizar de forma cuantitativa el flujo multifase por medio de sus móldelos de permitividad eléctrica y cualitativamente según las tomografías obtenidas de los diferentes patrones estudiados en este artículo, este análisis contribuye en gran medida al investigación de flujo multifase para validar modelos matemáticos y análisis computacionales, las tomografías obtenidas por la WMS y los videos de registrados por la cámara de alta velocidad muestran, según los doce modelos de permisividad eléctrica analizados que unos modelos dan mejores resultados que otros, por ejemplo para flujo bifásico en el patrón anular el mejor modelo fue el obtenido mediante Bruggeman 1 mientras que para flujo disperso fue el modelo de Maxwell-Wagner ya para flujos estratificados los mejores resultados se obtuvieron con los modelos series y paralelo resultados, similares fueron analizados en el trabajo de [10] donde se analiza los diferentes modelo de permitividad comparados con técnicas de cierre rápido usando electroválvulas.
4. Conclusiones
Este artículo presenta el sensor de malla de alambre (WMS) como un instrumento válido y aplicable para obtener tomografías de los flujos bifásicos aceite-agua, con aceite de alta y baja viscosidad a 200 [cP] y 60 [cP] respectivamente, en una tabulación en la horizontal y levemente inclinada.
Se utilizaron doce modelos basados en la permitividad eléctrica del fluido para obtener las imágenes de la tomografía que fueron compradas con las imágenes de una cámara de alta velocidad.
Según los resultados obtenidos hay modelos que presentan mejores tomografías que otros, en el caso de patrón anular un modelo destacado fue Bruggeman 1; el modelo de Maxwell-Wagner mostro buenos resultados para el patrón de flujo disperso, mientras para el patrón de flujo estratificado los mejores modelos de permitividad fueron el series y paralelo.
Los resultados generados por el sensor WMS muestran coherencia comparados con las imágenes de la cámara de alta velocidad, proporcionando datos cualitativos para análisis del comportamiento fenomenológico del patrón de fluido estudiado.
Reconocimiento
Los autores agradecen a PETROBRAS por su apoyo financiero y técnico en este trabajo, a la ANP (Agencia Nacional de Petróleo, Gas Natural y Biocombustibles) por el apoyo a través de su "Compromisso de Investimentos com Pesquisa e Desenvolvimento". Los reconocimientos se extienden a la Escuela de Ingeniería Mecánica y al Centro de Estudios Petroleros (CEPETRO) tanto en la Universidad de Campinas (UNICAMP) como a la Escuela de Ingeniería Mecánica y al Laboratorio de Flujo Multifásico Industrial (LEMI), ambos en la Universidad de Sao Paulo (USP).
Referencias
[1] M. M. Hernández Cely, V. E. C. Baptistella, O. M. H. Rodriguez, “Study and characterization of gas-liquid slug flow in an annular duct, using high speed video camera, wire-mesh sensor and PIV,” Exp. Therm. Fluid Sci., vol. 98, no. May, pp. 563–575, 2018, doi: 10.1016/j.expthermflusci.2018.06.031
[2] S. Arirachakaran, K. D. Oglesby, M. S. Malinowsky, O. Shoham, J. P. Brill, “An Analysis of Oil/Water Flow Phenomena in Horizontal Pipes”, en SPE Production Operations Symposium, Apr. 1989, doi: 10.2118/18836- MS
[3] M. Nädler, D. Mewes, “Flow induced emulsification in the flow of two immiscible liquids in horizontal pipes,” Int. J. Multiph. Flow, vol. 23, no. 1, pp. 55-68, 1997, doi: 10.1016/S0301-9322(96)00055-9
[4] P. Angeli, G. F. Hewitt, “Pressure gradient in horizontal liquid-liquid flows,” Int. J. Multiph. Flow, vol. 24, no. 7, pp. 1183–1203, 1998, doi: 10.1016/S0301- 9322(98)00006-8
[5] O. M. H. Rodriguez, I. H. Rodriguez, J. L. Ansoni, “An experimental and numerical study on the wall lubrication force in dispersed liquid-liquid flow,” Int. J. Multiph. Flow, vol. 120, 2019, doi: 10.1016/j.ijmultiphaseflow.2019.103094
[6] J. Lovick, P. Angeli, “Experimental studies on the dual continuous flow pattern in oil-water flows,” Int. J. Multiph.Flow, vol. 30, no. 2, pp. 139–157, 2004, doi: 10.1016/j.ijmultiphaseflow.2003.11.011
[7] K. Ioannou, O. J. Nydal, and P. Angeli, “Phase inversion in dispersed liquid-liquid flows,” Exp. Therm. Fluid Sci., vol. 29, no. 3, pp. 331–339, 2005, doi: 10.1016/j.expthermflusci.2004.05.003
[8] J. Y. L. Lum, T. Al-Wahaibi, P. Angeli, “Upward and downward inclination oil-water flows,” Int. J. Multiph. Flow, vol. 32, no. 4, pp. 413–435, 2006, doi: 10.1016/j.ijmultiphaseflow.2006.01.001.
[9] H. F. Velasco Peña, A. Bonilla Riaño, C. H. Monteiro De Carvalho, V. Estevam, O. M. Hernandez Rodriguez, “Wire-mesh-based tomography in upward-vertical oil- water-air three-phase flow,” ICMF 2016, 2016.
[10] M. Hernandez-cely, A. F. D. A. Teixeira, R. H. Ruschel, “Estimation of Permittivity Models for Holdup Measurement of Viscous-Oil for different patterns,” 2019 Int. Conf. Control. Autom. Diagnosis, pp. 1–6, 2019, doi: 10.1109 / ICCAD46983.2019.9037921
[11] M. J. Da Silva, E. Schleicher, U. Hampel, “Capacitance wire-mesh sensor for fast measurement of phase fraction distributions,” Meas. Sci. Technol., vol. 18, no. 7, pp. 2245–2251, Jul. 2007.
[12] I. H. Rodriguez, H. K. B. Yamaguti, M. S. de Castro, M. J. Da Silva, O. M. H. Rodriguez, “Slip ratio in dispersed viscous oil-water pipe flow,” Exp. Therm. Fluid Sci., vol. 35, no. 1, pp. 11–19, 2011, doi: 10.1016/j.expthermflusci.2010.07.017
[13] O. M. H. Velasco Peña, H.F. Bonilla Riaño, A. Rodriguez, I.H. Rodríguez, “Evaluation of permittivity models for holdup measurement of viscous-oil in water dispersed flow,” in 8th International Conference on Multiphase Flow ICMF 2013, 2013, p. 2013.
[14] I. D. Johnson, “Method and apparatus for measuring water in crude oil,” U.S. Pat. 4664263, 1987.
[15] H. F. Velasco Peña, O. M. H. Rodriguez, “Applications of wire-mesh sensors in multiphase flows,” Flow Meas. Instrum., vol. 45, pp. 255–273, 2015, doi: 10.1016/j.flowmeasinst.2015.06.024
[16] I. H. Rodriguez, H. F. Velasco Peña, A. Bonilla Riaño, R. A. W. M. Henkes, O. M. H. Rodriguez, “Experiments with a Wire-Mesh Sensor for stratified and dispersed oil-brine pipe flow,” Int. J. Multiph. Flow, vol. 70, pp. 113–125, 2015, doi: 10.1016/j.ijmultiphaseflow.2014.11.011
[17] T. Frøystein, H. K. Kvandal, H. Aakre, “Dual energy gamma tomography system for high pressure multiphase flow,” Flow Meas. Instrum., vol. 16, no. 2–3, pp. 99–112, 2005, doi: 0.1016/j.flowmeasinst.2005.02.005
[18] M. Appel, J. J. Freeman, D. Pusiol, “Robust multi- phase flow measurement using magnetic resonance technology,” SPE Middle East Oil Gas Show Conf. MEOS, Proc., vol. 2, no. January, pp. 932–951, 2011, doi: 10.2118/141465-MS.
[19] Y. Li et al., “Gas/oil/water flow measurement by electrical capacitance tomography,” Meas. Sci. Technol., vol. 24, no. 7, 2013, doi: 10.1088/0957- 0233/24/7/074001
[20] B. Wang, Z. Gui, W. Tan, Z. Huang, H. Ji, H. Li, “A new dual-modality ECT/ERT technique based on C4D principle,” Conf. Rec. - IEEE Instrum. Meas. Technol. Conf., vol. 2015-July, pp. 2061–2065, 2015, doi: 10.1109/I2MTC.2015.7151600
[21] H.-M. Prasser, A. Böttger, J. Zschau, “A new electrode-mesh tomograph for gas-liquid flows,” FLOW Meas. Instrum., vol. 9, no. 2, pp. 111–119, Jun. 1998, doi: 10.1016/S0955-5986(98)00015-6
[22] H. Looyenga, “Dielectric constants of heterogeneous mixtures,” Physica, vol. 31, no. 3, pp. 401–406, 2002, doi: 10.1016/0031-8914(65)90045-5.
[23] T. Hao, “Dielectric Properties of Non-aqueous Heterogeneous Systems,” Semental. Interface Sci., vol. 22, pp. 341 - 423, 2005.
Información adicional
Como citar: M. Hernández, C. Ruiz, “Estudio de los fluidos aceite-agua a través del sensor basado en la permitividad eléctrica del patrón de fluido,” Rev. UISIng., vol. 19, no. 3, pp. 177-186, 2020. doi: https://doi.org/10.18273/revuin.v19n3-2020017